Mastitis Pathogens Mannheimia haemolytica, Staphylococcus aureus, and Streptococcus uberis Selectively Alter TLR Gene Transcription in Sheep Mammary Epithelial Cells
Abstract
1. Introduction
2. Materials and Methods
2.1. Isolation and Preparation of Bacterial Strains
2.2. Preparation of Sheep Primary Mammary Epithelial Cells (pMEC)
2.3. Stimulation of pMEC with Each of the Three Major Mastitis Pathogens of Sheep
2.4. In Vitro Adhesion and Invasion Assays
2.5. Extraction and Quality Control of RNA from Archived pMEC Samples
2.6. Quantitative Reverse Transcription PCR (RT-qPCR), for TLRs 1–10
2.7. Statistical Analysis
3. Results
3.1. Adhesion and Invasion of Sheep Mammary Epithelial Cells
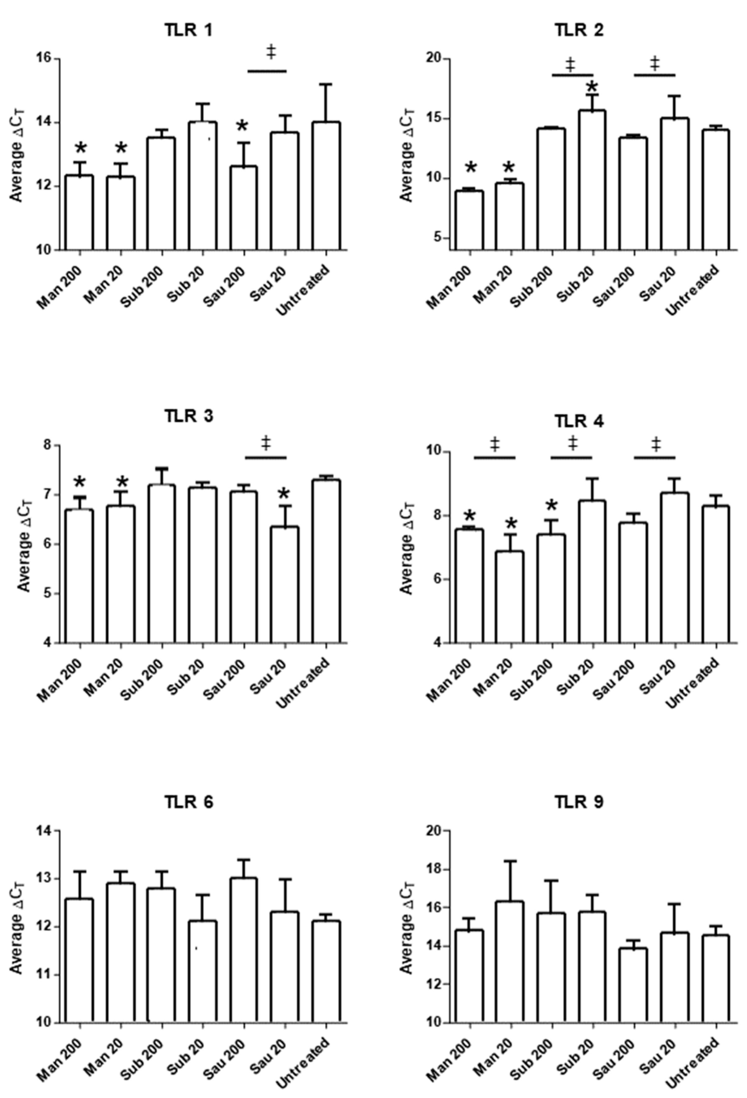
3.2. Quantitative Analysis of TLR Gene Transcription
3.3. TLR1
3.4. TLR2
3.5. TLR3
3.6. TLR4
3.7. TLR6 and TLR9
4. Discussion
5. Conclusions
Author Contributions
Funding
Institutional Review Board Statement
Informed Consent Statement
Data Availability Statement
Acknowledgments
Conflicts of Interest
References
- Arsenault, J.; Dubreuil, P.; Higgins, R.; Belanger, D. Risk factors and impacts of clinical and subclinical mastitis in commercial meat-producing sheep flocks in Quebec, Canada. Prev. Vet. Med. 2008, 87, 373–393. [Google Scholar] [CrossRef] [PubMed]
- Bergonier, D.; Berthelot, X. New advances in epizootiology and control of ewe mastitis. Livest. Prod. Sci. 2003, 79, 1–16. [Google Scholar] [CrossRef]
- Conington, J.; Cao, G.; Stott, A.; Bunger, G. Breeding for resistance to mastitis in United Kingdom sheep, a review and economic appraisal. Vet. Rec. 2008, 162, 369–376. [Google Scholar] [CrossRef]
- Watkins, G.H.; Burriel, A.R.; Jones, J.E.T. A field investigation of subclinical mastitis in sheep in southern England. Br. Vet. J. 1991, 147, 413–420. [Google Scholar] [CrossRef] [PubMed]
- Zadoks, R.N.; Tassi, R.; Martin, E.; Holopainen, J.; McCallum, S.; Gibbons, J.; Ballingall, K.T. Comparison of bacteriological culture and PCR for detection of bacteria in ovine milk-Sheep are not small cows. J. Dairy Sci. 2014, 97, 6326–6333. [Google Scholar] [CrossRef] [PubMed]
- Bergonier, D.; De Cremoux, R.; Rupp, R.; Lagriffoul, G.; Berthelot, X. Mastitis of dairy small ruminants. Vet. Res. 2003, 34, 689–716. [Google Scholar] [CrossRef] [PubMed]
- Moroni, P.; Pisoni, G.; Varisco, G.; Boettcher, P. Effect of intramarnmary infection in Bergamasca meat sheep on milk parameters and lamb growth. J. Dairy Res. 2007, 74, 340–344. [Google Scholar] [CrossRef]
- Bannerman, D.D. Pathogen-dependent induction of cytokines and other soluble inflammatory mediators during intramammary infection of dairy cows. J. Anim. Sci. 2009, 87, 10–25. [Google Scholar] [CrossRef]
- Genini, S.; Badaoui, B.; Sclep, G.; Bishop, S.C.; Waddington, D.; Pinard van der Laan, M.H.; Klopp, C.; Cabau, C.; Seyfert, H.M.; Petzl, W.; et al. Strengthening insights into host responses to mastitis infection in ruminants by combining heterogeneous microarray data sources. BMC Genom. 2011, 12, 225. [Google Scholar] [CrossRef]
- Schukken, Y.H.; Gunther, J.; Fitzpatrick, J.; Fontaine, M.C.; Goetze, L.; Holst, O.; Leigh, J.; Petzl, W.; Schuberth, H.J.; Sipka, A.; et al. Host-response patterns of intramammary infections in dairy cows. Vet. Immunol. Immunopathol. 2011, 144, 270–289. [Google Scholar] [CrossRef]
- Rainard, P.; Riollet, C. Innate immunity of the bovine mammary gland. Vet. Res. 2006, 37, 369–400. [Google Scholar] [CrossRef] [PubMed]
- Rainard, P.; Gilbert, F.B.; Germon, P. Immune defenses of the mammary gland epithelium of dairy ruminants. Front. Immunol. 2022, 13, 1031785. [Google Scholar] [CrossRef]
- Bar-Gal, G.K.; Blum, S.E.; Hadas, L.; Ehricht, R.; Monecke, S.; Leitner, G. Host-specificity of Staphylococcus aureus causing intramammary infections in dairy animals assessed by genotyping and virulence genes. Vet. Microbiol. 2015, 176, 143–154. [Google Scholar] [CrossRef] [PubMed]
- Gilchrist, T.L.; Smith, D.G.E.; Fitzpatrick, J.L.; Zadoks, R.N.; Fontaine, M.C. Comparative molecular analysis of ovine and bovine Streptococcus uberis isolates. J. Dairy Sci. 2013, 96, 962–970. [Google Scholar] [CrossRef]
- Dogan, B.; Klaessig, S.; Rishniw, M.; Almeida, R.A.; Oliver, S.P.; Simpson, K.; Schukken, Y.H. Adherent and invasive Escherichia coli are associated with persistent bovine mastitis. Vet. Microbiol. 2006, 116, 270–282. [Google Scholar] [CrossRef] [PubMed]
- Hensen, S.M.; Pavicic, M.J.; Lohuis, J.A.; Poutrel, B. Use of bovine primary mammary epithelial cells for the comparison of adherence and invasion ability of Staphylococcus aureus strains. J. Dairy Sci. 2000, 83, 418–429. [Google Scholar] [CrossRef]
- Tassi, R.; McNeilly, T.N.; Sipka, A.; Zadoks, R.N. Correlation of hypothetical virulence traits of two Streptococcus uberis strains with the clinical manifestation of bovine mastitis. Vet. Res. 2015, 46, 123. [Google Scholar] [CrossRef]
- Prado, M.E.; Almeida, R.A.; Ozen, C.; Luther, D.A.; Lewis, M.J.; Headrick, S.J.; Oliver, S.P. Vaccination of dairy cows with recombinant Streptococcus uberis adhesion molecule induces antibodies that reduce adherence to and internalization of S. uberis into bovine mammary epithelial cells. Vet. Immunol. Immunopathol. 2011, 141, 201–208. [Google Scholar] [CrossRef]
- Jungi, T.W.; Farhat, K.; Burgener, I.A.; Werling, D. Toll-like receptors in domestic animals. Cell Tissue Res. 2011, 343, 107–120. [Google Scholar] [CrossRef]
- Triantafilou, M.; Gamper, F.G.J.; Haston, R.M.; Mouratis, M.A.; Morath, S.; Hartung, T.; Triantafilou, K. Membrane sorting of toll-like receptor (TLR)-2/6 and TLR2/1 heterodimers at the cell surface determines heterotypic associations with CD36 and intracellular targeting. J. Biol. Chem. 2006, 281, 31002–31011. [Google Scholar] [CrossRef]
- Gewirtz, A.T.; Navas, T.A.; Lyons, S.; Godowski, P.J.; Madara, J.L. Cutting edge: Bacterial flagellin activates basolaterally expressed TLR5 to induce epithelial proinflammatory gene expression. J. Immunol. 2001, 167, 1882–1885. [Google Scholar] [CrossRef]
- Takeda, K.; Akira, S. Toll-like receptors. Curr. Protoc. Immunol. 2015, 109, 1–10. [Google Scholar] [CrossRef] [PubMed]
- Werling, D.; Hope, J.C.; Howard, C.J.; Jungi, T.W. Differential production of cytokines, reactive oxygen and nitrogen by bovine macrophages and dendritic cells stimulated with Toll-like receptor agonists. Immunology 2004, 111, 41–52. [Google Scholar] [CrossRef]
- Thonur, L.; Haig, D.M.; Thomson, J.; Russell, G.C. Toll-like receptor gene expression in fresh and archived ovine pseudoafferent lymph DEC205+ dendritic cells. J. Comp. Pathol. 2012, 147, 296–304. [Google Scholar] [CrossRef] [PubMed]
- Chang, J.S.; Russell, G.C.; Jann, O.; Glass, E.J.; Werling, D.; Haig, D.M. Molecular cloning and characterization of Toll-like receptors 1-10 in sheep. Vet. Immunol. Immunopathol. 2009, 127, 94–105. [Google Scholar] [CrossRef] [PubMed]
- Dhanasekaran, S.; Kannan, T.A.; Raj, G.D.; Tirumurugaan, K.J.; Raja, A.; Kumanan, K. Differential expression of toll-like receptor mRNA in corneal epithelium of ruminants. Vet. Ophthalmol. 2010, 13, 270–274. [Google Scholar] [CrossRef]
- Doull, L.; Wattegedera, S.R.; Longbottom, D.; Mwangi, D.; Nath, M.; Glass, E.J.; Entrican, G. Late production of CXCL8 in ruminant oro-nasal turbinate cells in response to Chlamydia abortus infection. Vet. Immunol. Immunopathol. 2015, 168, 97–102. [Google Scholar] [CrossRef]
- Goldammer, T.; Zerbe, H.; Molenaar, A.; Schuberth, H.J.; Brunner, R.M.; Kata, S.R.; Seyfert, H.M. Mastitis increases mammary mRNA abundance of beta-defensin 5, toll-like-receptor 2 (TLR2), and TLR4 but not TLR9 in cattle. Clin. Diagn. Lab. Immunol. 2004, 11, 174–185. [Google Scholar] [CrossRef] [PubMed]
- Swanson, K.M.; Stelwagen, K.; Dobson, J.; Henderson, H.V.; Davis, S.R.; Farr, V.C.; Singh, K. Transcriptome profiling of Streptococcus uberis induced mastitis reveals fundamental differences between immune gene expression in the mammary gland and in a primary cell culture model. J. Dairy Sci. 2009, 92, 117–129. [Google Scholar] [CrossRef]
- Ibeagha-Awemu, E.M.; Lee, J.V.; Ibeagha, A.E.; Bannerman, D.D.; Paape, M.J.; Zhao, X. Bacterial lipopolysaccharide induces increased expression of toll-like receptor (TLR) 4 and downstream TLR signaling molecules in bovine mammary epithelial cells. Vet. Res. 2008, 39, 11. [Google Scholar] [CrossRef]
- Yang, W.; Zerbe, H.; Petzl, W.; Brunner, R.M.; Guenther, J.; Draing, C.; von Aulocke, S.; Schuberth, H.J.; Seyfert, H.M. Bovine TLR2 and TLR4 properly transduce signals from Staphylococcus aureus and E. coli, but S. aureus fails to both activate NF-kappa B in mammary epithelial cells and to quickly induce TNF alpha and interleukin-8 (CXCL8) expression in the udder. Mol. Immunol. 2008, 45, 1385–1397. [Google Scholar] [CrossRef] [PubMed]
- Wellnitz, O.; Bruckmaier, R.M. The innate immune response of the bovine mammary gland to bacterial infection. Vet. J. 2012, 192, 148–152. [Google Scholar] [CrossRef]
- Tassi, R. Response to Intramammary Challenge with Putatively Host-Adapted and Non-Adapted Strains of Streptococcus uberis in Cattle. Ph.D. Thesis, University of Edinburgh, Edinburgh, UK, 2014. [Google Scholar]
- Tamilselvam, B.; Almeida, R.A.; Dunlap, J.R.; Oliver, S.P. Streptococcus uberis internalizes and persists in bovine mammary epithelial cells. Microb. Pathog. 2006, 40, 279–285. [Google Scholar] [CrossRef]
- Schroeder, A.; Mueller, O.; Stocker, S.; Salowsky, R.; Leiber, M.; Gassmann, M.; Lightfoot, S.; Menzel, W.; Granzow, M.; Ragg, T. The RIN: An RNA integrity number for assigning integrity values to RNA measurements. BMC Mol. Biol. 2006, 7, 3. [Google Scholar] [CrossRef] [PubMed]
- Colitti, M.; Stradaioli, G.; Stefanon, B. Mammary cell turnover in lactating ewes is modulated by changes of energy fuels. Res. Vet. Sci. 2005, 78, 53–59. [Google Scholar] [CrossRef]
- Livak, K.J.; Schmittgen, T.D. Analysis of relative gene expression data using real-time quantitative PCR and the 2−ΔΔCT method. Methods 2001, 25, 402–408. [Google Scholar] [CrossRef]
- Finlay, B.B.; Cossart, P. Exploitation of mammalian host cell functions by bacterial pathogens. Science 1997, 276, 718–725. [Google Scholar] [CrossRef] [PubMed]
- Lammers, A.; Kruijt, E.; van de Kuijt, C.; Nuijten, P.J.M.; Smith, H.E. Identification of Staphylococcus aureus genes expressed during growth in milk: A useful model for selection of genes important in bovine mastitis? Microbiology 2000, 146, 981–987. [Google Scholar] [CrossRef][Green Version]
- Oliver, S.P.; Almeida, R.A.; Calvinho, L.F. Virulence factors of Streptococcus uberis isolated from cows with mastitis. J. Vet. Med. 1998, 45, 461–471. [Google Scholar] [CrossRef]
- Vilela, C.L.; Fitzpatrick, J.; Morgan, K.L. In vitro adherence and invasion of ovine mammary epithelium by Mannheimia (Pasteurella) haemolytica. Vet. J. 2004, 167, 211–213. [Google Scholar] [CrossRef]
- Dopfer, D.; Nederbragt, H.; Almeida, R.A.; Gaastra, W. Studies about the mechanism of internalization by mammary epithelial cells of Escherichia coli isolated from persistent bovine mastitis. Vet. Microbiol. 2001, 80, 285–296. [Google Scholar] [CrossRef] [PubMed]
- Brubaker, S.W.; Bonham, K.S.; Zanoni, I.; Kagan, J.C. Innate immune pattern recognition: A cell biological perspective. Annu. Rev. Immunol. 2015, 33, 257–290. [Google Scholar] [CrossRef] [PubMed]
- Schroder, N.W.J.; Morath, S.; Alexander, C.; Hamann, L.; Hartung, T.; Zahringer, U.; Gobel, U.B.; Weber, J.R.; Schumann, R.R. Lipoteichoic acid (LTA) of Streptococcus pneumoniae and Staphylococcus aureus activates immune cells via toll-like receptor (TLR)-2, lipopolysaccharide-binding protein (LBP), and CD14, whereas TLR-4 and MD-2 are not involved. J. Biol. Chem. 2003, 278, 15587–15594. [Google Scholar] [CrossRef]
- Nakayama, H.; Kurokawa, K.; Lee, B.L. Lipoproteins in bacteria: Structures and biosynthetic pathways. FEBS J. 2012, 279, 4247–4268. [Google Scholar] [CrossRef]
- Ayalew, S.; Shrestha, B.; Montelongo, M.; Wilson, A.E.; Confer, A.W. Immunogenicity of Mannheimia haemolytica recombinant outer membrane proteins serotype 1-Specific Antigen, OmpA, OmpP2, and OmpD15. Clin. Vaccine Immunol. 2011, 18, 2067–2074. [Google Scholar] [CrossRef] [PubMed][Green Version]
- De Schepper, S.; De Ketelaere, A.; Bannerman, D.D.; Paape, M.J.; Peelman, L.; Burvenich, C. The toll-like receptor-4 (TLR-4) pathway and its possible role in the pathogenesis of Escherichia coli mastitis in dairy cattle. Vet. Res. 2008, 39, 1–23. [Google Scholar] [CrossRef]
- van Aubel, R.A.; Keestra, A.M.; Krooshoop, D.J.; van Eden, W.; van Putten, J.P. Ligand-induced differential cross-regulation of Toll-like receptors 2, 4 and 5 in intestinal epithelial cells. Mol. Immunol. 2007, 44, 3702–3714. [Google Scholar] [CrossRef]
- Davies, R.L.; Ali, Q.; Parton, R.; Coote, J.G.; Gibbs, A.; Freer, J.H. Optimal conditions for the analysis of Pasteurella haemolytica Lipopolysaccharide by sodium dodecyl sulfate-polyacrylamide gel-electrophoresis. FEMS Microbiol. Lett. 1991, 90, 23–28. [Google Scholar] [CrossRef][Green Version]
- Blum, J.W.; Dosogne, H.; Hoeben, D.; Vangroenweghe, F.; Hammon, H.M.; Bruckmaier, R.M.; Burvenich, C. Tumor necrosis factor-alpha and nitrite/nitrate responses during acute mastitis induced by Escherichia coli infection and endotoxin in dairy cows. Domest. Anim. Endocrinol. 2000, 19, 223–235. [Google Scholar] [CrossRef]
- Gonen, E.; Vallon-Eberhard, A.; Elazar, S.; Harmelin, A.; Brenner, O.; Rosenshine, I.; Jung, S.; Shpigel, N.Y. Toll-like receptor 4 is needed to restrict the invasion of Escherichia coli P4 into mammary gland epithelial cells in a murine model of acute mastitis. Cell. Microbiol. 2007, 9, 2826–2838. [Google Scholar] [CrossRef]
- Omaleki, L.; Browning, G.F.; Allen, J.L.; Barber, S.R. The role of Mannheimia species in ovine mastitis. Vet. Microbiol. 2011, 21, 67–72. [Google Scholar] [CrossRef] [PubMed]
- Gilbert, F.B.; Cunha, P.; Jensen, K.; Glass, E.J.; Foucras, G.; Robert-Granié, C.; Rupp, R.; Rainard, P. Differential response of bovine mammary epithelial cells to Staphylococcus aureus or Escherichia coli agonists of the innate immune system. Vet. Res. 2013, 44, 40. [Google Scholar] [CrossRef] [PubMed]
- Günther, J.; Czabanska, A.; Bauer, I.; Leigh, J.A.; Holst, O.; Seyfert, H.M. Streptococcus uberis strains isolated from the bovine mammary gland evade immune recognition by mammary epithelial cells, but not of macrophages. Vet. Res. 2016, 47, 13. [Google Scholar] [CrossRef] [PubMed]
- de Jong, S.D.; Basha, G.; Wilson, K.D.; Kazem, M.; Cullis, P.; Jefferies, W.; Tam, Y. The immunostimulatory activity of unmethylated and methylated CpG oligodeoxynucleotide is dependent on their ability to co-localize with TLR9 in late endosomes. J. Immunol. 2010, 184, 6092–6102. [Google Scholar] [CrossRef]



| TLR | Species | Concentration | Species * Concentration |
|---|---|---|---|
| 1 | <0.001 ** | 0.184 | 0.107 |
| 2 | <0.001 ** | 0.015 * | 0.272 |
| 3 | <0.001 ** | 0.089 | 0.02 |
| 4 | <0.001 ** | 0.086 | < 0.001 ** |
| 6 | 0.147 | 0.195 | 0.017 |
| 9 | 0.09 | 0.326 | 0.274 |
Disclaimer/Publisher’s Note: The statements, opinions and data contained in all publications are solely those of the individual author(s) and contributor(s) and not of MDPI and/or the editor(s). MDPI and/or the editor(s) disclaim responsibility for any injury to people or property resulting from any ideas, methods, instructions or products referred to in the content. |
© 2024 by the authors. Licensee MDPI, Basel, Switzerland. This article is an open access article distributed under the terms and conditions of the Creative Commons Attribution (CC BY) license (https://creativecommons.org/licenses/by/4.0/).
Share and Cite
Tassi, R.; Todd, H.; Ballingall, K.T. Mastitis Pathogens Mannheimia haemolytica, Staphylococcus aureus, and Streptococcus uberis Selectively Alter TLR Gene Transcription in Sheep Mammary Epithelial Cells. Microbiol. Res. 2024, 15, 1772-1783. https://doi.org/10.3390/microbiolres15030118
Tassi R, Todd H, Ballingall KT. Mastitis Pathogens Mannheimia haemolytica, Staphylococcus aureus, and Streptococcus uberis Selectively Alter TLR Gene Transcription in Sheep Mammary Epithelial Cells. Microbiology Research. 2024; 15(3):1772-1783. https://doi.org/10.3390/microbiolres15030118
Chicago/Turabian StyleTassi, Riccardo, Helen Todd, and Keith T. Ballingall. 2024. "Mastitis Pathogens Mannheimia haemolytica, Staphylococcus aureus, and Streptococcus uberis Selectively Alter TLR Gene Transcription in Sheep Mammary Epithelial Cells" Microbiology Research 15, no. 3: 1772-1783. https://doi.org/10.3390/microbiolres15030118
APA StyleTassi, R., Todd, H., & Ballingall, K. T. (2024). Mastitis Pathogens Mannheimia haemolytica, Staphylococcus aureus, and Streptococcus uberis Selectively Alter TLR Gene Transcription in Sheep Mammary Epithelial Cells. Microbiology Research, 15(3), 1772-1783. https://doi.org/10.3390/microbiolres15030118

