Abstract
Classification tree is a widely used machine learning method. It has multiple implementations as R packages; rpart, ctree, evtree, tree and C5.0. The details of these implementations are not the same, and hence their performances differ from one application to another. We are interested in their performance in the classification of cells using the single-cell RNA-Sequencing data. In this paper, we conducted a benchmark study using 22 Single-Cell RNA-sequencing data sets. Using cross-validation, we compare packages’ prediction performances based on their Precision, Recall, -score, Area Under the Curve (AUC). We also compared the Complexity and Run-time of these R packages. Our study shows that rpart and evtree have the best Precision; evtree is the best in Recall, -score and AUC; C5.0 prefers more complex trees; tree is consistently much faster than others, although its complexity is often higher than others.
1. Introduction
Most human tissues are considered to be a micro-environment, which consists of various types of cells. The Cell Atlas contains information about the proportions of cells in each type and cell type-specific gene expression profiles, which is critical for studying and treating tumors and other diseases [1,2,3,4,5]. Single-cell sequencing is a new technology developed recently, which allows researchers to study gene expression levels at a high resolution of single-cell level [6,7,8,9,10,11,12,13]. In the last few years, using single-cell RNA-sequencing (scRNA-seq) technology, Cell Atlases were studied for many diseases and tumors, such as Fabric Lung [14] and brain tumors [15,16]. To annotate the cell types using scRNA-seq data, researchers first cluster the cells using an unsupervised machine learning approach, and then ‘manually’ annotate the cell type of cells in each cluster according to their gene expression profiles. This manual approach is time consuming and generates inconsistent results across studies depending on the decisions of researchers.
While many Cell Atlases were built for various cell types and diseases, in newer studies researchers do not have to use an unsupervised learning approach to annotate Cell Atlases. A supervised learning approach can be applied to annotate cell types in a much faster and less subjective way [17,18,19,20,21,22,23,24]. We consider the supervised learning approach for cell-type annotation as a special case of a more general purpose task, that is, classification of cell phenotypes, such as cell development stages, stimulated cells versus wild-type cells and so forth.
A classification tree is a popular supervised machine learning method, applied widely in genomics research [25,26,27,28,29,30]. The structures of classification trees represent predicted decisions (the higher the level in the hierarchy, the better the prediction) based on analysis of numerical values or categories. We are interested in applying the classification tree method to annotate cell types using scRNA-seq data.
The classification tree method is implemented in multiple software packages, with different performances with classification and speed. It is unclear which package can perform better than others in our task of cell-type annotation. This concern motivated our work in this paper.
Using 22 scRNA-seq data sets from published studies, we will conduct a benchmark study to investigate the performance of the five most common software R packages for classification. These data sets were pre-processed using a consistent procedure and made available via the Conquer repository [31].
The rest of this paper is organized as follows—in the materials and methods section, we will list methods under testing, describe selected data sets in detail and explain our methodology of conducting our experiment. In the results section, we will share our results and provide analyses. Finally, we will summarize our findings in the discussion section and draw our conclusion.
2. Materials and Method
2.1. Notations
The cell phenotype classification problem is a supervised machine learning task. The predictors are the gene expression profiles of each cell, which is denoted as a matrix , where i represents the index of genes and j represents the index of cells. The outcome of the classification is the cell phenotypes, which is a vector denoted as , where i represents the genes that have expression.
2.2. Software Packages to Be Evaluated
For multi-class classification, we can construct multiple binary classification models (in-class versus out-of-class), one for each class. Each model can estimate the probability of a class and assign the membership to the class with the largest probability. Furthermore, many cell-type classification problems are binary (e.g., stimulated versus wild-type).
So for simplicity, in this study, we are only considering binary classification performance. When describing classification procedures, we use 1 to denote True and 0 to denote False. The software packages to be evaluated are listed as below.
rpart [32] (Recursive Partitioning and Regression Trees) is the most commonly used R package that perform both classification and regression. It uses Gini impurity where the probability of any randomly selected elements from a data set incorrectly classified is calculated. The probability score is calculated by summing all probability and subtracting from 1, that is,
ctree [33] (Conditional Inference Trees) is part of partykit R package. The tree’s algorithm tests a condition or a hypothesis between variables and then splits if the hypothesis was rejected.
evtree [34] (Evolutionary Tree) is based on an evolutionary algorithm. Using the package, a random tree is created at first and then updated periodically after each iteration. The algorithm halts when no change to the most current model is required.
tree package is used for classification or regression. It is based on measuring the impurity and deciding where to create a split. Eventually, splitting halts when the split is not worth following.
C5.0 is a package that extends the C4.5 classification algorithm which itself is an extension of the ID3 algorithm. The algorithm creates a tree by calculating the entropy of samples under testing and splits the branch accordingly.
2.3. The Benchmark Data Sets
The data sets under testing were extracted from the project Conquer (consistent quantification of external RNA-Sequencing data) repository developed by C. Soneson and M. Robinson at the University of Zurich, Switzerland [31]. Three organisms were included in the repository—Homo sapiens, Mus musculus and Danio rerio. Each data set contains a different number of cells. Six protocols were followed to obtain cell sequences—SMARTer C1, Smart-Seq2, SMART-Seq, Tang, Fluidigm C1Auto prep and SMARTer.
We have explored all data sets in the Conquer repository. Unfortunately, not all data sets suit our test. For a data set to be suitable for our testing methodology, we have to make sure that its samples can be divided into two groups based on a common phenotype for each group; thus, we can identify that phenotype with 1s or 0s. For example, the data set GSE80032 was excluded because all its samples have the same phenotype thus we have no bases to divide them. Also, each group of samples must not be so small that, when testing, they generate a misclassification or execution errors. We found that both sample groups must have at least 30 samples to avoid errors and misclassification.
There are 22 data sets that fit our test. These data sets are listed in Table 1 as they were presented in the Conquer repository along with the protocol type used.
Table 1.
List of selected data sets along with their IDs, organisms where the cells were taken from, a brief description, cell counts and sequencing protocols used.
Accessing information within these data sets is not a straightforward process. Thus, before proceeding in our test, each data set has to be prepared and normalized before fitting into our methods.
In order to access an abundance of genes, we closely followed procedural steps provided by the Conquer repository authors. By using R programming language, we retrieved ExperimentList instances that contained RangedSummarizedExperiment for gene-level object. This allowed us to access abundances which included TPM (Transcripts per million) abundance for each specific gene, gene count, length-scaled TPMs as well as average of transcripts length found in each sample for each particular gene. For our test, we chose genes TPM abundance and used them as input predictor matrix , where i represents samples and j represents genes.
At this point, we had full access to the desired type of information; nevertheless, we had to normalize the matrix to fit into our test. At first, we rotated the dimensions of X so samples became rows and genes were the columns; thus, .
We then looked into the phenotype associated with the data set, using table(colData (dataset)) R command, in order to find two distinguished phenotypical characteristics associated with samples group in X. We denoted the first characteristic with 1 and the second with 0. We replaced samples IDs with either 1 or 0 so we could distinguish them within our classified model. For example, in the data set EMTAB2805, there are different phenotypes associated with each group of samples. We picked two phenotypes that were based on stages of cell cycle stage, and . Thus, samples associated with the first stage, , were replaced by 1, True, and samples associated with the second stage, were replaced by 0, false. We eliminated any extra samples associated with other cell cycle stages, if any.
At this point, j in is a binary value where the first group of sample with one distinguished phenotype is represented by 1 and the other group is represented by 0.
Table 2 includes all the aforementioned data sets but after identifying the appropriate phenotypes that were going to be used in our test.
Table 2.
List of data sets used in the test along with their associated phenotype that were sat for either 1 or 0.
Finally, we conducted a Wilcoxon Test on the data of X in order to find out p-values associated with each gene.
Due to problems related to memory exhaustion and time for excessive executions we had to trim our matrix; thus, we picked the first 1000 genes with the lowest p-value to include in X. Consequently, the final form of our matrix was where i ranged from 1 to 1000 and j ranged from 1 to n and separated into two groups of 1 s and 0 s.
At this point, we could proceed with testing and easily split our matrix. At the beginning of each testing iteration, we shuffled the rows of matrix (samples that were denoted by 1 and 0) to prevent any biases that may result from having identical samples IDs.
We proceeded into our 10-fold cross-validation testing. We took 10% of the samples (rows) and set them as our testing set. We took the rest of the samples as our training set. After we measured system’s time (method’s start time) we fitted the training set into the first method, . Immediately after the method stopped its execution, we measured the system’s time (the method’s end time). We subtracted the starting time from the ending time so the result is considered to be the method’s Run-time.
After we constructed our model, we used this model for prediction using our testing set. We first extracted the confusion matrix (a matrix). In a few cases we had only a one dimension matrix due to the fact that no misclassification occurred, but we programmatically forced the formation of a matrix in order to be able to always calculate the true positive values and false positive values. We then calculated the Precision by dividing the total number of true positive values over the total number of true positive values and the total number of false positive values. The result is the method’s Precision. We also calculated the method’s recall by dividing the total number of true positive values over the total number of true positive values and the total number of false negative values from the same confusion matrix.
Since we had the method’s precision and recall we used them to calculate the value of score that is the method’s precision multiplied by the method’s recall over the total value of both method’s precision and recall, multiplied by 2.
We then proceeded to compute the receiver operating characteristic (ROC) using package pROC and, consequently, we obtained the AUC measurement. At the end, we constructed our model tree and computed the number of nodes and leaves (the complexity score).
We proceeded into testing the second method, . We repeated the same steps applied on the first method, and we collected scores for Precision, Recall, score, AuC, Complexity and Run-time. We then proceeded to test , and , respectively.
In the second iteration of our cross-validation testing, we took the second fold (the adjacent 10% of the data set) as our testing set and the rest of the samples (including what was in the previously tested fold) as our training set. We repeated the same steps applied previously using these newly created testing and training sets. At the end of this 10-fold cross-validation testing, we had 10 scores for each method’s Precision, Recall, score, AUC, Complexity and Run-time. We collected these scores and took their as the final score.
The previously explained testing procedure (from shuffling samples to collecting mean scores of method’s Precision, Recall, score, AUC, Complexity and Runtime) is repeated 100 times. Each time we collect mean scores and we plot our final results thus we proceed to analysis.
2.4. Design of Evaluation Experiments
In this study, we compared the performance of classification using a Cross-validation approach. Each data set was randomly split into different folds. At each iteration, one fold was taken as a testing set (usually represents 10% of the total data set) and the rest of the remaining folds were taken as a training set (90% of the total data set). At the following iteration, the adjacent fold was sat as a testing set and the rest of the remaining folds as a training set and so on. The scores were defined to describe the classification criteria, and the Arithmetic Mean of all scores collected from each iteration is the final score that was used to measure the intended performance. The six scores of evaluation criteria (Precision, Recall, score, AUC statistics, complexity and Runtime) are defined as below.
We define Precision as the number of correctly predicted true signals over the total number of false signals that are classified as true signals and the total number of the correctly predicted true signals. That is denoted as:
We define Recall as the number of correctly predicted true signals over the total number of false signals that are classified as false signals and the total number of the correctly predicted true signals. That is denoted as:
Consequently, we define the score as:
We define Complexity as the total number of all splits in the model tree, that is, the total number of all nodes and leaves, including the first node.
The Area Under the Curve (AUC) calculates the area under an ROC (Receiver Operating Characteristic) curve, which is basically a plot of scores calculated for both True Positive Rate (represented in the y-axis) and False Positive Rate (represented in the x-axis) at different variations of thresholds. In other words, an AUC measures the ability for a model to distinguish between positive signals and negative signals. The higher the AUC’s score, the better the model in prediction.
The summary of prediction performance of software depends on how the data sets are split into folds (or subsets) but this split effect is not what we intended to show in the evaluation of the methods. So, to remove impact of random split and generate more reliable results, we repeated the test 100 times—each time we randomized the matrix. Then we summarized the performance over 100 repeats and used these on the software.
Algorithm 1 describes the flow of the testing stages after we converted the matrix X into the desirable form.
| Algorithm 1 Procedure of Evaluating Software Using Cross-validation |
|
2.5. Implementation of Testing Code
The testing codes were implemented in R programming language. All scripts were deposited at https://github.com/Omar-Alaqeeli/ClassificationTreesPackagesTesting/ as of 27 February 2021. There are 22 R scripts that each script retrieves, processes one data set and fit it into all methods. The first script contains installation code lines of necessary packages and all script include code lines that import necessary packages which some of them depend on other packages. Subject data sets can not be deposited in the above link due to their size but they can be found at the Conquer repository website: http://imlspenticton.uzh.ch/robinson_lab/conquer_de_comparison/, (accessed on 6 April 2021). All codes were ran on a personal computer using version 3.6.1. of R Studio. Table 3 shows the full specifications of the system and R Studio used:
Table 3.
System and R Studio specification details at the time of testing subjected R packages.
3. Results
In order to analyse and nominate the best method in each performance category, we collected the mean of all scores obtained from testing each method. The Methods performance was measured and recorded for Precision, Recall, score, AUC, Complexity and Run-time. In each category, 100 scores were recorded at each of the 100 testing iterations. In this section, we analyse the methods’ performance in each category (Figure 1) and provide visualization of their performances with each data set (Figure 2, Figure 3, Figure 4, Figure 5, Figure 6, Figure 7), as well as an individual visualization of each method by itself on all data sets (Supplementary Figures S1–S30).
Figure 1.
Sample sizes (x-axis) versus Precision, Recall, , Area Under the Curve (AUC), Complexity and Runtime (y-axis).
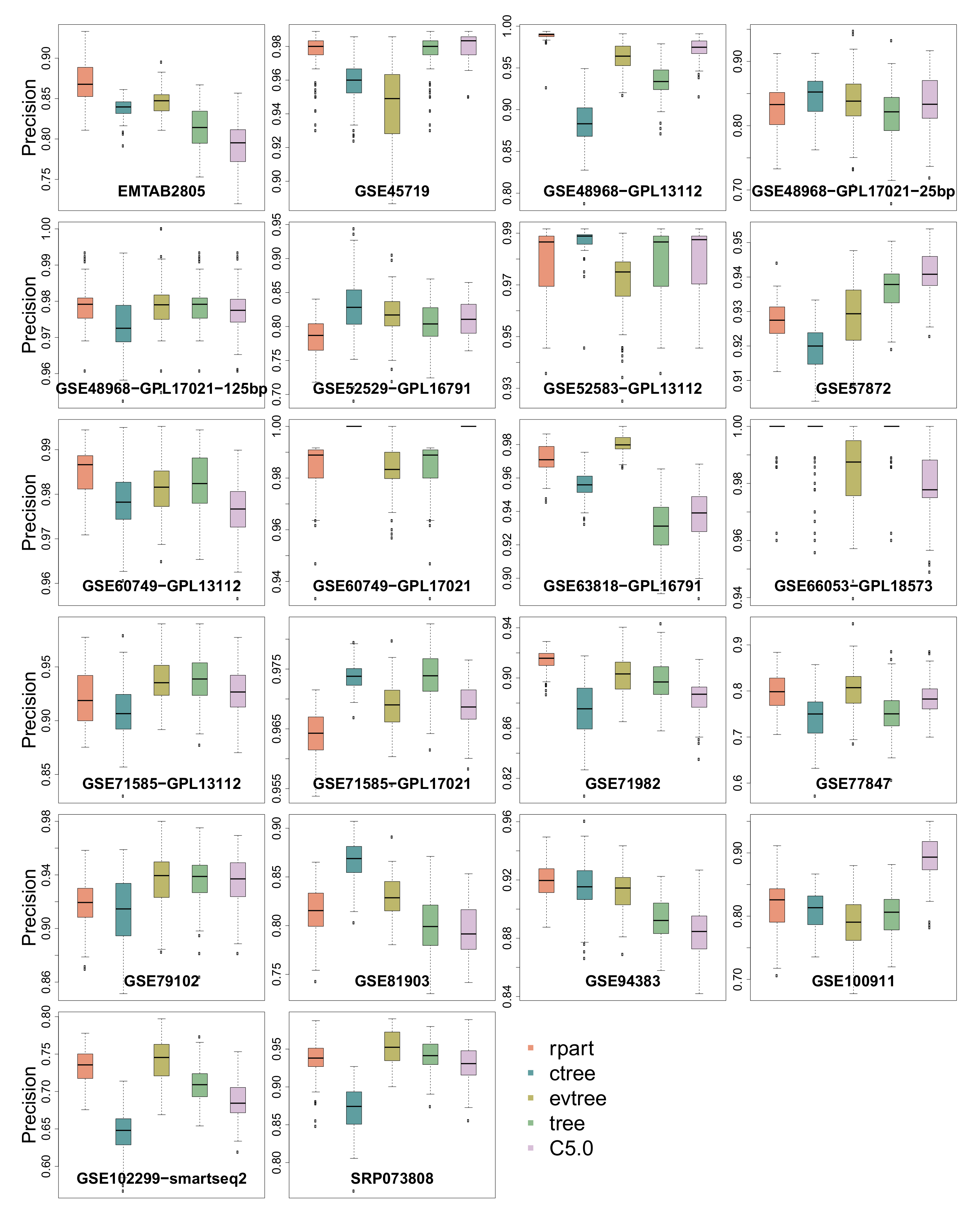
Figure 2.
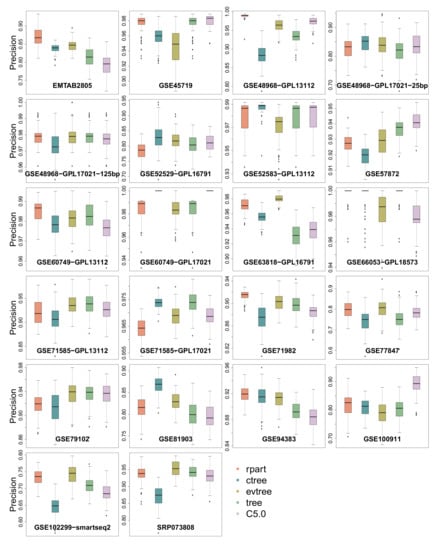
Methods’ Precision scores on all data sets.
Figure 3.
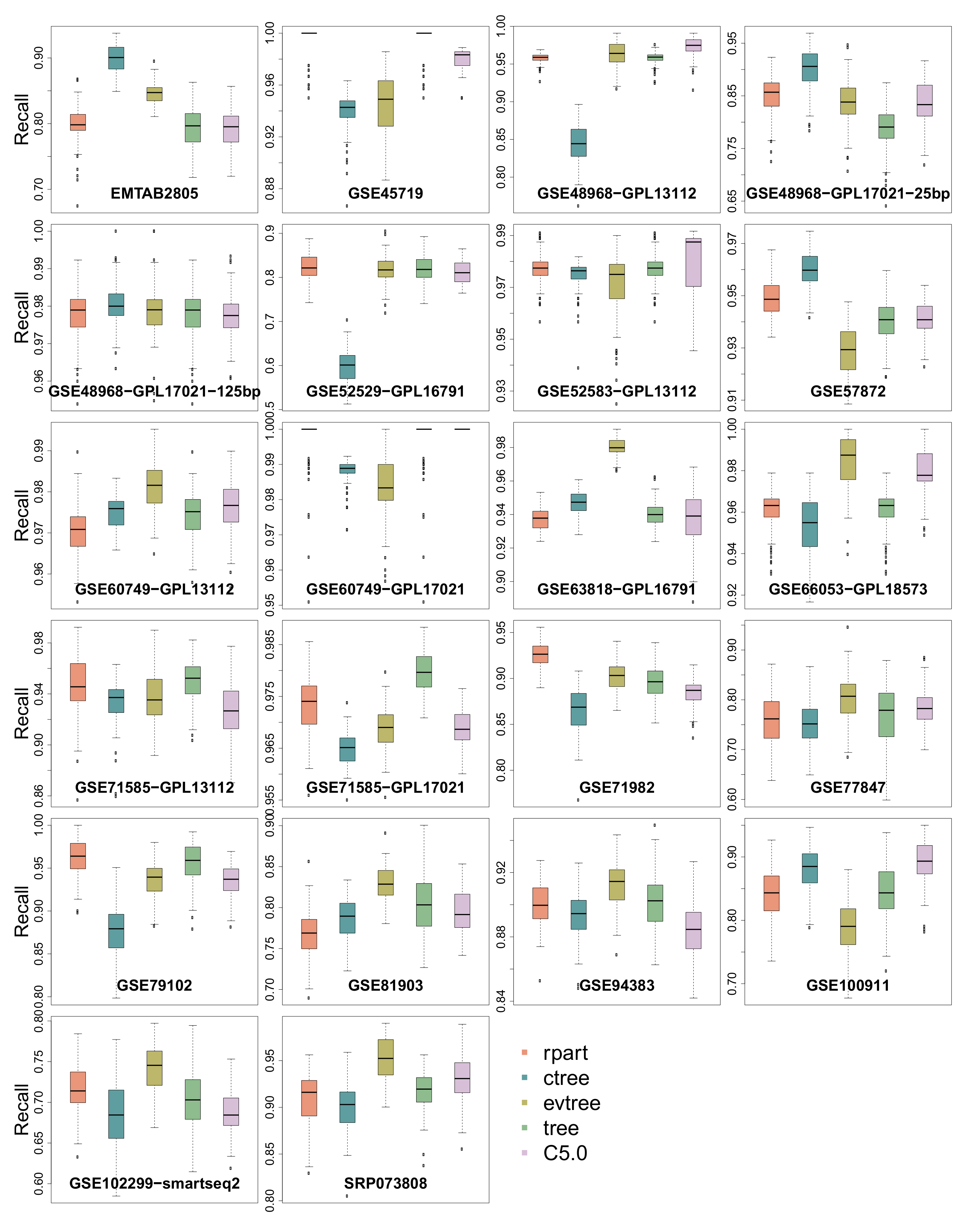
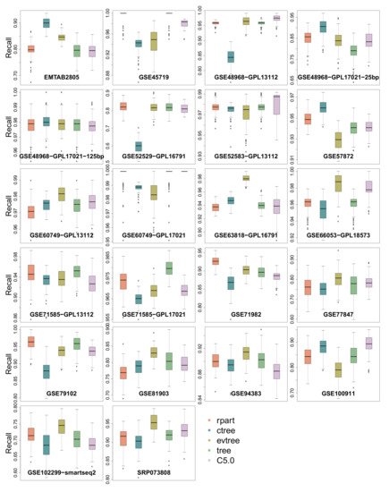
Methods’ Recall scores on all data sets.
Figure 4.
Methods’ F1score scores on all data sets.
Figure 5.
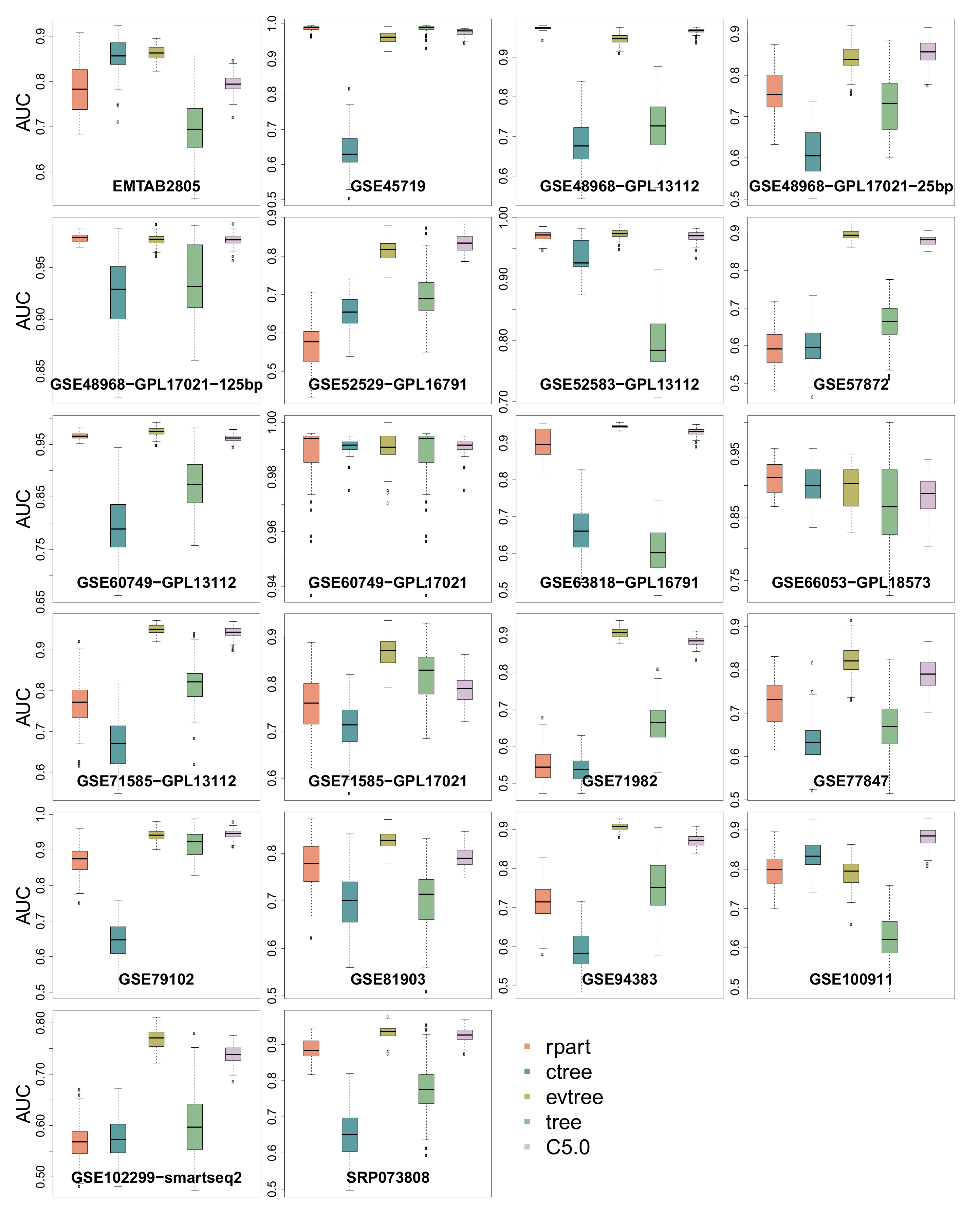
Methods’ AUC scores on all data sets.
Figure 6.
Methods’ Complexity scores on all data sets.

Figure 7.
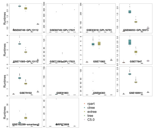
Methods’ Runtime scores on all data sets.
3.1. Precision
Precision scores for all methods were collected periodically at the end of each testing iteration. In some cases, the values were distributed on a wide Interquartile range, but in other cases they were the complete opposite. We found no correlation between the size of the Interquartile range and the size of the sets or the size of the Interquartile range and the number of 1s and 0s in the training and the testing sets. For example, when we used GSE71585-GPL17021, which has 748 samples, all methods show very narrow Interquartile ranges (approx. 0.95–0.98). Conversely, all methods have wide Interquartile ranges when tested on GSE77847, which has only 96 samples (approx. 0.6–0.9).
To compare the methods’ precision, we calculated the arithmetic mean and standard deviation for all scores collected (Supplementary Tables S1 and S2). Although all values were close to each other, it appears that rpart and evtree scored the highest in 9 data sets, followed by all other methods that scored highest in 8 data sets. However, some methods that scored highest when testing a specific data set have shown a higher standard deviation which indicates that there is a fluctuation in their performances.
For some data sets, all, or nearly all, methods have similar mean values, such as in GSE48968-GPL17021-125bp, GSE60749-GPL13112 and GSE71585-GPL17021.
3.2. Recall
We calculated the methods’ recall and their arithmetic mean immediately after the precision (Figure 2). Similarly to the precision, the values are distributed on a wide Interquartile range. Since the size of the sets has no effect on the score of the precision then the situation is similar for the recall.
We calculated the arithmetic mean and standard deviation for all scores collected for methods’ recall (Supplementary Tables S3 and S4). evtree scored the highest in 10 data sets, followed by rpart and tree with highest in 8 data sets then C5.0 in 7 data sets. ctree has scored the highest in only 4 data sets. Similar to the precision, all methods scored similar when testing GSE48968-GPL17021-125bp data set.
3.3. -Score
Measuring methods’ -scores was a consequence of results obtained from methods’ precision and recall (Figure 3).
Similar to calculating the precision and recall, we calculated the arithmetic mean scores and standard deviation of the -scores (Supplementary Tables S5 and S6). evtree scored the highest in 13 data sets followed by rpart in 11 data sets. tree was next with 9 data sets and C5.0 with highest in 7 data sets. ctree came last with highest in 6 data sets.
All methods scored the same in the data sets GSE48968-GPL17021-125bp, GSE52583-GPL13112, GSE60749-GPL17021.
3.4. Area Under the Curve
Similarly to the Precision, Recall and score, scores for methods’ AUC fluctuated. All methods show larger Interquartile ranges when tested on some data sets and narrower Interquartile ranges when tested on others. As with the Precision, there is not any correlation between the size of the training and testing sets and scores recorded for methods’ AUC.
We have calculated the mean and standard deviation for scores collected for all methods (Supplementary Tables S7 and S8) to be able to compare them. evtree has the highest score in 16 data sets with no method with a score near to it. This score followed by C5.0 with the highest score in 9 data sets and then rpart with the highest score in 7 data sets. ctree and tree came out the lowest with 2 of the highest scores in only 2 data sets. All methods score the same (0.99) when testing on GSE60749-GPL17021.
3.5. Complexity
The complexity scores were collected when creating model trees using the training sets at every iteration. It is normal to assume that a correlation exists between the mean scores of methods’ complexities, or the size of the Interquartile range, and the size of the training set; the larger the training set, the higher the complexity mean score, thus the larger the Interquartile range. However, we found that this is not entirely accurate.
We calculated the mean and standard deviation for methods’ Complexities (Supplementary Tables S9 and S10). C5.0 scored the highest in 11 data sets, followed by tree with the highest in 8 data sets, then ctree in 5 data sets. rpart and evtree scored no near to them with only highest in 1 data sets.
3.6. Runtime
A method’s Run-time was calculated based on how long it takes the method to create a model tree. We calculated the Run-time, in seconds, for all methods at every iteration. The lower the score, the faster the method. Very few scores are outliers thus we eliminated them from the plots (Figure 6) so the y-axis is adjusted correctly thus to be able to view methods’ Interquartile range correctly.
We found that there exists a correlation between the size of the run-time score Interquartile ranges and training sets.
Analyzing the mean and standard deviation of Run-times in (Supplementary Tables S11 and S12) we induce that tree has scored fastest in all 22 data sets with no method near it. No other method has scored lower in any data sets.
4. Discussion and Conclusions
We have evaluated the performance of the five widely used methods using scRNA-seq data sets. We measured Precision, Recall, score AUC, Complexity and Run-time using a cross-validation testing in 100 iterations. At every iteration, and for every performance category, we collected the scores from fitting all methods. We based our comparison on the mean of all those scores.
In terms of Precision, we nominate rpart as the best among other methods in this category, although all methods nearly close in performance to each others. For the Recall category, evtree has the best performance with a competition from rpart and tree. Similarly, evtree has the best the score among all methods, followed by rpart.
In the AUC category, we found out that evtree has the top performance and none of the other methods are close to its performance. For Complexity, C5.0 shows the ability to create more complex trees and only one method was close to its performance.
Although it is hard to measure an R package’s Run-time performance, since a lot of factors can affect the accuracy of the measurement such as system hardware, or complexity of the algorithm used by the package, we ensured to measure the methods’ Run-times under the same circumstances. Thus, we found out that tree is without a doubt the fastest among all methods since its Run-time is the lowest in all data sets.
Table 4 shows that evtree has the best performance in four categories; Precision, Recall, score and AUC. rpart is competing with evtree in precision, C5.0 always prefers more complex models; tree is the fastest consistently although it often fits more complex trees than others.
Table 4.
In this summary table, rpart and evtree scored highest in 9 data sets with regard to Precision. evtree scored highest in 10, 13 and 16 data sets with regard to Recall, score and AUC, respectively. C5.0 scored highest in 11 data sets with regard to creating complex trees. Finally, tree shows that it is the fastest. The highest scores in each category are highlighted in bold font.
Supplementary Materials
The following are available online at https://www.mdpi.com/article/10.3390/microbiolres12020022/s1, Figure S1: rpart scores in all datasets., Figure S2: ctree scores in all datasets., Figure S3: evtree scores in all datasets., Figure S4: tree scores in all datasets., Figure S5: C5.0 scores in all datasets., Figure S6: rpart scores in all datasets., Figure S7: ctree scores in all datasets., Figure S8: evtree scores in all datasets., Figure S9: tree scores in all datasets., Figure S10: C5.0 scores in all datasets., Figure S11: rpart scores in all datasets., Figure S12: ctree scores in all datasets., Figure S13: evtree scores in all datasets., Figure S14: tree scores in all datasets., Figure S15: C5.0 scores in all datasets., Figure S16: rpart scores in all datasets., Figure S17: ctree scores in all datasets., Figure S18: evtree scores in all datasets., Figure S19: tree scores in all datasets., Figure S20: C5.0 scores in all datasets., Figure S21: rpart scores in all datasets., Figure S22: ctree scores in all datasets., Figure S23: evtree scores in all datasets., Figure S24: tree scores in all datasets., Figure S25: C5.0 scores in all datasets., Figure S26: rpart scores in all datasets., Figure S27: ctree scores in all datasets., Figure S28: evtree scores in all datasets., Figure S29: tree scores in all datasets., Figure S30: C5.0 scores in all datasets. Table S1: Methods Precision mean scores., Table S2: Methods Precision standard deviation scores., Table S3: Methods Recall mean scores., Table S4: Methods Recall standard deviation scores., Table S5: F1-score mean scores for methods using all data-sets., Table S6: F1-score standard deviation scores for methods using all data-sets., Table S7: AUC mean scores for all methods using all data-sets., Table S8: AUC standard deviation scores for all methods using all data-sets., Table S9: Complexity mean scores for methods using all datasets., Table S10: Complexity standard deviation scores for methods using all datasets., Table S11: Methods Run-time mean scores using all data-sets., Table S12: Methods Runtime standard deviation using all data-sets.
Author Contributions
Conceptualization, X.Z. and L.X.; formal analysis and programming, O.A. under supervision of X.Z.; writing—original draft preparation, O.A.; writing—review and editing, X.Z.; All authors have read and agreed to the published version of the manuscript.
Funding
The research was funded by the Natural Sciences and Engineering Research Council of Canada (NSERC) Discovery Grants (LX and XZ) and Canada Research Chair Grant (XZ). This research was enabled in part by support provided by WestGrid (www.westgrid.ca, accessed on 6 April 2021) and Compute Canada (www.computecanada.ca, accessed on 6 April 2021).
Data Availability Statement
The testing codes and plots are available and can be downloaded from the GitHub page: github.com/Omar-Alaqeeli/ClassificationTreesTesting, (accessed on 6 April 2021). The scRNA-seq data of 22 studies are available on Conquer repository website: http://imlspenticton.uzh.ch/robinson_lab/conquer_de_comparison/, (accessed on 6 April 2021).
Conflicts of Interest
The authors declare no conflict of interest.
Abbreviations
| AUC | Area Under the Curve |
| scRNA-seq | Single-cell Ribonucleicacid Sequencing |
| ROC | Receiver Operating Characteristic |
| TPM | Transcripts per million |
References
- Qian, J.; Olbrecht, S.; Boeckx, B.; Vos, H.; Laoui, D.; Etlioglu, E.; Wauters, E.; Pomella, V.; Verbandt, S.; Busschaert, P.; et al. A pan-cancer blueprint of the heterogeneous tumor microenvironment revealed by single-cell profiling. Cell Res. 2020, 30, 745–762. [Google Scholar] [CrossRef] [PubMed]
- Zhou, Y.; Yang, D.; Yang, Q.; Lv, X.; Huang, W.; Zhou, Z.; Wang, Y.; Zhang, Z.; Yuan, T.; Ding, X.; et al. Single-cell RNA landscape of intratumoral heterogeneity and immunosuppressive microenvironment in advanced osteosarcoma. Nat. Commun. 2020, 11, 6322. [Google Scholar] [CrossRef]
- Adams, T.S.; Schupp, J.C.; Poli, S.; Ayaub, E.A.; Neumark, N.; Ahangari, F.; Chu, S.G.; Raby, B.A.; DeIuliis, G.; Januszyk, M.; et al. Single-cell RNA-seq reveals ectopic and aberrant lung-resident cell populations in idiopathic pulmonary fibrosis. Sci. Adv. 2020, 6, eaba1983. [Google Scholar] [CrossRef] [PubMed]
- Seyednasrollah, F.; Rantanen, K.; Jaakkola, P.; Elo, L.L. ROTS: Reproducible RNA-seq biomarker detector—Prognostic markers for clear cell renal cell cancer. Nucleic Acids Res. 2015, 44, e1. [Google Scholar] [CrossRef] [PubMed]
- Arnold, C.D.; Gerlach, D.; Stelzer, C.; Boryń, Ł.M.; Rath, M.; Stark, A. Genome-Wide Quantitative Enhancer Activity Maps Identified by STARR-seq. Science 2013, 339, 1074–1077. [Google Scholar] [CrossRef]
- Nawy, T. Single-cell sequencing. Nat. Methods 2014, 11, 18. [Google Scholar] [CrossRef]
- Gawad, C.; Koh, W.; Quake, S.R. Single-cell genome sequencing: Current state of the science. Nat. Rev. Genet. 2016, 17, 175–188. [Google Scholar] [CrossRef]
- Metzker, M.L. Sequencing technologies—The next generation. Nat. Rev. Genet. 2010, 11, 31–46. [Google Scholar] [CrossRef]
- Elo, L.L.; Filen, S.; Lahesmaa, R.; Aittokallio, T. Reproducibility-Optimized Test Statistic for Ranking Genes in Microarray Studies. IEEE/ACM Trans. Comput. Biol. Bioinform. 2008, 5, 423–431. [Google Scholar] [CrossRef]
- Kowalczyk, M.S.; Tirosh, I.; Heckl, D.; Rao, T.N.; Dixit, A.; Haas, B.J.; Schneider, R.K.; Wagers, A.J.; Ebert, B.L.; Regev, A. Single-cell RNA-seq reveals changes in cell cycle and differentiation programs upon aging of hematopoietic stem cells. Genome Res. 2015, 25, 1860–1872. [Google Scholar] [CrossRef]
- Sandberg, R. Entering the era of single-cell transcriptomics in biology and medicine. Nat. Methods 2014, 11, 22–24. [Google Scholar] [CrossRef]
- Islam, S.; Kjällquist, U.; Moliner, A.; Zajac, P.; Fan, J.B.; Lönnerberg, P.; Linnarsson, S. Characterization of the single-cell transcriptional landscape by highly multiplex RNA-seq. Genome Res. 2011, 21, 1160–1167. [Google Scholar] [CrossRef]
- Patel, A.P.; Tirosh, I.; Trombetta, J.J.; Shalek, A.K.; Gillespie, S.M.; Wakimoto, H.; Cahill, D.P.; Nahed, B.V.; Curry, W.T.; Martuza, R.L.; et al. Single-cell RNA-seq highlights intratumoral heterogeneity in primary glioblastoma. Science 2014, 344, 1396–1401. [Google Scholar] [CrossRef]
- Habermann, A.C.; Gutierrez, A.J.; Bui, L.T.; Yahn, S.L.; Winters, N.I.; Calvi, C.L.; Peter, L.; Chung, M.I.; Taylor, C.J.; Jetter, C.; et al. Single-cell RNA sequencing reveals profibrotic roles of distinct epithelial and mesenchymal lineages in pulmonary fibrosis. Sci. Adv. 2020, 6, eaba1972. [Google Scholar] [CrossRef] [PubMed]
- Bauer, S.; Nolte, L.; Reyes, M. Segmentation of brain tumor images based on atlas-registration combined with a Markov-Random-Field lesion growth model. In Proceedings of the 2011 IEEE International Symposium on Biomedical Imaging: From Nano to Macro, Chicago, IL, USA, 30 March–2 April 2011; pp. 2018–2021. [Google Scholar] [CrossRef]
- Darmanis, S.; Sloan, S.A.; Zhang, Y.; Enge, M.; Caneda, C.; Shuer, L.M.; Hayden Gephart, M.G.; Barres, B.A.; Quake, S.R. A survey of human brain transcriptome diversity at the single cell level. Proc. Natl. Acad. Sci. USA 2015, 112, 7285–7290. [Google Scholar] [CrossRef] [PubMed]
- Pliner, H.A.; Shendure, J.; Trapnell, C. Supervised classification enables rapid annotation of cell atlases. Nat. Methods 2019, 16, 983–986. [Google Scholar] [CrossRef] [PubMed]
- Jaakkola, M.K.; Seyednasrollah, F.; Mehmood, A.; Elo, L.L. Comparison of methods to detect differentially expressed genes between single-cell populations. Briefings Bioinform. 2016, 18, 735–743. [Google Scholar] [CrossRef]
- Law, C.W.; Chen, Y.; Shi, W.; Smyth, G.K. Voom: Precision weights unlock linear model analysis tools for RNA-seq read counts. Genome Biol. 2014, 15, R29. [Google Scholar] [CrossRef]
- McCarthy, D.J.; Chen, Y.; Smyth, G.K. Differential expression analysis of multifactor RNA-Seq experiments with respect to biological variation. Nucleic Acids Res. 2012, 40, 4288–4297. [Google Scholar] [CrossRef]
- Rapaport, F.; Khanin, R.; Liang, Y.; Pirun, M.; Krek, A.; Zumbo, P.; Mason, C.E.; Socci, N.D.; Betel, D. Comprehensive evaluation of differential gene expression analysis methods for RNA-seq data. Genome Biol. 2013, 14, 3158. [Google Scholar] [CrossRef]
- Miao, Z.; Zhang, X. Differential expression analyses for single-cell RNA-Seq: Old questions on new data. Quant. Biol. 2016, 4, 243–260. [Google Scholar] [CrossRef]
- Stegle, O.; Teichmann, S.A.; Marioni, J.C. Computational and analytical challenges in single-cell transcriptomics. Nat. Rev. Genet. 2015, 16, 133–145. [Google Scholar] [CrossRef] [PubMed]
- Oshlack, A.; Robinson, M.D.; Young, M.D. From RNA-seq reads to differential expression results. Genome Biol. 2010, 11, 220. [Google Scholar] [CrossRef] [PubMed]
- Seyednasrollah, F.; Laiho, A.; Elo, L.L. Comparison of software packages for detecting differential expression in RNA-seq studies. Briefings Bioinform. 2013, 16, 59–70. [Google Scholar] [CrossRef]
- Wang, T.; Li, B.; Nelson, C.E.; Nabavi, S. Comparative analysis of differential gene expression analysis tools for single-cell RNA sequencing data. BMC Bioinform. 2019, 20, 40. [Google Scholar] [CrossRef]
- Krzak, M.; Raykov, Y.; Boukouvalas, A.; Cutillo, L.; Angelini, C. Benchmark and Parameter Sensitivity Analysis of Single-Cell RNA Sequencing Clustering Methods. Front. Genet. 2019, 10, 1253. [Google Scholar] [CrossRef]
- Anders, S.; Pyl, P.T.; Huber, W. HTSeq—A Python framework to work with high-throughput sequencing data. Bioinformatics 2014, 31, 166–169. [Google Scholar] [CrossRef]
- Li, S.; Łabaj, P.; Zumbo, P.; Sykacek, P.; Shi, W.; Shi, L.; Phan, J.; Wu, P.Y.; Wang, M.; Wang, C.; et al. Detecting and correcting systematic variation in large-scale RNA sequencing data. Nat. Biotechnol. 2014, 32, 888–895. [Google Scholar] [CrossRef]
- Delmans, M.; Hemberg, M. Discrete distributional differential expression (D 3 E)—A tool for gene expression analysis of single-cell RNA-seq data. BMC Bioinform. 2016, 17, 110. [Google Scholar] [CrossRef]
- Soneson, C.; Robinson, M.D. Bias, robustness and scalability in single-cell differential expression analysis. Nat. Methods 2018, 15, 255–261. [Google Scholar] [CrossRef]
- Breiman, L.; Friedman, J.H.; Olshen, R.A.; Stone, C.J. Classification and Regression Trees; The Wadsworth & Brooks/Cole statistics/probability Series; Wadsworth & Brooks/Cole Advanced Books & Software: Monterey, CA, USA, 1984. [Google Scholar]
- Hothorn, T.; Hornik, K.; Zeileis, A. Unbiased Recursive Partitioning: A Conditional Inference Framework. J. Comput. Graph. Stat. 2006, 15, 651–674. [Google Scholar] [CrossRef]
- Grubinger, T.; Zeileis, A.; Pfeiffer, K.P. evtree: Evolutionary Learning of Globally Optimal Classification and Regression Trees in R. J. Stat. Softw. Artic. 2014, 61, 1–29. [Google Scholar] [CrossRef]
Publisher’s Note: MDPI stays neutral with regard to jurisdictional claims in published maps and institutional affiliations. |
© 2021 by the authors. Licensee MDPI, Basel, Switzerland. This article is an open access article distributed under the terms and conditions of the Creative Commons Attribution (CC BY) license (https://creativecommons.org/licenses/by/4.0/).







