A Vulnerability Index to Assess the Risk of SARS-CoV-2-Related Hospitalization/Death: Urgent Need for an Update after Diffusion of Anti-COVID Vaccines
Abstract
1. Background
2. Methods
2.1. Data Source
2.2. Study Design and Data Analyses
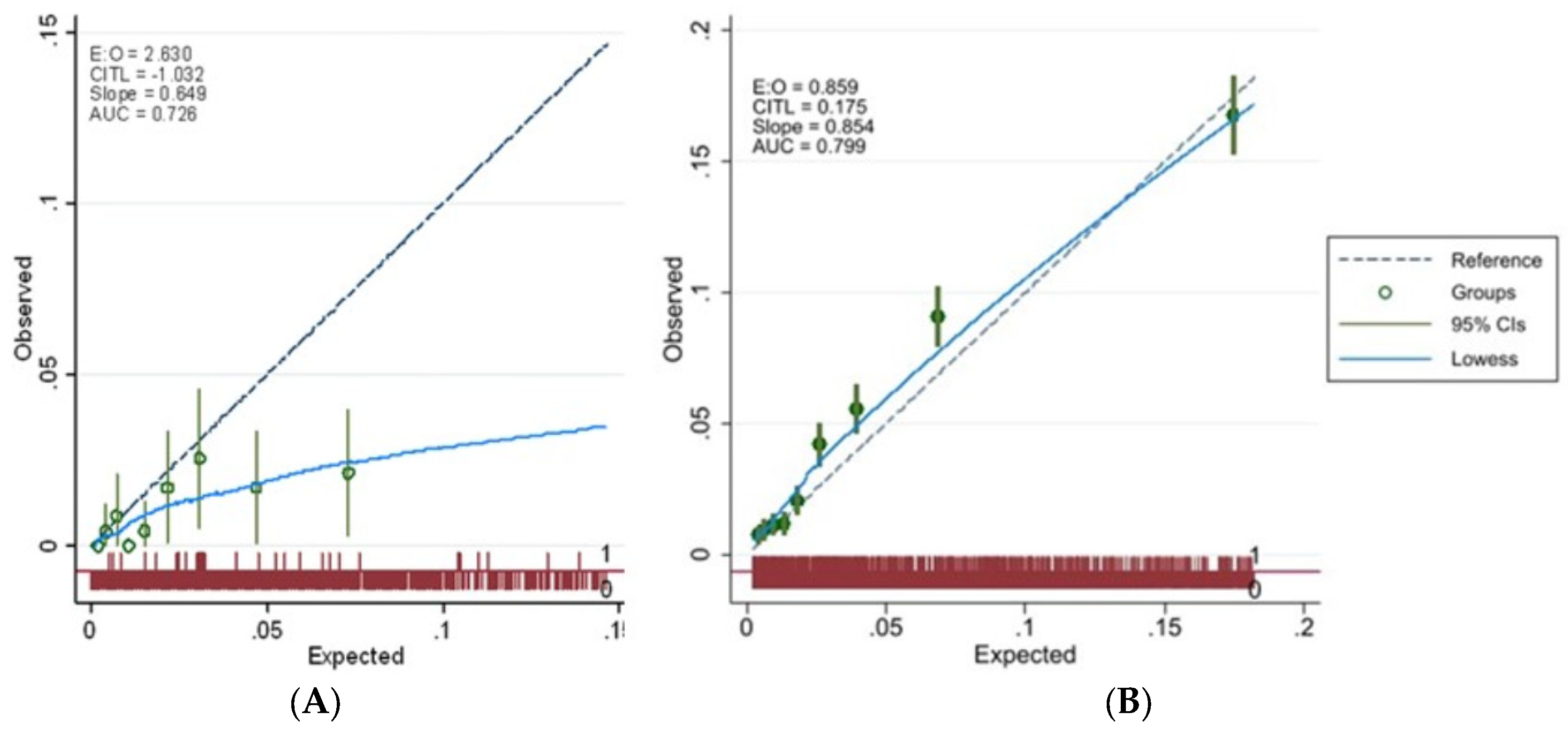
3. Results
4. Discussion
Author Contributions
Funding
Institutional Review Board Statement
Informed Consent Statement
Data Availability Statement
Conflicts of Interest
References
- Lapi, F.; Domnich, A.; Marconi, E.; Rossi, A.; Grattagliano, I.; Lagolio, E.; Medea, G.; Sessa, A.; Cricelli, I.; Icardi, G.; et al. Predicting the risk of severe COVID-19 outcomes in primary care: Development and validation of a vulnerability index for equitable allocation of effective vaccines. Expert Rev. Vaccines 2021, 21, 377–384. [Google Scholar] [CrossRef] [PubMed]
- Season IM of HP and C of IR for. Available online: https://www.trovanorme.salute.gov.it/norme/renderNormsanPdf?anno=2021&codLeg=79647&parte=1&serie=null%0A (accessed on 2 March 2023).
- Cecconi, M.; Piovani, D.; Brunetta, E.; Aghemo, A.; Greco, M.; Ciccarelli, M.; Angelini, C.; Voza, A.; Omodei, P.; Vespa, E.; et al. Early Predictors of Clinical Deterioration in a Cohort of 239 Patients Hospitalized for Covid-19 Infection in Lombardy, Italy. J. Clin. Med. 2020, 9, 1548. [Google Scholar] [CrossRef] [PubMed]
- Bartoletti, M.; Giannella, M.; Scudeller, L.; Tedeschi, S.; Rinaldi, M.; Bussini, L.; Fornaro, G.; Pascale, R.; Pancaldi, L.; Pasquini, Z.; et al. Development and validation of a prediction model for severe respiratory failure in hospitalized patients with SARS-CoV-2 infection: A multicentre cohort study (PREDI-CO study). Clin. Microbiol. Infect. 2020, 26, 1545–1553. [Google Scholar] [CrossRef] [PubMed]
- DeCaprio, D.; Gartner, J.; Burgess, T.; Garcia, K.; Kothari, S.; Sayed, S.; McCall, C.J. Building a COVID-19 vulnerability index. J. Med. Artif. Intell. 2020, 3. Available online: https://jmai.amegroups.com/article/view/5930/html (accessed on 20 June 2022). [CrossRef]
- Steyerberg, E.W.; Vickers, A.J.; Cook, N.R.; Gerds, T.; Gonen, M.; Obuchowski, N.; Pencina, M.J.; Kattan, M.W. Assessing the performance of prediction models: A framework for traditional and novel measures. Epidemiology 2010, 21, 128–138. [Google Scholar] [CrossRef] [PubMed]
- Cunningham, A.L.; McIntyre, P.; Subbarao, K.; Booy, R.; Levin, M.J. Vaccines for older adults. BMJ 2021, 372, n188. [Google Scholar] [CrossRef] [PubMed]
- Ministry of Health. Aggiorn delle Misure di Prev della Trasm di SARS-CoV-2. Available online: https://www.trovanorme.salute.gov.it/norme/renderNormsanPdf?anno=2023&codLeg=95857&parte=1&serie=null (accessed on 20 April 2021).
- Safety of COVID-19 Vaccines|European Medicines Agency. Available online: https://www.ema.europa.eu/en/human-regulatory-overview/public-health-threats/coronavirus-disease-covid-19/covid-19-medicines/safety-covid-19-vaccines (accessed on 24 January 2024).
- EMA. EMA RWD Catalogue. Available online: https://catalogues.ema.europa.eu/node/971/administrative-details (accessed on 3 March 2024).
- Dentali, F.; Fontanella, A.; Cohen, A.T.; Simonetti, M.; Parretti, L.; Marconi, E.; Parretti, D.; Gussoni, G.; Campanini, M.; Agnelli, G.; et al. Derivation and Validation of a Prediction Model for Venous Thromboembolism in Primary Care. Thromb. Haemost. 2020, 120, 692–701. [Google Scholar] [CrossRef] [PubMed]
- Grande, G.; Vetrano, D.L.; Mazzoleni, F.; Lovato, V.; Pata, M.; Cricelli, C.; Lapi, F. Detection and Prediction of Incident Alzheimer Dementia over a 10-Year or Longer Medical History: A Population-Based Study in Primary Care. Dement. Geriatr. Cogn. Disord. 2020, 49, 384–389. [Google Scholar] [CrossRef] [PubMed]
- Moons, K.G.M.; Altman, D.G.; Reitsma, J.B.; Ioannidis, J.P.A.; Macaskill, P.; Steyerberg, E.W.; Vickers, A.J.; Ransohoff, D.F.; Collins, G.S. Transparent Reporting of a multivariable prediction model for Individual Prognosis or Disagnosis (TRIPOD): Explanantion and Elaboration. Ann. Intern. Med. 2015, 162, W1–W73. [Google Scholar] [CrossRef] [PubMed]
- Parohan, M.; Yaghoubi, S.; Seraji, A.; Javanbakht, M.H.; Sarraf, P.; Djalali, M. Risk factors for mortality in patients with Coronavirus disease 2019 (COVID-19) infection: A systematic review and meta-analysis of observational studies. Aging Male 2021, 23, 1416–1424. [Google Scholar] [CrossRef] [PubMed]
- Huang, Y.; Li, W.; Macheret, F.; Gabriel, R.A.; Ohno-Machado, L. A tutorial on calibration measurements and calibration models for clinical prediction models. J. Am. Med. Inform. Assoc. 2020, 27, 621–633. [Google Scholar] [CrossRef] [PubMed]
- Steyerberg, E.W.; Vergouwe, Y. Towards better clinical prediction models: Seven steps for development and an ABCD for validation. Eur. Heart J. 2014, 35, 1925–1931. [Google Scholar] [CrossRef] [PubMed]
- El Sahly, H.M.; Baden, L.R.; Essink, B.; Doblecki-Lewis, S.; Martin, J.M.; Anderson, E.J.; Campbell, T.B.; Clark, J.; Jackson, L.A.; Fichtenbaum, C.J.; et al. Efficacy of the mRNA-1273 SARS-CoV-2 Vaccine at Completion of Blinded Phase. N. Engl. J. Med. 2021, 385, 1774–1785. [Google Scholar] [CrossRef] [PubMed]
- Baden, L.R.; El Sahly, H.M.; Essink, B.; Kotloff, K.; Frey, S.; Novak, R.; Diemert, D.; Spector, S.A.; Rouphael, N.; Creech, C.B.; et al. Efficacy and Safety of the mRNA-1273 SARS-CoV-2 Vaccine. N. Engl. J. Med. 2021, 384, 403–416. [Google Scholar] [CrossRef] [PubMed]
- Borghesi, A.; Maroldi, R. COVID-19 outbreak in Italy: Experimental chest X-ray scoring system for quantifying and monitoring disease progression. Radiol. Medica 2020, 125, 509–513. [Google Scholar] [CrossRef] [PubMed]
- Available online: https://healthsearch.it/report/ (accessed on 30 June 2023).
- Vetrano, D.L.; Zucchelli, A.; Onder, G.; Fratiglioni, L.; Calderón-Larrañaga, A.; Marengoni, A.; Marconi, E.; Cricelli, I.; Aprile, P.L.; Bernabei, R.; et al. Frailty detection among primary care older patients through the Primary Care Frailty Index (PC-FI). Sci. Rep. 2023, 13, 3543. [Google Scholar] [CrossRef] [PubMed]
- Debray, T.P.A.; Vergouwe, Y.; Koffijberg, H.; Nieboer, D.; Steyerberg, E.W.; Moons, K.G.M. A new framework to enhance the interpretation of external validation studies of clinical prediction models. J. Clin. Epidemiol. 2015, 68, 279–289. [Google Scholar] [CrossRef] [PubMed]
- Wynants, L.; Van Calster, B.; Collins, G.S.; Riley, R.D.; Heinze, G.; Schuit, E.; Albu, E.; Arshi, B.; Bellou, V.; Bonten, M.M.J.; et al. Prediction models for diagnosis and prognosis of COVID-19: Systematic review and critical appraisal. BMJ 2020, 369, m1328. [Google Scholar] [CrossRef] [PubMed]
- Ramspek, C.L.; Jager, K.J.; Dekker, F.W.; Zoccali, C.; van Diepen, M. External validation of prognostic models: What, why, how, when and where? Clin. Kidney J. 2021, 14, 49–58. [Google Scholar] [CrossRef] [PubMed]
- Valdés-Fernández, B.N.; Duconge, J.; Espino, A.M.; Ruaño, G. Personalized health and the coronavirus vaccines—Do individual genetics matter? Bioessays 2021, 43, 2100087. [Google Scholar] [CrossRef] [PubMed]

| Overall Cohort (N = 2195) | Bootstrapping (n = 200 Samples) | |
|---|---|---|
| Explained variation | ||
| Pseudo-R2 | 0.619 (0.555–0.767) | 0.575 (0.474–0.711) |
| Discrimination | ||
| AUC | 0.823 (0.751–0.893) | 0.829 (0.770–0.930) |
| Calibration | ||
| Slope | 1.000 (0.805–1.195) | 1.010 (0.800–1.179) |
| p-value | 0.9507 | 0.9406 |
| Intercept | 0.293 (−0.246–0.832) | - |
| p-value | 0.2863 | - |
| Overall Cohort (N = 124,320) | Bootstrapping (n = 200 Samples) | |
|---|---|---|
| Explained variation | ||
| Pseudo-R2 | 0.478 (0.460–0.504) | 0.467 (0.445–0.492) |
| Discrimination | ||
| AUC | 0.883 (0.869–0.897) | 0.889 (0.874–0.905) |
| Calibration | ||
| Slope | 1.000 (0.962–1.038) | 0.996 (0.948–1.040) |
| p-value | 0.436 |
Disclaimer/Publisher’s Note: The statements, opinions and data contained in all publications are solely those of the individual author(s) and contributor(s) and not of MDPI and/or the editor(s). MDPI and/or the editor(s) disclaim responsibility for any injury to people or property resulting from any ideas, methods, instructions or products referred to in the content. |
© 2024 by the authors. Licensee MDPI, Basel, Switzerland. This article is an open access article distributed under the terms and conditions of the Creative Commons Attribution (CC BY) license (https://creativecommons.org/licenses/by/4.0/).
Share and Cite
Lapi, F.; Marconi, E.; Domnich, A.; Cricelli, I.; Rossi, A.; Grattagliano, I.; Icardi, G.; Cricelli, C. A Vulnerability Index to Assess the Risk of SARS-CoV-2-Related Hospitalization/Death: Urgent Need for an Update after Diffusion of Anti-COVID Vaccines. Infect. Dis. Rep. 2024, 16, 260-268. https://doi.org/10.3390/idr16020021
Lapi F, Marconi E, Domnich A, Cricelli I, Rossi A, Grattagliano I, Icardi G, Cricelli C. A Vulnerability Index to Assess the Risk of SARS-CoV-2-Related Hospitalization/Death: Urgent Need for an Update after Diffusion of Anti-COVID Vaccines. Infectious Disease Reports. 2024; 16(2):260-268. https://doi.org/10.3390/idr16020021
Chicago/Turabian StyleLapi, Francesco, Ettore Marconi, Alexander Domnich, Iacopo Cricelli, Alessandro Rossi, Ignazio Grattagliano, Giancarlo Icardi, and Claudio Cricelli. 2024. "A Vulnerability Index to Assess the Risk of SARS-CoV-2-Related Hospitalization/Death: Urgent Need for an Update after Diffusion of Anti-COVID Vaccines" Infectious Disease Reports 16, no. 2: 260-268. https://doi.org/10.3390/idr16020021
APA StyleLapi, F., Marconi, E., Domnich, A., Cricelli, I., Rossi, A., Grattagliano, I., Icardi, G., & Cricelli, C. (2024). A Vulnerability Index to Assess the Risk of SARS-CoV-2-Related Hospitalization/Death: Urgent Need for an Update after Diffusion of Anti-COVID Vaccines. Infectious Disease Reports, 16(2), 260-268. https://doi.org/10.3390/idr16020021

