Olfactory and Cognitive Performance Improvement After Oxygen–Ozone Major Autohemotherapy in Mild Cognitive Impairment: A Retrospective Cohort Study
Abstract
1. Introduction
2. Materials and Methods
2.1. Participants and Inclusion/Exclusion Criteria
2.2. Olfactory Testing
2.3. MAH Protocol
2.4. Data Handling and Statistical Analysis
3. Results
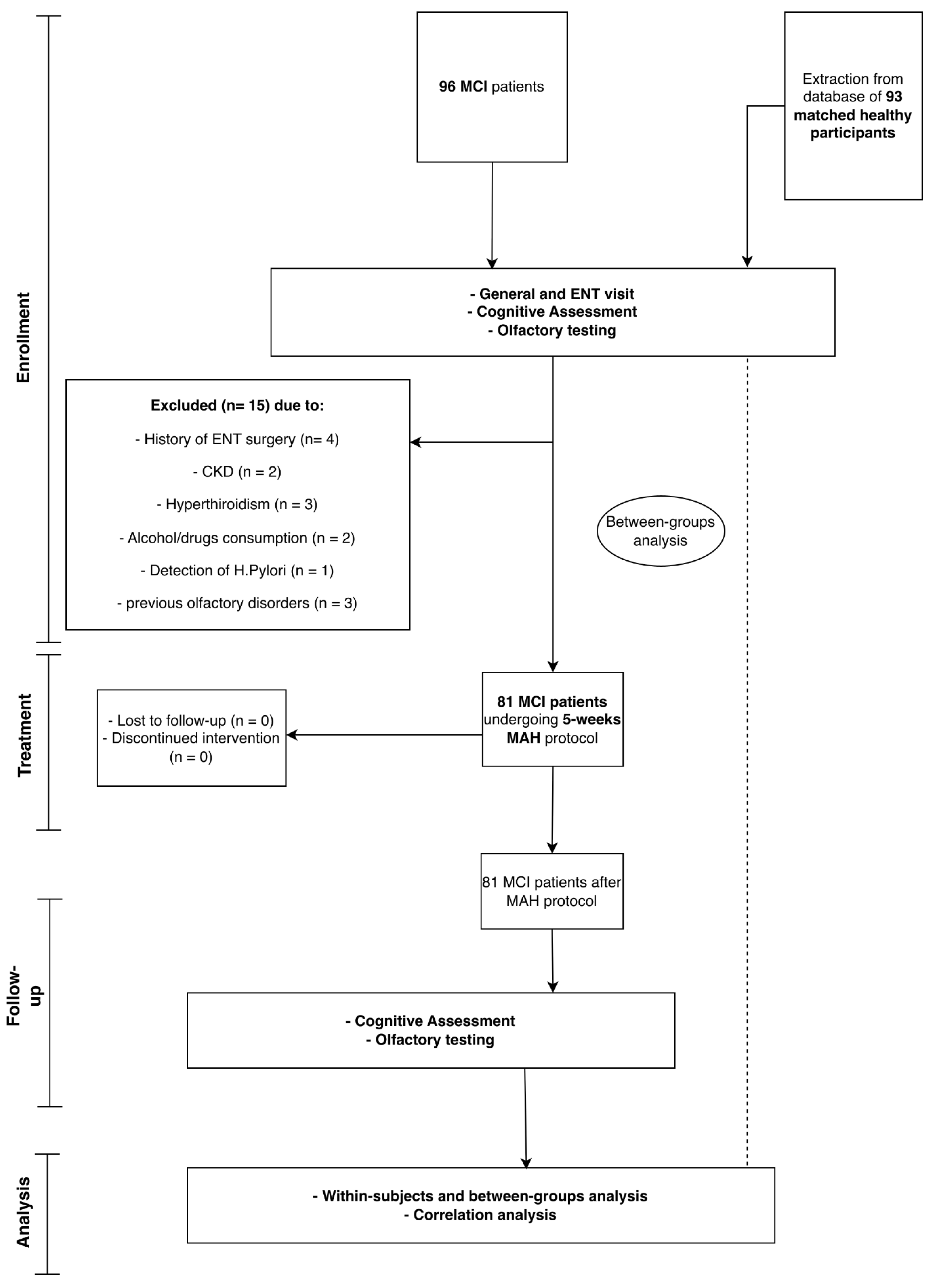
3.1. Sample Characteristics and Participant Flow
3.2. Distribution of Olfactory Categories Before and After MAH
3.3. Olfactory and Cognitive Changes in MCI Patients and Comparison with Controls
3.4. Correlation Structure of Pre–Post Changes
4. Discussion
4.1. Olfactory Plasticity and Response to Oxygen–Ozone Therapy
4.2. Coupled Enhancement of Olfactory and Cognitive Performance and Relationship to Olfactory Biomarkers
4.3. Clinical Implications and Mechanistic Plausibility
4.4. Limitations and Future Directions
4.5. Conclusions
Author Contributions
Funding
Institutional Review Board Statement
Informed Consent Statement
Data Availability Statement
Conflicts of Interest
References
- Petersen, R.C.; Smith, G.E.; Waring, S.C.; Ivnik, R.J.; Tangalos, E.G.; Kokmen, E. Mild cognitive impairment: Clinical characterization and outcome. Arch. Neurol. 1999, 56, 303–308. [Google Scholar] [CrossRef] [PubMed]
- Chertkow, H. Mild cognitive impairment. Curr. Opin. Neurol. 2002, 15, 401–407. [Google Scholar] [CrossRef] [PubMed]
- Eibenstein, A.; Fioretti, A.B.; Simaskou, M.N.; Sucapane, P.; Mearelli, S.; Mina, C.; Amabile, G.; Fusetti, M. Olfactory screening test in mild cognitive impairment. Neurol. Sci. 2005, 26, 156–160. [Google Scholar] [CrossRef] [PubMed]
- Ritchie, K.; Artero, S.; Touchon, J. Classification criteria for mild cognitive impairment: A population-based validation study. Neurology 2001, 56, 37–42. [Google Scholar] [CrossRef] [PubMed]
- Djordjevic, J.; Jones-Gotman, M.; De Sousa, K.; Chertkow, H. Olfaction in patients with mild cognitive impairment and Alzheimer’s disease. Neurobiol. Aging 2008, 29, 693–706. [Google Scholar] [CrossRef] [PubMed]
- Roalf, D.R.; Moberg, M.J.; Turetsky, B.I.; Brennan, L.; Kabadi, S.; Wolk, D.A.; Moberg, P.J. A quantitative meta-analysis of olfactory dysfunction in mild cognitive impairment. J. Neurol. Neurosurg. Psychiatry 2017, 88, 226–232. [Google Scholar] [CrossRef] [PubMed] [PubMed Central]
- Devanand, D.P.; Michaels-Marston, K.S.; Liu, X.; Pelton, G.H.; Padilla, M.; Marder, K.; Bell, K.; Stern, Y.; Mayeux, R. Olfactory deficits in patients with mild cognitive impairment predict Alzheimer’s disease at follow-up. Am. J. Psychiatry 2000, 157, 1399–1405. [Google Scholar] [CrossRef] [PubMed]
- Mesholam, R.I.; Moberg, P.J.; Mahr, R.N.; Doty, R.L. Olfaction in neurodegenerative disease: A meta-analysis of olfactory functioning in Alzheimer’s and Parkinson’s diseases. Arch. Neurol. 1998, 55, 84–90. [Google Scholar] [CrossRef] [PubMed]
- Attems, J.; Walker, L.; Jellinger, K.A. Olfactory bulb involvement in neurodegenerative diseases. Acta Neuropathol. 2014, 127, 459–475. [Google Scholar] [CrossRef] [PubMed]
- Chirumbolo, S.; Ricevuti, G.; Franzini, M.; Vaiano, F.; Galoforo, A.C.; Richelmi, T.; Tirelli, U.; Valdenassi, L. Oxygen-ozone adjunct therapy in aging and senescence-related disorders. State of art. Adv. Pharmacol. 2025, 104, 417–446. [Google Scholar] [PubMed]
- Travagli, V.; Iorio, E.L. The Biological and Molecular Action of Ozone and Its Derivatives: State-of-the-Art, Enhanced Scenarios, and Quality Insights. Int. J. Mol. Sci. 2023, 24, 8465. [Google Scholar] [CrossRef] [PubMed] [PubMed Central]
- Scassellati, C.; Galoforo, A.C.; Bonvicini, C.; Esposito, C.; Ricevuti, G. Ozone: A natural bioactive molecule with antioxidant property as potential new strategy in aging and in neurodegenerative disorders. Ageing Res. Rev. 2020, 63, 101138. [Google Scholar] [CrossRef] [PubMed] [PubMed Central]
- de Sire, A.; Marotta, N.; Ferrillo, M.; Agostini, F.; Sconza, C.; Lippi, L.; Respizzi, S.; Giudice, A.; Invernizzi, M.; Ammendolia, A. Oxygen-Ozone Therapy for Reducing Pro-Inflammatory Cytokines Serum Levels in Musculoskeletal and Temporomandibular Disorders: A Comprehensive Review. Int. J. Mol. Sci. 2022, 23, 2528. [Google Scholar] [CrossRef] [PubMed] [PubMed Central]
- Lin, S.Y.; Ma, J.; An, J.X.; Qian, X.Y.; Wang, Y.; Cope, D.K.; Williams, J.P. Ozone Inhibits APP/Aβ Production and Improves Cognition in an APP/PS1 Transgenic Mouse Model. Neuroscience 2019, 418, 110–121. [Google Scholar] [CrossRef] [PubMed]
- Molinari, F.; Simonetti, V.; Franzini, M.; Pandolfi, S.; Vaiano, F.; Valdenassi, L.; Liboni, W. Ozone autohemotherapy induces long-term cerebral metabolic changes in multiple sclerosis patients. Int. J. Immunopathol. Pharmacol. 2014, 27, 379–389. [Google Scholar] [CrossRef] [PubMed]
- Morelli, L.; Bramani, S.C.; Guarino, A. New frontiers in rehabilitation. Oxygen-ozone therapy and neuronal plasticity in the treatment of Parkinson’s symptoms. Ozone Ther. 2018, 3, 7511. [Google Scholar] [CrossRef]
- Sagai, M.; Bocci, V. Mechanisms of Action Involved in Ozone Therapy: Is healing induced via a mild oxidative stress? Med. Gas. Res. 2011, 1, 29. [Google Scholar] [CrossRef] [PubMed] [PubMed Central]
- Raspeño-García, J.F.; González-Granero, S.; Herranz-Pérez, V.; Cózar-Cuesta, A.; Artacho-Pérula, E.; Insausti, R.; García-Verdugo, J.M.; de la Rosa-Prieto, C. Anatomy, histology and ultrastructure of the adult human olfactory peduncle: Blood vessel and corpora amylacea assessment. Tissue Cell 2025, 93, 102737. [Google Scholar] [CrossRef] [PubMed]
- Imamura, F.; Hasegawa-Ishii, S. Environmental Toxicants-Induced Immune Responses in the Olfactory Mucosa. Front. Immunol. 2016, 7, 475. [Google Scholar] [CrossRef] [PubMed] [PubMed Central]
- Albert, M.S.; DeKosky, S.T.; Dickson, D.; Dubois, B.; Feldman, H.H.; Fox, N.C.; Gamst, A.; Holtzman, D.M.; Jagust, W.J.; Petersen, R.C.; et al. The diagnosis of mild cognitive impairment due to Alzheimer’s disease: Recommendations from the National Institute on Aging-Alzheimer’s Association workgroups on diagnostic guidelines for Alzheimer’s disease. Alzheimers Dement. 2011, 7, 270–279. [Google Scholar] [CrossRef] [PubMed] [PubMed Central]
- McKhann, G.M.; Knopman, D.S.; Chertkow, H.; Hyman, B.T.; Jack, C.R., Jr.; Kawas, C.H.; Klunk, W.E.; Koroshetz, W.J.; Manly, J.J.; Mayeux, R.; et al. The diagnosis of dementia due to Alzheimer’s disease: Recommendations from the National Institute on Aging-Alzheimer’s Association workgroups on diagnostic guidelines for Alzheimer’s disease. Alzheimers Dement. 2011, 7, 263–269. [Google Scholar] [CrossRef] [PubMed] [PubMed Central]
- Nasreddine, Z.S.; Phillips, N.A.; Bédirian, V.; Charbonneau, S.; Whitehead, V.; Collin, I.; Cummings, J.L.; Chertkow, H. The Montreal Cognitive Assessment, MoCA: A brief screening tool for mild cognitive impairment. J. Am. Geriatr. Soc. 2005, 53, 695–699. [Google Scholar] [CrossRef] [PubMed]
- Trzepacz, P.T.; Hochstetler, H.; Wang, S.; Walker, B.; Saykin, A.J. Relationship between the Montreal Cognitive Assessment and Mini-mental State Examination for assessment of mild cognitive impairment in older adults. BMC Geriatr. 2015, 15, 107. [Google Scholar] [CrossRef] [PubMed] [PubMed Central]
- Dickerson, B.C.; Atri, A.; Clevenger, C.; Karlawish, J.; Knopman, D.; Lin, P.J.; Norman, M.; Onyike, C.; Sano, M.; Scanland, S.; et al. The Alzheimer’s Association clinical practice guideline for the Diagnostic Evaluation, Testing, Counseling, and Disclosure of Suspected Alzheimer’s Disease and Related Disorders (DETeCD-ADRD): Executive summary of recommendations for specialty care. Alzheimers Dement. 2025, 21, e14337. [Google Scholar] [CrossRef]
- Micarelli, A.; Mrakic-Sposta, S.; Vezzoli, A.; Malacrida, S.; Caputo, S.; Micarelli, B.; Misici, I.; Carbini, V.; Iennaco, I.; Granito, I.; et al. Chemosensory and cardiometabolic improvements after a fasting-mimicking diet: A randomized cross-over clinical trial. Cell Rep. Med. 2025, 6, 101971. [Google Scholar] [CrossRef] [PubMed] [PubMed Central]
- Bosco, A.; Spano, G.; Caffò, A.O.; Lopez, A.; Grattagliano, I.; Saracino, G.; Pinto, K.; Hoogeveen, F.; Lancioni, G.E. Italians do it worse. Montreal Cognitive Assessment (MoCA) optimal cut-off scores for people with probable Alzheimer’s disease and with probable cognitive impairment. Aging Clin. Exp. Res. 2017, 29, 1113–1120. [Google Scholar] [CrossRef] [PubMed]
- Padovani, A.; Caratozzolo, S.; Galli, A.; Crosani, L.; Zampini, S.; Cosseddu, M.; Turrone, R.; Zancanaro, A.; Gumina, B.; Vicini-Chilovi, B.; et al. Validation and convergent validity of the Boston cognitive assessment (BOCA) in an Italian population: A comparative study with the Montreal cognitive assessment (MoCA) in Alzheimer’s disease spectrum. Neurol. Sci. 2025, 46, 697–704. [Google Scholar] [CrossRef] [PubMed] [PubMed Central]
- Ginieis, R.; Abeywickrema, S.; Oey, I.; Peng, M. Testing Links of Food-Related Olfactory Perception to Peripheral Ghrelin and Leptin Concentrations. Front. Nutr. 2022, 9, 888608. [Google Scholar] [CrossRef] [PubMed] [PubMed Central]
- Hummel, T.; Sekinger, B.; Wolf, S.R.; Pauli, E.; Kobal, G. ‘Sniffin’ sticks’: Olfactory performance assessed by the combined testing of odor identification, odor discrimination and olfactory threshold. Chem. Senses 1997, 22, 39–52. [Google Scholar] [CrossRef] [PubMed]
- Hedner, M.; Larsson, M.; Arnold, N.; Zucco, G.M.; Hummel, T. Cognitive factors in odor detection, odor discrimination, and odor identification tasks. J. Clin. Exp. Neuropsychol. 2010, 32, 1062–1067. [Google Scholar] [CrossRef] [PubMed]
- Poessel, M.; Breuer, N.; Joshi, A.; Pampel, A.; Villringer, A.; Hummel, T.; Horstmann, A. Reduced Olfactory Bulb Volume in Obesity and Its Relation to Metabolic Health Status. Front. Hum. Neurosci. 2020, 14, 586998. [Google Scholar] [CrossRef] [PubMed] [PubMed Central]
- Rumeau, C.; Nguyen, D.T.; Jankowski, R. How to assess olfactory performance with the Sniffin’ Sticks test®. Eur. Ann. Otorhinolaryngol. Head. Neck Dis. 2016, 133, 203–206. [Google Scholar] [CrossRef] [PubMed]
- Hummel, T.; Kobal, G.; Gudziol, H.; Mackay-Sim, A. Normative data for the “Sniffin’ Sticks” including tests of odor identification, odor discrimination, and olfactory thresholds: An upgrade based on a group of more than 3000 subjects. Eur. Arch. Oto-Rhino-Laryngol. 2007, 264, 237–243. [Google Scholar] [CrossRef] [PubMed]
- Campolo, J.; Corradi, E.; Rizzardi, A.; Parolini, M.; Dellanoce, C.; Di Guglielmo, M.L.; Tarlarini, P.; Cattaneo, M.; Trivella, M.G.; De Maria, R. Correlates of olfactory impairment in middle-aged non-diabetic Caucasian subjects with stage I-II obesity. Eur. Arch. Oto-Rhino-Laryngol. 2021, 278, 2047–2054. [Google Scholar] [CrossRef] [PubMed]
- Oleszkiewicz, A.; Schriever, V.A.; Croy, I.; Hähner, A.; Hummel, T. Updated Sniffin’ Sticks normative data based on an extended sample of 9139 subjects. Eur. Arch. Oto-Rhino-Laryngol. 2019, 276, 719–728. [Google Scholar] [CrossRef] [PubMed] [PubMed Central]
- Franzini, M.; Vaiano, F.; Tirelli, U.; Chirumbolo, S.; Valdenassi, L. SIOOT recommendations for the optimal application of the oxygen-ozone therapy in clinical medicine. Int. Immunopharmacol. 2025, 145, 113751. [Google Scholar] [CrossRef] [PubMed]
- Chirumbolo, S.; Valdenassi, L.; Franzini, M.; Pandolfi, S.; Ricevuti, G.; Tirelli, U. Male vs. Female Differences in Responding to Oxygen–Ozone Autohemotherapy (O2-O3-AHT) in Patients with Myalgic Encephalomyelitis/Chronic Fatigue Syndrome (ME/CFS). J. Clin. Med. 2021, 11, 173. [Google Scholar] [CrossRef]
- Tirelli, U.; Franzini, M.; Valdenassi, L.; Pandolfi, S.; Berretta, M.; Ricevuti, G.; Chirumbolo, S. Patients with Myalgic Encephalomyelitis/Chronic Fatigue Syndrome (ME/CFS) Greatly Improved Fatigue Symptoms When Treated with Oxygen-Ozone Autohemotherapy. J. Clin. Med. 2021, 11, 29. [Google Scholar] [CrossRef] [PubMed] [PubMed Central]
- Üşen, A.; Özcan, D.S.; Ağirman, M.; Güner, H.; Kocyigit, B.F. Short- and Medium-Term effects of major Ozone therapy on disease parameters in fibromyalgia syndrome: A retrospective study. Rheumatol. Int. 2025, 45, 72. [Google Scholar] [CrossRef] [PubMed] [PubMed Central]
- Bocci, V.A. Scientific and medical aspects of ozone therapy. State of the art. Arch. Med. Res. 2006, 37, 425–435. [Google Scholar] [CrossRef] [PubMed]
- Bocci, V. OZONE, 2nd ed.; Springer: Dordrecht, The Netherlands, 2010; 315p. [Google Scholar]
- ISCO3. Madrid Declaration on Ozone Therapy; ISCoOT, Ed.; ISCO3: Madrid, Spain, 2020. [Google Scholar]
- Doorduijn, A.S.; de van der Schueren, M.A.E.; van de Rest, O.; de Leeuw, F.A.; Fieldhouse, J.L.P.; Kester, M.I.; Teunissen, C.E.; Scheltens, P.; van der Flier, W.M.; Visser, M.; et al. Olfactory and gustatory functioning and food preferences of patients with Alzheimer’s disease and mild cognitive impairment compared to controls: The NUDAD project. J. Neurol. 2020, 267, 144–152. [Google Scholar] [CrossRef] [PubMed] [PubMed Central]
- Peng, M.; Coutts, D.; Wang, T.; Cakmak, Y.O. Systematic review of olfactory shifts related to obesity. Obes. Rev. 2019, 20, 325–338. [Google Scholar] [CrossRef] [PubMed]
- Micarelli, A.; Vezzoli, A.; Malacrida, S.; Micarelli, B.; Misici, I.; Carbini, V.; Iennaco, I.; Caputo, S.; Mrakic-Sposta, S.; Alessandrini, M. Taste Function in Adult Humans from Lean Condition to Stage II Obesity: Interactions with Biochemical Regulators, Dietary Habits, and Clinical Aspects. Nutrients 2023, 15, 1114. [Google Scholar] [CrossRef] [PubMed] [PubMed Central]
- Conover, W.J. Practical Nonparametric Statistics; John Wiley & Sons: Hoboken, NJ, USA, 1999. [Google Scholar]
- Zar, J. Spearman Rank Correlation; Wiley: Hoboken, NJ, USA, 2005. [Google Scholar]
- Benjamini, Y.; Hochberg, Y. Controlling the False Discovery Rate: A Practical and Powerful Approach to Multiple Testing. J. R. Stat. Soc. Ser. B (Methodol.) 1995, 57, 289–300. [Google Scholar] [CrossRef]
- Schober, P.; Boer, C.; Schwarte, L.A. Correlation Coefficients: Appropriate Use and Interpretation. Anesth. Analg. 2018, 126, 1763–1768. [Google Scholar] [CrossRef] [PubMed]
- Bouhaben, J.; Delgado-Lima, A.H.; Delgado-Losada, M.L. The role of olfactory dysfunction in mild cognitive impairment and Alzheimer’s disease: A meta-analysis. Arch. Gerontol. Geriatr. 2024, 123, 105425. [Google Scholar] [CrossRef] [PubMed]
- Galiè, M.; Covi, V.; Tabaracci, G.; Malatesta, M. The Role of Nrf2 in the Antioxidant Cellular Response to Medical Ozone Exposure. Int. J. Mol. Sci. 2019, 20, 4009. [Google Scholar] [CrossRef] [PubMed] [PubMed Central]
- Kim, C.S.; Alexis, N.E.; Rappold, A.G.; Kehrl, H.; Hazucha, M.J.; Lay, J.C.; Schmitt, M.T.; Case, M.; Devlin, R.B.; Peden, D.B.; et al. Lung function and inflammatory responses in healthy young adults exposed to 0.06 ppm ozone for 6.6 hours. Am. J. Respir. Crit. Care Med. 2011, 183, 1215–1221. [Google Scholar] [CrossRef] [PubMed] [PubMed Central]
- Alexis, N.E.; Lay, J.C.; Hazucha, M.; Harris, B.; Hernandez, M.L.; Bromberg, P.A.; Kehrl, H.; Diaz-Sanchez, D.; Kim, C.; Devlin, R.B.; et al. Low-level ozone exposure induces airways inflammation and modifies cell surface phenotypes in healthy humans. Inhal. Toxicol. 2010, 22, 593–600. [Google Scholar] [CrossRef] [PubMed] [PubMed Central]
- Dolgacheva, L.P.; Zinchenko, V.P.; Nadeev, A.D.; Goncharov, N.V. Serotonergic Regulation in Alzheimer’s Disease. Int. J. Mol. Sci. 2025, 26, 5218. [Google Scholar] [CrossRef] [PubMed] [PubMed Central]
- Fomin-Thunemann, N.; Garaschuk, O. Role of serotonin in modulating the development and function of adult-born neurons in the olfactory bulb. Neural Regen. Res. 2022, 17, 1253–1254. [Google Scholar] [CrossRef]
- Zhang, X.; Wang, S.J.; Wan, S.C.; Li, X.; Chen, G. Ozone: Complicated effects in central nervous system diseases. Med. Gas. Res. 2025, 15, 44–57. [Google Scholar] [CrossRef] [PubMed] [PubMed Central]
- Conti, S.; Bonazzi, S.; Laiacona, M.; Masina, M.; Coralli, M.V. Montreal Cognitive Assessment (MoCA)-Italian version: Regression based norms and equivalent scores. Neurol. Sci. 2015, 36, 209–214. [Google Scholar] [CrossRef] [PubMed]
- Julayanont, P.; Brousseau, M.; Chertkow, H.; Phillips, N.; Nasreddine, Z.S. Montreal Cognitive Assessment Memory Index Score (MoCA-MIS) as a predictor of conversion from mild cognitive impairment to Alzheimer’s disease. J. Am. Geriatr. Soc. 2014, 62, 679–684. [Google Scholar] [CrossRef] [PubMed]
- Roberts, R.O.; Christianson, T.J.; Kremers, W.K.; Mielke, M.M.; Machulda, M.M.; Vassilaki, M.; Alhurani, R.E.; Geda, Y.E.; Knopman, D.S.; Petersen, R.C. Association Between Olfactory Dysfunction and Amnestic Mild Cognitive Impairment and Alzheimer Disease Dementia. JAMA Neurol. 2016, 73, 93–101. [Google Scholar] [CrossRef] [PubMed] [PubMed Central]
- Sánchez-Benavides, G.; Iranzo, A.; Grau-Rivera, O.; Giraldo, D.M.; Buongiorno, M. Olfactory Dysfunction as a Clinical Marker of Early Glymphatic Failure in Neurodegenerative Diseases. Diagnostics 2025, 15, 719. [Google Scholar] [CrossRef] [PubMed] [PubMed Central]
- Zhou, F.; Zhao, Z.; Dai, J.; Xu, J.; Jiang, K.; Tong, Z. Olfactory Testing With Focus on Odor Identification for Early Detection of Alzheimer’s Disease in Mild Cognitive Impairment. Am. J. Alzheimer’s Dis. Other Dement. 2025, 40, 15333175251385615. [Google Scholar] [CrossRef] [PubMed] [PubMed Central]
- Arnold, S.E.; Lee, E.B.; Moberg, P.J.; Stutzbach, L.; Kazi, H.; Han, L.Y.; Lee, V.M.; Trojanowski, J.Q. Olfactory epithelium amyloid-beta and paired helical filament-tau pathology in Alzheimer disease. Ann. Neurol. 2010, 67, 462–469. [Google Scholar] [CrossRef] [PubMed] [PubMed Central]
- Wesson, D.W.; Levy, E.; Nixon, R.A.; Wilson, D.A. Olfactory dysfunction correlates with amyloid-beta burden in an Alzheimer’s disease mouse model. J. Neurosci. 2010, 30, 505–514. [Google Scholar] [CrossRef] [PubMed] [PubMed Central]
- Bahar-Fuchs, A.; Chételat, G.; Villemagne, V.L.; Moss, S.; Pike, K.; Masters, C.L.; Rowe, C.; Savage, G. Olfactory deficits and amyloid-β burden in Alzheimer’s disease, mild cognitive impairment, and healthy aging: A PiB PET study. J. Alzheimer’s Dis. 2010, 22, 1081–1087. [Google Scholar] [CrossRef] [PubMed]
- Chirumbolo, S.; Valdenassi, L.; Simonetti, V.; Bertossi, D.; Ricevuti, G.; Franzini, M.; Pandolfi, S. Insights on the mechanisms of action of ozone in the medical therapy against COVID-19. Int. Immunopharmacol. 2021, 96, 107777. [Google Scholar] [CrossRef] [PubMed] [PubMed Central]
- Napiórkowska-Baran, K.; Slawatycki, J.; Klemenska, P.; Treichel, P.; Najarian, A.; Margossian, G.A.; Szota, M.; Plocka-Karpinska, M.; Kułakowski, M. Ozone as an Immunomodulator-New Therapeutic Possibilities in the Treatment of Immunodeficiencies-A Narrative Review. Curr. Issues Mol. Biol. 2025, 47, 1016. [Google Scholar] [CrossRef] [PubMed] [PubMed Central]
- Milardi, D.; Cacciola, A.; Calamuneri, A.; Ghilardi, M.F.; Caminiti, F.; Cascio, F.; Andronaco, V.; Anastasi, G.; Mormina, E.; Arrigo, A.; et al. The Olfactory System Revealed: Non-Invasive Mapping by using Constrained Spherical Deconvolution Tractography in Healthy Humans. Front. Neuroanat. 2017, 11, 32. [Google Scholar] [CrossRef] [PubMed] [PubMed Central]
- Zhou, G.; Lane, G.; Cooper, S.L.; Kahnt, T.; Zelano, C. Characterizing functional pathways of the human olfactory system. eLife 2019, 8, e47177. [Google Scholar] [CrossRef] [PubMed] [PubMed Central]
- Su, M.W.; Ni, J.N.; Cao, T.Y.; Wang, S.S.; Shi, J.; Tian, J.Z. The Correlation Between Olfactory Test and Hippocampal Volume in Alzheimer’s Disease and Mild Cognitive Impairment Patients: A Meta-Analysis. Front. Aging Neurosci. 2021, 13, 755160. [Google Scholar] [CrossRef] [PubMed] [PubMed Central]
- Masala, C.; Loy, F.; Pinna, I.; Manis, N.A.; Ercoli, T.; Solla, P. Olfactory Function as a Potential Predictor of Cognitive Impairment in Men and Women. Biology 2024, 13, 503. [Google Scholar] [CrossRef] [PubMed] [PubMed Central]
- Tan, S.; Chen, W.; Kong, G.; Wei, L.; Xie, Y. Peripheral inflammation and neurocognitive impairment: Correlations, underlying mechanisms, and therapeutic implications. Front. Aging Neurosci. 2023, 15, 1305790. [Google Scholar] [CrossRef] [PubMed] [PubMed Central]
- Rinaldi, C.; Donato, L.; Alibrandi, S.; Scimone, C.; D’Angelo, R.; Sidoti, A. Oxidative Stress and the Neurovascular Unit. Life 2021, 11, 767. [Google Scholar] [CrossRef] [PubMed] [PubMed Central]
- Nazzi, C.; Avenanti, A.; Battaglia, S. The Involvement of Antioxidants in Cognitive Decline and Neurodegeneration: Mens Sana in Corpore Sano. Antioxidants 2024, 13, 701. [Google Scholar] [CrossRef] [PubMed] [PubMed Central]
- Chen, B.; Espin, M.; Haussmann, R.; Matthes, C.; Donix, M.; Hummel, T.; Haehner, A. The Effect of Olfactory Training on Olfaction, Cognition, and Brain Function in Patients with Mild Cognitive Impairment. J. Alzheimer’s Dis. 2022, 85, 745–754. [Google Scholar] [CrossRef] [PubMed]
- Cheng, H.; Lu, R.; Du, J.; Zhao, X.; Zhuang, Z. A clinical study on ozone autohemotherapy for the treatment of acute ischemic stroke. Front. Med. 2025, 12, 1595568. [Google Scholar] [CrossRef] [PubMed] [PubMed Central]
- Farruggia, M.C.; Pellegrino, R.; Scheinost, D. Functional Connectivity of the Chemosenses: A Review. Front. Syst. Neurosci. 2022, 16, 865929. [Google Scholar] [CrossRef] [PubMed] [PubMed Central]
- Seeley, W.W.; Crawford, R.K.; Zhou, J.; Miller, B.L.; Greicius, M.D. Neurodegenerative diseases target large-scale human brain networks. Neuron 2009, 62, 42–52. [Google Scholar] [CrossRef] [PubMed] [PubMed Central]
- Stern, Y. Cognitive reserve in ageing and Alzheimer’s disease. Lancet. Neurol. 2012, 11, 1006–1012. [Google Scholar] [CrossRef] [PubMed] [PubMed Central]
- Bennett, D.A.; Schneider, J.A.; Arvanitakis, Z.; Kelly, J.F.; Aggarwal, N.T.; Shah, R.C.; Wilson, R.S. Neuropathology of older persons without cognitive impairment from two community-based studies. Neurology 2006, 66, 1837–1844. [Google Scholar] [CrossRef] [PubMed]
- Scassellati, C.; Ciani, M.; Galoforo, A.C.; Zanardini, R.; Bonvicini, C.; Geroldi, C. Molecular mechanisms in cognitive frailty: Potential therapeutic targets for oxygen-ozone treatment. Mech. Ageing Dev. 2020, 186, 111210. [Google Scholar] [CrossRef] [PubMed]
- Dintica, C.S.; Marseglia, A.; Rizzuto, D.; Wang, R.; Seubert, J.; Arfanakis, K.; Bennett, D.A.; Xu, W. Impaired olfaction is associated with cognitive decline and neurodegeneration in the brain. Neurology 2019, 92, e700–e709. [Google Scholar] [CrossRef] [PubMed] [PubMed Central]
- Moon, S.Y.; Hong, C.H.; Jeong, J.H.; Park, Y.K.; Na, H.R.; Song, H.S.; Kim, B.C.; Park, K.W.; Park, H.K.; Choi, M.; et al. Facility-based and home-based multidomain interventions including cognitive training, exercise, diet, vascular risk management, and motivation for older adults: A randomized controlled feasibility trial. Aging 2021, 13, 15898–15916. [Google Scholar] [CrossRef] [PubMed] [PubMed Central]
- Jordan, F.; Quinn, T.J.; McGuinness, B.; Passmore, P.; Kelly, J.P.; Tudur Smith, C.; Murphy, K.; Devane, D. Aspirin and other non-steroidal anti-inflammatory drugs for the prevention of dementia. Cochrane Database Syst. Rev. 2020, 4, Cd011459. [Google Scholar] [PubMed] [PubMed Central]
- Jaturapatporn, D.; Isaac, M.G.; McCleery, J.; Tabet, N. Aspirin, steroidal and non-steroidal anti-inflammatory drugs for the treatment of Alzheimer’s disease. Cochrane Database Syst. Rev. 2012, 2012, Cd006378. [Google Scholar] [CrossRef] [PubMed] [PubMed Central]
- Kim, J.K.; Cho, J.H. Diagnosis of Anosmia in Middle Age, But Not in Older Adulthood, Increases Alzheimer Dementia Risk. Clin. Exp. Otorhinolaryngol. 2025, 18, 264–270. [Google Scholar] [CrossRef] [PubMed] [PubMed Central]
- Cooley, S.A.; Heaps, J.M.; Bolzenius, J.D.; Salminen, L.E.; Baker, L.M.; Scott, S.E.; Paul, R.H. Longitudinal Change in Performance on the Montreal Cognitive Assessment in Older Adults. Clin. Neuropsychol. 2015, 29, 824–835. [Google Scholar] [CrossRef] [PubMed] [PubMed Central]
- Haehner, A.; Mayer, A.M.; Landis, B.N.; Pournaras, I.; Lill, K.; Gudziol, V.; Hummel, T. High test-retest reliability of the extended version of the “Sniffin’ Sticks” test. Chem. Senses 2009, 34, 705–711. [Google Scholar] [CrossRef] [PubMed]
- Albrecht, J.; Anzinger, A.; Kopietz, R.; Schöpf, V.; Kleemann, A.M.; Pollatos, O.; Wiesmann, M. Test-retest reliability of the olfactory detection threshold test of the Sniffin’ sticks. Chem. Senses 2008, 33, 461–467. [Google Scholar] [CrossRef] [PubMed]





| Variable | MCI (n = 81) | Control (n = 93) | Significance (t-Test, χ2) |
|---|---|---|---|
| Gender | male = 45 (55.5%) female = 35 (44.4%) | male = 51 (54.83%) female = 42 (45.16%) | χ2 = 0.01, p = 0.924 |
| Education (years) | 10.47 ± 2.08 [10.01, 10.93] | 10.85 ± 2.20 [10.40, 11.30] | p > 0.05 |
| BMI (Kg/m2) | 27.66 ± 3.45 [26.90, 28.43] | 27.24 ± 3.63 [26.49, 27.98] | p > 0.05 |
| Age (years) | 66.00 ± 7.99 [64.23, 67.77] | 67.46 ± 8.63 [65.68, 69.23] | p > 0.05 |
| Pre (n = 81) Mean ± SD [95% C.I.] | Post (n = 81) Mean ± SD [95% C.I.] | Cohen d (Pre–Post) | Control (n = 93) Mean ± SD [95% C.I.] | Significance | |
|---|---|---|---|---|---|
| Olfactory Testing | |||||
| OT | 4.84 ± 2.72 [4.24, 5.45] † | 5.77 ± 2.85 [5.13, 6.40] ‡ | 0.33 | 6.68 ± 1.71 [6.33, 7.03] | F(2, 246) = 11.907, p < 0.05 |
| OD | 9.99 ± 1.15 [9.73, 10.24] † | 10.40 ± 1.36 [10.09, 10.70] ‡ | 0.33 | 11.92 ± 2.43 [11.42, 12.43] | F(2, 246) = 29.370, p < 0.05 |
| OI | 10.81 ± 3.49 [10.04, 11.59] † | 11.89 ± 2.89 [11.25, 12.53] | 0.34 | 12.73 ± 1.78 [12.37, 13.10] | F(2, 246) = 9.6599, p < 0.05 |
| TDI | 25.65 ± 5.24 [24.49, 26.80] *† | 28.05 ± 5.11 [26.92, 29.18] ‡ | 0.46 | 31.34 ± 2.74 [30.77, 31.90] | F(2, 246) = 33.871, p < 0.05 |
| Cognitive Testing | |||||
| MMSE | 24.46 ± 1.96 [24.02, 24.89] † | 24.58 ± 1.97 [24.14, 25.02] ‡ | 0.06 | 29.28 ± 0.90 [29.09, 29.47] | F(2, 246) = 230.28, p < 0.05 |
| Visuospatial | 4.22 ± 0.65 [4.08, 4.37] † | 4.31 ± 0.65 [4.17, 4.45] ‡ | 0.14 | 4.72 ± 0.45 [4.63, 4.81] | F(2, 246) = 19.7, p < 0.05 |
| Naming | 2.94 ± 0.24 [2.88, 2.99] | 2.95 ± 0.21 [2.90, 3.00] | 0.04 | 2.99 ± 0.10 [2.97, 3.01] | F(2, 246) = 1.584, p > 0.05 |
| Attention | 2.56 ± 0.63 [2.42, 2.70] † | 2.63 ± 0.60 [2.50, 2.76] | 0.11 | 2.80 ± 0.41 [2.71, 2.88] | F(2, 246) = 4.5788, p < 0.05 |
| Calculation | 2.58 ± 0.52 [2.47, 2.70] † | 2.67 ± 0.52 [2.55, 2.78] ‡ | 0.17 | 2.99 ± 0.10 [2.97, 3.01] | F(2, 246) = 21.77, p < 0.05 |
| Language Repetition | 1.56 ± 0.57 [1.43, 1.68] *† | 1.77 ± 0.48 [1.66, 1.87] | 0.40 | 1.84 ± 0.37 [1.76, 1.91] | F(2, 246) = 8.551, p < 0.05 |
| Language Fluency | 0.72 ± 0.45 [0.62, 0.82] † | 0.78 ± 0.63 [0.64, 0.92] | 0.11 | 0.88 ± 0.32 [0.81, 0.95] | F(2, 246) = 3.216, p < 0.05 |
| Abstraction | 1.60 ± 0.49 [1.50, 1.71] † | 1.77 ± 0.43 [1.67, 1.86] | 0.37 | 1.89 ± 0.31 [1.83, 1.96] | F(2, 246) = 9.264, p < 0.05 |
| Delayed Recall | 2.01 ± 1.25 [1.74, 2.29] † | 2.33 ± 1.18 [2.07, 2.59] ‡ | 0.26 | 3.72 ± 0.94 [3.53, 3.91] | F(2, 247) = 55.824, p < 0.05 |
| Orientation | 5.53 ± 0.63 [5.39, 5.67] † | 5.62 ± 0.57 [5.50, 5.76] ‡ | 0.15 | 6.00 ± 0.00 [6.00, 6.00] | F(2, 246) = 20.861, p < 0.05 |
| MoCA | 23.72 ± 1.68 [23.35, 24.09] *† | 24.88 ± 1.84 [24.47, 25.28] ‡ | 0.66 | 27.83 ± 1.15 [27.59, 28.06] | F(2, 247) = 152.91, p < 0.05 |
Disclaimer/Publisher’s Note: The statements, opinions and data contained in all publications are solely those of the individual author(s) and contributor(s) and not of MDPI and/or the editor(s). MDPI and/or the editor(s) disclaim responsibility for any injury to people or property resulting from any ideas, methods, instructions or products referred to in the content. |
© 2026 by the authors. Licensee MDPI, Basel, Switzerland. This article is an open access article distributed under the terms and conditions of the Creative Commons Attribution (CC BY) license.
Share and Cite
Micarelli, A.; Mrakic-Sposta, S.; Malacrida, S.; Vezzoli, A.; Micarelli, R.X.; Micarelli, B.; Granito, I.; Alessandrini, M. Olfactory and Cognitive Performance Improvement After Oxygen–Ozone Major Autohemotherapy in Mild Cognitive Impairment: A Retrospective Cohort Study. Neurol. Int. 2026, 18, 41. https://doi.org/10.3390/neurolint18030041
Micarelli A, Mrakic-Sposta S, Malacrida S, Vezzoli A, Micarelli RX, Micarelli B, Granito I, Alessandrini M. Olfactory and Cognitive Performance Improvement After Oxygen–Ozone Major Autohemotherapy in Mild Cognitive Impairment: A Retrospective Cohort Study. Neurology International. 2026; 18(3):41. https://doi.org/10.3390/neurolint18030041
Chicago/Turabian StyleMicarelli, Alessandro, Simona Mrakic-Sposta, Sandro Malacrida, Alessandra Vezzoli, Riccardo Xavier Micarelli, Beatrice Micarelli, Ivan Granito, and Marco Alessandrini. 2026. "Olfactory and Cognitive Performance Improvement After Oxygen–Ozone Major Autohemotherapy in Mild Cognitive Impairment: A Retrospective Cohort Study" Neurology International 18, no. 3: 41. https://doi.org/10.3390/neurolint18030041
APA StyleMicarelli, A., Mrakic-Sposta, S., Malacrida, S., Vezzoli, A., Micarelli, R. X., Micarelli, B., Granito, I., & Alessandrini, M. (2026). Olfactory and Cognitive Performance Improvement After Oxygen–Ozone Major Autohemotherapy in Mild Cognitive Impairment: A Retrospective Cohort Study. Neurology International, 18(3), 41. https://doi.org/10.3390/neurolint18030041

