Impact of Post-Stroke Recanalization on General and Upper Limb Functioning: A Prospective, Observational Study
Abstract
1. Introduction
2. Materials and Methods
2.1. Study Design and Selection Criteria
2.2. Recanalization Criteria and Procedures
2.3. Clinical and Functional Assessment
2.4. Rehabilitation Interventions
2.5. Statistical Analysis
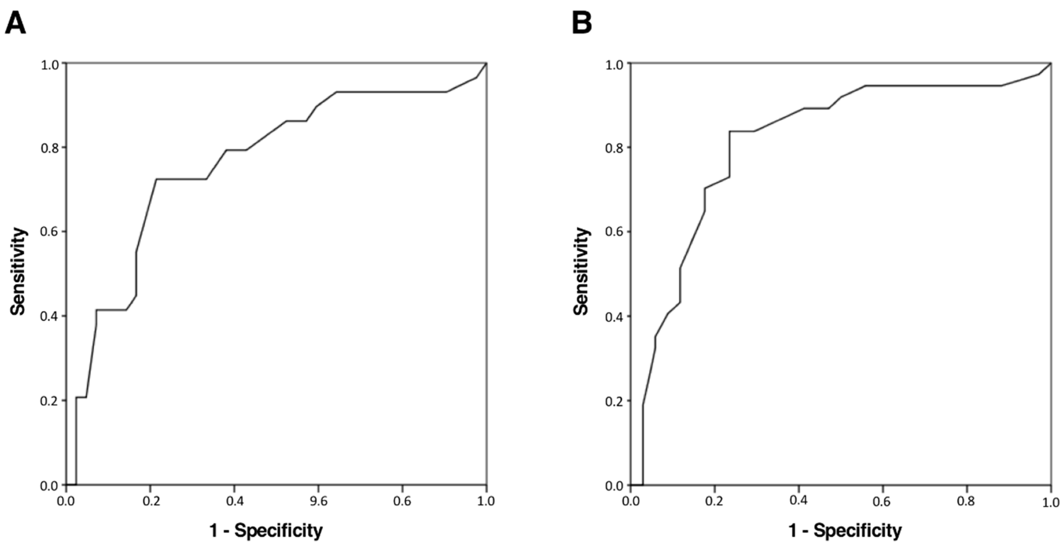
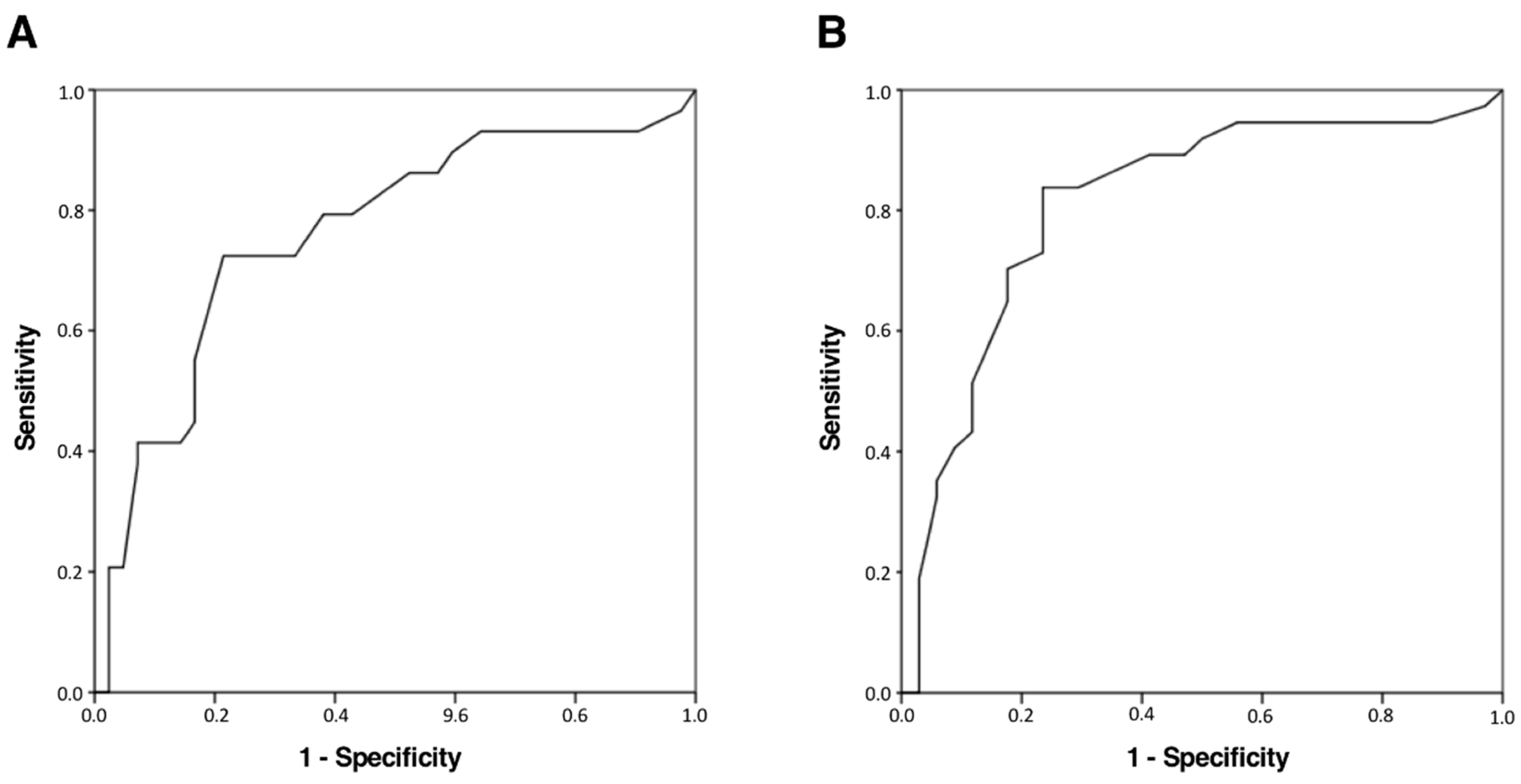
3. Results
3.1. Characteristics of the Study Population
3.2. Recanalization and Functioning
4. Discussion
5. Conclusions
Author Contributions
Funding
Institutional Review Board Statement
Informed Consent Statement
Data Availability Statement
Acknowledgments
Conflicts of Interest
Abbreviations
| ASPECTS | Alberta Stroke Program Early CT Score | 
| AUC | Area under the curve | 
| CT | Computed tomography | 
| CRP | C-reactive protein | 
| ED | Emergency department | 
| MRI | Magnetic resonance imaging | 
| mRS | Modified Rankin Scale | 
| NIHSS | National Institutes of Health Stroke Scale | 
| S100β | S100 calcium binding protein β | 
| rt-PA | Recombinant tissue plasminogen activator | 
| SULCS | Stroke Upper Limb Capacity Scale | 
| ROC | Receiver Operator Characteristic | 
| TD | Transcranial Doppler | 
| TIBI | Thrombolysis in Brain Ischemia | 
| TOAST | Trial of ORG 10172 in Acute Stroke Treatment | 
References
- Oujamaa, L.; Relave, I.; Froger, J.; Mottet, D.; Pelissier, J.-Y. Rehabilitation of arm function after stroke. Literature review. Ann. Phys. Rehabil. Med. 2009, 52, 269–293. [Google Scholar] [CrossRef] [PubMed]
- Brito, R.; Lins, L.; Almeida, C.; Ramos-Neto, E.; Araújo, D.; Franco, C. Instrumentos de Avaliação Funcional Específicos Para o Acidente Vascular Cerebral. Rev. Neurociênc. 2014, 21, 593–599. [Google Scholar] [CrossRef]
- Ward, A.; Payne, K.A.; Caro, J.J.; Heuschmann, P.U.; Kolominsky-Rabas, P.L. Care needs and economic consequences after acute ischemic stroke: The Erlangen Stroke Project. Eur. J. Neurol. 2005, 12, 264–267. [Google Scholar] [CrossRef] [PubMed]
- Arboix, A.; Alio, J. Acute cardioembolic cerebral infarction: Answers to clinical questions. Curr. Cardiol. Rev. 2012, 8, 54–67. [Google Scholar] [CrossRef] [PubMed]
- Murtagh, B.; Smalling, R.W. Cardioembolic stroke. Curr. Atheroscler. Rep. 2006, 8, 310–316. [Google Scholar] [CrossRef] [PubMed]
- Yeo, L.L.L.; Paliwal, P.; Teoh, H.L.; Seet, R.C.; Chan, B.P.L.; Liang, S.; Venketasubramanian, N.; Rathakrishnan, R.; Ahmad, A.; Ng, K.W.P.; et al. Timing of recanalization after intravenous thrombolysis and functional outcomes after acute ischemic stroke. JAMA Neurol. 2013, 70, 353–358. [Google Scholar] [CrossRef] [PubMed]
- Wallace, A.N.; Kansagra, A.P.; McEachern, J.; Moran, C.J.; Cross, D.T.; Derdeyn, C.P. Evolution of endovascular stroke therapies and devices. Expert Rev. Med. Devices 2016, 13, 263–270. [Google Scholar] [CrossRef]
- Saver, J.L. Time is brain—Quantified. Stroke 2006, 37, 263–266. [Google Scholar] [CrossRef]
- Yi, Y.; Ge, Q.; Li, W.; Wang, Q.-H.; Deng, B.; Liu, C.-C.; Zhang, Z.-H.; Zhang, L.-L.; Xu, Z.-Q.; Zhou, H.-D.; et al. Predictive Factors for the Spontaneous Recanalization of Large and Middle Cerebral Arteries after Acute Occlusion. J. Stroke Cerebrovasc. Dis. 2016, 25, 1896–1900. [Google Scholar]
- Powers, W.J.; Derdeyn, C.P.; Biller, J.; Coffey, C.S.; Hoh, B.L.; Jauch, E.C.; Johnston, K.C.; Johnston, S.C.; Khalessi, A.A.; Kidwell, C.S.; et al. 2015 American Heart Association/American Stroke Association Focused Update of the 2013 Guidelines for the Early Management of Patients With Acute Ischemic Stroke Regarding Endovascular Treatment: A Guideline for Healthcare Professionals From the American. Stroke 2015, 46, 3020–3035. [Google Scholar] [CrossRef]
- Bhatia, R.; Hill, M.D.; Shobha, N.; Menon, B.; Bal, S.; Kochar, P.; Watson, D.; Goyal, M.; Demchuk, A.M. Low rates of acute recanalization with intravenous recombinant tissue plasminogen activator in ischemic stroke: Real-world experience and a call for action. Stroke 2010, 41, 2254–2258. [Google Scholar] [CrossRef] [PubMed]
- Shi, Z.-S.; Liebeskind, D.S.; Xiang, B.; Ge, S.G.; Feng, L.; Albers, G.W.; Budzik, R.; Devlin, T.; Gupta, R.; Jansen, O.; et al. Predictors of functional dependence despite successful revascularization in large-vessel occlusion strokes. Stroke 2014, 45, 1977–1984. [Google Scholar] [CrossRef] [PubMed]
- von Gadow, N.; Nikoubashman, O.; Freiherr, J.; Block, F.; Reich, A.; Fesl, G.; Wiesmann, M. Endovascular stroke treatment now and then-procedural and clinical effectiveness and safety of different mechanical thrombectomy techniques over time. Quant. Imaging Med. Surg. 2017, 7, 1–7. [Google Scholar] [CrossRef] [PubMed]
- Chaudhuri, J.R.; Kumar, R.; Umamahesh, M.; Mridula, K.R.; Alladi, S.; Bandaru, S. Outcome of acute ischemic stroke after intra-arterial thrombolysis: A study from India. Iran. J. Neurol. 2016, 15, 195–201. [Google Scholar] [PubMed]
- Rha, J.-H.; Saver, J.L. The impact of recanalization on ischemic stroke outcome: A meta-analysis. Stroke 2007, 38, 967–973. [Google Scholar] [CrossRef] [PubMed]
- Fiorelli, M.; Bastianello, S.; von Kummer, R.; del Zoppo, G.J.; Larrue, V.; Lesaffre, E.; Ringleb, A.P.; Lorenzano, S.; Manelfe, C.; Bozzao, O. Hemorrhagic Transformation Within 36 Hours of a Cerebral Infarct. Stroke 1999, 30, 2280–2284. [Google Scholar] [CrossRef] [PubMed]
- Balami, J.S.; Hadley, G.; Sutherland, B.A.; Karbalai, H.; Buchan, A.M. The exact science of stroke thrombolysis and the quiet art of patient selection. Brain 2013, 136 Pt 12, 3528–3553. [Google Scholar]
- DeMuro, C.; Clark, M.; Doward, L.; Evans, E.; Mordin, M.; Gnanasakthy, A. Assessment of PRO label claims granted by the FDA as compared to the EMA (2006–2010). Value Health 2013, 16, 1150–1155. [Google Scholar] [CrossRef]
- Wahlgren, N.; Moreira, T.; Michel, P.; Steiner, T.; Jansen, O.; Cognard, C.; Mattle, H.P.; van Zwam, W.; Holmin, S.; Tatlisumak, T.; et al. Mechanical thrombectomy in acute ischemic stroke: Consensus statement by ESO-Karolinska Stroke Update 2014/2015, supported by ESO, ESMINT, ESNR and EAN. Int. J. Stroke 2016, 11, 134–147. [Google Scholar] [CrossRef]
- Demchuk, A.M.; Burgin, W.S.; Christou, I.; Felberg, R.A.; Barber, P.A.; Hill, M.D.; Alexandrov, A.V. Thrombolysis in brain ischemia (TIBI) transcranial Doppler flow grades predict clinical severity, early recovery, and mortality in patients treated with intravenous tissue plasminogen activator. Stroke 2001, 32, 89–93. [Google Scholar] [CrossRef]
- Adams, H.P.; Bendixen, B.H.; Kappelle, L.J.; Biller, J.; Love, B.B.; Gordon, D.L.; Marsh, E.E. Classification of subtype of acute ischemic stroke. Definitions for use in a multicenter clinical trial. TOAST. Trial of Org 10172 in Acute Stroke Treatment. Stroke 1993, 24, 35–41. [Google Scholar] [CrossRef] [PubMed]
- Vanacker, P.; Lambrou, D.; Eskandari, A.; Maeder, P.; Meuli, R.; Ntaios, G.; Michel, P. Improving prediction of recanalization in acute large-vessel occlusive stroke. J. Thromb. Haemost. 2014, 12, 814–821. [Google Scholar] [CrossRef] [PubMed]
- Branco, J.P.; Oliveira, S.; Páscoa Pinheiro, J.; Ferreira, P.L. Assessing upper limb function: Transcultural adaptation and validation of the Portuguese version of the Stroke Upper Limb Capacity Scale. BMC Sport Sci. Med. Rehabil. 2017, 9, 15. [Google Scholar] [CrossRef] [PubMed]
- Yoon, W.; Kim, S.K.; Park, M.S.; Baek, B.H.; Lee, Y.Y. Predictive Factors for Good Outcome and Mortality After Stent-Retriever Thrombectomy in Patients With Acute Anterior Circulation Stroke. J. Stroke 2017, 19, 97–103. [Google Scholar]
- Houwink, A.; Nijland, R.H.; Geurts, A.C.; Kwakkel, G. Functional recovery of the paretic upper limb after stroke: Who regains hand capacity? Arch. Phys. Med. Rehabil. 2013, 94, 839–844. [Google Scholar] [CrossRef]
- Winstein, C.J.; Stein, J.; Arena, R.; Bates, B.; Cherney, L.R.; Cramer, S.C.; Deruyter, F.; Bates, B.; Cherney, L.R.; Cramer, S.C.; et al. Guidelines for Adult Stroke Rehabilitation and Recovery: A Guideline for Healthcare Professionals From the American Heart Association/American Stroke Association. Stroke 2016, 47, e98–e169. [Google Scholar] [CrossRef]
- Khandelwal, P.; Yavagal, D.R.; Sacco, R.L. Acute Ischemic Stroke Intervention. J. Am. Coll. Cardiol. 2016, 67, 2631–2644. [Google Scholar] [CrossRef]
- Jiang, F.; Jiang, Y.; Zhi, H.; Dong, Y.; Li, H.; Ma, S.; Wang, Y.; Dong, Q.; Shen, H.; Wang, Y. Artificial intelligence in healthcare: Past, present and future. Stroke Vasc. Neurol. 2017, 2, 230–243. [Google Scholar]
- Saver, J.L.; Goyal, M.; Van Der Lugt, A.; Menon, B.K.; Majoie, C.B.L.M.; Dippel, D.W.; Campbell, B.C.; Nogueira, R.G.; Demchuk, A.M.; Tomasello, A.; et al. Time to Treatment With Endovascular Thrombectomy and Outcomes From Ischemic Stroke: A Meta-analysis. JAMA 2016, 316, 1279–1288. [Google Scholar] [CrossRef]
- Pierot, L.; Gawlitza, M.; Soize, S. Techniques for endovascular treatment of acute ischemic stroke. Rev. Neurol. (Paris) 2017, 173, 594–599. [Google Scholar] [CrossRef]
- Balami, J.S.; Sutherland, B.A.; Edmunds, L.D.; Grunwald, I.Q.; Neuhaus, A.A.; Hadley, G.; Karbalai, H.; Metcalf, K.A.; DeLuca, G.C.; Buchan, A.M. A systematic review and meta-analysis of randomized controlled trials of endovascular thrombectomy compared with best medical treatment for acute ischemic stroke. Int. J. Stroke 2015, 10, 1168–1178. [Google Scholar] [CrossRef] [PubMed]
- Singer, O.C.; Haring, H.-P.; Trenkler, J.; Nolte, C.H.; Bohner, G.; Reich, A.; Wiesmann, M.; Bussmeyer, M.; Mpotsaris, A.; Neumann-Haefelin, T.; et al. Age dependency of successful recanalization in anterior circulation stroke: The ENDOSTROKE study. Cerebrovasc. Dis. 2013, 36, 437–445. [Google Scholar] [CrossRef] [PubMed]
- Boehme, A.K.; Siegler, J.E.; Mullen, M.T.; Albright, K.C.; Lyerly, M.J.; Monlezun, D.J.; Jones, E.M.; Tanner, R.; Gonzales, N.R.; Beasley, T.M.; et al. Racial and gender differences in stroke severity, outcomes, and treatment in patients with acute ischemic stroke. J. Stroke Cerebrovasc. Dis. 2014, 23, e255–e261. [Google Scholar] [CrossRef] [PubMed]
- Coupar, F.; Pollock, A.; Rowe, P.; Weir, C.; Langhorne, P. Predictors of upper limb recovery after stroke: A systematic review and meta-analysis. Clin. Rehabil. 2012, 26, 291–313. [Google Scholar] [CrossRef] [PubMed]
- Yagi, M.; Yasunaga, H.; Matsui, H.; Morita, K.; Fushimi, K.; Fujimoto, M.; Koyama, T.; Fujitani, J. Impact of Rehabilitation on Outcomes in Patients With Ischemic Stroke: A Nationwide Retrospective Cohort Study in Japan. Stroke 2017, 48, 740–746. [Google Scholar] [CrossRef] [PubMed]
- Hatem, S.M.; Saussez, G.; Della Faille, M.; Prist, V.; Zhang, X.; Dispa, D.; Bleyenheuft, Y. Rehabilitation of Motor Function after Stroke: A Multiple Systematic Review Focused on Techniques to Stimulate Upper Extremity Recovery. Front. Hum. Neurosci. 2016, 10, 442. [Google Scholar] [CrossRef] [PubMed]
- Giray, S.; Ozdemir, O.; Baş, D.F.; İnanç, Y.; Arlıer, Z.; Kocaturk, O. Does stroke etiology play a role in predicting outcome of acute stroke patients who underwent endovascular treatment with stent retrievers? J. Neurol. Sci. 2017, 372, 104–109. [Google Scholar] [CrossRef]
- Nam, H.S.; Lee, K.; Kim, Y.D.; Choi, H.-Y.; Cho, H.-J.; Cha, M.-J.; Nam, C.M.; Heo, J.H. Failure of complete recanalization is associated with poor outcome after cardioembolic stroke. Eur. J. Neurol. 2011, 18, 1171–1178. [Google Scholar] [CrossRef]
- Martins, A.I.; Sargento-Freitas, J.; Silva, F.; Jesus-Ribeiro, J.; Correia, I.; Gomes, J.P.; Aguiar-Gonçalves, M.; Cardoso, L.; Machado, C.; Rodrigues, B.; et al. Recanalization Modulates Association Between Blood Pressure and Functional Outcome in Acute Ischemic Stroke. Stroke 2016, 47, 1571–1576. [Google Scholar] [CrossRef]
- Wade, D.T.; Langton Hewer, R.; Skilbeck, C.E.; David, R.M. Stroke: A Critical Approach to Diagnosis, Treatment and Management; Chapman and Hall: London, UK, 1985. [Google Scholar]
- Goulding, R.; Thompson, D.; Beech, C. Caring for patients with hemiplegia in an arm following a stroke. Br. J. Nurs. 2004, 13, 534–539. [Google Scholar] [CrossRef]

| Characteristics | Study Population (n = 98) | 
|---|---|
| Age | |
| Median (Q1; Q3) | 70.0 (62.3; 78.0) | 
| NIHSS at admission | |
| Median (Q1; Q3) | 14.0 (7.0; 20.0) | 
| Gender, n (%) | |
| Male | 45 (45.9) | 
| Female | 53 (54.1) | 
| Atrial fibrillation, n (%) | |
| Yes | 49 (50.0) | 
| No | 49 (50.0) | 
| Hypertension, n (%) | |
| Yes | 64 (65.3) | 
| No | 34 (34.7) | 
| Fibrinolysis/thrombectomy, n (%) | |
| Yes | 68 (69.4) | 
| No | 30 (30.6) | 
| Stroke subtype (TOAST), n (%) | |
| Cardioembolic | 52 (53.1) | 
| Non-cardioembolic | 46 (46.9) | 
| Segment, n (%) | |
| Proximal (M1) | 45 (45.9) | 
| Distal (M2, M3) | 53 (54.1) | 
| Laterization, n (%) | |
| Right | 53 (54.1) | 
| Left | 45 (45.9) | 
| Therapeutic recanalization technique, n (%) | |
| Yes | 71 (72.4) | 
| No | 27 (27.6) | 
| Successful therapeutic recanalization, n (%) | |
| Yes | 45 (63.4) | 
| No | 26 (36.6) | 
| Type of recanalization, n (%) | |
| Spontaneous | 11 (11.2) | 
| Therapeutic | 45 (45.9) | 
| Good general functioning (mRS 0–2), n (%) | |
| 48 h | 15 (15.3) | 
| 3 weeks | 43 (43.9) | 
| 12 weeks | 54 (55.1) | 
| 24 weeks | 54 (55.1) | 
| Good hand functioning (SULCS 8–10), n(%) | |
| 48 h | 27 (27.6) | 
| 3 weeks | 38 (38.8) | 
| 12 weeks | 44 (44.9) | 
| 24 weeks | 43 (43.9) | 
| Good General Functioning (mRS 0–2) | Good Hand Functioning (SULCS 8–10) | |||||
|---|---|---|---|---|---|---|
| Characteristics | Yes (n = 54) | No (n = 44) | p-Value | Yes (n = 44) | No (n = 54) | p-Value | 
| Age, median (Q1; Q3) | 67.0 (58.5; 74.5) | 74.0 (64.0; 81.0) | <0.001 | 67.0 (58.0; 74.0) | 76.5 (66.5; 81.5) | 0.003 | 
| NIHSS, median (Q1; Q3) | 7.5 (6.0; 12.5) | 17.0 (14.0; 23.0) | <0.001 | 11.0 (6.0; 16.0) | 17.0 (13.0; 23.0) | <0.001 | 
| Female gender, n (%) | 21 (38.9) | 32 (72.7) | 0.001 | 15 (34.1) | 38 (70.4) | <0.001 | 
| Atrial fibrillation, n (%) | 26 (48.1) | 23 (52.3) | 0.685 | 19 (43.2) | 30 (55.6) | 0.223 | 
| Hypertension, n (%) | 33 (61.1) | 31 (70.5) | 0.334 | 27 (61.4) | 37 (68.5) | 0.459 | 
| Cardioembolic stroke, n (%) | 25 (46.3) | 27 (61.4) | 0.137 | 19 (43.2) | 33 (61.1) | 0.077 | 
| Therapeutic recanalization technique, n (%) | 42 (77.8) | 29 (65.9) | 0.191 | 34 (77.3) | 37 (68.5) | 0.335 | 
| Segment (proximal), n (%) | 20 (37.0) | 25 (56.8) | 0.051 | 13 (29.5) | 32 (59.3) | 0.003 | 
| Recanalization | |||
|---|---|---|---|
| Characteristics | Yes (n = 56) | No (n = 42) | p-Value | 
| Age, median (Q1; Q3) | 70.0 (64.0; 78.5) | 69.5 (59.0; 77.0) | 0.659 | 
| NIHSS, median (Q1; Q3) | 12.5 (6.50; 17.50) | 17.0 (12.0; 23.0) | 0.019 | 
| Female gender, n (%) | 28 (50.0) | 25 (59.5) | 0.349 | 
| Atrial fibrillation, n (%) | 27 (48.2) | 22 (52.4) | 0.683 | 
| Hypertension, n (%) | 35 (62.5) | 29 (69.0) | 0.500 | 
| Cardioembolic stroke, n (%) | 28 (50.0) | 24 (57.1) | 0.483 | 
| Therapeutic recanalization technique, n (%) | 45 (80.4) | 26 (61.9) | 0.043 | 
| Recanalization | Type of Recanalization | ||||||
|---|---|---|---|---|---|---|---|
| Patient Functioning | Yes (n = 56) | No (n = 42) | p-Value | Spontaneous (n= 11) | Therapeutic (n = 45) | p-Value | |
| Good General Functioning (mRS 0–2), n (%) | 48 h | 13 (23.2) | 2 (4.8) | 0.012 | 1 (9.1) | 12 (26.7) | 0.426 | 
| 3 weeks | 31 (55.4) | 12 (28.6) | 0.008 | 3 (27.3) | 28 (62.2) | 0.048 | |
| 12 weeks | 37 (66.1) | 17 (40.5) | 0.012 | 4 (36.4) | 33 (73.3) | 0.032 | |
| 24 weeks | 36 (64.3) | 18 (42.9) | 0.035 | 4 (36.4) | 32 (71.1) | 0.041 | |
| Good Hand Functioning (SULCS 8–10), n (%) | 48 h | 22 (39.3) | 5 (11.9) | 0.003 | 3 (27.3) | 19 (42.2) | 0.498 | 
| 3 weeks | 27 (48.2) | 11 (26.2) | 0.027 | 3 (27.3) | 24 (53.3) | 0.121 | |
| 12 weeks | 32 (57.1) | 12 (28.6) | 0.005 | 3 (27.3) | 29 (64.4) | 0.041 | |
| 24 weeks | 31 (55.4) | 12 (28.6) | 0.008 | 3 (27.3) | 28 (62.2) | 0.048 | |
| Good General Functioning (mRS 0–2) | Good Hand Functioning (SULCS 8–10) | |||||
|---|---|---|---|---|---|---|
| Characteristics | Yes (n = 37) | No (n = 19) | p-Value | Yes (n = 32) | No (n = 24) | p-Value | 
| Age, median (Q1; Q3) | 68.0 (60.0; 75.0) | 79.0 (64.0; 82.0) | 0.016 | 68.5 (61.5; 75.0) | 76.5 (64.0; 82.0) | 0.047 | 
| NIHSS, median (Q1; Q3) | 9.0 (6.0; 14.0) | 17.0 (13.0; 23.0) | 0.006 | 7.5 (6.0; 12.0) | 17.0 (13.5; 22.5) | < 0.001 | 
| Female gender, n (%) | 13 (35.1) | 15 (78.9) | 0.002 | 9 (28.1) | 19 (79.2) | < 0.001 | 
| Atrial fibrillation, n (%) | 16 (43.2) | 11 (57.9) | 0.299 | 19 (59.4) | 10 (41.7) | 0.189 | 
| Hypertension, n (%) | 22 (59.5) | 13 (68.4) | 0.512 | 20 (62.5) | 15 (62.5) | 1.000 | 
| Cardioembolic stroke, n (%) | 16 (43.2) | 12 (63.2) | 0.158 | 13 (40.6) | 15 (62.5) | 0.105 | 
| Therapeutic recanalization technique, n (%) | 33 (89.2) | 12 (63.2) | 0.032 | 29 (90.6) | 16 (66.7) | 0.041 | 
| Publisher’s Note: MDPI stays neutral with regard to jurisdictional claims in published maps and institutional affiliations. | 
© 2021 by the authors. Licensee MDPI, Basel, Switzerland. This article is an open access article distributed under the terms and conditions of the Creative Commons Attribution (CC BY) license (http://creativecommons.org/licenses/by/4.0/).
Share and Cite
Branco, J.P.; Rocha, F.; Sargento-Freitas, J.; Santo, G.C.; Freire, A.; Laíns, J.; Páscoa Pinheiro, J. Impact of Post-Stroke Recanalization on General and Upper Limb Functioning: A Prospective, Observational Study. Neurol. Int. 2021, 13, 46-58. https://doi.org/10.3390/neurolint13010005
Branco JP, Rocha F, Sargento-Freitas J, Santo GC, Freire A, Laíns J, Páscoa Pinheiro J. Impact of Post-Stroke Recanalization on General and Upper Limb Functioning: A Prospective, Observational Study. Neurology International. 2021; 13(1):46-58. https://doi.org/10.3390/neurolint13010005
Chicago/Turabian StyleBranco, João Paulo, Filipa Rocha, João Sargento-Freitas, Gustavo C. Santo, António Freire, Jorge Laíns, and João Páscoa Pinheiro. 2021. "Impact of Post-Stroke Recanalization on General and Upper Limb Functioning: A Prospective, Observational Study" Neurology International 13, no. 1: 46-58. https://doi.org/10.3390/neurolint13010005
APA StyleBranco, J. P., Rocha, F., Sargento-Freitas, J., Santo, G. C., Freire, A., Laíns, J., & Páscoa Pinheiro, J. (2021). Impact of Post-Stroke Recanalization on General and Upper Limb Functioning: A Prospective, Observational Study. Neurology International, 13(1), 46-58. https://doi.org/10.3390/neurolint13010005
 
        

 
       