Evolution of Characteristic Parameters in Fuel Cell Dynamic Response Under Durability Testing
Abstract
1. Introduction
2. Experimental Setup
3. Results and Discussion
3.1. Overall Performance Degradation
3.2. Undershoot Voltage Analysis
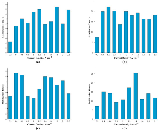
3.3. Stabilization Time Analysis
4. Conclusions
- (1)
- Cells with stronger mass transport performance consume more reactant gases in the upstream region of the flow field during a current density step, exacerbating reactant starvation downstream and leading to a larger voltage undershoot.
- (2)
- Even under constant stoichiometric control with an ample supply of reactant gas, a fuel cell will experience a higher undershoot voltage during a current density step at high current densities. This is because the reactant gas supply cannot keep up with the rate of change in demand, and the supply-demand mismatch is exacerbated at higher current densities.
- (3)
- During the dynamic response of a fuel cell, the improvement in internal performance due to cell activation leads to a decreasing trend in the undershoot voltage.
- (4)
- Statistical analysis confirms that the magnitude of the current density is not a significant factor affecting the voltage stabilization time (p > 0.05 for all tested cells). Instead, the main factors are more related to the aging state and inherent mass transport characteristics of the fuel cell.
- (5)
- There is a correlation between the extension of the stabilization time during the dynamic response of a fuel cell and the degradation of its steady-state performance.
Author Contributions
Funding
Data Availability Statement
Conflicts of Interest
References
- Lu, Y.; Hou, Y.; Zhao, H.; Jiao, D.; Zheng, Y.; Gu, R. Life prediction model of automotive fuel cell based on LSTM-Transformer hybrid neural network. Int. J. Hydrogen Energy 2025, 135, 182–194. [Google Scholar] [CrossRef]
- Espiari, S.; Aleyaasin, M. Transient response of PEM fuel cells during sudden load change. In Proceedings of the 2010 IEEE International Energy Conference, Manama, Bahrain, 18–22 December 2010; pp. 211–216. [Google Scholar]
- Kim, S.; Shimpalee, S.; Van Zee, J.W. The effect of reservoirs and fuel dilution on the dynamic behavior of a PEMFC. J. Power Sources 2004, 137, 43–52. [Google Scholar] [CrossRef]
- Cho, J.; Kim, H.-S.; Min, K. Transient response of a unit proton-exchange membrane fuel cell under various operating conditions. J. Power Sources 2008, 185, 118–128. [Google Scholar] [CrossRef]
- Pei, H.; Liu, Z.; Chen, J.; Sun, L.; Wang, B.; Xing, L.; Cai, S.; Tu, Z. Dynamic response study of air-cooled proton exchange membrane fuel cell stack. Prog. Nat. Sci. Mater. Int. 2024, 34, 1318–1326. [Google Scholar] [CrossRef]
- Chen, H.; Shi, E.; Zhang, R.; Ren, P.; Wang, H.; Zhu, Z.; Fu, X.; Pei, P. Mechanisms and characterization of interzone mass transfer inhomogeneity in PEM fuel cells. Chem. Eng. J. 2024, 500, 157063. [Google Scholar] [CrossRef]
- Yan, X.; Hou, M.; Sun, L.; Cheng, H.; Hong, Y.; Liang, D.; Shen, Q.; Ming, P.; Yi, B. The study on transient characteristic of proton exchange membrane fuel cell stack during dynamic loading. J. Power Sources 2007, 163, 966–970. [Google Scholar] [CrossRef]
- Loo, K.H.; Wong, K.H.; Tan, S.C.; Lai, Y.M.; Tse, C.K. Characterization of the dynamic response of proton exchange membrane fuel cells–a numerical study. Int. J. Hydrogen Energy 2010, 35, 11861–11877. [Google Scholar] [CrossRef]
- Yang, Z.; Wang, R.; Hao, D.; Wu, K.; Liang, J.; Wu, S.; Ma, M.; Du, Q.; Zhang, Y. Investigation of current density and temperature distribution characteristics under transient conditions based on a 108 cm2 segmented proton exchange membrane fuel cell. Int. J. Hydrogen Energy 2024, 80, 125–136. [Google Scholar] [CrossRef]
- Yu, J. Research on Dynamic Internal Performance of Automotive Fuel Cell Under Oxygen Starvation Using High-Resolution Segmented Cell Measurement. Master’s Thesis, University of Electronic Science and Technology of China, Chengdu, China, 2025. [Google Scholar]
- GB/Z 44116-2024; Fuel Cell Engines and Their Key Components—Durability Test Methods. Standardization Administration of China, National Technical Committee of Auto Standardization: Beijing, China, 2024.
- Kim, S.; Shimpalee, S.; Van Zee, J.W. Effect of flow field design and voltage change range on the dynamic behavior of PEMFCs. J. Electrochem. Soc. 2005, 152, A1265. [Google Scholar] [CrossRef]
- Li, M.; Dai, C.; Guo, A.; Chen, W. Experimental study on dynamic voltage uniformity of a 2-kW air-cooled PEMFC. Electr. Eng. 2018, 100, 2725–2735. [Google Scholar] [CrossRef]


















| Cell A | Cell B | Cell C | Cell D | |
|---|---|---|---|---|
| Rated current density (A/cm2) | 1.6 | 2.2 | 1.4 | 1.6 |
| Active area (cm2) | 25 | 25 | 25 | 25 |
| Activation | Purge | Polarization Curve Test | |
|---|---|---|---|
| Anode gas | H2 | H2 | H2 |
| Cathode gas | Air | N2 | Air |
| Anode stoichiometry | ≤1.8 | -- | ≤1.8 |
| Cathode stoichiometry | ≤2.0 | -- | ≤2.0 |
| Anode flow rate (NLPM) | -- | 0.13 | -- |
| Cathode flow rate (NLPM) | -- | 0.35 | -- |
| Anode/Cathode Inlet Temp. (°C) | 80 | 80 | 80 |
| Anode/Cathode Relative Humidity (%) | 30~100 | 30~100 | 30~100 |
| Anode/Cathode Inlet Gauge Pressure (kPag) | 150 | 150 | 150 |
| Procedure | Anode Gas (Flow) | Gas Flow Rate (L/min) | Cathode Gas (Flow) | Gas Flow Rate (L/min) | Duration (s) | |
|---|---|---|---|---|---|---|
| 1 | N2 purge | N2 | 1 | N2 | 2 | 240 |
| 2 | Air purge | None | 0 | Air | 4 | 900 |
| 3 | N2 purge | N2 | 1 | N2 | 2 | 240 |
| 4 | H2 purge | H2 | 2 | None | 0 | 600 |
| 5 | H2/Air purge | H2 | 2 | Air | 4 | 5 |
| r-Value | p-Value | |
|---|---|---|
| Cell A | 0.584 | 0.059 |
| Cell B | 0.169 | 0.618 |
| Cell C | 0.041 | 0.906 |
| Cell D | 0.263 | 0.462 |
Disclaimer/Publisher’s Note: The statements, opinions and data contained in all publications are solely those of the individual author(s) and contributor(s) and not of MDPI and/or the editor(s). MDPI and/or the editor(s) disclaim responsibility for any injury to people or property resulting from any ideas, methods, instructions or products referred to in the content. |
© 2025 by the authors. Published by MDPI on behalf of the World Electric Vehicle Association. Licensee MDPI, Basel, Switzerland. This article is an open access article distributed under the terms and conditions of the Creative Commons Attribution (CC BY) license (https://creativecommons.org/licenses/by/4.0/).
Share and Cite
Qi, Z.; Chen, X.; Wang, R.; Hao, D.; Pan, W.; Hou, Y. Evolution of Characteristic Parameters in Fuel Cell Dynamic Response Under Durability Testing. World Electr. Veh. J. 2025, 16, 479. https://doi.org/10.3390/wevj16090479
Qi Z, Chen X, Wang R, Hao D, Pan W, Hou Y. Evolution of Characteristic Parameters in Fuel Cell Dynamic Response Under Durability Testing. World Electric Vehicle Journal. 2025; 16(9):479. https://doi.org/10.3390/wevj16090479
Chicago/Turabian StyleQi, Zhexuan, Xiangyang Chen, Ruidi Wang, Dong Hao, Wenlong Pan, and Yongping Hou. 2025. "Evolution of Characteristic Parameters in Fuel Cell Dynamic Response Under Durability Testing" World Electric Vehicle Journal 16, no. 9: 479. https://doi.org/10.3390/wevj16090479
APA StyleQi, Z., Chen, X., Wang, R., Hao, D., Pan, W., & Hou, Y. (2025). Evolution of Characteristic Parameters in Fuel Cell Dynamic Response Under Durability Testing. World Electric Vehicle Journal, 16(9), 479. https://doi.org/10.3390/wevj16090479
