Enhanced Tire–Snow Sinkage Modeling for Optimized Electric Vehicle Traction Control in Northern China Snow Conditions
Abstract
1. Introduction
2. Methodology
2.1. Research Framework and Technical Roadmap
2.2. Snow Mechanical Properties and Model Optimization
2.2.1. Snow Characteristics
2.2.2. Traditional Model of Tire–Snow Interaction
2.2.3. Modeling the Mechanics of Tires on Snow
Relationship Between Applied Vertical Load and Subsidence Depth
Adaptation of the Brush Model to Snow-Covered Roads
2.3. Simulation Analysis
2.3.1. Snow Model Simulation and Coefficient Determination
2.3.2. Tire Simulation Modeling
2.3.3. Tire–Snow Simulation
2.3.4. Simulation Model Validation
3. Simulation Results and Analysis
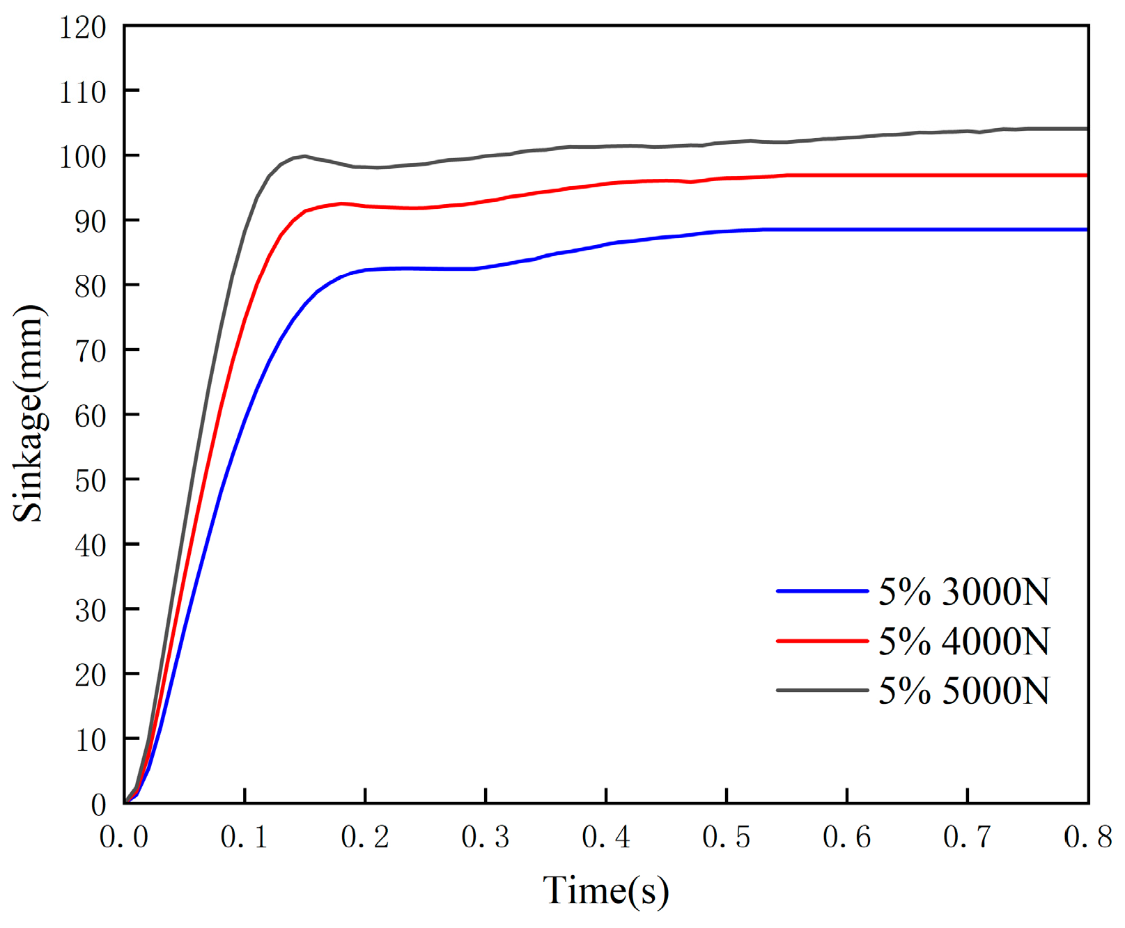
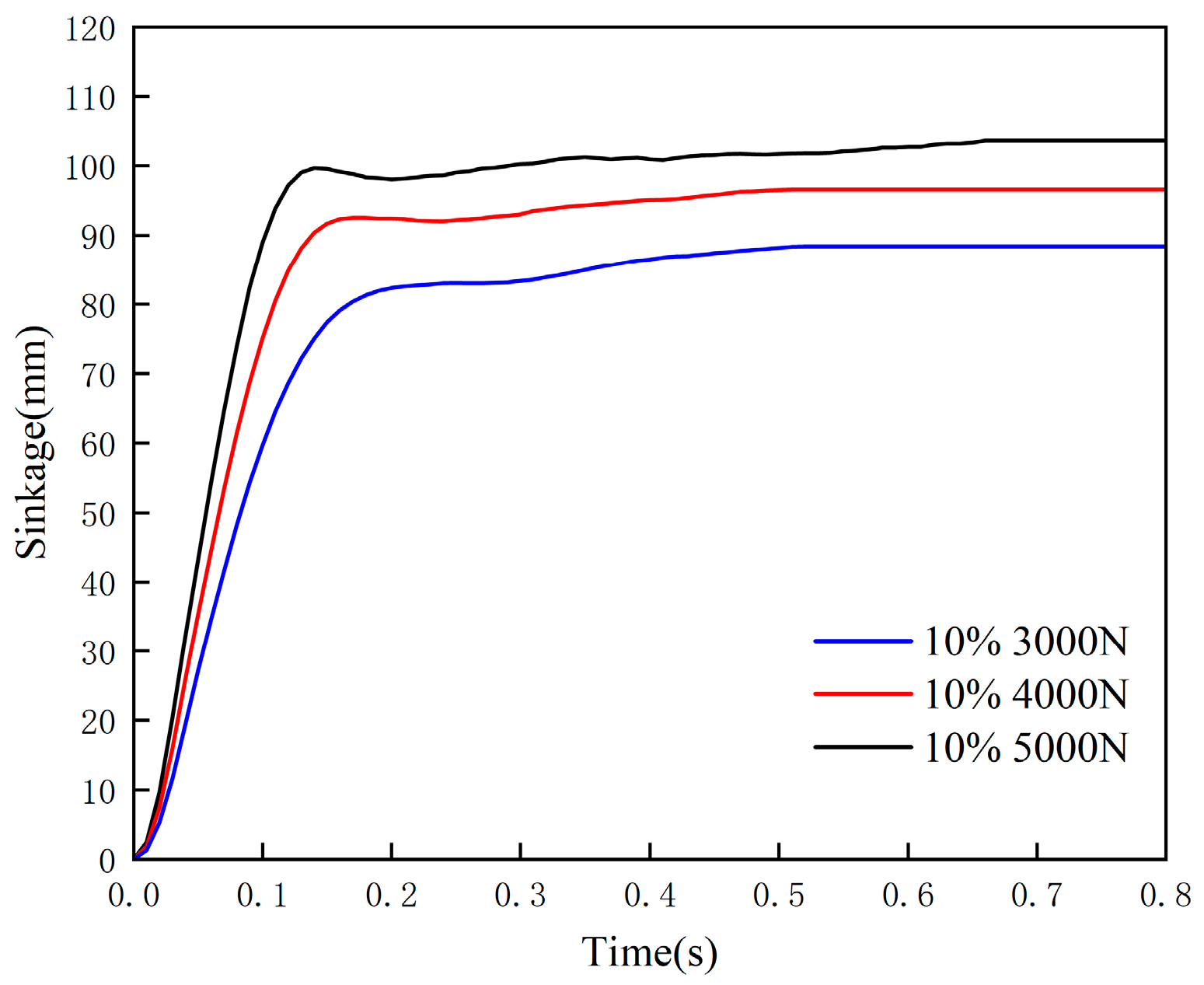
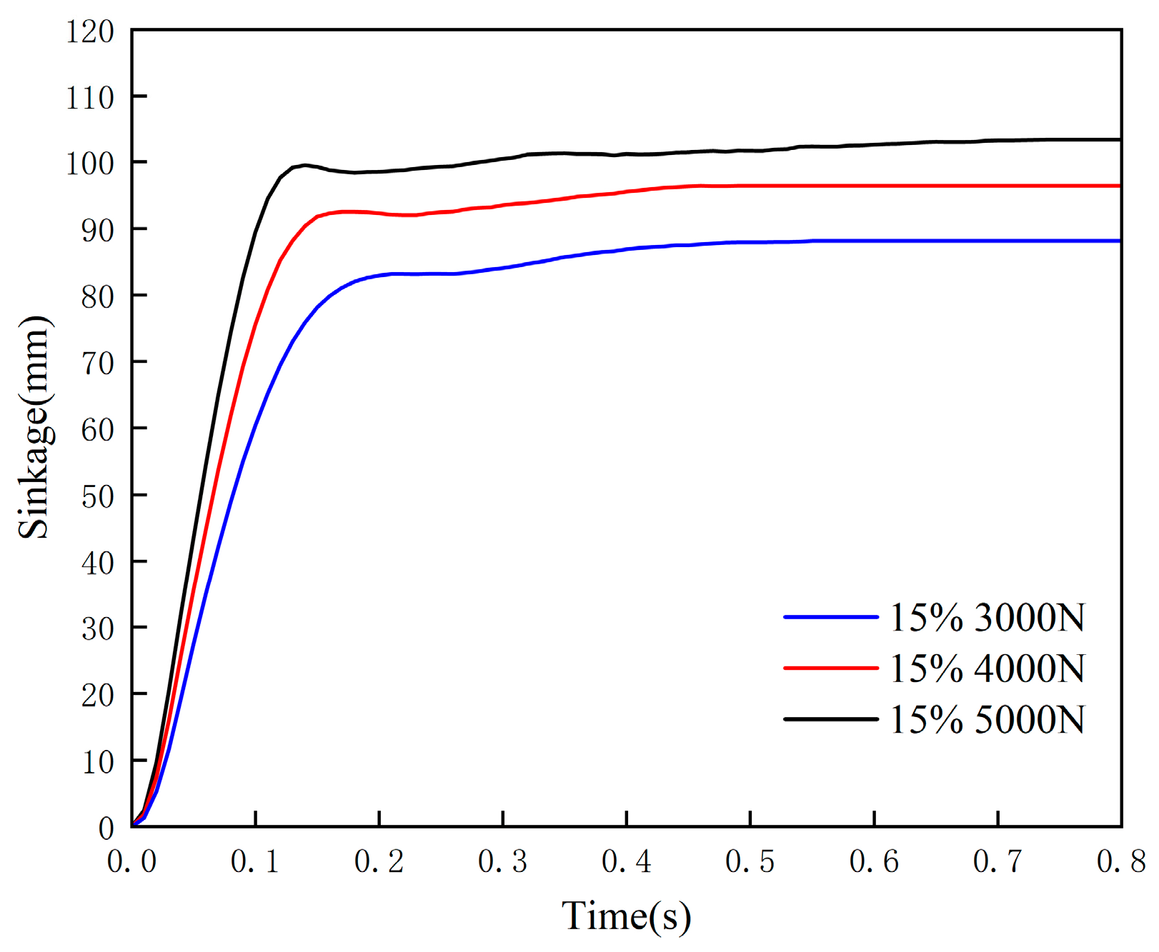
3.1. Amount of Tire Sinkage on Snow
3.2. Tire–Snow Vertical Stress Analysis
3.3. Resistance to Movement of Tires
4. Discussion
4.1. Model Performance and Comparative Analysis
4.2. Real-Scale Validation Challenges and Mitigation Strategies
4.3. Future Work and Planned Experimental Campaign
5. Conclusions
Author Contributions
Funding
Data Availability Statement
Conflicts of Interest
References
- Wang, Q.; Zhao, Y.; Li, L.; Kong, L.; Si, W. Influence of Snowy and Icy Weather on Vehicle Sideslip and Rollover: A Simulation Approach. Sustainability 2024, 16, 888. [Google Scholar] [CrossRef]
- Kunkel, K.E.; Robinson, D.A.; Champion, S.; Yin, X.; Estilow, T.; Frankson, R.M. Trends and Extremes in Northern Hemisphere Snow Characteristics. Curr. Clim. Change Rep. 2016, 2, 65–73. [Google Scholar] [CrossRef]
- Robinson, D.A.; Frei, A.; Serreze, M.C. Recent Variations and Regional Relationships in Northern Hemisphere Snow Cover. Ann. Glaciol. 1995, 21, 71–76. [Google Scholar] [CrossRef][Green Version]
- Walker, C.L.; Khattak, A.J.; Farooq, M.U.; Cecava, J.; Anderson, M.R. Investigation of Winter Weather Crash Injury Severity Using Winter Storm Classification Techniques. Transp. Res. Interdiscip. Perspect. 2024, 24, 101073. [Google Scholar] [CrossRef]
- Qiu, L.; Nixon, W.A. Effects of Adverse Weather on Traffic Crashes: Systematic Review and Meta-Analysis. Transp. Res. Rec. 2008, 2055, 139–146. [Google Scholar] [CrossRef]
- Frei, A.; Robinson, D.A. Northern Hemisphere Snow Extent: Regional Variability 1972–1994. Int. J. Climatol. 1999, 19, 1535–1560. [Google Scholar] [CrossRef]
- Climate Change 2021—The Physical Science Basis. Chem. Int. 2021, 43, 22–23. [CrossRef]
- Caban, J.; Turski, A.; Nieoczym, A.; Tarkowski, S.; Jereb, B. Impact of Specific Factors on the State of the Tire Pressure Value. Arch. Automot. Eng. 2019, 85, 137–148. [Google Scholar] [CrossRef]
- Jilek, P.; Krmela, J.; Berg, J. Modification of the Adhesive Force by Changing the Radial Reaction on Vehicle Wheels. Transp. Probl. 2021, 16, 179–186. [Google Scholar] [CrossRef]
- Gkyrtis, K.; Pomoni, M. Use of Historical Road Incident Data for the Assessment of Road Redesign Potential. Designs 2024, 8, 88. [Google Scholar] [CrossRef]
- Steinstraeter, M.; Heinrich, T.; Lienkamp, M. Effect of Low Temperature on Electric Vehicle Range. World Electr. Veh. J. 2021, 12, 115. [Google Scholar] [CrossRef]
- Senol, M.; Bayram, I.S.; Naderi, Y.; Galloway, S. Electric Vehicles Under Low Temperatures: A Review on Battery Performance, Charging Needs, and Power Grid Impacts. IEEE Access 2023, 11, 39879–39912. [Google Scholar] [CrossRef]
- White, G.; McCallum, A. Review of Ice and Snow Runway Pavements. Int. J. Pavement Res. Technol. 2018, 11, 311–320. [Google Scholar] [CrossRef]
- Lawrence, W.S.; Lang, T.J. A Constitutive Relation for the Deformation of Snow. Cold Reg. Sci. Technol. 1981, 4, 3–14. [Google Scholar] [CrossRef]
- Lee, J.H.; Huang, D. Modeling and Testing of Snow Penetration. J. Terramech. 2015, 59, 35–47. [Google Scholar] [CrossRef]
- Shoop, S.A.; Wieder, W.L.; Elder, B.C.; Beal, S.A.; Deeb, E.J. Assessment of Field Methods for Measuring Mechanical Properties of Snow. Cold Reg. Sci. Technol. 2019, 167, 102871. [Google Scholar] [CrossRef]
- He, R.; Sandu, C.; Mousavi, H.; Shenvi, M.N.; Braun, K.; Kruger, R.; Els, P.S. Updated Standards of the International Society for Terrain-Vehicle Systems. J. Terramech. 2020, 91, 185–231. [Google Scholar] [CrossRef]
- Zhu, M.; Li, P.; Li, D.; Wei, W.; Liu, J.; Long, X.; Meng, Q.; Shu, Y.; Yan, Q. Simulation of Load–Sinkage Relationship and Parameter Inversion of Snow Based on Coupled Eulerian–Lagrangian Method. Machines 2025, 13, 8. [Google Scholar] [CrossRef]
- El-Sayegh, Z.; El-Gindy, M. Modelling and Prediction of Tyre-Snow Interaction Using Finite Element Analysis-Smoothed Particle Hydrodynamics Techniques. Proc. Inst. Mech. Eng. Part D J. Automob. Eng. 2019, 233, 1783–1792. [Google Scholar] [CrossRef]
- Ran, Q.; Gao, J.; Lin, Y. Study on Interaction Between Tire and Pavement on Dry Snow-Covered Runway. Int. J. Pavement Res. Technol. 2025, 18, 1–10. [Google Scholar] [CrossRef]
- Surkutwar, Y.; Vilsan, A.; Sandu, C.; Untaroiu, C. Comparative Analysis of FEM Tire-Soft Snow Interaction and Theoretical Model Based on Bekker’s Coefficients. Int. J. Pavement Eng. 2024, 1303, 012046. [Google Scholar] [CrossRef]
- Makkonen, L. A Thermodynamic Model of Sliding Friction. AIP Adv. 2012, 2, 012179. [Google Scholar] [CrossRef]
- Baliga, N.; Hiregoudar, G.G. An Analytical Model of a Tire’s Interaction on Snow. Master’s Thesis, Chalmers University of Technology, Göteborg, Sweden, 2018. [Google Scholar]
- Gerthoffert, J.; Cerezo, V.; Bouteldja, M.; Do, M.T. Modeling Aircraft Braking Performance on Wet and Snow/Ice-Contaminated Runways. Proc. Inst. Mech. Eng. Part G J. Aerosp. Eng. 2015, 229, 1065–1078. [Google Scholar] [CrossRef]
- Michael, M. A Discrete Approach to Describe the Kinematics Between Snow and a Tire Tread. Ph.D. Thesis, University of Luxembourg, Luxembourg, 2014. [Google Scholar]
- Bekker, M.G. Off-Road Locomotion; University of Michigan Press: Ann Arbor, MI, USA, 1969; pp. 416–418. [Google Scholar]
- Rashidi, M. Review and Accuracy Comparison of Soil Pressure-Sinkage Models. Appl. Eng. Res. 2019, 9, 27–33. [Google Scholar]
- Feng, W.; Ma, J. Analysis on the Application Status and Existing Problems of Bekker’s Pressure-Sinkage Model. In Proceedings of the Advances in Materials, Machinery, Electrical Engineering (AMMEE 2017), Beijing, China, 28–30 April 2017; Atlantis Press: Paris, France, 2017; pp. 145–148. [Google Scholar]
- Lee, J.H.; Liu, Q.; Zhang, T. Predictive Semi-Analytical Model for Tire-Snow Interaction; SAE Technical Paper 2005-01-1234; SAE International: Warrendale, PA, USA, 2005. [Google Scholar] [CrossRef]
- Lee, J.H. Finite Element Modeling of Interfacial Forces and Contact Stresses of Pneumatic Tire on Fresh Snow for Combined Longitudinal and Lateral Slips. J. Terramech. 2011, 48, 171–197. [Google Scholar] [CrossRef]
- Balkwill, J. Performance Vehicle Dynamics: Engineering and Applications; Butterworth-Heinemann: Oxford, UK, 2017. [Google Scholar]
- Romano, L. Advanced Brush Tyre Modelling; Springer: Cham, Switzerland, 2022. [Google Scholar]
- Bahaloo, H.; Forsberg, F.; Casselgren, J.; Lycksam, H.; Sjödahl, M. Mapping of Density-Dependent Material Properties of Dry Manufactured Snow Using μCT. Appl. Phys. A 2024, 130, 16. [Google Scholar] [CrossRef]
- Wang, M. A Literature Review on Snow Simulation with MPM in Computer Graphics. Appl. Comput. Eng. 2023, 34, 1–8. [Google Scholar] [CrossRef]
- Shenvi, M.N.; Sandu, C.; Untaroiu, C. Review of Compressed Snow Mechanics: Testing Methods. J. Terramech. 2022, 100, 25–37. [Google Scholar] [CrossRef]
























Disclaimer/Publisher’s Note: The statements, opinions and data contained in all publications are solely those of the individual author(s) and contributor(s) and not of MDPI and/or the editor(s). MDPI and/or the editor(s) disclaim responsibility for any injury to people or property resulting from any ideas, methods, instructions or products referred to in the content. |
© 2025 by the authors. Published by MDPI on behalf of the World Electric Vehicle Association. Licensee MDPI, Basel, Switzerland. This article is an open access article distributed under the terms and conditions of the Creative Commons Attribution (CC BY) license (https://creativecommons.org/licenses/by/4.0/).
Share and Cite
Gu, J.; Li, B.; Bei, S.; Hu, C. Enhanced Tire–Snow Sinkage Modeling for Optimized Electric Vehicle Traction Control in Northern China Snow Conditions. World Electr. Veh. J. 2025, 16, 466. https://doi.org/10.3390/wevj16080466
Gu J, Li B, Bei S, Hu C. Enhanced Tire–Snow Sinkage Modeling for Optimized Electric Vehicle Traction Control in Northern China Snow Conditions. World Electric Vehicle Journal. 2025; 16(8):466. https://doi.org/10.3390/wevj16080466
Chicago/Turabian StyleGu, Jingyi, Bo Li, Shaoyi Bei, and Chenyu Hu. 2025. "Enhanced Tire–Snow Sinkage Modeling for Optimized Electric Vehicle Traction Control in Northern China Snow Conditions" World Electric Vehicle Journal 16, no. 8: 466. https://doi.org/10.3390/wevj16080466
APA StyleGu, J., Li, B., Bei, S., & Hu, C. (2025). Enhanced Tire–Snow Sinkage Modeling for Optimized Electric Vehicle Traction Control in Northern China Snow Conditions. World Electric Vehicle Journal, 16(8), 466. https://doi.org/10.3390/wevj16080466
