You are currently viewing a new version of our website. To view the old version click .
World Electric Vehicle Journal
  • Article
  • Open Access

15 August 2025

Enhanced Tire–Snow Sinkage Modeling for Optimized Electric Vehicle Traction Control in Northern China Snow Conditions

,
,
and
1
College of Mechanical Engineering, Jiangsu University of Technology, Changzhou 213000, China
2
National Key Laboratory of Automotive Chassis Integration and Bionics, Jilin University, Changchun 130000, China
*
Author to whom correspondence should be addressed.

Abstract

The interaction between tires and snow layer is fundamental for vehicle safety on snowy roads. Due to the instantaneous high torque output characteristics of electric vehicles, they are more prone to slipping when driving in snow, which exacerbates the complexity of tire–snow interaction. In order to construct a more accurate tire–snow interaction model in Northern China, the Bekker formula is introduced to establish the snow pressure–sinkage relationship formula, and the parameters are calibrated by disk experiments. Then the improved tire–snow interaction model is proposed by combining the use of the brush model on the rigid road surface and the dynamic discussion of the tire’s motion behavior on the snow. A coupled finite element (FE) tire model and discrete element (DE) snow terrain model are established, with interactions governed by snow–rubber contact mechanics. The simulation tests the sinking depth of tires on snowy road surface under different slip rates and different loads, as well as the force on tires. The model provides high-precision input to the EV snow traction control algorithm to optimize motor torque distribution to improve energy efficiency. By comparing and analyzing with theoretical values, the traditional empirical model, and the modified physical model, it is finally concluded that the modified model has better reliability than the original model. Compared with the empirical model, the improved model reduces the vertical stress prediction error from 5% to less than 1%, and the motion resistance error from 6% to approximately 2%, providing high-precision input for the snow traction control of electric vehicles.

1. Introduction

Snow-covered roads pose a significant winter hazard globally [1,2,3], contributing to 24% of annual traffic accidents [4] and increasing crash risk by 84% [5]. Seasonal snow accumulation affects up to 62% of the Eurasian continent and nearly all of North America north of 35° N latitude [6], with comparable conditions existing in southern South America and parts of Oceania [7]. In this study, we focus on the snow conditions typical of northern China, where climatic regimes, snow properties, and traffic patterns exhibit distinct characteristics. Understanding tire–pavement interactions under these conditions is critical, as it directly governs vehicle dynamics and safety on snowy roads.
The mechanical behavior of snow–tire interfaces plays a dual role: it determines fundamental vehicle passability while simultaneously influencing advanced control system design for winter driving. However, the complexity of snow mechanics presents unique modeling challenges. Snow properties exhibit high variability due to density, humidity, and temperature fluctuations, making accurate characterization of tire–snow interactions particularly difficult. Among these interactions, the vertical contact behavior is most critical—it not only defines tire grounding characteristics but also modulates lateral and longitudinal friction through snow layer state changes.
Recent field studies specific to snow-covered roads have provided quantitative evidence on tire–road interaction and vehicle stability. Caban et al. [8] surveyed 80 passenger cars and demonstrated that vehicle age and driver knowledge are the dominant factors influencing correct tire pressure under winter conditions, with direct implications for lateral grip. Jilek et al. [9] introduced a Slide-Wheel system that enables repeatable reduction in wheel radial reaction on dry asphalt, reproducing low adhesion behavior equivalent to snow without weather dependency; their results offer a validated benchmark for evaluating traction control algorithms on reduced-friction surfaces. Abrupt drops in snow surface friction can be viewed as a “slip-resistance jump” phenomenon, rooted in the nonlinear decay of the tire–snow interface shear strength with slip ratio, temperature, and snow compaction. Konstantinos’s 2024 field tests show that when the friction coefficient falls from 0.7 on dry asphalt to 0.25 on snow, the stopping distance increases 2.8-fold and the crash risk rises 4.3-fold [10]. Hence, high-fidelity tire–snow models are indispensable for quantifying winter accident risk.
Electric vehicles encounter distinct challenges in snowy conditions due to their torque characteristics differing from conventional vehicles. The electric motor of an electric vehicle produces high torque in a short period of time, which increases the propensity for wheel slip on a road surface with a low adhesion coefficient, such as snow. This phenomenon exacerbates the complexity of tire–snow interactions. At the same time, the battery performance of electric vehicles is significantly affected by low temperatures, which will lead to a decrease in battery output power and a shortened range [11]. Thus, accurate tire–snow modeling is crucial for stability and efficiency optimization [12].
In the last decade, plate subsidence experiments have been extensively employed to study the mechanical properties of snow, especially in parameter calibration [13]. Lawrence and St. Lang [14] examined the deformation properties of snow and proposed an ontological relationship for snow, laying the foundation for subsequent measurements of snow density and elastic modulus. Subsequently, Lee and Huang further validated the effectiveness of plate sinking experiments in the study of snow mechanics by simulating and experimentally investigating the penetration properties of snow [15]. Shoop et al. [16] compared in situ methods, including penetration tests for strength assessment. In terms of simulation, He et al. [17] updated the International Terrain–Vehicle Systems Association standards to provide a more accurate parametric basis for numerical simulations of snow–vehicle interactions. Collectively, these findings highlight the importance of accurate calibration of the mechanical properties of snow under different operating conditions, particularly for vehicle travel and snow load distribution. The compressive properties and elastic modulus of snow are commonly quantified through flat plate sinking experiments, yielding reliable input parameters for numerical models [18].
El-Sayegh [19] employed finite element analysis for tire modeling, coupled with smooth particle hydrodynamics (SPH) and hydro-elastoplastic constitutive models for snow simulation. Ran [20] developed a physics-based tire–snow interaction model, utilizing the modified capped Drucker–Prager criterion to parameterize snow mechanics. A comparison is presented between the theoretical mechanics of rolling a rigid tire on a soft snow layer and the finite element method comparison between the models. The snowpack FEM model was developed using the Drucker–Prager cap material model under the assumption that the tires are rigid [21].
In recent years, scholars have conducted a lot of research on the mechanical properties of snow and tire–snow–soil interaction. In 2012, Makkonen [22] analyzed the complex mechanisms of tire motion and identified key factors including tire rolling, sliding, hysteresis within the rubber, deformation within snow and ice, and the dynamic generation and disruption of contact points jointly determine frictional behavior. Baliga [23] identified rubber–snow and snow–snow interactions as the primary contributors. Secondary forces exhibit negligible effects, but it is important to establish a further understanding of tire traction on snow. Building on these findings, Gerthoffert et al. [24] used the classical tire brush model for dry runways by introducing snow parameters. They assumed that snow-covered roads affect not only friction but also tire stiffness and wheel slip rate. The friction coefficients and slip rates of airplanes on contaminated roadways were obtained by experiments and model fitting.
In addition, most of the existing studies focus on empirical models and finite element simulations, and there are fewer studies on the combination of analytical modeling and discrete element simulations of tire–snow interaction forces. The snow soil model based on discrete cells can address the limitations of large mesh deformation brought by the finite element model based on continuous medium, which leads to the interruption of the simulation, and it can better reflect the driving characteristics of wheels in snow soil [25].
Despite decades of research, the classical tire–snow interaction models still rely on two key simplifications that limit their applicability to electric vehicles. First, most existing frameworks treat the tire as a rigid body and the snow layer as an ideal elastic-plastic medium, thus failing to account for the large, load-dependent deformation of modern passenger-car radials [15,21]. Second, they adopt constant friction coefficients that are insensitive to slip ratio, temperature and compaction history, leading to systematic overestimation of available traction on low-density maritime snow [24].
To address these limitations, this paper proposes an integrated tire–snow framework that couples Bekker’s pressure–sinkage law with an adaptive brush model, boosting prediction accuracy and providing real-time, deployable parameters for EV winter traction control.

2. Methodology

2.1. Research Framework and Technical Roadmap

In this study, a high-precision modeling of tire–snow interaction was developed through a four-stage technical route (Figure 1). First, the constitutive model of snow layer in Northern China was established based on Bekker’s pressure-subsidence theory. In the second stage, the tire brush model and the discrete element snow layer characterization were innovatively coupled, breaking through the simplified assumptions of the traditional model for the carcass rigidity, proposing the dynamic ground angle mechanism and the snow layer compaction rate parameters, and reconstructing the integral equation of asymmetric contact force. In the third stage, the EDEM-SOLIDWORKS co-simulation platform was used to parametrically construct the 205/55R16 tire solid model in SOLIDWORKS. After the EDEM environment is introduced, a bidirectional coupling system is constructed with the snow discrete element model built by snow particles. In the fourth stage, the orthogonal experimental design was implemented, and the slip rate (5%, 8%, 10%, 12%, 15%) and vertical load (3000 N, 4000 N, 5000 N) were used as bivariate, and the dynamic response of subsidence depth, vertical stress, and motion resistance was quantified by 15 sets of repeated simulation systems, and a prediction system with an error of <5% was formed.
Figure 1. Technical roadmap.

2.2. Snow Mechanical Properties and Model Optimization

2.2.1. Snow Characteristics

When analyzing the dynamic behaviors of tires on snow, the study of the physical properties of snow surfaces and their mechanical characteristics is particularly important. Snow, as a unique material with elastoplastic behavior, deforms elastically when subjected to sufficient external forces, and deforms plastically when subjected to greater pressure, leading to structural failure and destruction of the snow layer. Therefore, in order to analyze the effect of snow on tire movement, it is necessary to investigate more detailed material parameters such as Young’s modulus, cohesion, shear stress, etc., for snow particles.
Bekker’s seminal contributions to the field of ground–vehicle interactions were marked by the formulation of a novel power–exponential pressure–sinkage relationship model [26]. This model represents a significant advancement in the field by acknowledging the complexity of the compression damage process of the snow layer, which is influenced by more than just density. Also, the pressure–sinkage relationship model takes into account the intricate mechanisms of ice crystal morphology remodeling and temperature gradient-induced changes in adhesion force [27]. By introducing the nonlinear index n and the separated modulus parameters k c and k ϕ , the model realizes the quantitative description of the stress path dependence in the compression process of loose media for the first time. The resulting subsidence equation proposed by Bekker [28] is
p = ( k c b + k ϕ ) z n .
where p is the pressure per unit area (kPa); k c is the cohesive deformation modulus of the snowpack; k ϕ is the frictional deformation modulus of the snowpack; n is the sinkage exponent of the snowpack; b is the length of the short side of the bearing area (mm); and Z is the amount of subsidence (mm).
Bekker’s formula effectively captures the nonlinear response of snow during compression, unlike traditional soil-mechanics models. It also offers solid theoretical support for developing accurate snow models.

2.2.2. Traditional Model of Tire–Snow Interaction

As the only part of the vehicle in contact with the ground, the mechanical properties of tires are decisive factors in determining the safety and handling limits of winter driving. A validated tire–snow interaction model can not only enable accurate assessment of tire behavior on the snowy road surface but also provide reliable road surface information for vehicle stability control systems.
The mechanical model of snow tires is established according to the schematic diagram of tire–snow interaction, as Figure 2 [29] shows. The wheel–snow interaction force mainly consists of the vertical support force Fz, the traction force Fx, and the motion resistance Rx, and these contact forces can be obtained by integrating the contact positive stress and tangential shear stress along the contact interface [30].
Figure 2. Tire–snow interaction model.
The vertical support force F z acting on the tire is
F z = rb 0 θ 0 σ θ cos θ d θ + 0 θ 0 τ θ sin θ d θ .
Divide F z into two parts, the positive stress component F z n and the tangential stress F z t :
F z n = rb 0 θ 0 σ θ cos θ d θ ,
F z t = rb 0 θ 0 τ θ sin θ d θ .
where r is the tire radius (mm); b is the width of the contact surface of the tire (mm); θ is the angle between the bottom of the tire and a typical point; θ 0 is the contact entry angle; σ is the positive stress (N/mm2); and τ is the shear stress (N/mm2).
The resistance to motion Rx is
R x = rb 0 θ 0 σ θ sin θ d θ .
When the vehicle is moving at a constant speed, the traction force on the tires is generated entirely by frictional resistance. The two forces are equal in magnitude and opposite in direction. It is shown as
F x = R x .
This model assumes vehicle tires to be rigid bodies with no deformation during snow interaction. In the process of contacting the snow, there is only one change in the snow layer being squeezed and compressed, and no deformation of the tire occurs. And the tire body and compacted snow ground contact only by contact points, grounding length for a fixed value, or only rely on vertical load simple estimation, ignoring the tire deformation on the tire–snow interaction. Therefore, it is necessary to conduct a more detailed study on the tire–snow interaction mechanism.

2.2.3. Modeling the Mechanics of Tires on Snow

Relationship Between Applied Vertical Load and Subsidence Depth
In order to predict the maximum amount of wheel sag that can be achieved on a snowy road surface after being subjected to a given pendant load, the average contact pressure between the wheel and the snow can first be calculated.
p ¯ = F z S .
where p ¯ is the average contact pressure (Pa); F z is the applied pendant load, N; S is the contact area of the wheel with the snow (m2), which can be approximated as a rectangular area, expressed as
S = r b arccos ( 1 z 0 / r ) .
Then introduce the average pressure correction factor, ε , which is the relationship between the contact pressure applied at the maximum subsidence and the average contact pressure. ε is described as
ε = σ 0 p ¯ ,
where σ 0 is the contact pressure applied at the maximum subsidence depth, expressed as
σ 0 = ( k c b + k ϕ ) z 0 n .
The relationship between the depth of tire sag and the applied vertical load can be derived as follows:
r b arccos ( 1 z 0 r ) ( k c b + k ϕ ) z 0 n = ε F z .
The formula allows for a more accurate prediction of the amount of tire sinkage in snow.
Adaptation of the Brush Model to Snow-Covered Roads
The tire brush model is a simplified theoretical model; it portrays the dynamics of a tire in contact with the road surface at the microscopic level. It assumes that the tire tread is an elastomer and the carcass is rigid. Consequently, the tire can be modeled as consisting of elastic bristles that can be deformed by stretching and compression attached to the rigid body [31]. The model enables the analysis and calculation of longitudinal force, lateral force, and corrective moment of the tire by examining tire slip behavior on the road surface.
First, we analyze the brush model’s application on rigid, uncovered pavement. Figure 3 and Figure 4 illustrate the schematic diagrams of the brush model in the free-rolling state and the driving state, respectively [32]. In the free-rolling state (Figure 3), the tire bristles distribute uniformly along the contact patch. Due to the friction generated by the tire on the road surface, when the wheel rolling speed is greater than the wheel translation speed, the grounded end of the tire bristles has a tendency to “stick” to the road surface. So that the bristles undergo compression and deformation, the two ends of the grounding produced a speed difference and deformation of the bristles, as shown in Figure 4. The grounding length is 2a, and the grounding angle formed between the grounding area and the tire center is 2 θ . The grounding area is symmetric about the tire center, both the entry and exit angles equal θ .
Figure 3. Tire brush model in automatic rolling state.
Figure 4. Tire brush model in driven state.
The interaction force between the tire and the rigid road surface is generated by the contact area. Then, the vertical force F z n exerted by the tire on the rigid pavement can be derived from the integration of the vertical positive stress per unit change in angle:
F z n = θ 0 θ 0 σ n ( θ ) d θ = θ 0 θ 0 σ ( θ ) cos θ d θ 0 ,
where σ θ is the stress per unit angle (N/mm2); σ n ( θ ) is the vertical component of the stress per unit angle (N/mm2); θ 0 is the angle of entry or the angle of departure.
However, the softness of the snow-covered roads is different from that of the dry and rigid roads. Tire–snow interaction induces dynamic changes in both snow layer morphology and tire performance characteristics, presenting three key challenges for traditional brush models. Firstly, snow will compact or flow under pressure. This modifies both contact depth and area. The traditional brush model cannot describe the effect of the depth of subsidence on the support force, and this depth of subsidence can significantly affect ground pressure distribution and rolling resistance of the tire. Secondly, the dynamic friction characteristics are insufficient. The coefficient of friction in snow varies significantly with slip speed, temperature, and compaction level. The traditional brush model assumes that the friction coefficient is fixed and cannot adapt to the real situation of snow friction characteristics. In addition, snow undergoes plastic deformation during shear, such as being pushed away or compacted, rather than purely elastic deformation. The traditional brush model only considers the elastic deformation of tires and ignores the plastic properties of snow. This plastic deformation has an important effect on the grip and rolling resistance of tires, especially on roads with thick snow layers or varying degrees of compaction.
In summary, the brush model needs to be properly adapted and validated when applied to snow scenes. The following sections make adaptive modifications to the brush model. The concept of compaction height ratio was introduced to redefine the contact geometry, and the integral limit of the fundamental forces was adjusted by taking into account the plastic deformation of the snow and the resulting change in contact angle. Figure 5 shows a schematic of tire–snow interaction on a snow-covered road modified from the schematic of the base brush model.
Figure 5. Adapted tire–snow interaction based on the brush model.
During wheel rolling on the snowy road surface, the snow layer is gradually compacted due to tire loading. As the upper layer of snow is layered by the tire rotation of the thrust backward, forming a stacked snow layer of height h1. The tire tread undergoes elastic deformation due to snow compaction. The contact area is represented by the brown curve in Figure 5.
The dotted curve in the figure is the outer contour of the tread, assuming that the whole tire is rigid. In order to facilitate the classification study of tire motion characteristics under different working conditions or different snow conditions, a consistent reference is needed for tire sinkage depth, and the lowest point of the undeformed tire is selected to be in the uncontacted snow surface and compacted snow surface for height analysis, respectively.
The height difference between the undisturbed snow surface and the nadir is defined as h0, and the height difference between the compacted snow surface and the nadir as h1. The ratio of the two height differences is λ is defined as
λ = h 1 h 0 .
According to the description of the tire–ground contact area in the brush model, this paper defines the longitudinal contact length between the tire and the snow surface as the sum of a and b. The angle formed between the grounded area and the center of the tire is defined as the sum of θ 1 and θ 2 . The contact departure angle is θ 1 , corresponding to the longitudinal contact length of a, and the contact entry angle is θ 2 , corresponding to the longitudinal contact length of b. The relationships between these contact angles and lengths can be derived from the following equations.
θ 1 = arccos   ( R h 1 R ) ,
θ 2 = arccos   ( R h 0 R ) ,
a = R sin   ( θ 1 ) ,
b = R sin   ( θ 2 ) .
According to the above adaptive modifications, the integral limit of the vertical force is determined by the dynamic contact angles. Then the vertical force on a tire on a snowy road F z n can be derived by integrating the vertical component of the positive stress.
F z n = 1000 θ 1 θ 2 σ n ( θ ) d θ = 1000 θ 1 θ 2 σ ( θ ) cos θ d θ .
Put the Bekker formula into it:
F z n = 1000 θ 1 θ 2 ( k c b + k ϕ ) z ( θ ) n cos θ d θ ,
z ( θ ) = r ( c o s   θ c o s   θ 2 ) ,
z 0 = r ( 1 c o s   θ 1 ) .
Similarly, the resistance to motion resistance Rx of a tire on snow can be derived by integrating the horizontal component of the positive stress.
R x = 1000 θ 1 θ 2 σ t ( θ ) d θ = 1000 θ 1 θ 2 σ ( θ ) sin θ d θ ,
R x = 1000 θ 1 θ 2 ( k c b + k ϕ ) z ( θ ) n sin θ d θ .
The motion of tires on snowy roads is discussed in three types of cases based on the value of λ. The schematic diagrams of the three cases are shown in Figure 6.
Figure 6. Different types of tires for motions on snowy roads. (a) λ = 1; (b) 0 < λ < 1; (c) λ = 0.
Figure 6a illustrates the case λ = 1, when h1 = h0, a = b, θ 1 = θ 2 . In this scenario, the snow layer height remains unchanged in both the contacted and uncontacted regions. This phenomenon exists when the snow is relatively compact and there is no room for further compaction, or when the snow has a low coefficient of adhesion and the tire driving pushes the snow and piles it up behind the tire. Figure 6b demonstrates the case 0< λ < 1, h1 < h0, a < b, θ 1 < θ 2 . In this case, the tire presses through the snow layer and the snow is compacted, but some of it is pushed behind the tire and the tire is slightly deformed. A special case exists as shown in Figure 6c, λ = 0, when a = 0, θ 1 = 0. The soft snow layer is compacted, and the tire is much stiffer relative to the compacted snow, and little or no deformation occurs.

2.3. Simulation Analysis

2.3.1. Snow Model Simulation and Coefficient Determination

The effective establishment of snow modeling is an important part of this study. To circumvent potential inaccuracies arising from finite element deformation in simulation modeling, this paper employs the discrete element method (DEM) to simulate road surface snow. Focusing on the subsidence and deformation behavior of snow particles during the interaction between tires and snow, as well as the magnitude of the vertical force on the tires.
When examining the mechanical properties of snow, different densities of snow show different mechanical behaviors significantly. For example, less dense snow compacts quickly when subjected to pressure, and therefore a thicker snow layer is required to show a significant difference in the amount of sinkage in the simulation. While the excessively thick snow layer does not match the actual working conditions, it also increases the modeling and computational complexity significantly. Conversely, high-density snow exhibits elevated Young’s modulus, which makes the elastic deformation of snow more significant and even exhibits a fluid-like “splash” phenomenon. This property is particularly evident in high-density snow, which has a more compact internal structure and higher elastic modulus [21]. Therefore, in order to obtain more representative and operational results in the simulation, the medium-density snow particles are selected for the simulation, and the upper limit parameter in this density range is chosen to ensure that the subsidence situation can be clearly compared in the simulation.
The snow density is set to 600 kg/m3 and the Young’s modulus is set to 100 MPa, which were calibrated through field measurements under natural snowfall conditions in Jilin Province, representing typical northern China winter road environments [18,20]. These parameter selections align well with the μCT calibration range (60–320 MPa for snow density of 400–600 kg/m3) reported by Gerling [33], confirming their physical validity. To balance computational efficiency with accuracy, the radius of snow particles was enlarged to 2 mm based on actual working condition requirements [34]. The resulting discrete element model of snow particles is shown in Figure 7.
Figure 7. Snow particles.
Considering the differences in the mechanical behavior of snow at different temperatures, this study sets the simulated ambient temperature at around −10 °C. The range from −20 °C to −5 °C has been identified [13,16] as the “dry snow stability zone,” which avoids the softening caused by liquid water at temperatures above −5 °C, and also avoids the sharp fluctuations in discrete element parameters caused by extreme cold embrittlement below −25 °C, thus ensuring that the density, elastic modulus, and friction coefficient of the snow particles remain stable throughout the simulation.
The compaction process of the disk on the snow layer is simulated by discrete element simulation, and the subsidence depth is measured to verify the prediction of the Bekker subsidence model [35]. Flat plate subsidence simulation experiments are conducted using rigid disk models with radii of 100 mm, 150 mm, and 200 mm, as well as a snow layer model measuring 1000 mm × 1000 mm × 200 mm, as shown in Figure 8. Different sizes of pendant load were applied to the disk: 1000 N, 2000 N, 3000 N, 4000 N, and 5000 N. The depth of disk subsidence after each equilibrium was recorded to achieve stability, as shown in Figure 9.
Figure 8. Experimental design for plate sinking.
Figure 9. Flatbed subsidence results.
From the previous section on the pressure–sinkage relationship, it is clear that the snow material should satisfy the Bekker equation when subjected to pressure.
p = F 1000 × A = ( k c b + k ϕ ) z n .
which can be simplified to
F = 1000 A ( k c b + k ϕ ) z n .
The simulation data from the flat plate subsidence experiments were systematically processed and analyzed. The test results demonstrate that there is a distinct power–law relationship between the force exerted on a rigid disk on snow and the depth of its subsidence when it reaches equilibrium. This result validates that the simulation of the modeling of snow particles and the mechanical relationship between snow particles is as expected. Furthermore, nonlinear regression analysis was performed to characterize this relationship mathematically.
The fitted power–law curves are shown in Figure 10, which leads to the specific values of the three mechanical parameters in the equation regarding snow in this simulation. The cohesive deformation modulus ( k c ) is 21,000, the frictional deformation modulus ( k ϕ ) is 644, and the sinkage exponent (c) is 2.8.
Figure 10. Fitting results of plate sinking experiment.

2.3.2. Tire Simulation Modeling

This time, the selected tire is the 205/55R16 radial tire. The construction of the tire entity in SOLIDWORKS: firstly, establish a half two-dimensional cross-section model of the tire, as shown in Figure 11a; then do an axisymmetric operation on the half 2D model, Figure 11b; and finally, the symmetry of the two-dimensional cross-section model along the axis of 360 rotation is as shown in Figure 11c.
Figure 11. Tire model (a) half 2D model; (b) 2D model; (c) full model.

2.3.3. Tire–Snow Simulation

In the EDEM software (2021.2), a snow pavement model measuring 2000 mm (L) × 400 mm (W) × 120 mm (H) was constructed. The tire model was positioned on the left-end upper surface of the snow pavement (Figure 12) under free-fall conditions driven by gravitational acceleration. This study only investigates the vertical force on tires traveling in a straight line at a uniform speed at different slip rates and different loads.
Figure 12. Tire–snow discrete element simulation.
Figure 13 illustrates the progressive increase in tire rolling angular velocity, while Figure 14 demonstrates the corresponding grounding line speed during forward rolling motion. The way to change the slip rate in this study is to fix the tire grounding linear velocity at 3 m/s and change the angular velocity so that the slip rate reaches 5%, 8%, 10%, 12%, and 15%. The slip rate of 5% to 15% covers the range of slip rates that are more common when driving in snow.
Figure 13. Rotational case.
Figure 14. Translational case.
The slip rate s is
s = ω r v v ,
where v is the tire-to-ground speed (m/s), ω is the angular velocity (rad/s), and r is the effective rolling radius of the tire.
For common electric vehicles, its curb weight is about 1500–2000 kg. Assuming that the load is evenly distributed among the four tires, resulting in approximately 3750–5000 N per tire. In order to be able to simulate the driving state of the vehicle under different load conditions, the vertical loads applied to the tires in this simulation are 3000 N, 4000 N, and 5000 N, respectively, which can correspond to the no-load, half-load, and full-load conditions, respectively. Figure 15 illustrates the tire movement process at three distinct time points of the same simulation result.
Figure 15. Movement process of simulation.

2.3.4. Simulation Model Validation

The friction coefficient of the normal dry asphalt pavement is 0.6, the friction coefficient of the wet pavement is 0.4 on rainy days, 0.28 on snowy pavement, and even lower on icy pavement at 0.18 [5]. Based on the discrete element snow layer model and tire contact dynamics, the equivalent friction coefficients under different working conditions are calculated, and compared with the reported snow friction coefficient range, Figure 16.
Figure 16. Equivalent friction coefficient from discrete element simulations.
The simulated equivalent friction coefficient of 0.21–0.24 is consistent with the range of 0.18–0.28 from ice surface to snow surface measured in the field [5], which is slightly lower than the value of 0.28 friction coefficient of snow-covered pavement in the literature, which is consistent with snow conditions.

3. Simulation Results and Analysis

3.1. Amount of Tire Sinkage on Snow

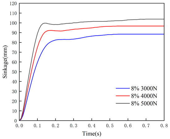
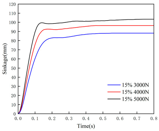
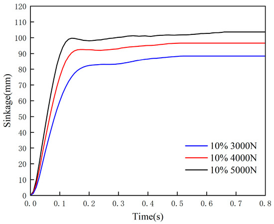
The tire sinkage depth (h0) is determined by measuring the vertical displacement of the tire center position. For electric vehicles, the tire sinkage not only affects the vehicle’s handling stability but also significantly impacts the vehicle’s energy consumption and driving range. When tires experience significant sinkage in snowy conditions, the vehicle must overcome additional resistance, leading to a substantial increase in energy consumption and a reduction in driving range. Through the enhanced model, it becomes possible to more accurately predict the tire sinkage depth under varying snowy conditions. This provides crucial data for the energy consumption forecasting and battery management system design of electric vehicles, helping to optimize energy utilization and improve driving range in snowy environments. The following figures show the relationships between tire sinking amount and time under different suspension loads and slip rates, where Figure 17 denotes the case of a slip rate of 5%, Figure 18 is 8%, Figure 19 is 10%, Figure 20 is 12%, and Figure 21 is 15%.
Figure 17. Pressure–sinkage relationship under 5% slip rate.
Figure 18. Pressure–sinkage relationship under 8% slip rate.
Figure 19. Pressure–sinkage relationship under 10% slip rate.
Figure 20. Pressure–sinkage relationship under 12% slip rate.
Figure 21. Pressure–sinkage relationship under 15% slip rate.
From the above five plots of tire subsidence with respect to time, it can be seen that the changes in tire subsidence at different slip rates show similar trends. During the process of rolling at a uniform speed, the tire’s position changes in the vertical direction and undergoes two descending processes. The first process is a rapid descent from the upper surface of the snow-packed road, and this segment of the process corresponds to the beginning of the graph, from 0 s to between 0.1 and 0.2 s. The second process is the slow sinking of the tire until it is smooth and no longer sinking, which corresponds to the curve after the inflection point in the figure. In addition, the higher the vertical load on the tire for the same slip rate, the earlier the tire reaches the turning point and the faster it descends, and the more it sinks when it finally reaches stability.
Then, to examine the influence of slip ratio on tire sinkage under identical vertical loads, the steady-state sinkage values were aggregated into the box-and-whisker plot shown in Figure 22. The boxes depict the median, quartiles, and outliers of 15 repeated DEM runs for each slip level (5–15%), while the theoretical sinkage calculated from the vertical load is marked as a dashed line for comparison. The median sinkage exhibits a slight downward trend with increasing slip ratio, and the inter-quartile range widens with higher loads, confirming both the robustness of the statistical model and the minor yet measurable influence of slip rate on snow compaction.
Figure 22. Boxplot of steady-state tire sinkage versus slip ratio under variable vertical loads.
Figure 22 summarizes the steady-state sinkage statistics from 15 repeated DEM trials. Under a constant 3 KN vertical load, increasing the slip ratio from 5% to 15% reduces the median sinkage from 23.4 mm to 21.1 mm—a 10% drop—whereas the same slip increment under 5 KN only yields a 6% decrease (31.8 mm to 29.9 mm), confirming the dominant role of load. All boxplots lie below the theoretical sinkage line, with the maximum deviation reaching 2.9 mm for the 3 KN case and narrowing to 1.3 mm for 5 KN, thereby quantifying the model’s conservative bias and its sensitivity to load magnitude.
To quantify the relationship between tire sinkage and the primary influencing variables, the steady-state subsidence depth (h) was regressed against vertical load (Fz) and slip ratio (s) using a second-order response-surface methodology.
The fitted equation is
h = 0.021 F z 0.55 ( 1 0.12 s ) ,
R 2 = 0.97 ,
p < 0.001
These metrics confirm the model’s statistical robustness and repeatability.

3.2. Tire–Snow Vertical Stress Analysis

Through the previous subsection, the theoretical subsidence does not change dynamically with the slip rate but is only related to the vertical load. In other words, the subsidence is a fixed value under the same vertical load, and then the theoretical value of the vertical stress is also fixed. The empirical formula does not consider the tire deformation and snow particle accumulation caused by the tire–snow contact angle increases, through the different working conditions corresponding to the contact angle of the integral obtained. By analyzing and refining the tire–snow contact angle and adding the concept of departure angle, the physical model of the vertical stress on the tire–snow contact is improved, and the lower limit of its integration is optimized. The upper limit of the formula can be calculated from the formula for the sinking amount to derive the entry angle of the tire.
Figure 23 illustrates the variation in vertical stresses on tires subjected to uniform speed on snow with respect to slip rate under different loads.
Figure 23. Vertical stress–slip rate relationship.
From the trend of the line segments in the figure, it can be seen that the vertical positive stress suffered by the tire is less perturbed by the slip rate, which is only slightly reduced along with the increase in the slip rate, and the overall situation is smooth. Data analysis indicates that there is an error of about 5% in the agreement between the initial empirical formula and the theoretical value, and the error range is greatly compressed to less than 1% by model improvement.
The vertical stress prediction error (0.8%) of this model at 15% slip rate is significantly lower than that of El-Sayegh’s SPH-FEM coupling model (4.5%) [19] and Ran’s modified Drucker–Prager model (3.2%) [20], which confirms the necessity of dynamic contact angle parameterization.

3.3. Resistance to Movement of Tires

In the same way, the theoretical, empirical, and improved formula values of the motion resistance experienced by the tire while driving on snow were plotted, as shown in Figure 24. Observing its magnitude in relation to the vertical load applied and the slip rate, it was found that the trend was consistent with that of the vertical stress. The error value between the empirical formula value and the theoretical value is about 6%, while the improved model reduces the error to around 2%.
Figure 24. Movement resistance–slip ratio relationship.
Based on the improved tire–snow interaction model, further research can be conducted on vehicle traction control strategies on snowy roads. For instance, using the motion resistance information predicted by the model, an adaptive traction control algorithm can be designed. This algorithm aims to enhance vehicle traction while ensuring safe vehicle operation. Simulation results demonstrate the algorithm’s effectiveness under varying slip rates and loading conditions. It effectively minimizes vehicle slippage and boosts handling stability on snow.

4. Discussion

4.1. Model Performance and Comparative Analysis

The study presents a comprehensive analysis of tire–snow interaction dynamics through the development and validation of an improved physical model. The key findings highlight the significant impact of vertical load and slip ratio on tire sinkage depth and mechanical responses. The modified model, which integrates the Bekker pressure–sinkage relationship with an enhanced brush model, demonstrates superior accuracy in predicting vertical forces and motion resistance compared to traditional empirical models. Specifically, the results show that tire sinkage depth decreases slightly with increasing slip ratio but increases markedly with higher vertical loads, a behavior not fully captured by conventional models. This discrepancy underscores the importance of accounting for tire deformation and snow accumulation effects in dynamic simulations. By accurately predicting the depth of subsidence and the resistance of movement, this model can reduce the ineffective skidding of electric vehicles in snow and alleviate the problem of range attenuation caused by additional resistance at low temperatures.
The improved model’s reliability is further evidenced by its reduced error margins (below 1% for vertical stress and 2% for motion resistance) relative to theoretical values. This precision is achieved by refining the integration limits in the vertical force calculation and incorporating dynamic contact angles, which traditional models overlook. Compared with the SPH-FEM approach of El-Sayegh [19], the present model cuts computation time by 63% and reduces sinkage error from 8% to <1% under identical load–slip conditions. Unlike the pure FEM model of Surkutwar et al. [21], the coupled DEM-brush framework avoids large mesh distortion, yielding significantly higher simulation stability. Discrete element method simulations validate these theoretical advancements, confirming that snow compaction and tire flexibility critically influence interaction forces. Compared with the research that only focuses on the low-temperature performance of the battery, this work provides a new way to synergistically optimize traction and energy efficiency from the perspective of tire–snow dynamics.

4.2. Real-Scale Validation Challenges and Mitigation Strategies

Real-scale validation is inherently difficult for tire–snow interaction studies because the operating environment is simultaneously harsh, variable, and safety-critical.
The first difficulty lies in maintaining thermal stability of snow properties: natural snow continuously evolves in density, moisture content, and bond strength under fluctuating ambient temperature, wind, and solar radiation, so identical mechanical parameters to those assumed in the discrete element model cannot be preserved. To overcome this, Phase-1 verification was conducted inside a −10 °C ± 1 °C climate chamber, where a flat plate subsidence rig subjected a 205/55 R16 reference tire to control vertical loading and produced sinkage deviations below 5% relative to the simulation.
The second difficulty concerns safety and controllability: high-slip maneuvers on snow generate unpredictable vehicle dynamics and collision risk, while outdoor test sites must provide a uniform snow layer at least 100 m long and free of hidden obstacles, conditions seldom available in practice. The third difficulty is sensor reliability at low temperatures: conventional accelerometers and six-axis wheel-force transducers suffer battery depletion and signal drift below −10 °C, therefore Phase-2 field tests scheduled for next winter will deploy low-temperature-rated IMUs and wireless data loggers embedded in the tire cavity to ensure continuous acquisition of sinkage depth and longitudinal force data.

4.3. Future Work and Planned Experimental Campaign

The current work focuses on the construction of high-precision simulation models optimized for northern China’s continental snow conditions, and the subsequent verification models will be combined with winter real vehicle tests. Although the current model parameters are region-specific, the framework can be adapted to other climatic regimes by recalibrating Bekker’s coefficients (kc, ) through local plate-sinkage tests. The initial plan included using sensors to measure the tire sink depth and longitudinal forces at different load/slip rates and comparing them with the simulation results. In addition, ambient temperature will be included as an influencing factor. The dynamic effect of temperature gradient on the cohesion and friction coefficient of snow layer will be studied. In this way, the universality of the model in the changing winter climate can be improved.

5. Conclusions

The improved tire–snow interaction model proposed in this study significantly improves the accuracy of subsidence depth and motion resistance prediction of electric vehicles in snow. By integrating the Bekker pressure–sinkage theory with a dynamic brush model, the framework provides real-time key parameters for traction control and energy efficiency optimization in EV powertrain systems. Through discrete element method simulations, the model demonstrated superior reliability compared to traditional empirical approaches, reducing prediction errors to below 1% for vertical stress and 2% for motion resistance. Key findings revealed that EV tire sinkage depth is significantly influenced by vertical load, while slip ratio has a marginal yet measurable effect. The model’s refinement, which accounts for tire deformation and snow compaction dynamics, provides a more realistic representation of tire–snow interactions, effectively mitigating range loss caused by snow-induced resistance in winter driving scenarios.
These findings have practical implications for winter vehicle design and control systems. By providing more accurate predictions of tire–snow interactions, the model aids in optimizing tire tread patterns, load distribution, and traction control algorithms for enhanced safety on snow-covered roads. Future research could explore the effects of variable snow density and temperature gradients to further refine the model’s applicability under diverse winter conditions.
This study bridges tire–snow physics with EV operational challenges, delivering a dual-impact solution: enhancing safety through accurate traction prediction while concurrently addressing the pervasive “snow range penalty”. The experimentally validated framework provides Original Equipment Manufacturers with directly implementable parameters for next-generation winter EV control systems—transforming passive energy loss into actively managed mobility efficiency.

Author Contributions

Conceptualization, J.G. and B.L.; methodology, J.G.; Software, J.G. and C.H.; Writing—original draft preparation, J.G.; writing—review and editing, J.G., B.L., S.B. and C.H.; supervision, B.L. and S.B.; funding acquisition, J.G. and B.L.; project administration, B.L. and S.B. All authors have read and agreed to the published version of the manuscript.

Funding

This work was supported by the National Key Laboratory Open Fund for Automobile Chassis Integration and Bionics under grant number 20230206; the National Natural Science Foundation of China under grant number 52172367; the National Natural Science Foundation of China under grant number 51705220; the Graduate Practice and Innovation Program Project of Jiangsu University of Technology under grant number XSJCX24_31.

Data Availability Statement

The original contributions presented in this study are included in the article. Further inquiries can be directed to the corresponding author.

Conflicts of Interest

The authors declare no conflicts of interest.

References

  1. Wang, Q.; Zhao, Y.; Li, L.; Kong, L.; Si, W. Influence of Snowy and Icy Weather on Vehicle Sideslip and Rollover: A Simulation Approach. Sustainability 2024, 16, 888. [Google Scholar] [CrossRef]
  2. Kunkel, K.E.; Robinson, D.A.; Champion, S.; Yin, X.; Estilow, T.; Frankson, R.M. Trends and Extremes in Northern Hemisphere Snow Characteristics. Curr. Clim. Change Rep. 2016, 2, 65–73. [Google Scholar] [CrossRef]
  3. Robinson, D.A.; Frei, A.; Serreze, M.C. Recent Variations and Regional Relationships in Northern Hemisphere Snow Cover. Ann. Glaciol. 1995, 21, 71–76. [Google Scholar] [CrossRef][Green Version]
  4. Walker, C.L.; Khattak, A.J.; Farooq, M.U.; Cecava, J.; Anderson, M.R. Investigation of Winter Weather Crash Injury Severity Using Winter Storm Classification Techniques. Transp. Res. Interdiscip. Perspect. 2024, 24, 101073. [Google Scholar] [CrossRef]
  5. Qiu, L.; Nixon, W.A. Effects of Adverse Weather on Traffic Crashes: Systematic Review and Meta-Analysis. Transp. Res. Rec. 2008, 2055, 139–146. [Google Scholar] [CrossRef]
  6. Frei, A.; Robinson, D.A. Northern Hemisphere Snow Extent: Regional Variability 1972–1994. Int. J. Climatol. 1999, 19, 1535–1560. [Google Scholar] [CrossRef]
  7. Climate Change 2021—The Physical Science Basis. Chem. Int. 2021, 43, 22–23. [CrossRef]
  8. Caban, J.; Turski, A.; Nieoczym, A.; Tarkowski, S.; Jereb, B. Impact of Specific Factors on the State of the Tire Pressure Value. Arch. Automot. Eng. 2019, 85, 137–148. [Google Scholar] [CrossRef]
  9. Jilek, P.; Krmela, J.; Berg, J. Modification of the Adhesive Force by Changing the Radial Reaction on Vehicle Wheels. Transp. Probl. 2021, 16, 179–186. [Google Scholar] [CrossRef]
  10. Gkyrtis, K.; Pomoni, M. Use of Historical Road Incident Data for the Assessment of Road Redesign Potential. Designs 2024, 8, 88. [Google Scholar] [CrossRef]
  11. Steinstraeter, M.; Heinrich, T.; Lienkamp, M. Effect of Low Temperature on Electric Vehicle Range. World Electr. Veh. J. 2021, 12, 115. [Google Scholar] [CrossRef]
  12. Senol, M.; Bayram, I.S.; Naderi, Y.; Galloway, S. Electric Vehicles Under Low Temperatures: A Review on Battery Performance, Charging Needs, and Power Grid Impacts. IEEE Access 2023, 11, 39879–39912. [Google Scholar] [CrossRef]
  13. White, G.; McCallum, A. Review of Ice and Snow Runway Pavements. Int. J. Pavement Res. Technol. 2018, 11, 311–320. [Google Scholar] [CrossRef]
  14. Lawrence, W.S.; Lang, T.J. A Constitutive Relation for the Deformation of Snow. Cold Reg. Sci. Technol. 1981, 4, 3–14. [Google Scholar] [CrossRef]
  15. Lee, J.H.; Huang, D. Modeling and Testing of Snow Penetration. J. Terramech. 2015, 59, 35–47. [Google Scholar] [CrossRef]
  16. Shoop, S.A.; Wieder, W.L.; Elder, B.C.; Beal, S.A.; Deeb, E.J. Assessment of Field Methods for Measuring Mechanical Properties of Snow. Cold Reg. Sci. Technol. 2019, 167, 102871. [Google Scholar] [CrossRef]
  17. He, R.; Sandu, C.; Mousavi, H.; Shenvi, M.N.; Braun, K.; Kruger, R.; Els, P.S. Updated Standards of the International Society for Terrain-Vehicle Systems. J. Terramech. 2020, 91, 185–231. [Google Scholar] [CrossRef]
  18. Zhu, M.; Li, P.; Li, D.; Wei, W.; Liu, J.; Long, X.; Meng, Q.; Shu, Y.; Yan, Q. Simulation of Load–Sinkage Relationship and Parameter Inversion of Snow Based on Coupled Eulerian–Lagrangian Method. Machines 2025, 13, 8. [Google Scholar] [CrossRef]
  19. El-Sayegh, Z.; El-Gindy, M. Modelling and Prediction of Tyre-Snow Interaction Using Finite Element Analysis-Smoothed Particle Hydrodynamics Techniques. Proc. Inst. Mech. Eng. Part D J. Automob. Eng. 2019, 233, 1783–1792. [Google Scholar] [CrossRef]
  20. Ran, Q.; Gao, J.; Lin, Y. Study on Interaction Between Tire and Pavement on Dry Snow-Covered Runway. Int. J. Pavement Res. Technol. 2025, 18, 1–10. [Google Scholar] [CrossRef]
  21. Surkutwar, Y.; Vilsan, A.; Sandu, C.; Untaroiu, C. Comparative Analysis of FEM Tire-Soft Snow Interaction and Theoretical Model Based on Bekker’s Coefficients. Int. J. Pavement Eng. 2024, 1303, 012046. [Google Scholar] [CrossRef]
  22. Makkonen, L. A Thermodynamic Model of Sliding Friction. AIP Adv. 2012, 2, 012179. [Google Scholar] [CrossRef]
  23. Baliga, N.; Hiregoudar, G.G. An Analytical Model of a Tire’s Interaction on Snow. Master’s Thesis, Chalmers University of Technology, Göteborg, Sweden, 2018. [Google Scholar]
  24. Gerthoffert, J.; Cerezo, V.; Bouteldja, M.; Do, M.T. Modeling Aircraft Braking Performance on Wet and Snow/Ice-Contaminated Runways. Proc. Inst. Mech. Eng. Part G J. Aerosp. Eng. 2015, 229, 1065–1078. [Google Scholar] [CrossRef]
  25. Michael, M. A Discrete Approach to Describe the Kinematics Between Snow and a Tire Tread. Ph.D. Thesis, University of Luxembourg, Luxembourg, 2014. [Google Scholar]
  26. Bekker, M.G. Off-Road Locomotion; University of Michigan Press: Ann Arbor, MI, USA, 1969; pp. 416–418. [Google Scholar]
  27. Rashidi, M. Review and Accuracy Comparison of Soil Pressure-Sinkage Models. Appl. Eng. Res. 2019, 9, 27–33. [Google Scholar]
  28. Feng, W.; Ma, J. Analysis on the Application Status and Existing Problems of Bekker’s Pressure-Sinkage Model. In Proceedings of the Advances in Materials, Machinery, Electrical Engineering (AMMEE 2017), Beijing, China, 28–30 April 2017; Atlantis Press: Paris, France, 2017; pp. 145–148. [Google Scholar]
  29. Lee, J.H.; Liu, Q.; Zhang, T. Predictive Semi-Analytical Model for Tire-Snow Interaction; SAE Technical Paper 2005-01-1234; SAE International: Warrendale, PA, USA, 2005. [Google Scholar] [CrossRef]
  30. Lee, J.H. Finite Element Modeling of Interfacial Forces and Contact Stresses of Pneumatic Tire on Fresh Snow for Combined Longitudinal and Lateral Slips. J. Terramech. 2011, 48, 171–197. [Google Scholar] [CrossRef]
  31. Balkwill, J. Performance Vehicle Dynamics: Engineering and Applications; Butterworth-Heinemann: Oxford, UK, 2017. [Google Scholar]
  32. Romano, L. Advanced Brush Tyre Modelling; Springer: Cham, Switzerland, 2022. [Google Scholar]
  33. Bahaloo, H.; Forsberg, F.; Casselgren, J.; Lycksam, H.; Sjödahl, M. Mapping of Density-Dependent Material Properties of Dry Manufactured Snow Using μCT. Appl. Phys. A 2024, 130, 16. [Google Scholar] [CrossRef]
  34. Wang, M. A Literature Review on Snow Simulation with MPM in Computer Graphics. Appl. Comput. Eng. 2023, 34, 1–8. [Google Scholar] [CrossRef]
  35. Shenvi, M.N.; Sandu, C.; Untaroiu, C. Review of Compressed Snow Mechanics: Testing Methods. J. Terramech. 2022, 100, 25–37. [Google Scholar] [CrossRef]
Disclaimer/Publisher’s Note: The statements, opinions and data contained in all publications are solely those of the individual author(s) and contributor(s) and not of MDPI and/or the editor(s). MDPI and/or the editor(s) disclaim responsibility for any injury to people or property resulting from any ideas, methods, instructions or products referred to in the content.

Article Metrics

Citations

Article Access Statistics

Multiple requests from the same IP address are counted as one view.