A Two-State Linear Flux Weakening Strategy for an Operation Region Extension of the Variable-Flux Memory Machine
Abstract
1. Introduction
2. HMC-VFMM: Topology and Principle
2.1. Topology of the Investigated HMC-VFMM
2.2. Variable-Flux Principle
3. Control Strategy for Speed Range Extension
3.1. Mathematical Model
3.2. Speed Range Extension Based on MS Manipulation
3.3. Coordinated Control of MS Manipulation and d-Axis Current-Based FW
4. Description of the Proposed TS-LFW Strategy
4.1. Overall Control Diagram
4.2. LFW Strategy at MS1
4.2.1. Constant Torque Region (O-A1)
4.2.2. FW Region I (A1-B1)
4.2.3. FW Region II (B1-C1)
4.3. LFW Strategy at MS2
4.3.1. Constant Torque Region (O-A2)
4.3.2. FW Region (A2-B2)
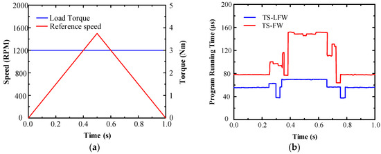
5. Experimental Validation
6. Conclusions
Author Contributions
Funding
Data Availability Statement
Conflicts of Interest
Abbreviations
| ANN | Artificial neural network |
| CFA | Continuous flux adjustment |
| EMF | Electromotive force |
| FI-VFMM | Flux-intensifying variable-flux memory machine |
| FOC | Field-oriented control |
| FW | Flux-weakening |
| HCF | High coercive force |
| HM-VFMM | Hybrid magnet variable-flux memory machine |
| HMC-VFMM | Hybrid magnetic circuit variable-flux memory machine |
| LCF | Low coercive force |
| LFW | Linear flux-weakening |
| MS | Magnetization state |
| MTPA | Maximum torque per ampere |
| PMC | Parallel magnetic circuit |
| PMSM | Permanent magnet synchronous machine |
| SMC | Series magnetic circuit |
| TS-FW | Two-state flux-weakening |
| TS-LFW | Two-state linear flux-weakening |
| TS-MS | Two-state magnetization state |
| VFMM | Variable-flux memory machine |
References
- Zhu, Z.Q.; Howe, D. Electrical machines and drives for electric, hybrid, and fuel cell vehicles. Proc. IEEE. Apr. 2007, 95, 746–765. [Google Scholar] [CrossRef]
- Baranov, G.; Zolotarev, A.; Ostrovskii, V.; Karimov, T.; Voznesensky, A. Analytical Model for the Design of Axial Flux Induction Motors with Maximum Torque Density. World Electr. Veh. J. 2021, 12, 24. [Google Scholar] [CrossRef]
- Yao, K.; Du, B.C.; Li, J.H.; Huang, W.; Cheng, Y.; Zhang, Q.F.; Cui, S.M. Torque closed-loop flux-weakening control of IPMSM based on search coils. IEEE Trans. Ind. Electron. 2025, 72, 122–133. [Google Scholar] [CrossRef]
- Jing, R.; Wang, G.; Zhang, G.; Xu, D. Review of field weakening control strategies of permanent magnet synchronous motors. CES Trans. Electr. Mach. Syst. 2024, 8, 319–331. [Google Scholar] [CrossRef]
- Wang, S.; Kang, M.; Degano, A.; Galassini, A.; Gerada, C. An accurate wide-speed range control method of IPMSM considering resistive voltage drop and magnetic saturation. IEEE Trans. Ind. Electron. 2020, 67, 2630–2641. [Google Scholar] [CrossRef]
- Liu, Y.; Zhang, Z.; Zhang, X. Design and optimization of hybrid excitation synchronous machines with magnetic shunting rotor for electric vehicle traction applications. IEEE Trans. Ind. Appl. 2017, 53, 5252–5261. [Google Scholar] [CrossRef]
- Atiq, S.; Lipo, T.A.; Kwon, B.I. Wide speed range operation of non-salient PM machines. IEEE Trans. Energy Convers. 2016, 31, 1179–1191. [Google Scholar] [CrossRef]
- Ostovic, V. Memory motors. IEEE Ind. Appl. Mag. 2003, 9, 52–61. [Google Scholar] [CrossRef]
- Athavale, A.; Sasaki, K.; Gagas, B.S.; Kato, T.; Lorenz, R.D. Variable flux permanent magnet synchronous machine (VF-PMSM) design methodologies to meet electric vehicle traction requirements with reduced losses. IEEE Trans. Ind. Appl. 2017, 53, 4318–4326. [Google Scholar] [CrossRef]
- Hua, H.; Zhu, Z.; Pride, A.; Deodhar, R.; Sasaki, T. A novel variable flux memory machine with series hybrid magnets. IEEE Trans. Ind. Appl. 2017, 53, 4396–4405. [Google Scholar] [CrossRef]
- Yang, H.; Liu, W.; Zheng, H.; Lin, H.; Zhu, Z. A novel delta-type hybrid-magnetic-circuit variable flux memory machine for electrified vehicle applications. IEEE Trans. Transp. Electrif. 2022, 8, 3512–3523. [Google Scholar] [CrossRef]
- Maekawa, S.; Yuki, K.; Matsyshita, M.; Nitta, I.; Hasegawa, Y.; Shiga, T.; Hosoito, T.; Nagai, K.; Kubota, H. Study of the magnetization method suitable for fractional-slot concentrated-winding variable magnetomotive-force memory motor. IEEE Trans. Power Electron. 2014, 29, 4877–4887. [Google Scholar] [CrossRef]
- Zhou, Z.; Zheng, Z.; Fu, J.; Wang, M.; Sui, Y.; Liu, Y.; Zheng, P. Magnetization characteristics and electromagnetic performance analysis of a straight-type series variable-flux servo machine. In Proceedings of the 2023 26th International Conference on Electrical Machines and Systems (ICEMS), Zhuhai, China, 5–8 November 2023; pp. 5103–5108. [Google Scholar]
- Qian, H.; Hu, X.; Qin, W.; Zhang, Q.; Zheng, C. Short faults in permanent magnet synchronous machine with variable flux hybrid rotor. In Proceedings of the 2019 22nd International Conference on Electrical Machines and Systems (ICEMS), Harbin, China, 11–14 August 2019; pp. 1–5. [Google Scholar]
- Yu, C.; Chau, K.Y. Design, analysis, and control of DC-excited memory motors. IEEE Trans. Energy Convers. 2011, 26, 479–489. [Google Scholar] [CrossRef]
- Yang, H.; Zhu, Z.Q.; Lin, H.; Xu, P.L.; Zhan, H.L.; Fang, S.; Huang, Y. Design synthesis of switched flux hybrid-permanent magnet memory machines. IEEE Trans. Energy Convers. 2017, 32, 65–79. [Google Scholar] [CrossRef]
- Yang, H.; Lyu, S.; Lin, H.; Zhu, Z.Q.; Peng, F.; Zhuang, S.; Huang, Y. Stepwise magnetization control strategy for DC-magnetized memory machine. IEEE Trans. Ind. Electron. 2019, 66, 4273–4285. [Google Scholar] [CrossRef]
- Yang, H.; Lyu, s.; Lin, H.; Zhu, Z.Q.; Zhen, H.; Wang, T. A novel hybrid-magnetic-circuit variable flux memory machine. IEEE Trans. Ind. Electron. 2020, 67, 5258–5268. [Google Scholar] [CrossRef]
- Limsuwan, N.; Kato, T.; Akatsu, K.; Lorenz, R.D. Design and evaluation of a variable-flux flux-intensifying interior permanent-magnet machine. IEEE Trans. Ind. Appl. 2014, 50, 1015–1024. [Google Scholar] [CrossRef]
- Hua, H.; Zhu, Z.Q.; Pride, A.; Deodhar, R.; Sasaki, T. Comparative study on variable flux memory machines with parallel or series hybrid magnets. IEEE Trans. Ind. Appl. 2019, 55, 1408–1419. [Google Scholar] [CrossRef]
- Wang, M.; Tong, C.; Zhang, P.; Cheng, L.; Zhang, S.; Qiao, G.; Sui, Y. Analysis of a novel hybrid-PM variable-flux machine using new magnet material CeFeB. IEEE Trans. Mag. 2019, 55, 8106207. [Google Scholar] [CrossRef]
- Qiao, G.; Wang, M.; Liu, F.; Liu, Y.; Zheng, P.; Sui, Y. Analysis of magnetic properties of AlNiCo and magnetization state estimation in variable-flux PMSMs. IEEE Trans. Mag. 2019, 55, 8105006. [Google Scholar] [CrossRef]
- Lu, Y.; Li, J.; Qu, R.; Sun, A. Design and analysis of a hybrid permanent magnet variable-flux flux-intensifying machine. In Proceedings of the 2016 19th International Conference on Electrical Machines and Systems (ICEMS), Chiba, Japan, 13–16 November 2016; pp. 1–6. [Google Scholar]
- Masisi, L.; Ibrahim, M.; Pillay, P. Control strategy of a variable flux machine using AlNiCo permanent magnets. In Proceedings of the 2015 IEEE Energy Conversion Congress and Exposition (ECCE), Montreal, QC, Canada, 20–24 September 2015; pp. 5249–5255. [Google Scholar]
- Chen, J.; Li, J.; Qu, R. Maximum-torque-per-ampere and magnetization-state control of a variable-flux permanent magnet machine. IEEE Trans. Ind. Electron. 2018, 65, 1158–1169. [Google Scholar] [CrossRef]
- Chen, J.; Li, J.; Qu, R.; Ge, M. Magnet-frozen-permeability FEA and DC-biased measurement for machine inductance: Application on a variable-flux PM machine. IEEE Trans. Ind. Electron. 2018, 65, 4599–4607. [Google Scholar] [CrossRef]
- Fukushige, T.; Limsuwan, N.; Kato, T.; Akatsu, K.; Lorenz, R.D. Efficiency contours and loss minimization over a driving cycle of a variable flux-intensifying machine. IEEE Trans. Ind. Appl. 2015, 51, 2984–2989. [Google Scholar] [CrossRef]
- Athavale, A.; Erato, D.J.; Lorenz, R.D. Enabling driving cycle loss reduction in variable flux PMSMs via closed-loop magnetization state control. IEEE Trans. Ind. Appl. 2018, 54, 3350–3359. [Google Scholar] [CrossRef]
- Aljehaimi, A.M.; Pillay, P. Operating envelopes of the variable-flux machine with positive reluctance torque. IEEE Trans. Transp. Electrif. 2018, 4, 707–719. [Google Scholar] [CrossRef]
- Gagas, B.; Fukushige, T.; Ksto, T.; Lorenz, R.D. Operating within dynamic voltage limits during magnetization state increases in variable flux PM synchronous machines. In Proceedings of the 2014 IEEE Energy Conversion Congress and Exposition (ECCE), Pittsburgh, PA, USA, 14–18 September 2014; pp. 5206–5213. [Google Scholar]
- Takbash, A.; Pillay, P. Magnetization and demagnetization energy estimation and torque characterization of a variable-flux machine. IEEE Trans. Energy Convers. 2018, 33, 1837–1845. [Google Scholar] [CrossRef]
- Liu, X.; Yang, H.; Lin, H.; Yu, F.; Yang, Y. Finite set model predictive current control for variable-flux memory machine drives with a three-stage optimization strategy. IEEE Trans. Power Electron. 2024, 39, 10807–10819. [Google Scholar] [CrossRef]
- Yu, K.; Wang, Z. Improved deadbeat predictive current control of dual three-phase variable-flux PMSM drives with composite disturbance observer. IEEE Trans. Power Electron. 2022, 37, 8310–8321. [Google Scholar] [CrossRef]
- Chen, Z.; Lin, H.; Zhong, Y.; Lyu, S.; Yang, H. A novel current control strategy for magnetization state manipulation of variable flux memory machine based on linear active disturbance rejection. IEEE Trans. Power Electron. 2022, 37, 1962–1971. [Google Scholar] [CrossRef]
- Zhong, Y.; Lin, H.; Chen, Z. Online-parameter-estimation-based control strategy combining MTPA and flux-weakening for variable flux memory machines. IEEE Trans. Power Electron. 2022, 37, 4080–4090. [Google Scholar] [CrossRef]
- Chen, J.; Li, J.; Qu, R. Analysis, modeling, and current trajectory control of magnetization state manipulation in variable-flux permanent magnet machines. IEEE Trans. Ind. Electron. 2019, 66, 5133–5143. [Google Scholar] [CrossRef]
- Baranov, G.D.; Nepomuceno, E.G.; Vaganov, M.A.; Ostrovskii, V.Y.; Butusov, D.N. New Spectral Markers for Broken Bars Diagnostics in Induction Motors. Machines 2020, 8, 6. [Google Scholar] [CrossRef]
- Thike, R.; Pillay, P. Characterization of a variable flux machine for transportation using a vector-controlled drive. IEEE Trans. Trans. Electrif. 2018, 4, 494–505. [Google Scholar] [CrossRef]


















| Item | CFA | TS-MS |
|---|---|---|
| MS manipulation manner | Continuous | Discrete (two-step) |
| id | 0 | 0 |
| Operation region | 100% | 97.9% |
| Implementation | Complex | Simple |
| MS changing losses | High | Low |
| Symbol | Quantity | Value |
|---|---|---|
| Udc | DC-link voltage | 120 V |
| P | rated power | 500 W |
| n | rated speed | 800 RPM |
| p | pole pairs | 2 |
| I | rated current | 7.5 A |
| ψPM1 | PM flux linkage (MS1) | 0.24 Wb |
| ψPM2 | PM flux linkage (MS2) | 0.12 Wb |
| R | phase resistance | 1.2 Ohm |
| Ld1 | d-axis inductance (MS1) | 13.7 mH |
| Lq1 | q-axis inductance (MS1) | 22.5 mH |
| Ld2 | d-axis inductance (MS2) | 14.4 mH |
| Lq2 | q-axis inductance (MS2) | 24.5 mH |
Disclaimer/Publisher’s Note: The statements, opinions and data contained in all publications are solely those of the individual author(s) and contributor(s) and not of MDPI and/or the editor(s). MDPI and/or the editor(s) disclaim responsibility for any injury to people or property resulting from any ideas, methods, instructions or products referred to in the content. |
© 2025 by the authors. Published by MDPI on behalf of the World Electric Vehicle Association. Licensee MDPI, Basel, Switzerland. This article is an open access article distributed under the terms and conditions of the Creative Commons Attribution (CC BY) license (https://creativecommons.org/licenses/by/4.0/).
Share and Cite
Liu, C.; Liu, X.; Wang, C.; Yang, H.; Huang, L. A Two-State Linear Flux Weakening Strategy for an Operation Region Extension of the Variable-Flux Memory Machine. World Electr. Veh. J. 2025, 16, 115. https://doi.org/10.3390/wevj16030115
Liu C, Liu X, Wang C, Yang H, Huang L. A Two-State Linear Flux Weakening Strategy for an Operation Region Extension of the Variable-Flux Memory Machine. World Electric Vehicle Journal. 2025; 16(3):115. https://doi.org/10.3390/wevj16030115
Chicago/Turabian StyleLiu, Chuanjin, Xing Liu, Chenggang Wang, Hui Yang, and Lei Huang. 2025. "A Two-State Linear Flux Weakening Strategy for an Operation Region Extension of the Variable-Flux Memory Machine" World Electric Vehicle Journal 16, no. 3: 115. https://doi.org/10.3390/wevj16030115
APA StyleLiu, C., Liu, X., Wang, C., Yang, H., & Huang, L. (2025). A Two-State Linear Flux Weakening Strategy for an Operation Region Extension of the Variable-Flux Memory Machine. World Electric Vehicle Journal, 16(3), 115. https://doi.org/10.3390/wevj16030115

