Parameters Identification for Lithium-Ion Battery Models Using the Levenberg–Marquardt Algorithm
Abstract
1. Introduction
- We developed and implemented a new robust framework for model validation and parameter identification for lithium-ion batteries, leveraging a hybrid optimization approach that combines the Gauss–Newton algorithm and gradient descent technique, the so-called Levenberg–Marquardt algorithm.
- This framework effectively balances the precision of Gauss–Newton with the robustness of gradient descent, making it particularly valuable for parameter identification problems.
- This framework has been verified using experimental measurements on the INR 18650-20R battery, conducted by the Center for Advanced Life Cycle Engineering (CALCE) battery group at the University of Maryland.
- This work presented a comprehensive comparative study between various types of models, specifically first-, second-, and third-order models.
2. Battery Modeling
- First-Order Model ():
- Second-Order Model ():
- Third-Order Model ():where , , and , which represent time constants for different parallel RC branches. These time constants, along with the resistors , , , and , are unknown parameter values. By using the LMA and experimental data provided by the CALCE group, the values of these parameters are determined. The battery is then dynamically simulated under various operating conditions, revealing insights into its efficiency and performance. The obtained parameters are validated on a different set of data to ensure their accuracy. These details will be discussed in more depth in the following section. Incorporating the SOC dependency into the ECM, particularly within the Thevenin model, provides a more accurate representation of the battery’s behavior in real-world applications.
3. Methodology
- Model Verification: This step involves validating the battery model by comparing the simulation results to lab experimental measurements. The model will be verified if it matches accurately with simulation data, and ensures that the model parameters are accurately tuned.
- Model Parameter Identification: In this step, the LMA is utilized, to obtain and optimize the model parameters. If the simulation results match well with the experimental lab measurements, the model is verified, and there is no need for this step.
3.1. Levenberg–Marquardt Algorithm (LMA)
3.2. Evaluation Criteria
3.3. Parameter Extraction Process
4. Experimental Methodology
4.1. Experimental Setup
- An incremental OCV test using negative pulse discharge (PD) or positive pulse charge (PC) tests:
- C-rate: The pulse charge–discharge tests were conducted using a current corresponding to a C-rate of 0.5C [64]. The C-rate is the rate at which a battery is charged or discharged [66,67]. For example, in our experiments, the rated capacity was 2 Ah, and a C-rate of 0.5C meant the battery was charged or discharged at half the usual rate, taking two hours to complete. The corresponding charging or discharging current would be 1 A.
- Temperature: PD and PC tests were performed at a controlled temperature of 25 °C to ensure consistent and reliable results.
- Estimation method development: Using PD test results, an estimation method for OCV–SOC was developed.
- Method validation: The developed method was validated using results from the PC test.
4.2. Assumptions and Limitations
- Nonlinear model behavior: The proposed ECM is inherently nonlinear, with parameters that vary in a stepwise manner with the SOC. This assumption helps the model accurately capture the dynamic behavior of the battery across different SOC ranges.
- Temperature control: The model assumes that the battery operates under a controlled temperature environment (25 °C) during both the charging and discharging phases. This minimizes the impact of temperature fluctuations on the accuracy of the model’s parameters.
- Constant discharge rates: The model is based on the assumption of a constant discharge rate during parameter identification. Consistency in discharge rates is crucial for maintaining the validity of the identified parameters.
- Applicability to battery packs: While the model has been validated for a single cell, extending the proposed method to battery packs introduces challenges, such as managing inter-cell variations, thermal management, and balancing issues. Future work will focus on refining the model to address these complexities.
- Operating conditions: The model’s performance might be affected by operating conditions not covered in this study, such as extreme temperatures or varying discharge rates. These factors can introduce non-linearity that is not accounted for by the current model configuration.
- SOC step-wise variations: The assumption of step-wise changes in model parameters with SOC, while useful for single-cell analysis, may require refinement when applied to battery packs where SOC variations are more gradual and influenced by inter-cell differences.
- Limited experimental data: The parameter identification and model validation were based on a controlled set of experiments. Expanding the model’s applicability would require additional data collection under a broader range of conditions, including different battery chemistries, sizes, operating environments, and varying C-rates.
4.3. Experimental Data
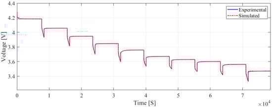
5. Results and Discussion
6. Conclusions
Author Contributions
Funding
Data Availability Statement
Acknowledgments
Conflicts of Interest
Abbreviations
| AFFRLS | adaptive forgetting factor recursive least squares |
| BMS | battery management system |
| CALCE | Center for Advanced Life Cycle Engineering |
| ECM | equivalent circuit model |
| EV | electric vehicle |
| LIBs | lithium-ion batteries |
| LMA | Levenberg–Marquardt algorithm |
| MAE | mean absolute error |
| OCV | open-circuit voltage |
| PC | pulse charge |
| PD | pulse discharge |
| PNGV | partnership for a new generation of vehicle |
| RC | resistor capacitor |
| RMSE | root mean square error |
| RLS | recursive least squares |
| RTLS | recursive total least squares |
| SOC | state of charge |
| SOH | state of health |
| VRLS | variable recursive least squares |
| ML | machine learning |
References
- Lu, L.; Han, X.; Li, J.; Hua, J.; Ouyang, M. A review on the key issues for lithium-ion battery management in electric vehicles. J. Power Sources 2013, 226, 272–288. [Google Scholar] [CrossRef]
- Manthiram, A. An outlook on lithium ion battery technology. ACS Cent. Sci. 2017, 3, 1063–1069. [Google Scholar] [CrossRef] [PubMed]
- Singh, A.N.; Kim, M.H.; Meena, A.; Wi, T.U.; Lee, H.W.; Kim, K.S. Na/Al Codoped Layered Cathode with Defects as Bifunctional Electrocatalyst for High-Performance Li-Ion Battery and Oxygen Evolution Reaction. Small 2021, 17, 2005605. [Google Scholar] [CrossRef]
- Li, J.; Li, L.; Li, Z.; Jiang, Z.; Gu, J. Co-estimation of parameters and state of charge for lithium-ion battery. J. Electroanal. Chem. 2022, 907, 116011. [Google Scholar] [CrossRef]
- Whittingham, M.S. History, evolution, and future status of energy storage. Proc. IEEE 2012, 100, 1518–1534. [Google Scholar] [CrossRef]
- Gao, Y.; Liu, K.; Zhu, C.; Zhang, X.; Zhang, D. Co-estimation of state-of-charge and state-of-health for lithium-ion batteries using an enhanced electrochemical model. IEEE Trans. Ind. Electron. 2021, 69, 2684–2696. [Google Scholar] [CrossRef]
- Hong, J.; Zhang, H.; Xu, X. Thermal fault prognosis of lithium-ion batteries in real-world electric vehicles using self-attention mechanism networks. Appl. Therm. Eng. 2023, 226, 120304. [Google Scholar] [CrossRef]
- Chang, C.; Wang, S.; Tao, C.; Jiang, J.; Jiang, Y.; Wang, L. An improvement of equivalent circuit model for state of health estimation of lithium-ion batteries based on mid-frequency and low-frequency electrochemical impedance spectroscopy. Measurement 2022, 202, 111795. [Google Scholar] [CrossRef]
- Liu, K.; Gao, Y.; Zhu, C.; Li, K.; Fei, M.; Peng, C.; Zhang, X.; Han, Q.L. Electrochemical modeling and parameterization towards control-oriented management of lithium-ion batteries. Control Eng. Pract. 2022, 124, 105176. [Google Scholar] [CrossRef]
- Wang, D.; Zhang, Q.; Huang, H.; Yang, B.; Dong, H.; Zhang, J. An electrochemical–thermal model of lithium-ion battery and state of health estimation. J. Energy Storage 2022, 47, 103528. [Google Scholar] [CrossRef]
- Adaikkappan, M.; Sathiyamoorthy, N. Modeling, state of charge estimation, and charging of lithium-ion battery in electric vehicle: A review. Int. J. Energy Res. 2022, 46, 2141–2165. [Google Scholar] [CrossRef]
- Xu, L.; Lin, X.; Xie, Y.; Hu, X. Enabling high-fidelity electrochemical P2D modeling of lithium-ion batteries via fast and non-destructive parameter identification. Energy Storage Mater. 2022, 45, 952–968. [Google Scholar] [CrossRef]
- Matar, M.; Xu, B.; Elmoudi, R.; Olatujoye, O.; Wshah, S. A deep learning-based framework for parameters calibration of power plant models using event playback approach. IEEE Access 2022, 10, 72132–72144. [Google Scholar] [CrossRef]
- Wshah, S.; Shadid, R.; Wu, Y.; Matar, M.; Xu, B.; Wu, W.; Lin, L.; Elmoudi, R. Deep learning for model parameter calibration in power systems. In Proceedings of the 2020 IEEE International Conference on Power Systems Technology (POWERCON), Bangalore, India, 14–16 September 2020; pp. 1–6. [Google Scholar]
- Alsarayreh, M.; Mohamed, O.; Matar, M. Modeling a practical dual-fuel gas turbine power generation system using dynamic neural network and deep learning. Sustainability 2022, 14, 870. [Google Scholar] [CrossRef]
- Matar, M.; Xia, T.; Huguenard, K.; Huston, D.; Wshah, S. Anomaly Detection in Coastal Wireless Sensors via Efficient Deep Sequential Learning. IEEE Access 2023, 11, 110260–110271. [Google Scholar] [CrossRef]
- Matar, M.; Xia, T.; Huguenard, K.; Huston, D.; Wshah, S. Multi-head attention based bi-lstm for anomaly detection in multivariate time-series of wsn. In Proceedings of the 2023 IEEE 5th International Conference on Artificial Intelligence Circuits and Systems (AICAS), Hangzhou, China, 11–13 June 2023; pp. 1–5. [Google Scholar]
- Matar, M.; Estevez, P.G.; Marchi, P.; Messina, F.; Elmoudi, R.; Wshah, S. Transformer-based deep learning model for forced oscillation localization. Int. J. Electr. Power Energy Syst. 2023, 146, 108805. [Google Scholar] [CrossRef]
- Matar, M. Intelligent Wide-Area Monitoring Systems Using Deep Learning; The University of Vermont and State Agricultural College: Burlington, VT, USA, 2023. [Google Scholar]
- Almutairy, F.; Scekic, L.; Matar, M.; Elmoudi, R.; Wshah, S. Detection and mitigation of gps spoofing attacks on phasor measurement units using deep learning. Int. J. Electr. Power Energy Syst. 2023, 151, 109160. [Google Scholar] [CrossRef]
- Matar, M.; Mavalizadeh, H.; Brahma, S.; Almassalkhi, M.R.; Wshah, S. Learning the state-of-charge of heterogeneous fleets of distributed energy resources with temporal residual networks. J. Energy Storage 2023, 70, 107979. [Google Scholar] [CrossRef]
- Zhang, Z.; Zhang, T.; Hong, J.; Zhang, H.; Yang, J. Energy management strategy of a novel parallel electric-hydraulic hybrid electric vehicle based on deep reinforcement learning and entropy evaluation. J. Clean. Prod. 2023, 403, 136800. [Google Scholar] [CrossRef]
- Wang, Q.; Ye, M.; Wei, M.; Lian, G.; Wu, C. Co-estimation of state of charge and capacity for lithium-ion battery based on recurrent neural network and support vector machine. Energy Rep. 2021, 7, 7323–7332. [Google Scholar] [CrossRef]
- Chen, D.; Xiao, L.; Yan, W.; Guo, Y. A novel hybrid equivalent circuit model for lithium-ion battery considering nonlinear capacity effects. Energy Rep. 2021, 7, 320–329. [Google Scholar] [CrossRef]
- Guo, W.; Sun, Z.; Vilsen, S.B.; Meng, J.; Stroe, D.I. Review of “grey box” lifetime modeling for lithium-ion battery: Combining physics and data-driven methods. J. Energy Storage 2022, 56, 105992. [Google Scholar] [CrossRef]
- Xie, J.; Wei, X.; Bo, X.; Zhang, P.; Chen, P.; Hao, W.; Yuan, M. State of charge estimation of lithium-ion battery based on extended Kalman filter algorithm. Front. Energy Res. 2023, 11, 1180881. [Google Scholar] [CrossRef]
- Zhou, W.; Zheng, Y.; Pan, Z.; Lu, Q. Review on the battery model and SOC estimation method. Processes 2021, 9, 1685. [Google Scholar] [CrossRef]
- Hou, J.; Xu, J.; Lin, C.; Jiang, D.; Mei, X. State of charge estimation for lithium-ion batteries based on battery model and data-driven fusion method. Energy 2024, 290, 130056. [Google Scholar] [CrossRef]
- Sahhouk, M.A.; Aziz, J.; Ardani, M. State of Charge Estimation of Second Life Batteries Using First Order Thevenin Model. In Proceedings of the 2023 IEEE Conference on Energy Conversion (CENCON), Kuching, Malaysia, 23–24 October 2023; pp. 53–57. [Google Scholar]
- Wang, X.; Ye, P.; Liu, S.; Zhu, Y.; Deng, Y.; Yuan, Y.; Ni, H. Research Progress of Battery Life Prediction Methods Based on Physical Model. Energies 2023, 16, 3858. [Google Scholar] [CrossRef]
- Chen, K.; Zhou, S.; Liu, K.; Gao, G.; Wu, G. State of charge estimation for lithium-ion battery based on whale optimization algorithm and multi-kernel relevance vector machine. J. Chem. Phys. 2023, 158, 104110. [Google Scholar] [CrossRef]
- Kalogiannis, T.; Hosen, M.S.; Sokkeh, M.A.; Goutam, S.; Jaguemont, J.; Jin, L.; Qiao, G.; Berecibar, M.; Van Mierlo, J. Comparative study on parameter identification methods for dual-polarization lithium-ion equivalent circuit model. Energies 2019, 12, 4031. [Google Scholar] [CrossRef]
- Reddy, A.K.V.K.; Narayana, K.V.L. Meta-heuristics optimization in electric vehicles-an extensive review. Renew. Sustain. Energy Rev. 2022, 160, 112285. [Google Scholar] [CrossRef]
- Cheng, Y.S. Identification of parameters for equivalent circuit model of Li-ion battery cell with population based optimization algorithms. Ain Shams Eng. J. 2024, 15, 102481. [Google Scholar] [CrossRef]
- Du, X.; Meng, J.; Zhang, Y.; Huang, X.; Wang, S.; Liu, P.; Liu, T. An information appraisal procedure: Endows reliable online parameter identification to lithium-ion battery model. IEEE Trans. Ind. Electron. 2021, 69, 5889–5899. [Google Scholar] [CrossRef]
- El Marghichi, M.; Loulijat, A.; El Hantati, I. Variable recursive least square algorithm for lithium-ion battery equivalent circuit model parameters identification. Period. Polytech. Electr. Eng. Comput. Sci. 2023, 67, 239–248. [Google Scholar] [CrossRef]
- Meng, J.; Stroe, D.I.; Ricco, M.; Luo, G.; Teodorescu, R. A simplified model-based state-of-charge estimation approach for lithium-ion battery with dynamic linear model. IEEE Trans. Ind. Electron. 2018, 66, 7717–7727. [Google Scholar] [CrossRef]
- Tran, M.K.; Mevawala, A.; Panchal, S.; Raahemifar, K.; Fowler, M.; Fraser, R. Effect of integrating the hysteresis component to the equivalent circuit model of Lithium-ion battery for dynamic and non-dynamic applications. J. Energy Storage 2020, 32, 101785. [Google Scholar] [CrossRef]
- Du, X.; Meng, J.; Liu, K.; Zhang, Y.; Wang, S.; Peng, J.; Liu, T. Online identification of lithium-ion battery model parameters with initial value uncertainty and measurement noise. Chin. J. Mech. Eng. 2023, 36, 7. [Google Scholar] [CrossRef]
- Ouyang, Q.; Chen, J.; Zheng, J. State-of-charge observer design for batteries with online model parameter identification: A robust approach. IEEE Trans. Power Electron. 2019, 35, 5820–5831. [Google Scholar] [CrossRef]
- Madani, S.S.; Schaltz, E.; Knudsen Kær, S. An electrical equivalent circuit model of a lithium titanate oxide battery. Batteries 2019, 5, 31. [Google Scholar] [CrossRef]
- Garnier, H. Direct continuous-time approaches to system identification. Overview and benefits for practical applications. Eur. J. Control 2015, 24, 50–62. [Google Scholar] [CrossRef]
- Hou, J.; Liu, J.; Chen, F.; Li, P.; Zhang, T.; Jiang, J.; Chen, X. Robust lithium-ion state-of-charge and battery parameters joint estimation based on an enhanced adaptive unscented Kalman filter. Energy 2023, 271, 126998. [Google Scholar] [CrossRef]
- Feng, J.; Cai, F.; Yang, J.; Wang, S.; Huang, K. An adaptive state of charge estimation method of lithium-ion battery based on residual constraint fading factor unscented Kalman filter. IEEE Access 2022, 10, 44549–44563. [Google Scholar] [CrossRef]
- Pang, H.; Guo, L.; Wu, L.; Jin, J.; Zhang, F.; Liu, K. A novel extended Kalman filter-based battery internal and surface temperature estimation based on an improved electro-thermal model. J. Energy Storage 2021, 41, 102854. [Google Scholar] [CrossRef]
- Miguel, E.; Plett, G.L.; Trimboli, M.S.; Lopetegi, I.; Oca, L.; Iraola, U.; Bekaert, E. Electrochemical model and sigma point Kalman filter based online oriented battery model. IEEE Access 2021, 9, 98072–98090. [Google Scholar] [CrossRef]
- Li, W.; Fan, Y.; Ringbeck, F.; Jöst, D.; Han, X.; Ouyang, M.; Sauer, D.U. Electrochemical model-based state estimation for lithium-ion batteries with adaptive unscented Kalman filter. J. Power Sources 2020, 476, 228534. [Google Scholar] [CrossRef]
- Campagna, N.; Castiglia, V.; Miceli, R.; Mastromauro, R.A.; Spataro, C.; Trapanese, M.; Viola, F. Battery models for battery powered applications: A comparative study. Energies 2020, 13, 4085. [Google Scholar] [CrossRef]
- Asim, A.M.; Ahmed, O.A.; Ibrahim, A.M.; El-Khattam, W.A.; Talaat, H.E. A Novel Dynamic Li-Ion Battery Model for the Aggregated Charging of EVs. World Electr. Veh. J. 2023, 14, 336. [Google Scholar] [CrossRef]
- Alavi, S.M.M.; Mahdi, A.; Payne, S.J.; Howey, D.A. Identifiability of generalized randles circuit models. IEEE Trans. Control Syst. Technol. 2016, 25, 2112–2120. [Google Scholar] [CrossRef]
- Hu, T.; Zanchi, B.; Zhao, J. Simple analytical method for determining parameters of discharging batteries. IEEE Trans. Energy Convers. 2011, 26, 787–798. [Google Scholar] [CrossRef]
- Omariba, Z.B.; Zhang, L.; Kang, H.; Sun, D. Parameter identification and state estimation of lithium-ion batteries for electric vehicles with vibration and temperature dynamics. World Electr. Veh. J. 2020, 11, 50. [Google Scholar] [CrossRef]
- Meng, J.; Luo, G.; Ricco, M.; Swierczynski, M.; Stroe, D.I.; Teodorescu, R. Overview of lithium-ion battery modeling methods for state-of-charge estimation in electrical vehicles. Appl. Sci. 2018, 8, 659. [Google Scholar] [CrossRef]
- Knap, V.; Stroe, D.I.; Teodorescu, R.; Swierczynski, M.; Stanciu, T. Comparison of parametrization techniques for an electrical circuit model of Lithium-Sulfur batteries. In Proceedings of the 2015 IEEE 13th International Conference on Industrial Informatics (INDIN), Cambridge, UK, 22–24 July 2015; pp. 1278–1283. [Google Scholar]
- Gavin, H.P. The Levenberg–Marquardt Algorithm for Nonlinear Least Squares Curve-Fitting Problems. Available online: https://people.duke.edu/~hpgavin/lm.pdf (accessed on 20 June 2024).
- Yu, H.; Wilamowski, B.M. Levenberg–marquardt training. In Intelligent Systems; CRC Press: Boca Raton, FL, USA, 2018; pp. 1–12. [Google Scholar]
- Chen, P.; Lu, C.; Mao, Z.; Li, B.; Wang, C.; Tian, W.; Li, M.; Xu, Y. Evaluation of various offline and online ECM parameter identification methods of lithium-ion batteries in underwater vehicles. Acs Omega 2022, 7, 30504–30518. [Google Scholar] [CrossRef]
- Dridi, T.; Jouini, H.; Dafaoui, E.; El Mhamedi, A.; Mami, A. Comprative Study of two Classical Optimization Algorithms Solving Economic Dispatch Problem. In Proceedings of the 13ème Conference Internationale de Modelisation, Optimisation et Simulation (MOSIM2020), Agadir, Morocco, 12–14 November 2020. [Google Scholar]
- Moré, J.J. The Levenberg–Marquardt algorithm: Implementation and theory. In Proceedings of the Numerical Analysis: Proceedings of the Biennial Conference, Dundee, UK, 28 June–1 July 1977; Springer: Berlin/Heidelberg, Germany, 2006; pp. 105–116. [Google Scholar]
- Sapna, S.; Tamilarasi, A.; Kumar, M.P. Backpropagation learning algorithm based on Levenberg Marquardt Algorithm. Comp Sci Inf. Technol (CS IT) 2012, 2, 393–398. [Google Scholar]
- Gabbar, H.A.; Othman, A.M.; Abdussami, M.R. Review of battery management systems (BMS) development and industrial standards. Technologies 2021, 9, 28. [Google Scholar] [CrossRef]
- Dridi, T.; Jouini, H.; Mami, A.; El Mhamedi, A.; Dafaoui, E.M. Application of the Levenberg–Marquardt Algorithm in Solving the Economic Emission Dispatch Problem Integrating Renewable Energy. Eng. Technol. Appl. Sci. Res. 2022, 12, 8850–8855. [Google Scholar] [CrossRef]
- Yang, F.; Li, W.; Li, C.; Miao, Q. State-of-charge estimation of lithium-ion batteries based on gated recurrent neural network. Energy 2019, 175, 66–75. [Google Scholar] [CrossRef]
- Center for Advanced Life Cycle Engineering (CALCE). University of Maryland. Available online: https://calce.umd.edu/battery-data (accessed on 20 June 2024).
- Zheng, F.; Xing, Y.; Jiang, J.; Sun, B.; Kim, J.; Pecht, M. Influence of different open circuit voltage tests on state of charge online estimation for lithium-ion batteries. Appl. Energy 2016, 183, 513–525. [Google Scholar] [CrossRef]
- Rubenbauer, H.; Henninger, S. Definitions and reference values for battery systems in electrical power grids. J. Energy Storage 2017, 12, 87–107. [Google Scholar] [CrossRef]
- Saxena, S.; Xing, Y.; Kwon, D.; Pecht, M. Accelerated degradation model for C-rate loading of lithium-ion batteries. Int. J. Electr. Power Energy Syst. 2019, 107, 438–445. [Google Scholar] [CrossRef]
- Qin, Y.; Du, J.; Lu, L.; Gao, M.; Haase, F.; Li, J.; Ouyang, M. A rapid lithium-ion battery heating method based on bidirectional pulsed current: Heating effect and impact on battery life. Appl. Energy 2020, 280, 115957. [Google Scholar] [CrossRef]
- Xing, Y.; He, W.; Pecht, M.; Tsui, K.L. State of charge estimation of lithium-ion batteries using the open-circuit voltage at various ambient temperatures. Appl. Energy 2014, 113, 106–115. [Google Scholar] [CrossRef]
- Malik, M.; Chan, K.H.; Azimi, G. Review on the synthesis of LiNixMnyCo1-x-yO2 (NMC) cathodes for lithium-ion batteries. Mater. Today Energy 2022, 28, 101066. [Google Scholar] [CrossRef]
- Li, T.; Yuan, X.Z.; Zhang, L.; Song, D.; Shi, K.; Bock, C. Degradation mechanisms and mitigation strategies of nickel-rich NMC-based lithium-ion batteries. Electrochem. Energy Rev. 2020, 3, 43–80. [Google Scholar] [CrossRef]
- Guo, J.; Li, Y.; Meng, J.; Pedersen, K.; Gurevich, L.; Stroe, D.I. Understanding the mechanism of capacity increase during early cycling of commercial NMC/graphite lithium-ion batteries. J. Energy Chem. 2022, 74, 34–44. [Google Scholar] [CrossRef]
- Lee, S.J.; Han, J.G.; Lee, Y.; Jeong, M.H.; Shin, W.C.; Ue, M.; Choi, N.S. A bi-functional lithium difluoro (oxalato) borate additive for lithium cobalt oxide/lithium nickel manganese cobalt oxide cathodes and silicon/graphite anodes in lithium-ion batteries at elevated temperatures. Electrochim. Acta 2014, 137, 1–8. [Google Scholar] [CrossRef]
- Liu, S.; Xiong, L.; He, C. Long cycle life lithium ion battery with lithium nickel cobalt manganese oxide (NCM) cathode. J. Power Sources 2014, 261, 285–291. [Google Scholar] [CrossRef]
- Ko, G.; Jeong, S.; Park, S.; Lee, J.; Kim, S.; Shin, Y.; Kim, W.; Kwon, K. Doping strategies for enhancing the performance of lithium nickel manganese cobalt oxide cathode materials in lithium-ion batteries. Energy Storage Mater. 2023, 60, 102840. [Google Scholar] [CrossRef]












| Battery (Parameters) | Specifications (Value) |
|---|---|
| Capacity rating | 2000 mAh |
| Cell chemistry | (LiNiMnCo)/Graphite |
| Weight (without safety circuit) | 45 g |
| Diameter | 18.3 mm |
| Length | 64.85 mm |
| SOC (%) | OCV (V) | R0 (Ω) | R1 (Ω) | (S) |
|---|---|---|---|---|
| 100 | 3.34461 | 0.01012 | 0.00127 | 29.54095 |
| 90 | 3.55692 | 0.12171 | 0.02887 | 514.26424 |
| 80 | 3.59764 | 0.11864 | 0.02905 | 417.01342 |
| 70 | 3.62424 | 0.11946 | 0.02609 | 630.70774 |
| 60 | 3.66142 | 0.11910 | 0.00903 | 647.54580 |
| 50 | 3.74990 | 0.13143 | 0.04547 | 871.84257 |
| 40 | 3.83603 | 0.11698 | 0.03373 | 120.76715 |
| 30 | 3.93572 | 0.11904 | 0.02057 | 166.97654 |
| 20 | 4.04439 | 0.11716 | 0.01272 | 197.77709 |
| 10 | 4.17219 | 0.10940 | 0.01502 | 52.25380 |
| SOC (%) | OCV (V) | R0 (Ω) | R1 (Ω) | (S) | R2 (Ω) | (S) |
|---|---|---|---|---|---|---|
| 100 | 3.34503 | 0.01012 | 0.00127 | 29.55413 | 0.00050 | 99.99188 |
| 90 | 3.55696 | 0.12154 | 0.02862 | 524.85038 | 0.00052 | 99.02569 |
| 80 | 3.59765 | 0.11845 | 0.02878 | 422.61110 | 0.00052 | 98.71502 |
| 70 | 3.62425 | 0.11921 | 0.02594 | 645.84416 | 0.00053 | 99.66802 |
| 60 | 3.66147 | 0.11884 | 0.00885 | 663.15801 | 0.00052 | 98.75966 |
| 50 | 3.74995 | 0.13118 | 0.04523 | 880.13736 | 0.00054 | 98.72557 |
| 40 | 3.83607 | 0.11687 | 0.03345 | 120.96445 | 0.00050 | 99.34871 |
| 30 | 3.93573 | 0.11891 | 0.01992 | 163.96142 | 0.00050 | 99.12357 |
| 20 | 4.04442 | 0.11680 | 0.01263 | 195.55564 | 0.00050 | 99.04769 |
| 10 | 4.17220 | 0.10950 | 0.01462 | 53.27939 | 0.00049 | 98.63103 |
| SOC (%) | OCV (V) | R0 (Ω) | R1 (Ω) | (S) | R2 (Ω) | (S) | R3 (Ω) | (S) |
|---|---|---|---|---|---|---|---|---|
| 100 | 3.34464 | 0.01012 | 0.00121 | 30.01695 | 0.00047 | 99.03650 | 0.00049 | 501.81983 |
| 90 | 3.55697 | 0.12121 | 0.02764 | 547.68557 | 0.00130 | 58.65421 | 0.00051 | 483.07006 |
| 80 | 3.59769 | 0.11794 | 0.02852 | 438.47975 | 0.00148 | 47.90548 | 0.00048 | 552.70953 |
| 70 | 3.62434 | 0.11903 | 0.02712 | 775.23616 | 0.00162 | 94.37027 | 0.00063 | 374.92226 |
| 60 | 3.66163 | 0.11848 | 0.00753 | 805.27240 | 0.00148 | 58.48467 | 0.00059 | 187.29149 |
| 50 | 3.74997 | 0.13007 | 0.04306 | 922.65085 | 0.00180 | 103.97069 | 0.00069 | 288.77664 |
| 40 | 3.83622 | 0.11585 | 0.03351 | 122.17773 | 0.00098 | 77.93419 | 0.00057 | 120.80545 |
| 30 | 3.93577 | 0.11797 | 0.01914 | 157.44710 | 0.00091 | 73.59992 | 0.00054 | 203.96416 |
| 20 | 4.04447 | 0.11585 | 0.01142 | 196.78995 | 0.00084 | 70.77812 | 0.00053 | 180.80653 |
| 10 | 4.17227 | 0.10830 | 0.01433 | 56.73491 | 0.00049 | 98.95913 | 0.00057 | 187.58836 |
| Model | Experimental Phase | RMSE | MAE | Identification Time [Minutes] |
|---|---|---|---|---|
| First-order model | Identification | 182 | ||
| Verification | ||||
| Second-order model | Identification | 245 | ||
| Verification | ||||
| Third-order model | Identification | 593 | ||
| Verification |
Disclaimer/Publisher’s Note: The statements, opinions and data contained in all publications are solely those of the individual author(s) and contributor(s) and not of MDPI and/or the editor(s). MDPI and/or the editor(s) disclaim responsibility for any injury to people or property resulting from any ideas, methods, instructions or products referred to in the content. |
© 2024 by the authors. Published by MDPI on behalf of the World Electric Vehicle Association. Licensee MDPI, Basel, Switzerland. This article is an open access article distributed under the terms and conditions of the Creative Commons Attribution (CC BY) license (https://creativecommons.org/licenses/by/4.0/).
Share and Cite
Alshawabkeh, A.; Matar, M.; Almutairy, F. Parameters Identification for Lithium-Ion Battery Models Using the Levenberg–Marquardt Algorithm. World Electr. Veh. J. 2024, 15, 406. https://doi.org/10.3390/wevj15090406
Alshawabkeh A, Matar M, Almutairy F. Parameters Identification for Lithium-Ion Battery Models Using the Levenberg–Marquardt Algorithm. World Electric Vehicle Journal. 2024; 15(9):406. https://doi.org/10.3390/wevj15090406
Chicago/Turabian StyleAlshawabkeh, Ashraf, Mustafa Matar, and Fayha Almutairy. 2024. "Parameters Identification for Lithium-Ion Battery Models Using the Levenberg–Marquardt Algorithm" World Electric Vehicle Journal 15, no. 9: 406. https://doi.org/10.3390/wevj15090406
APA StyleAlshawabkeh, A., Matar, M., & Almutairy, F. (2024). Parameters Identification for Lithium-Ion Battery Models Using the Levenberg–Marquardt Algorithm. World Electric Vehicle Journal, 15(9), 406. https://doi.org/10.3390/wevj15090406

