Backcasting Analysis of Autonomous Vehicle Implementation: A Systematic Review
Abstract
1. Introduction
2. Materials and Methods
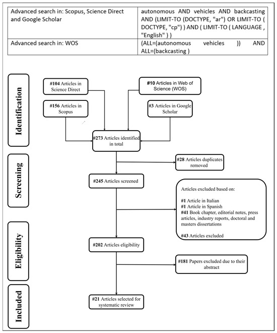
2.1. Search Strategy and Eligibility Criteria
2.2. Screening and Selection
3. Results
3.1. Study Characteristics
3.2. Synthesis of Results
3.2.1. Visioning Phase
3.2.2. Policy Packaging Phase
3.2.3. Appraisal Phase
3.2.4. Visioning + Appraisal Phase
3.2.5. Visioning + Policy Packaging Phase
4. Discussion
5. Conclusions
Author Contributions
Funding
Data Availability Statement
Acknowledgments
Conflicts of Interest
Appendix A
| Author | Title | Backcasting Phase | Gap and Research Problem | Result and Outcome |
| [50] | Automated vehicles and the city of tomorrow: A backcasting approach | Visioning | Unclear thinking among urban policymakers about the introduction of AVs in urban spaces. | The backcasting methodology used in this article identified conflicts between various political bodies. The article’s results mention that stakeholders and public policies can create attractive, healthy, and sustainable urbanization models by identifying these conflicts. |
| [55] | Parking futures: Preparing European cities for the advent of automated vehicles | Visioning + Policy Packaging | Lack of planning and policy integration to address the impact of the introduction of urban AVs, parking demand, and land use. | Creating Core Attractive Mixed-Use Spaces (CAMS) and transforming urban areas into public green spaces and community centers. It results in sustainable, high-quality urban environments that take advantage of AVs. |
| [37] | Envisioning the driverless city using backcasting and Q-methodology | Visioning | There is a gap in comprehending and planning urban planning methodologies in concert with integrating the urban environment with AVs. | Three different visions of driverless cities are proposed. The first vision focuses on urban regeneration, active mobility, and sustainable development. The second vision consists of futuristic innovation in mobility. The third vision focuses more on intermodality with a compact, mixed-use urban form. |
| [47] | New urban planning challenges under emerging autonomous mobility: evaluating backcasting scenarios and policies through an expert survey | Appraisal | Resolving uncertainties surrounding the impact of AVs on urban planning and sustainability. | According to most experts, they are supporting active and public transport modes, limiting motorized access to central urban areas, and reusing freed-up space for green spaces and public facilities to achieve a desirable urban future with AVs. |
| [45] | Planning policies for the driverless city using backcasting and participatory Q-Methodology | Policy packaging | The gap in integrating AVs into urban planning. Moreover, the lack of stakeholders’ point of view in the implementation of public policies. | This study shows two desirable points of view for a driverless future. The first point of view refers to integrating, encouraging pedestrian mobility, and prioritizing public transport. The second point of view focuses on transit-oriented development (TOD) and regulating private vehicle use. |
| [48] | Scenario planning as an approach to structuring the development of transport planning alternatives | Appraisal | There is a gap in addressing transportation-related issues, especially emerging technologies and new stakeholder dynamics. | This study shows that planning scenarios improve the integration of alternative planning structures, making the process more integrative and systematic. |
| [46] | The LEVITATE Policy Support Tool for Connected and Automated Transport Systems | Policy packaging | This study identifies a gap in the preparedness of cities to receive Connected, Cooperative and Automated Mobility (CCAM). | This study demonstrates a methodology called the LEVITATE Policy Support Tool (PST), which provides forecasting and backcasting capabilities to estimate the impact of specific policies. |
| [50] | Applicability of Q-methodology in public engagement practice for large urban park development—Case of Seoul Yongsan Park | Policy packaging | This study shows limitations in current public policies and the development of urban parks. These limitations create gaps in the adequacy of current public participation methods. | The Q methodology, combined with in-depth interviews, allows for public perspectives full of details that conventional public participation methods often overlook. |
| [51] | Preparing for Fully Autonomous Vehicles in Australian Cities: Land-Use Planning—Adapting, Transforming, and Innovating | Policy packaging | Several studies address the challenges associated with new transportation technologies. However, there is a lack of attention to land use planning and the fundamental components of urban form and function. | The results show that mobility centers improve the use of public transport by encouraging transfers between AVs and other modes of transport. |
| [52] | Participatory Policy Packaging for Transport Backcasting: A Pathway for Reducing CO2 Emissions from Transport in Malta | Policy packaging | There is a lack of consideration of current policies, such as social and cultural factors, in transport and climate policy. | The results show that it is necessary to implement policies that go beyond the provision of infrastructure. These policies are expected to influence social behavior and the adoption of new technologies. |
| [53] | (Path) ways to sustainable living: The impact of the SLIM scenarios on long-term emissions | Policy packaging | There is a lack of understanding in understanding and developing models of the impact of lifestyle changes on emissions, particularly in passenger transport and residential emissions. | Through the Sustainable Living in Models (SLIM) methodology. The results demonstrate significant emissions reductions through lifestyle changes, highlighting in particular the potential for regions in the Global South to leapfrog CO2-intensive transport modes. |
| [49] | Imagining urban mobility futures in the era of autonomous vehicles—insights from participatory visioning and multi-criteria appraisal in the UK and Australia | Visioning + Appraisal | The need for a dynamic representation of lifestyle changes that incorporates motivations, transition processes, and impacts on emission pathways in the long term has yet to be fully explored. | This study shows four Sustainable Living In Models (SLIM) scenarios, focusing on sustainable lifestyle changes and their impacts on passenger transport and residential emissions. |
| [38] | Autonomous Mobility: A Potential Opportunity to Reclaim Public Spaces for People | Visioning | There is confusion and a lack of knowledge on design recommendations and planning tools to address the various impacts of AVs. | The implementation of AVs can free up urban space for public use, aligning with urban models such as superblocks and the 15 min city. |
| [54] | Planning the transition to autonomous driving: A policy pathway towards urban liveability | Visioning + Policy packaging | A lack of policy on the transition to Avs. | This study shows this through the backcasting methodology. The AVs will be part of a comprehensive policy to improve urban livability. The vision is set for 2050 in Turin. |
| [43] | Toward policies to manage the impacts of autonomous vehicles on the city: A visioning exercise | Visioning | The impact of introducing autonomous vehicles into urban environments and policies to manage that impact. | It is determined that the integration of AVs must be promoted by sustainability and habitability. In order to achieve this, several visions, such as Strong Regulation, Moderate Regulation, and Strong Deregulation, must be considered. |
| [55] | Back to the future. A backcasting of autonomous vehicles in the real city | Visioning + Policy packaging | The significant gap in urban planning for the transition to AVs. | It is determined that stakeholders must make implications to manage the complexity and uncertainty of the transition to AVs. Therefore, a “Strong regulation” vision that outlines and accommodates stakeholder requirements is recommended. |
| [39] | Policy formulation for highly automated vehicles: Emerging importance, research frontiers, and insights | Visioning | Creating a systematic framework to address the uncertainties and complexities associated with AVs. This includes security, technological innovation, and legal issues. | Policies regarding AVs accelerate technological development while controlling potential uncertainties and balancing technological innovations with traffic safety. |
| [40] | Autonomous vehicles and the future of urban tourism | Visioning | There are limitations to finding new ways to integrate the AVs. | The results show several implications for the integration of AVs in urban tourism. It is suggested that AVs can generate aggravations due to urban transport inequalities. |
| [41] | Pathways to decarbonize the European car fleet: A scenario analysis using the backcasting approach | Visioning | The lack of a holistic approach that addresses not only technological advances but also socioeconomic and political dimensions. | This study identifies key elements necessary to achieve emission reductions, including the adoption of AVs and other low-emission vehicles. |
| [42] | Sustainable Accessibility and the Implementation of Automated Vehicles: Identifying Critical Decisions | Visioning | Understand how the implementation of AVs could affect urban systems and social practices. | AVs have the potential to completely change the urban system. Therefore, two scenarios are presented. The first one is an optimist, where AVs improve accessibility and safety. The second is a pessimistic view, where AVs generate more conflicts, such as vehicle dependency and environmental degradation. |
| Innovative methodologies for exploring the future of automated vehicle guidance | Visioning | Gaps and issues in the development and deployment of Automatic Vehicle Guidance (AVG) systems. | The results indicate that it is necessary to implement simple, short-term AVGs. Thus, continuous collaboration between stakeholders can be ensured. |
References
- Cottam, B.J. Transportation Planning for Connected Autonomous Vehicles: How It All Fits Together. Transp. Res. Rec. 2018, 2672, 12–19. [Google Scholar] [CrossRef]
- Bagloee, S.A.; Tavana, M.; Asadi, M.; Oliver, T. Autonomous vehicles: Challenges, opportunities, and future implications for transportation policies. J. Mod. Transp. 2016, 24, 284–303. [Google Scholar] [CrossRef]
- Fagnant, D.J.; Kockelman, K. Preparing a nation for autonomous vehicles: Opportunities, barriers and policy recommendations. Transp. Res. Part A Policy Pract. 2015, 77, 167–181. [Google Scholar] [CrossRef]
- Ortega, J.; Lengyel, H.; Ortega, J. Design and Analysis of the Trajectory of an Overtaking Maneuver Performed by Autonomous Vehicles Operating with Advanced Driver-Assistance Systems (ADAS) and Driving on a Highway. Electronics 2023, 12, 51. [Google Scholar] [CrossRef]
- Medina-Tapia, M.; Robusté, F. Implementation of connected and autonomous vehicles in cities could have neutral effects on the total travel time costs: Modeling and analysis for a circular city. Sustainability 2019, 11, 482. [Google Scholar] [CrossRef]
- Legacy, C.; Ashmore, D.; Scheurer, J.; Stone, J.; Curtis, C. Planning the driverless city. Transp. Rev. 2019, 39, 84–102. [Google Scholar] [CrossRef]
- Duarte, F.; Ratti, C. The Impact of Autonomous Vehicles on Cities: A Review. J. Urban Technol. 2018, 25, 3–18. [Google Scholar] [CrossRef]
- Heinrichs, D.; Cyganski, R. Automated driving: How it could enter our cities and how this might affect our mobility decisions. disP Plan. Rev. 2015, 51, 74–79. [Google Scholar] [CrossRef]
- Norouzi, A.; Barari, A.; Adibi-Asl, H. Stability Control of an Autonomous Vehicle in Overtaking Manoeuvre Using Wheel Slip Control. Int. J. Intell. Transp. Syst. Res. 2020, 18, 320–330. [Google Scholar] [CrossRef]
- Kim, J.H.; Lee, G.; Lee, J.; Yuen, K.F.; Kim, J. Determinants of personal concern about autonomous vehicles. Cities 2022, 120, 103462. [Google Scholar] [CrossRef]
- Abosuliman, S.S.; Almagrabi, A.O. Routing and scheduling of intelligent autonomous vehicles in industrial logistics systems. Soft Comput. 2021, 25, 11975–11988. [Google Scholar] [CrossRef]
- Othman, K. Impact of autonomous vehicles on the physical infrastructure: Changes and challenges. Designs 2021, 5, 40. [Google Scholar] [CrossRef]
- Ye, L.; Yamamoto, T. Evaluating the impact of connected and autonomous vehicles on traffic safety. Phys. A Stat. Mech. Its Appl. 2019, 526, 121009. [Google Scholar] [CrossRef]
- Zhou, H.; Laval, J.; Zhou, A.; Wang, Y.; Wu, W.; Qing, Z.; Peeta, S. Review of Learning-Based Longitudinal Motion Planning for Autonomous Vehicles: Research Gaps Between Self-Driving and Traffic Congestion. Transp. Res. Rec. 2022, 2676, 324–341. [Google Scholar] [CrossRef]
- Jing, P.; Huang, H.; Ran, B.; Zhan, F.; Shi, Y. Exploring the factors affecting mode choice intention of autonomous vehicle based on an extended theory of planned behavior—A case study in China. Sustainability 2019, 11, 1155. [Google Scholar] [CrossRef]
- Milakis, D. Long-Term Implications of Automated Vehicles: An Introduction; Routledge: London, UK, 2019. [Google Scholar] [CrossRef]
- Kan, S.; Lyu, W.; Zhao, S. Evaluation of the Environmental Effect of Automated Vehicles Based on IVIULWG Operator Development. Sustainability 2022, 14, 9669. [Google Scholar] [CrossRef]
- Chen, S.; Zong, S.; Chen, T.; Huang, Z.; Chen, Y.; Labi, S. A Taxonomy for Autonomous Vehicles Considering Ambient Road Infrastructure. Sustainability 2023, 15, 11258. [Google Scholar] [CrossRef]
- Boumiza, S.; Braham, R. Intrusion threats and security solutions for autonomous vehicle networks. In Proceedings of the IEEE/ACS International Conference on Computer Systems and Applications, AICCSA, IEEE Computer Society, Aqaba, Jordan, 28 October–1 November 2018; pp. 120–127. [Google Scholar] [CrossRef]
- Tibljaš, A.D.; Giuffrè, T.; Surdonja, S.; Trubia, S. Introduction of Autonomous Vehicles: Roundabouts design and safety performance evaluation. Sustainability 2018, 10, 1060. [Google Scholar] [CrossRef]
- Todorovic, M.; Simic, M.; Kumar, A. Managing Transition to Electrical and Autonomous Vehicles. In Procedia Computer Science; Elsevier B.V.: Amsterdam, The Netherlands, 2017; pp. 2335–2344. [Google Scholar] [CrossRef]
- Dortmans, P.J. Forecasting, backcasting, migration landscapes and strategic planning maps. Futures 2005, 37, 273–285. [Google Scholar] [CrossRef]
- Ebert, J.E.J.; Gilbert, D.T.; Wilson, T.D. Forecasting and backcasting: Predicting the impact of events on the future. J. Consum. Res. 2009, 36, 353–366. [Google Scholar] [CrossRef]
- Quist, J.; Rammelt, C.; Overschie, M.; de Werk, G. Backcasting for sustainability in engineering education: The case of Delft University of Technology. J. Clean. Prod. 2006, 14, 868–876. [Google Scholar] [CrossRef]
- Dreborg, K.H. Essence of Backcasting. Futures 1996, 28, 813–828. [Google Scholar] [CrossRef]
- Bibri, S.E. Backcasting in futures studies: A synthesized scholarly and planning approach to strategic smart sustainable city development. Eur. J. Futures Res. 2018, 6, 1–27. [Google Scholar] [CrossRef]
- Tuominen, A.; Tapio, P.; Varho, V.; Järvi, T.; Banister, D. Pluralistic backcasting: Integrating multiple visions with policy packages for transport climate policy. Futures 2014, 60, 41–58. [Google Scholar] [CrossRef]
- Heinrichs, D. Autonomous driving and urban land use. In Autonomous Driving: Technical, Legal and Social Aspects; Springer: Berlin/Heidelberg, Germany, 2016; pp. 213–231. [Google Scholar] [CrossRef]
- Milakis, D.; Snelder, M.; Van Arem, B.; Van Wee, B.; De Almeida Correia, G.H. Development and transport implications of automated vehicles in the Netherlands: Scenarios for 2030 and 2050. Eur. J. Transp. Infrastruct. Res. 2017, 17, 63–85. [Google Scholar] [CrossRef]
- Soria-Lara, J.A.; Banister, D. Collaborative backcasting for transport policy scenario building. Futures 2018, 95, 11–21. [Google Scholar] [CrossRef]
- Soria-Lara, J.A.; Banister, D. Evaluating the impacts of transport backcasting scenarios with multi-criteria analysis. Transp. Res. Part A Policy Pract. 2018, 110, 26–37. [Google Scholar] [CrossRef]
- Soria-Lara, J.A.; Banister, D. Dynamic participation processes for policy packaging in transport backcasting studies. Transp. Policy 2017, 58, 19–30. [Google Scholar] [CrossRef]
- Stead, D.; Vaddadi, B. Automated vehicles and how they may affect urban form: A review of recent scenario studies. Cities 2019, 92, 125–133. [Google Scholar] [CrossRef]
- Zhang, W.; Guhathakurta, S.; Fang, J.; Zhang, G. Exploring the impact of shared autonomous vehicles on urban parking demand: An agent-based simulation approach. Sustain. Cities Soc. 2015, 19, 34–45. [Google Scholar] [CrossRef]
- González-González, E.; Nogués, S.; Stead, D. Automated vehicles and the city of tomorrow: A backcasting approach. Cities 2019, 94, 153–160. [Google Scholar] [CrossRef]
- González-González, E.; Cordera, R.; Stead, D.; Nogués, S. Envisioning the driverless city using backcasting and Q-methodology. Cities 2023, 133, 104159. [Google Scholar] [CrossRef]
- Fayyaz, M.; González-González, E.; Nogués, S. Autonomous Mobility: A Potential Opportunity to Reclaim Public Spaces for People. Sustainability 2022, 14, 1568. [Google Scholar] [CrossRef]
- Li, S.; Sui, P.-C.; Xiao, J.; Chahine, R. Policy formulation for highly automated vehicles: Emerging importance, research frontiers and insights. Transp. Res. Part A Policy Pract. 2019, 124, 573–586. [Google Scholar] [CrossRef]
- Cohen, S.A.; Hopkins, D. Autonomous vehicles and the future of urban tourism. Ann. Tour. Res. 2019, 74, 33–42. [Google Scholar] [CrossRef]
- Höltl, A.; Macharis, C.; De Brucker, K. Pathways to decarbonise the European car fleet: A scenario analysis using the backcasting approach. Energies 2018, 11, 20. [Google Scholar] [CrossRef]
- Papa, E.; Ferreira, A. Sustainable Accessibility and the Implementation of Automated Vehicles: Identifying Critical Decisions. Urban Sci. 2018, 2, 5. [Google Scholar] [CrossRef]
- Staricco, L.; Rappazzo, V.; Scudellari, J.; Brovarone, E.V. Toward policies to manage the impacts of autonomous vehicles on the city: A visioning exercise. Sustainability 2019, 11, 5222. [Google Scholar] [CrossRef]
- Marchau, V.A.W.J.; Van Der Heijden, R.E.C.M. Innovative methodologies for exploring the future of automated vehicle guidance. J. Forecast. 2003, 22, 257–276. [Google Scholar] [CrossRef]
- Nogués, S.; González-González, E.; Stead, D.; Cordera, R. Planning policies for the driverless city using backcasting and the participatory Q-Methodology. Cities 2023, 142, 104535. [Google Scholar] [CrossRef]
- Ziakopoulos, A.; Roussou, J.; Chaudhry, A.; Hu, B.; Zach, M.; Oikonomou, M.; Veisten, K.; Hartveit, K.J.L.; Brackstone, M.; Vlahogianni, E.; et al. The LEVITATE Policy Support Tool of Connected and Automated Transport Systems. Transp. Res. Procedia 2023, 72, 1113–1120. [Google Scholar] [CrossRef]
- Nogués, S.; González-González, E.; Cordera, R. New urban planning challenges under emerging autonomous mobility: Evaluating backcasting scenarios and policies through an expert survey. Land Use Policy 2020, 95, 104652. [Google Scholar] [CrossRef]
- Louen, C.; Höing, N.; Böhnen, C.; Kuhnimhof, T. Scenario planning as an approach to structure the development of transport planning alternatives. Case Stud. Transp. Policy 2023, 14, 101089. [Google Scholar] [CrossRef]
- Acheampong, R.A.; Legacy, C.; Kingston, R.; Stone, J. Imagining urban mobility futures in the era of autonomous vehicles—Insights from participatory visioning and multi-criteria appraisal in the UK and Australia. Transp. Policy 2023, 136, 193–208. [Google Scholar] [CrossRef]
- Shin, M.; Woo, J.H.; Choi, H. Applicability of Q-methodology in public engagement practice for large urban park development—Case of Seoul Yongsan Park. Cities 2024, 149, 104956. [Google Scholar] [CrossRef]
- Westerman, H.; Black, J. Preparing for Fully Autonomous Vehicles in Australian Cities: Land-Use Planning—Adapting, Transforming, and Innovating. Sustainability 2024, 16, 5492. [Google Scholar] [CrossRef]
- Camilleri, R.; Attard, M.; Hickman, R. Participatory Policy Packaging for Transport Backcasting: A Pathway for Reducing CO2 Emissions from Transport in Malta. Sustainability 2024, 16, 430. [Google Scholar] [CrossRef]
- van den Berg, N.J.; Hof, A.F.; Timmer, V.; Akenji, L.; van Vuuren, D.P. (Path)ways to sustainable living: The impact of the SLIM scenarios on long-term emissions. Glob. Environ. Chang. 2024, 84, 102774. [Google Scholar] [CrossRef]
- Brovarone, E.V.; Scudellari, J.; Staricco, L. Planning the transition to autonomous driving: A policy pathway towards urban liveability. Cities 2021, 108, 102996. [Google Scholar] [CrossRef]
- Staricco, L.; Brovarone, E.V.; Scudellari, J. Back from the future. A backcasting on autonomous vehicles in the real city. TeMA-J. Land Use Mobil. Environ. 2020, 13, 209–228. [Google Scholar] [CrossRef]
- González-González, E.; Nogués, S.; Stead, D. Parking futures: Preparing European cities for the advent of automated vehicles. Land Use Policy 2020, 91, 104010. [Google Scholar] [CrossRef]

Disclaimer/Publisher’s Note: The statements, opinions and data contained in all publications are solely those of the individual author(s) and contributor(s) and not of MDPI and/or the editor(s). MDPI and/or the editor(s) disclaim responsibility for any injury to people or property resulting from any ideas, methods, instructions or products referred to in the content. |
© 2024 by the authors. Published by MDPI on behalf of the World Electric Vehicle Association. Licensee MDPI, Basel, Switzerland. This article is an open access article distributed under the terms and conditions of the Creative Commons Attribution (CC BY) license (https://creativecommons.org/licenses/by/4.0/).
Share and Cite
Espinoza-Molina, F.E.; Valladolid, J.D.; Bautista, P.B.; Quinde, E.; Villa Uvidia, R.; Vazquez Salazar, J.S.; Miranda, G.J.A. Backcasting Analysis of Autonomous Vehicle Implementation: A Systematic Review. World Electr. Veh. J. 2024, 15, 393. https://doi.org/10.3390/wevj15090393
Espinoza-Molina FE, Valladolid JD, Bautista PB, Quinde E, Villa Uvidia R, Vazquez Salazar JS, Miranda GJA. Backcasting Analysis of Autonomous Vehicle Implementation: A Systematic Review. World Electric Vehicle Journal. 2024; 15(9):393. https://doi.org/10.3390/wevj15090393
Chicago/Turabian StyleEspinoza-Molina, Fabricio Esteban, Juan Diego Valladolid, Pablo Barbecho Bautista, Emilio Quinde, Ruffo Villa Uvidia, Javier Stalin Vazquez Salazar, and Gustavo Javier Aguilar Miranda. 2024. "Backcasting Analysis of Autonomous Vehicle Implementation: A Systematic Review" World Electric Vehicle Journal 15, no. 9: 393. https://doi.org/10.3390/wevj15090393
APA StyleEspinoza-Molina, F. E., Valladolid, J. D., Bautista, P. B., Quinde, E., Villa Uvidia, R., Vazquez Salazar, J. S., & Miranda, G. J. A. (2024). Backcasting Analysis of Autonomous Vehicle Implementation: A Systematic Review. World Electric Vehicle Journal, 15(9), 393. https://doi.org/10.3390/wevj15090393

