Comparison between Genetic Algorithms of Proportional–Integral–Derivative and Linear Quadratic Regulator Controllers, and Fuzzy Logic Controllers for Cruise Control System
Abstract
1. Introduction
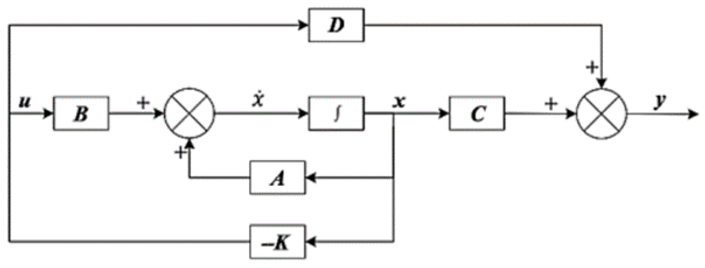
2. Model of the Cruise Control System
3. Controller Design
3.1. PID and LQR Controllers with the GA Optimization Method
3.2. Fuzzy Logic Controller
- Negative big (NB);
- Negative medium (NM);
- Negative small (NS);
- Zero (Z);
- Positive small (PS);
- Positive medium (PM);
- Positive big (PB).
4. Simulation and Results
5. Conclusions
Author Contributions
Funding
Data Availability Statement
Conflicts of Interest
References
- Mohajer, N.; Nahavandi, S.; Abdi, H.; Najdovski, Z. Enhancing Passenger Comfort in Autonomous Vehicles through Vehicle Handling Analysis and Optimization. IEEE Intell. Transp. Syst. Mag. 2021, 13, 156–173. [Google Scholar] [CrossRef]
- Nie, Z.; Farzaneh, H. Energy-efficient lane-change motion planning for personalized autonomous driving. Appl. Energy 2023, 338, 120926. [Google Scholar] [CrossRef]
- Muzahid, A.J.M.; Kamarulzaman, S.F.; Rahman, M.A.; Alenezi, A.H. Deep Reinforcement Learning-Based Driving Strategy for Avoidance of Chain Collisions and Its Safety Efficiency Analysis in Autonomous Vehicles. IEEE Access 2022, 10, 43303–43319. [Google Scholar] [CrossRef]
- Huang, C.; Huang, H.; Hang, P.; Gao, H.; Wu, J.; Huang, Z.; Lv, C. Personalized Trajectory Planning and Control of Lane-Change Maneuvers for Autonomous Driving. IEEE Trans. Veh. Technol. 2021, 70, 5511–5523. [Google Scholar] [CrossRef]
- Zsombok, I.; Zöldy, M. Modelling, Simulation and Validation of Hybrid Vehicle Fuel Consumption. Acta Polytech. Hung. 2023, 20, 61–74. [Google Scholar] [CrossRef]
- He, D.; He, W.; Song, X. Efficient predictive cruise control of autonomous vehicles with improving ride comfort and safety. Meas. Control 2020, 53, 18–28. [Google Scholar] [CrossRef]
- Liu, Z.; Yuan, Q.; Nie, G.; Tian, Y. A Multi-Objective Model Predictive Control for Vehicle Adaptive Cruise Control System Based on a New Safe Distance Model. Int. J. Automot. Technol. 2021, 22, 475–487. [Google Scholar] [CrossRef]
- Emirler, M.T.; Güvenç, L.; Güvenç, B.A. Design and Evaluation of Robust Cooperative Adaptive Cruise Control Systems in Parameter Space. Int. J. Automot. Technol. 2018, 19, 359–367. [Google Scholar] [CrossRef]
- Németh, B. Providing Guaranteed Performances for an Enhanced Cruise Control Using Robust LPV Method. Acta Polytech. Hung. 2023, 20, 133–152. [Google Scholar] [CrossRef]
- Li, S.E.; Guo, Q.; Xu, S.; Duan, J.; Lii, S.; Li, C.; Su, K. Performance Enhanced Predictive Control for Adaptive Cruise Control System Considering Road Elevation Information. IEEE Trans. Intell. Veh. 2017, 2, 150–160. [Google Scholar] [CrossRef]
- Turan, A. PID controller design with a new method based on proportional gain for cruise control system. J. Radiat. Res. Appl. Sci. 2024, 17, 100810. [Google Scholar] [CrossRef]
- Mahmood, A.; Almaged, M.; Alnema, Y.H.S.; Noaman, M.N. Adaptive Cruise Control of A Simscape Driveline Vehicle Model Using Fuzzy Logic Controller. J. Eur. Syst. Autom. 2023, 56, 743–749. [Google Scholar] [CrossRef]
- Mustafar, M.Z.C.; Bakar, S.A.A.; Zainuddin, Z.; Mansor, M.S.F.; Ismail, N.H.F.; Rani, M.R. Optimal Design of an Adaptive Cruise Control System for Driving Comfort and Fuel Economy. J. Soc. Automot. Eng. Malays. 2021, 4, 279–287. [Google Scholar] [CrossRef]
- Dawood, Y.S.; Mahmood, A.K.; Ibrahim, M.A. Comparison of PID, GA and fuzzy logic controllers for cruise control system. Int. J. Comput. Digit. Syst. 2018, 7, 311–319. [Google Scholar]
- Kovacs, A.; Vajk, I. Tuning Parameter-free Model Predictive Control with Nonlinear Internal Model Control Structure for Vehicle Lateral Control. Acta Polytech. Hung. 2023, 20, 185–204. [Google Scholar] [CrossRef]
- Pradhan, R.; Majhi, S.K.; Pradhan, J.K.; Pati, B.B. Performance evaluation of PID controller for an automobile cruise control system using ant lion optimizer. Eng. J. 2017, 21, 347–361. [Google Scholar] [CrossRef]
- Wu, X.; Qin, G.; Yu, H.; Gao, S.; Liu, L.; Xue, Y. Using improved chaotic ant swarm to tune PID controller on cooperative adaptive cruise control. Optik 2016, 127, 3445–3450. [Google Scholar] [CrossRef]
- Singhal, A.; Roy, R.; Mittal, D.; Dahiya, P. Optimal Tuning using Global Neighborhood Algorithm for Cruise Control System. In Proceedings of the 2021 7th International Conference on Advanced Computing and Communication Systems (ICACCS), Coimbatore, India, 19–20 March 2021; pp. 336–339. [Google Scholar] [CrossRef]
- Abdulnabi, A. PID Controller Design for Cruise Control System using Particle Swarm Optimization. Iraqi J. Comput. Inform. 2017, 43, 30–35. [Google Scholar] [CrossRef]
- Rout, M.K.; Sain, D.; Swain, S.K.; Mishra, S.K. PID controller design for cruise control system using genetic algorithm. In Proceedings of the 2016 International Conference on Electrical, Electronics, and Optimization Techniques (ICEEOT), Chennai, India, 3–5 March 2016; pp. 4170–4174. [Google Scholar] [CrossRef]
- Pradhan, R.; Pati, B.B. Optimal FOPID Controller for an Automobile Cruise Control System. In Proceedings of the 2018 International Conference on Recent Innovations in Electrical, Electronics & Communication Engineering (ICRIEECE), Bhubaneswar, India, 27–28 July 2018; pp. 1436–1440. [Google Scholar] [CrossRef]
- Gulzar, M.M.; Sharif, B.; Sibtain, D.; Akbar, L.; Akhtar, A. Modelling and controller design of automotive cruise control system using hybrid model predictive controller. In Proceedings of the IEEE International Conference on Emerging Technologies (ICET) 2019, Peshawar, Pakistan, 2–3 December 2019. [Google Scholar] [CrossRef]
- Abdurohman, A.; Kang, H.X.; Hidayat, T. Vehicle ACC Control Based on Fuzzy PID. Int. J. Eng. Contin. 2022, 1, 36–55. [Google Scholar] [CrossRef]
- Mao, J.; Yang, L.; Hu, Y.; Liu, K.; Du, J. Research on vehicle adaptive cruise control method based on fuzzy model predictive control. Machines 2021, 9, 160. [Google Scholar] [CrossRef]
- Shojaeefard, M.H.; Mollajafari, M.; Ebrahimi-Nejad, S.; Tayebi, S. Weather-aware fuzzy adaptive cruise control: Dynamic reference signal design. Comput. Electr. Eng. 2023, 110, 108903. [Google Scholar] [CrossRef]
- Yang, Z.; Fu, W.H.; Zhang, Z.; Zhang, J.; Wang, L. Comfort optimization of adaptive cruise control based on heart rate variability and fuzzy control. J. Phys. Conf. Ser. 2021, 2010, 012176. [Google Scholar] [CrossRef]
- Varma, B.; Swamy, N.; Mukherjee, S. Trajectory Tracking of Autonomous Vehicles using Different Control Techniques(PID vs LQR vs MPC). In Proceedings of the International Conference on Smart Technologies in Computing, Electrical and Electronics (ICSTCEE 2020), Bengaluru, India, 9–10 October 2020; pp. 84–89. [Google Scholar] [CrossRef]
- Li, X.; Xie, N.; Wang, J. A variable weight adaptive cruise control strategy based on lane change recognition of leading vehicle. Automatika 2022, 63, 555–571. [Google Scholar] [CrossRef]
- Zhang, K.; Lu, Y.; Huang, X. Design of Adaptive Cruise Control Considering Mulit-scene Application. In Proceedings of the 2021 China Automation Congress (CAC), Beijing, China, 22–24 October 2021; pp. 956–961. [Google Scholar] [CrossRef]
- Izci, D.; Ekinci, S.; Kayri, M.; Eker, E. A novel improved arithmetic optimization algorithm for optimal design of PID controlled and Bode’s ideal transfer function based automobile cruise control system. Evol. Syst. 2022, 13, 453–468. [Google Scholar] [CrossRef]
- Osman, K.; Rahmat, M.F.; Ahmad, M.A. Modelling and controller design for a cruise control system. In Proceedings of the 2009 5th International Colloquium on Signal Processing & Its Applications, Kuala Lumpur, Malaysia, 6–8 March 2009; pp. 254–258. [Google Scholar] [CrossRef]
- Frank, A.A.; Liu, S.J.; Liang, S.C. Longitudinal Control Concepts for Automated Automobiles and Trucks Operating on a Cooperative Highway. SAE Tech. Pap. 1989; 1308–1315. [Google Scholar] [CrossRef]












| Parameter/Specification | Value |
|---|---|
| C1 | 743 |
| Ca | 1.19 N (m/s)2 |
| M | 1599 kg |
| τ | 0.2 s |
| T | 1 s |
| Fdmax | 3500 N |
| Fdmin | −3500 N |
| g | 9.8 m/s2 |
| v | 30 Km/h |
| PE\CE | NB | NM | NS | ZR | PS | PM | PB |
|---|---|---|---|---|---|---|---|
| NB | NB | NB | NB | NB | NS | Z | PS |
| NM | NB | NB | NB | NM | NS | Z | PS |
| NS | NB | NB | NM | NS | Z | PS | PM |
| Z | NB | NM | NS | Z | PS | PM | PB |
| PS | NM | NS | Z | PS | PM | PB | PB |
| PM | NS | Z | PS | PM | PB | PB | PB |
| PB | Z | PS | PM | PB | PB | PB | PB |
| Controller | Kp | Ki | Kd |
|---|---|---|---|
| PID-MSE | 2.8 | 0.437 | 2 |
| PID-ISE | 2.8 | 1.247 | 2 |
| PID-ITSE | 2.8 | 0.4 | 2 |
| PID-ITAE | 2.8 | 0.493 | 2 |
| Controller | K11 | K22 | K33 |
|---|---|---|---|
| LQR-ISE | 0.0204 | 1.5362 | 1.4038 |
| LQR-ITSE | 0.1968 | 4.4657 | 3.5938 |
| LQR-ITAE | 0.0898 | 1.5708 | 1.4131 |
| LQR-MSE | 7.3238 | 6.9351 | 3.8548 |
| Controller | %MP | Tr (s) | Ts (s) | Ess | Jmin |
|---|---|---|---|---|---|
| PID-MSE | 10.1 | 1.483 | 11.118 | 0 | 22.701 |
| PID-ISE | 27.564 | 1.072 | 10.859 | 0 | 39.495 |
| PID-ITSE | 9.2 | 1.471 | 11.407 | 0 | 22.078 |
| PID-ITAE | 11.3 | 1.502 | 10.759 | 0 | 23.561 |
| LQR-MSE | 3.646 | 1.232 | 4.316 | 0 | 9.194 |
| LQR-ISE | 0.496 | 2.033 | 5.498 | 0 | 8.027 |
| LQR-ITSE | 0.503 | 4.146 | 8.748 | 0 | 13.397 |
| LQR-ITAE | 0.495 | 1.961 | 5.419 | 0 | 7.875 |
| Controller | %MP | Tr (s) | Ts (s) | Ess | Jmin |
|---|---|---|---|---|---|
| PID-GA | 9.2 | 1.471 | 11.407 | 0 | 22.078 |
| LQR-GA | 0.495 | 2.018 | 5.419 | 0 | 7.932 |
| Fuzzy | 0.476 | 2.131 | 5.926 | 0.011 | 8.544 |
| Fuzzy-I | 0.472 | 2.145 | 5.232 | 0 | 7.849 |
Disclaimer/Publisher’s Note: The statements, opinions and data contained in all publications are solely those of the individual author(s) and contributor(s) and not of MDPI and/or the editor(s). MDPI and/or the editor(s) disclaim responsibility for any injury to people or property resulting from any ideas, methods, instructions or products referred to in the content. |
© 2024 by the authors. Licensee MDPI, Basel, Switzerland. This article is an open access article distributed under the terms and conditions of the Creative Commons Attribution (CC BY) license (https://creativecommons.org/licenses/by/4.0/).
Share and Cite
Mahmood, A.; Al-bayati, K.Y.A.; Szabolcsi, R. Comparison between Genetic Algorithms of Proportional–Integral–Derivative and Linear Quadratic Regulator Controllers, and Fuzzy Logic Controllers for Cruise Control System. World Electr. Veh. J. 2024, 15, 351. https://doi.org/10.3390/wevj15080351
Mahmood A, Al-bayati KYA, Szabolcsi R. Comparison between Genetic Algorithms of Proportional–Integral–Derivative and Linear Quadratic Regulator Controllers, and Fuzzy Logic Controllers for Cruise Control System. World Electric Vehicle Journal. 2024; 15(8):351. https://doi.org/10.3390/wevj15080351
Chicago/Turabian StyleMahmood, Ali, Karrar Y.A. Al-bayati, and Róbert Szabolcsi. 2024. "Comparison between Genetic Algorithms of Proportional–Integral–Derivative and Linear Quadratic Regulator Controllers, and Fuzzy Logic Controllers for Cruise Control System" World Electric Vehicle Journal 15, no. 8: 351. https://doi.org/10.3390/wevj15080351
APA StyleMahmood, A., Al-bayati, K. Y. A., & Szabolcsi, R. (2024). Comparison between Genetic Algorithms of Proportional–Integral–Derivative and Linear Quadratic Regulator Controllers, and Fuzzy Logic Controllers for Cruise Control System. World Electric Vehicle Journal, 15(8), 351. https://doi.org/10.3390/wevj15080351

