Design, Analysis, and Comparison of Permanent Magnet Claw Pole Motor with Concentrated Winding and Double Stator
Abstract
:1. Introduction
2. Structural Design and Principle Analysis
2.1. Structural Design
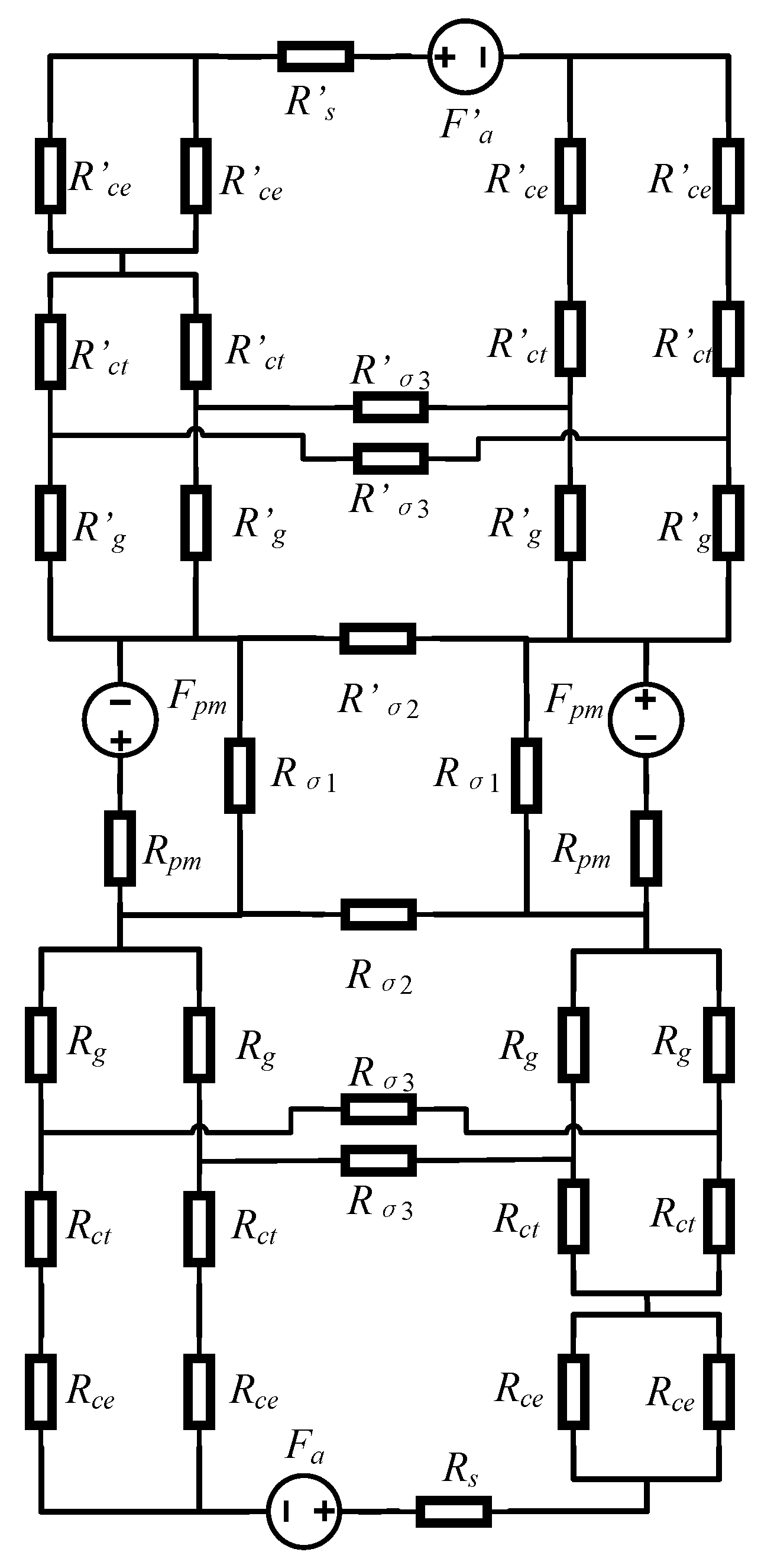
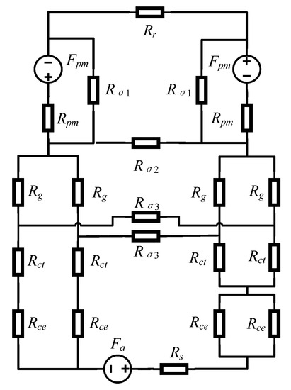
2.2. Equivalent Circuit and Equivalent Magnetic Circuit
2.3. Analysis of Equivalent Power Equation
3. Performance Analysis and Comparison
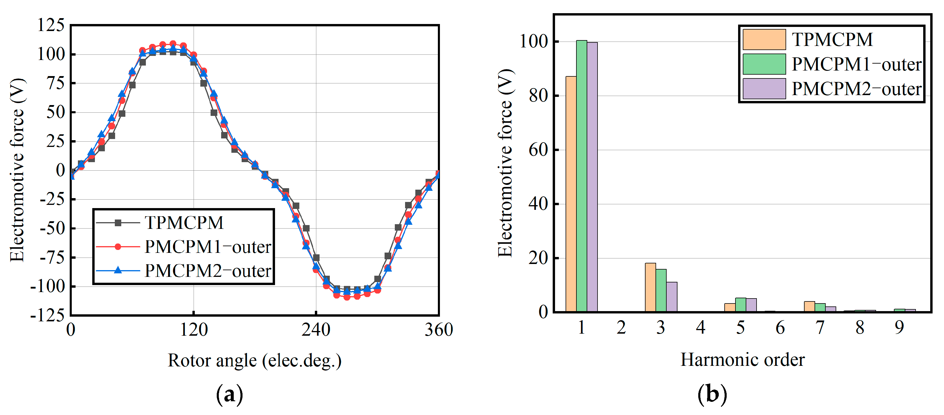
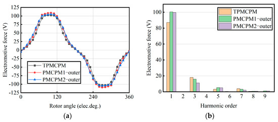
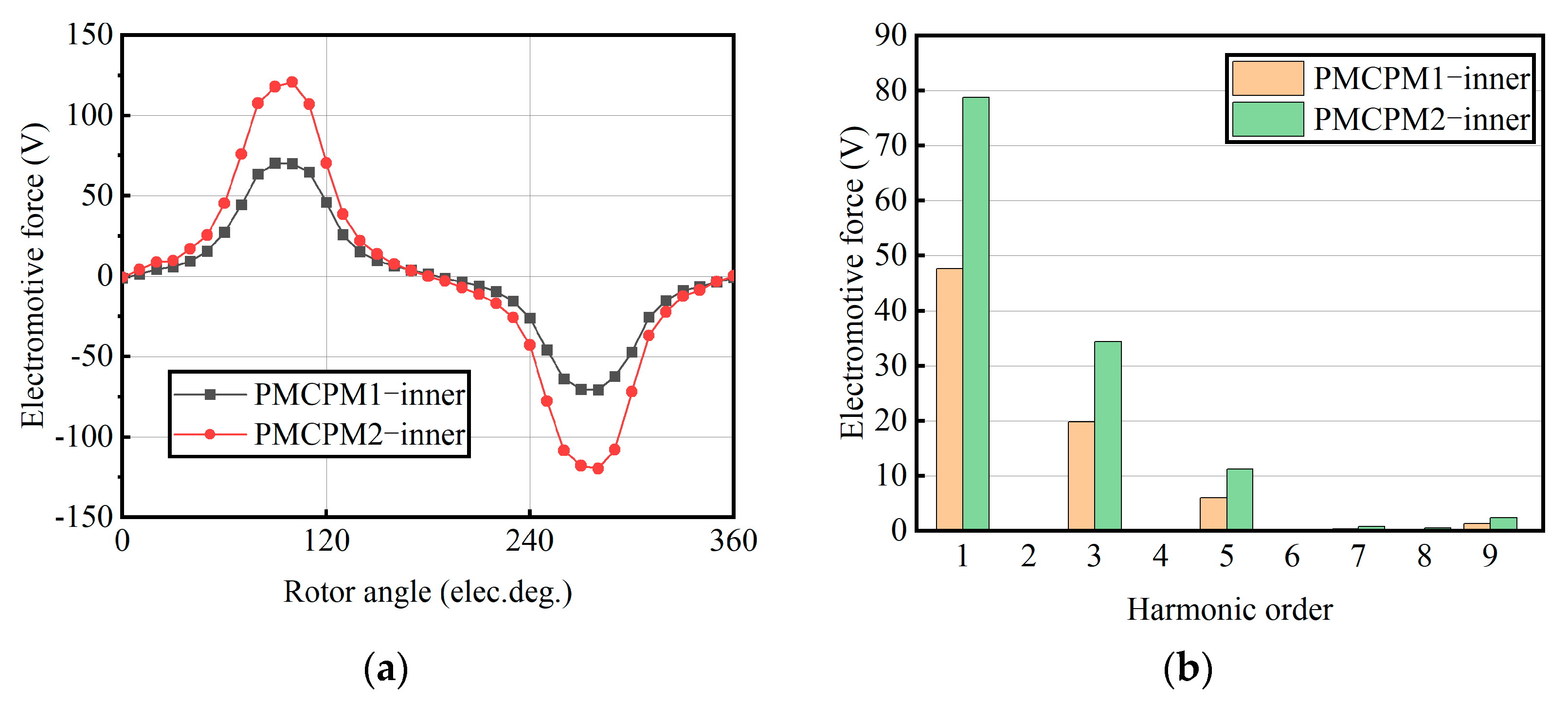
3.1. No-Load Performance Analysis
3.2. Load Performance Analysis
4. Interference Assembly Analysis
4.1. Stress Analysis of Interference Assembly
4.2. Hybrid Material Magnetic Core Design
5. Experimental Verification
6. Conclusions
Author Contributions
Funding
Data Availability Statement
Acknowledgments
Conflicts of Interest
References
- De Santiago, J.; Bernhoff, H.; Ekergård, B.; Eriksson, S.; Ferhatovic, S.; Waters, R.; Leijon, M. Electrical Motor Drivelines in Commercial All-Electric Vehicles: A Review. IEEE Trans. Veh. Technol. 2012, 61, 475–484. [Google Scholar] [CrossRef]
- Leitner, S.; Kulterer, T.; Gruebler, H.; Muetze, A. Characterization of the Thermal Performances of Low-Cost Sub-Fractional Horsepower BLDC Claw-Pole Motor Designs. In Proceedings of the 2020 IEEE Energy Conversion Congress and Exposition (ECCE), Detroit, MI, USA, 11–15 October 2020; pp. 4269–4275. [Google Scholar]
- Aloeyi, E.F.; Ali, N.; Wang, Q. A Review of In-Wheel Motors for Electric Vehicle Propulsion. In Proceedings of the 2022 IEEE Transportation Electrification Conference and Expo, Asia-Pacific (ITEC Asia-Pacific), Haining, China, 28–31 October 2022; pp. 1–6. [Google Scholar]
- Kannojia, P.; Chinmaya, K.A. Comparative Review and Finite Element Analysis of Energy Efficient Motors. In Proceedings of the 2023 IEEE International Conference on Power Electronics and Energy (ICPEE), Bhubaneswar, India, 3–5 January 2023; pp. 1–6. [Google Scholar]
- Thangavel, S.; Deepak, M.; Girijaprasanna, T.; Raju, S.; Dhanamjayulu, C.; Muyeen, S.M. A Comprehensive Review on Electric Vehicle: Battery Management System, Charging Station, Traction Motors. IEEE Access 2023, 11, 20994–21019. [Google Scholar] [CrossRef]
- Liu, C.; Zhu, J.; Wang, Y.; Lei, G.; Guo, Y. Design Considerations of PM Transverse Flux Machines with Soft Magnetic Composite Cores. IEEE Trans. Appl. Supercond. 2016, 26, 1–5. [Google Scholar] [CrossRef]
- Zhang, W.; Xu, Y.; Sun, M. Design of a Novel Claw Pole Transverse Flux Permanent Magnet Motor Based on Hybrid Stator Core. IEEE Trans. Magn. 2021, 57, 11253–11265. [Google Scholar] [CrossRef]
- Liu, C.C.; Wang, D.Y.; Wang, S.P.; Wang, Y.H. A Novel Flux Reversal Claw Pole Machine with Soft Magnetic Composite Cores. IEEE Trans. Appl. Supercond. 2020, 30, 1–5. [Google Scholar] [CrossRef]
- Liu, C.; Jian, Z.; You, W. Comparison of Claw Pole Machines with Different Rotor Strcutures. IEEE Trans. Magn. 2015, 51, 1–5. [Google Scholar]
- Liu, C.; Lei, G.; Wang, T.; Guo, Y.; Wang, Y.; Zhu, J. Comparative Study of Small Electrical Machines with Soft Magnetic Composite Cores. IEEE Trans. Ind. Electron. 2017, 64, 1049–1060. [Google Scholar] [CrossRef]
- Guo, Y.; Zhu, J.; Dorrell, D. Design and Analysis of a Claw Pole Permanent Magnet Motor with Molded Soft Magnetic Composite Core. IEEE Trans. Magn. 2009, 45, 4582–4585. [Google Scholar]
- Liu, C.; Li, X.; Lei, G.; Ma, B.; Chen, L.; Wang, Y.; Zhu, J. Performance Evaluation of an Axial Flux Claw Pole Machine with Soft Magnetic Composite Cores. IEEE Trans. Appl. Supercond. 2017, 28, 1–5. [Google Scholar] [CrossRef]
- Scheerlinck, B.; De Gersem, H.; Sergeant, P. 3-D Eddy Current and Fringing-Flux Distribution in an Axial-Flux Permanent-Magnet Synchronous Machine with Stator in Laminated Iron or SMC. IEEE Trans. Magn. 2015, 27, 4582–4585. [Google Scholar] [CrossRef]
- Cheng, Y.; Qu, R.; Gao, Y.; Wang, S.; Liu, Y.; Noe, M.; Zhang, Y.; Wang, Q.; Schreiner, F. Comparison of Electromagnetic Performance of 10-MW HTS Double-Stator Flux Modulation Wind Generators with Different Topologies. IEEE Trans. Appl. Supercond. 2020, 30, 1–7. [Google Scholar] [CrossRef]
- Zhu, X.; Cheng, M.; Li, X.; Wang, Y. Topology Analysis, Design, and Comparison of High Temperature Superconducting Double Stator Machine With Stationary Seal. IEEE Trans. Appl. Supercond. 2020, 30, 1–10. [Google Scholar] [CrossRef]
- Wang, Y.; Xu, W.; Zhang, X.; Ma, W. Harmonic Analysis of Air Gap Magnetic Field in Flux-Modulation Double-Stator Electrical-Excitation Synchronous Machine. IEEE Trans. Ind. Electron. 2019, 67, 5302–5312. [Google Scholar] [CrossRef]
- Gul, W.; Gao, Q.; Lenwari, W. Optimal Design of a 5-MW Double-Stator Single-Rotor PMSG for Offshore Direct Drive Wind Turbines. IEEE Trans. Ind. Appl. 2019, 56, 216–225. [Google Scholar] [CrossRef]
- Zhao, F.; Lipo, T.A.; Kwon, B.I. A Novel Dual-Stator Axial-Flux Spoke-Type Permanent Magnet Vernier Machine for Direct-Drive Applications. IEEE Trans. Magn. 2014, 50, 1–4. [Google Scholar] [CrossRef]
- Jia, Z.; Lin, H.Y.; Fang, S.H.; Huang, Y.K. A Novel Transverse Flux Permanent Magnet Generator with Double C-Hoop Stator and Flux-Concentrated Rotor. IEEE Trans. Magn. 2015, 51, 1–4. [Google Scholar] [CrossRef]
- Zhao, W.; Lipo, A.T.; Kwon, B. Comparative Study on Novel Dual Stator Radial Flux and Axial Flux Permanent Magnet Motors with Ferrite Magnets for Traction Application. IEEE Trans. Magn. 2014, 50, 1–4. [Google Scholar] [CrossRef]
- Lu, H.; Li, J.; Qu, R.; Ye, D.; Xiao, L. Reduction of Unbalanced Axial Magnetic Force in Postfault Operation of a Novel Six-Phase Double-Stator Axial-Flux PM Machine Using Model Predictive Control. IEEE Trans. Ind. Appl. 2017, 53, 5461–5469. [Google Scholar] [CrossRef]



























| Parameter | Units | TPMCPM | PMCPM1 | PMCPM2 |
|---|---|---|---|---|
| Rated speed | rpm | 1500 | 1500 | 1500 |
| Maximum speed | rpm | 6000 | 6000 | 6000 |
| Rated frequency | Hz | 325 | 325 | 325 |
| Maximum frequency | Hz | 1300 | 1300 | 1300 |
| Rated current | A/mm2 | 6 | 6 | 6 |
| Maximum current | A/mm2 | 10 | 10 | 10 |
| Rated output power | kW | 4.36 | 6.52 | 7.37 |
| Maximum output power | kW | 26.4 | 36.7 | 40.6 |
| Rated torque | Nm | 27.8 | 41.5 | 46.9 |
| Maximum torque | Nm | 42.0 | 58.4 | 64.7 |
| Coil | A | B | C |
|---|---|---|---|
| a | 32.8 μ H | 19.4 μ H | 24.6 μ H |
| b | 19.4 μ H | 32.8 μ H | 19.4 μ H |
| c | 24.6 μ H | 19.4 μ H | 32.8 μ H |
| Performance | Operating Conditions | TPMCPM | PMCPM1 | PMCPM2 |
|---|---|---|---|---|
| Core loss | 1500 rpm 6 A/mm2 | 72 W | 137 W | 157 W |
| 3000 rpm 6 A/mm2 | 13 W | 278 W | 289 W | |
| 6000 rpm 6 A/mm2 | 379 W | 765 W | 784 W | |
| Efficiency | 1500 rpm 6 A/mm2 | 0.702 | 0.693 | 0.697 |
| 3000 rpm 6 A/mm2 | 0.745 | 0.729 | 0.725 | |
| 6000 rpm 6 A/mm2 | 0.725 | 0.695 | 0.683 |
| Attribute | Units | Somaloy700HR5P | B27AHV1400 |
|---|---|---|---|
| Yield strength | Mpa | 15 | 410 |
| Vickers hardness | Hv | 160 | 181 |
| Density | g/cm3 | 7.5 | 7.65 |
| Young’s modulus | Mpa | 1.5 × 105 | 1.87 × 105 |
| Poisson’s ratio | — | 0.23 | 0.25–0.27 |
| Symbol | Describe | Unit | TCPM |
|---|---|---|---|
| Rso | Stator outer diameter | mm | 50 |
| Rsi | Stator inner diameter | mm | 30 |
| Lgap | Air gap length | mm | 0.85 |
| Hpm | PM radial length | mm | 3 |
| Apm | PM circumferential width | deg | 8.5 |
| LPM | PM axial length | mm | 15 |
| Lry | Rotor yoke thickness | mm | 9 |
| Ltall | Shaft length | mm | 15 |
| Speed | Rated speed | rpm | 1500 |
| Speedm | Maximum speed | rpm | 6000 |
| fr | Rated frequency | Hz | 325 |
| fm | Maximum frequency | Hz | 1300 |
| Jcr | Rated current | A/mm2 | 6 |
| Jcm | Maximum current | A/mm2 | 10 |
| Pr | Rated output power | W | 471 |
| Pm | Maximum output power | kW | 3.14 |
| Tr | Rated torque | Nm | 3 |
| Tm | Maximum torque | Nm | 5 |
Disclaimer/Publisher’s Note: The statements, opinions and data contained in all publications are solely those of the individual author(s) and contributor(s) and not of MDPI and/or the editor(s). MDPI and/or the editor(s) disclaim responsibility for any injury to people or property resulting from any ideas, methods, instructions or products referred to in the content. |
© 2023 by the authors. Licensee MDPI, Basel, Switzerland. This article is an open access article distributed under the terms and conditions of the Creative Commons Attribution (CC BY) license (https://creativecommons.org/licenses/by/4.0/).
Share and Cite
Liu, C.; Zhang, H.; Wang, S.; Zhang, S.; Wang, Y. Design, Analysis, and Comparison of Permanent Magnet Claw Pole Motor with Concentrated Winding and Double Stator. World Electr. Veh. J. 2023, 14, 237. https://doi.org/10.3390/wevj14090237
Liu C, Zhang H, Wang S, Zhang S, Wang Y. Design, Analysis, and Comparison of Permanent Magnet Claw Pole Motor with Concentrated Winding and Double Stator. World Electric Vehicle Journal. 2023; 14(9):237. https://doi.org/10.3390/wevj14090237
Chicago/Turabian StyleLiu, Chengcheng, Hongming Zhang, Shaoheng Wang, Shiwei Zhang, and Youhua Wang. 2023. "Design, Analysis, and Comparison of Permanent Magnet Claw Pole Motor with Concentrated Winding and Double Stator" World Electric Vehicle Journal 14, no. 9: 237. https://doi.org/10.3390/wevj14090237
APA StyleLiu, C., Zhang, H., Wang, S., Zhang, S., & Wang, Y. (2023). Design, Analysis, and Comparison of Permanent Magnet Claw Pole Motor with Concentrated Winding and Double Stator. World Electric Vehicle Journal, 14(9), 237. https://doi.org/10.3390/wevj14090237

