Next Article in Journal
Parameter Matching of Power Systems and Design of Vehicle Control Strategies for Mini-Electric Trucks
Next Article in Special Issue
Novel Double Mode Dual-Stator Wound Rotor Synchronous Machine for Variable Speed Applications
Previous Article in Journal
Long-Distance Electric Truck Traffic: Analysis, Modeling and Designing a Demand-Oriented Charging Network for Germany
 
 
Font Type:
Arial Georgia Verdana
Font Size:
Aa Aa Aa
Line Spacing:
Column Width:
Background:
Article

The Impact of Phase-Locked Loop (PLL) Architecture on Sub-Synchronous Control Interactions (SSCI) for Direct-Driven Permanent Magnet Synchronous Generator (PMSG)-Based Type 4 Wind Farms

Department of Electrical Engineering, University of Central Punjab, Lahore 54000, Pakistan
*
Author to whom correspondence should be addressed.
World Electr. Veh. J. 2023, 14(8), 206; https://doi.org/10.3390/wevj14080206
Submission received: 26 June 2023 / Revised: 20 July 2023 / Accepted: 28 July 2023 / Published: 3 August 2023

Abstract

Electric vehicles (EVs) are a promising solution to reduce carbon dioxide (CO2) emissions, but this reduction depends on the fraction of renewable sources used to generate electricity. Wind energy is thus a vital candidate and has experienced a remarkable surge recently, establishing itself as a leading renewable power source worldwide. The research on Direct-Driven Permanent Magnet Synchronous Generator (PMSG)-based type 4 wind farms has indicated that the Phase-locked Loop (PLL) bandwidth significantly impacts Sub-Synchronous Resonance (SSR). However, the influence of PLL architecture on SSR remains unexplored and warrants investigation. Therefore, this paper investigates PLL architectural variations in PLL Loop Filter (LF) to understand their impact on SSR in type 4 wind farms. Specifically, an in-depth analysis of the Notch Filter (NF)-based enhanced PLL is conducted using eigenvalue analysis of the admittance model of a PMSG-based type 4 wind farm. The findings demonstrate that the NF-based enhanced PLL exhibits superior performance and improved passivity in the sub-synchronous frequency range, limiting the risk of SSR below 20 Hz. Additionally, Nyquist plots are employed to assess the impact on system stability resulting in increased stability margins. In the future, it is recommended to further investigate and optimize the PLL to mitigate SSR in wind farms.

1. Introduction

Efforts to reduce carbon dioxide (CO2) emissions have resulted in a focus on road transportation, which accounts for nearly 17% of global emissions [1,2]. Electric vehicles (EVs) are a promising solution, but their net zero emissions depend on the energy mix used to generate electricity [1]. Using renewable energy sources for powering the batteries of EVs can significantly reduce net CO2 emissions [1]. It is necessary to increase the proportion of renewable electricity used to power EVs as the propulsion systems improve [1,2].
Wind energy has experienced a significant global surge, reaching 906 GW by the end of 2022, thanks to technological advancements and its reliability [3,4,5,6]. Variable Speed Wind Turbines (VSWTs) utilize both Doubly Fed Induction Generators (DFIG) and Permanent Magnet Synchronous Generators (PMSG). These generators are integrated into the electrical grid through power electronic converters and are referred to as type 3 (DFIG-based VWST) and type 4 (PMSG-based VWST) wind turbines [7,8]. PMSGs are preferred over DFIGs due to their lack of gearboxes, grid decoupling, high power density, and simple control mechanisms [3,4,5,6,7,8]. The availability of different PMSG types, including axial and radial flux configurations, allows for customized designs for various applications [7]. Axial Flux PMSGs are suitable for space-constrained offshore wind farms, while Radial Flux PMSGs are commonly used in onshore direct-driven wind turbines due to their simplicity and reliability [7].
Efficient wind energy conversion requires a proper VWST selection and an optimal wind farm location [4]. However, wind power is available primarily remotely, posing various challenges to harvest and integration into the electrical grid [8]. One challenge is upgrading the grid infrastructure to accommodate increased power flows and ensure reliable electricity delivery [8,9,10,11]. A solution to increase transmission line capacity is to use series compensation equipment, which may cause Sub-Synchronous Resonance (SSR) due to the interaction between torsional oscillation and resonance frequencies [8,9,10,11].
SSR is a resonant condition where the electrical and mechanical components of the wind farm exchange energy with the electrical network at frequencies below the fundamental frequency [12]. If not prevented, these resonances can severely threaten the generating stations, including wind farms [13,14,15].
Firstly, rapid initiation and escalation of SSR can cause over-voltages that damage vital components like series capacitors, crowbar circuitry, and connected loads [16]. This event was first reported by the Electric Reliability Council of Texas (ERCOT) in 2009 [12,17,18]. A faulted line and subsequent outage in the electrical network caused an interaction between a wind farm and the compensated network. This event damaged the compensation equipment and wind turbines due to the production of SSR [19]. Investigations concluded that the instability was a consequence of the exchange of electric energy between power electronic converters of the wind turbines and the compensated line [8,11], later referred to as Sub-Synchronous Control Interaction (SSCI) [8,11].
Secondly, the unstable sub-synchronous oscillations resulting from SSCI can lead to power generation losses [16]. The over-voltages at wind generators (WG) and the Point of Common Coupling (PCC) trigger the tripping of WGs, significantly reducing the net power output of the wind farm [16]. In 2017, these incidents were also captured by wind farms connected to the North China Power Grid [19,20]. At Guyuan, the power output dropped from 219.5 MW to 74.5 MW within 108 s during an SSCI event [19]. Three 600 MW steam turbine generators abruptly tripped at Hami due to torsional relays during an SSCI event [16]. Such reductions in power output undermine the dependability and reliability of the entire power system.
Thirdly, SSCI introduces inter-harmonic and subharmonic components into the system [16]. The presence of inter-harmonic and subharmonic components can negatively affect power quality and equipment performance [16]. This includes issues like loud noise and efficiency reduction in grid-connected equipment and electrical loads [16]. Thus, it is imperative to develop effective SSR countermeasures without delay.
Initially, researchers believed that direct-driven PMSG-based type 4 wind farms were immune to SSR due to grid isolation [8,9,10,11,20,21,22,23]. However, recent studies [20,22,23] have shown that the risk of SSR exists in these wind farms. Furthermore, Lui et al. [20] claims that due to weak grid conditions at the PCC the SSCI can occur. Also, Beza et al. [22] shows that the closed-loop bandwidths of the Phase Locked Loop (PLL) and the reactive power controller can cause SSCI resulting in system stability. Additionally, Xu et al. [23] shows that the series compensation levels can lead to oscillatory stability issues under weak grid conditions. In this regard, the control parameters of the power electronic converter on the grid side play a dominant role in system stability. Beza et al. [22] suggests that the open-loop control strategy should be adopted when encountering SSCIs. However, Lui et al. [20] and Xu et al. [23] do not pose any recommendations for the control strategy. These findings clearly emphasize the necessity of extensive analysis and development of techniques to suppress the phenomenon of SSR in type 4 wind farms.
In the field of SSR mitigation for type 4 wind farms [24], stands as a pioneering work in developing a PLL-based Sub-Synchronous Resonance Damping Controller (SSRDC) [25,26,27]. The innovative approach in [24] focuses on suppressing both Sub-Synchronous and Super-Synchronous Resonances, contributing to advancing SSR mitigation techniques tailored explicitly for type 4 wind farm configurations. The study demonstrates the critical influence of the PLL bandwidth on system stability by performing a sensitivity analysis of the dominant poles of the impedance closed-loop transfer function. Optimizing the PLL bandwidth can substantially impact mitigating SSR and improving the system’s stability. Similar results regarding the influence of PLL bandwidth on system stability and the risk of SSR in type 4 wind farms were also recorded by Beza et al. [22].
The PLL is a control system that synchronizes its output frequency and phase with its input using nonlinear negative feedback [28,29,30]. The Synchronous Reference Frame PLL (SRF-PLL) consists of three stages [28]:
  • Phase Detector (PD);
  • Loop Filter (LF);
  • Voltage Controlled Oscillator (VCO).
A signal containing the phase error information is created by PD. Driving the phase error to zero is the responsibility of LF. At the same time, the VCO generates a synchronized unit vector that contains phase information at the output [28]. A good PLL should be computationally light, more resilient to grid disturbances, quick to react dynamically, and stable [28,29,30].
Various researchers have designed numerous upgraded PLLs with improved disturbance rejection capacity [28,29,30]. Most of these PLLs can be viewed as a standard SRF-PLL with extra filters added, which may be placed either inside the SRF-PLL control loop or at its input [28]. Both [22,24] investigate the impact of PLL bandwidth on SSR while using the conventional SRF-PLL and propose that the PLL bandwidth can substantially impact mitigating SSR and improving the system’s overall stability. However, they do not examine the impact of already existing upgraded PLLs on SSR. It is vital to investigate if the risk of SSCI is only triggered by the bandwidth of the PLL or whether architectural variations in the PLL also play a role in developing SSCI. A thorough analysis of improved PLLs is also necessary to understand the predominance of PLL layouts that can reject disturbances in the event of SSCI.
This paper aims to explore the influence of different PLL architectural variations on the development of SSCI in type 4 wind farms, employing a frequency-based analysis. The study investigates a variation of the conventional SRF-PLL by incorporating a Notch Filter (NF) within the Loop Filter (LF) of the PLL. The system’s passivity is then analyzed using eigenvalue analysis, followed by an examination of system stability using the Nyquist Stability Criterion. To gain insights into the influence of PLL architecture on SSCI, the obtained results are compared to those of the conventional SRF-PLL and the SSRDC-based PLL, as proposed by [22,24], respectively.

2. System Modelling and Description

Figure 1a shows a typical Permanent Magnet Synchronous Generator (PMSG)-based type 4 wind farm connected to a series compensated grid. In this system, the complete dynamics of the power system includes wind turbine aerodynamics, shaft system, PMSG, Stator Side Converter (SSC) and Grid Side Converter (GSC) converter controllers, DC-link model, Filter, Transformer, and series compensated transmission network dynamics [22]. However, in regular operation, type 4 wind farms, the generator side is entirely decoupled from the electrical grid side due to the full-power electronic converter.
Therefore, it is convenient to neglect the dynamics of the Stator Side Converter, generator, and wind turbine by replacing it with a variable current source, as shown in Figure 1b. The GSC is connected to the grid at the PCC via an RL filter having an internal inductance L f and an internal resistance R f . The signals v _ g s c , i _ f and v _ p c c are the space vectors of the GSC output voltage, the filter current and the grid voltage measured at the PCC, respectively. Also, the direct voltage, v d c , at the input side of the converter is measured across the dc capacitance, C d c .
Figure 1b shows the system’s control algorithm comprises a cascaded structure with an inner current controller and two outer controllers, a DC voltage controller, and Reactive Power Controller, as shown in Figure 2. The control system is implemented in the rotating dq frame of reference obtained by aligning with v _ p c c , the grid voltage vector measured at the PCC. This alignment occurs by tracking the grid voltage angle, θ g , by the Phase-locked Loop (PLL). The reference voltage vector, v _ g s c * , is the current controller output provided to the PWM modulator.
The following subsections provide a complete design of the control system and the wind farm’s admittance modelling.

2.1. Inner Current Controller

The system equation for the GSC terminal voltage can be written as [22,23,31]:
v _ g s c d q = R f i _ f d q + s L f i _ f d q + j ω 1 L f i _ f d q + v _ p c c d q  
where, ω 1 , is the grid frequency. Then the control law for the inner current controller can be given as [22]:
v _ g s c d q * = F c c i _ f d q * i _ f d q + j ω g L f i _ f d q + H f f v _ p c c d q    
where ‘*’ annotates the reference signal. F c c and H f f represent the Proportional–Integral (PI) regulator of the current controller and the low-pass feed-forward filter of the grid voltage, respectively. ω g is the fundamental grid frequency estimated by the PLL. The Proportional and Integral gains K p c and K i c can be selected as K p c = α c c L f and K i c = α c c R f , respectively, whereas α c c is the closed-loop bandwidth selected for the current controller. The cut-off frequency of the feed-forward low-pass filter H f f can be selected as α f f = 0.1 α c c .
The converter output voltage can be given as [22]:
v _ g s c d q = H d M v _ g s c d q *  
where, H d M is the modulator transfer function given as [22]:
H d M = e s T d M  
where, T d M represents the computation time delay due to the discretization of the output reference voltage, v _ g s c d q * , of the inner current controller. Then, the closed-loop dynamics of the inner controller in scalar form can be written as:
i f d i f q = G c c ,   m a t i f d * i f q * + Y i c ,   m a t v p c c d v p c c q  
where, G c c ,   m a t represents the transfer matrix from reference currents to actual currents while Y i c ,   m a t represents the transfer matrix from reference currents to the input admittance matrix. These matrices are mathematically given as [22]:
G c c ,   m a t = H d M F c c s L f + R f + H d M F c c ω 1 L f 1 H d M ω 1 L f 1 H d M s L f + R f + H d M F c c s L f + R f + H d M F c c 2 + ω 1 L f 1 H d M 2    
Y i c ,   m a t = ( 1 H d M H f f ) s L f + R f + H d M F c c ω 1 L f 1 H d M ω 1 L f 1 H d M s L f + R f + H d M F c c s L f + R f + H d M F c c 2 + ω 1 L f 1 H d M 2  

2.2. Outer Controllers

The outer control comprises of DC voltage controller and the Reactive Power Controller. The two controllers are responsible for the power flow to the grid by providing reference current signals to the inner current controller which are described below.

2.2.1. DC Voltage Controller

The dynamics of the direct voltage, v dc , can be written as [22,31]:
C d c 2 d v d c 2 d t = P w P c o n v    
where, P w is the power from the Stator Side Converter or the power from the variable current source on the dc side of the GSC and can be written as:
P w = v d c i d c    
While P c o n v is the power output of the GSC to the grid and is given as:
P c o n v = v g s c d i f d + v g s c q i f q  
Then, the control law governing the dc voltage controller can be written as [22]:
i f d * = F d c v d c * 2 v d c 2 + H f _ d c P w H f _ d c v _ p c c d q  
where ‘*’ annotates the reference signal. F d c and H f _ d c represent the PI regulator for dc voltage control and the low pass filter for the magnitude of the grid voltage, v _ p c c d q . The magnitude of the grid voltage can be given as:
v _ p c c d q = v p c c d 2 + v p c c q 2    
From the control law, it can be inferred that the power from wind turbine, P w , acts as a feed-forward term filtered by the filter H f _ d c .
Considering, α d c as the closed loop bandwidth for the DC voltage controller, the Proportional gain, K p _ d c , can be selected as K p _ d c = α d c C d c . An Integral with a small integral gain may be added to the system to remove any steady-state errors caused by the mismatch of the analytical model to the actual system. The cut-off frequency of the low pass filter, H f _ d c , is selected as α f _ d c = α d c .

2.2.2. Reactive Power Controller

The dynamics of the reactive power injected into the grid at the PCC, Q g can be written as [22,31]:
Q g = v p c c d i f q + v p c c q i f d    
Then the control law governing the reactive power control can be given as [22]:
i f q * = F Q Q g * Q g H f _ Q v _ p c c d q    
where ‘*’ annotates the reference signal. F Q and H f _ Q represent the PI regulator for the reactive power control and the low-pass filter transfer function for grid voltage magnitude. The parameter selection for the PI regulator of the reactive power controller depends on the grid impedance [22,32]. However, no design recommendations are provided by [22] for the reactive power controller.
In this study, only an integral controller is utilized, where the Integrator gain, K i Q is selected as K i Q = α Q . Where α Q is the closed loop bandwidth of the reactive power controller. Also, the cut-off frequency of the low pass filter, H f _ Q is selected as α f _ Q = α Q .

2.3. Small Signal Modelling

The small signal model of the outer DC voltage controller and the reactive power controllers can be collectively written as [22]:
Δ i f d * Δ i f q * = F o c , m a t Δ v d c * Δ Q g * Δ P w + G o c , m a t Δ i f d Δ i f q + Y o c , m a t Δ v p c c d Δ v p c c q    
where, v d c * , Q g * and P w are considered as the inputs and the transfer matrices F o c , m a t , G o c , m a t , Y o c , m a t are given as:
F o c , m a t = F d c v d c 0 V p c c 0 H f _ d c V p c c F d c V p c c C d c s 0 F Q V p c c 0  
G o c , m a t = F d c G 0 V p c c C d c s 0 F Q  
Y o c , m a t = F d c i f 0 d V p c c C d c s H f _ d c P w 0 V p c c 2 F d c i f 0 q V p c c C d c s F Q i f 0 q V p c c F Q i f 0 d V p c c  
where,
G 0 = v g s c 0 d v g s c 0 q + i f 0 d i f 0 q s L f + R f ω 1 L f ω 1 L f s L f + R f    
Note that the ‘0′ in the variables’ subscript annotates the respective signals’ steady state values. While the ‘ Δ ’ annotates the perturbation in the respective signals. V p c c is the steady state value of the grid voltage and is given as:
V p c c = v p c c 0 d 2 + v p c c 0 q 2  
Then the combined dynamics of the inner and outer controllers can be written as [22]:
Δ i f d Δ i f q = G W Δ v d c * Δ Q g * Δ P w Y W Δ v p c c d Δ v p c c q    
where, the transfer matrices G W and Y W are given as:
G W = G c c ,   m a t I G o c , m a t G c c ,   m a t 1 F o c , m a t  
Y W = G c c ,   m a t I G o c , m a t G c c ,   m a t 1 Y o c , m a t + G o c , m a t Y i c ,   m a t + Y i c ,   m a t  

2.4. Phase-Locked Loop

Phase-locked Loop (PLL) is a control system that synchronizes its output to its input [28,29,30] and is shown in Figure 3. A PLL is a closed-loop control system designed to bring the q component of the grid voltage at the PCC to zero [28,29,30]. This process results in aligning the grid voltage vector to the d axis of the dq frame of reference to realize the voltage-oriented control in the dq coordinate system.
The output of the PLL is the information of the grid angle θ g which coincides with the true grid angle θ 1   when the q component of the grid voltage at the PCC becomes zero. As θ g defines the converter dq frame and θ 1 defines the grid dq frame then the grid voltage vector at the PCC relates to the two frames by the following equation [22,32]:
v _ p c c d q = v _ p c c _ t r u e d q e j θ g θ 1    
where, v _ p c c d q and v _ p c c _ t r u e d q are the grid voltages at PCC in the converter dq frame of reference and the actual grid dq frame of reference respectively. It is evident from the above equation that when θ g coincides with θ 1 then v _ p c c d q becomes equal to v _ p c c _ t r u e d q . This transformation is true for any voltage or current vector of the system. The estimated angle by the PLL can be written as [22,32]:
θ g = F P L L tan 1 v p c c q v p c c d + ω 1 s    
where, F P L L is the open loop transfer function of the PLL and is given as:
F P L L = 1 s K p _ P L L + K I _ P L L s  
where, K p _ P L L and K I _ P L L are the proportional and integral gains of the PLL respectively. If α P L L is selected to be the closed loop bandwidth of the PLL then the gains are selected to be K p _ P L L = 2 α P L L and K I _ P L L = α P L L 2 . Then the linearized small signal model of the PLL can be given as [22]:
Δ θ g = F P L L v p c c _ t r u e q    
where,
F P L L = F P L L 1 + F P L L V p c c    
Then, the dynamics of the entire system in the grid dq frame can be summarized as [22]:
Δ i f _ t r u e d Δ i f _ t r u e q = G W Δ v d c * Δ Q g * Δ P w Y W t r u e Δ v p c c t r u e d Δ v p c c t r u e q    
where, Y W _ t r u e is the desired input admittance matrix of the type 4 windfarm and can be written as:
Y W _ t r u e = Y W 1 0 0 1 V p c c F P L L + 0 i f 0 q F P L L 0 i f 0 d F P L L    

3. System Passivity Analysis

When a system oscillates, it exhibits resistive behavior at its characteristic frequency. This is known as resonance. If the real part of the exhibited resistance is positive, the system dissipates energy, is stable, and is called passive. If the real part of the exhibited resistance is negative, the system accumulates energy and becomes unstable [29]. Passivity tests can, therefore, be a useful tool for evaluating the stability of our system.
The passivity of the system can be demonstrated if the input admittance matrix, Y W _ t r u e , of the type 4 wind farm is positive indefinite i.e., Y W _ t r u e > 0 . This holds true if and only if the eigen values of the Y W _ t r u e are positive [22]. This means that if the eigen values of Y W _ t r u e are positive for all the frequencies below the fundamental frequency of the system then the risk of Sub Synchronous Control Interaction (SSCI) does not exit. On the contrary SSCI can occur if the eigen values of Y W _ t r u e are negative for all the frequencies below the fundamental frequency.
For the input admittance matrix, Y W _ t r u e , the parameters are assumed following the criteria presented in [32] and are given in Table 1.
While the active power and the reactive power outputs of the wind turbine are se-lected to be 1 p.u. and 0 p.u., respectively, the system eigenvalues are analyzed by in-dividually varying the bandwidths of the inner controller, outer control systems and PLL according to the recommendations provided by [22,32]. These values are given in Table 2.

3.1. Analyzing the Behavior of Eigenvalue λ 1 for Different Bandwidth Variations

Three different values of 2 p.u, 4 p.u. and 6 p.u. were used for the current controller bandwidth α cc . While the values of 0.1 p.u., 0.2 p.u. and 0.4 p.u. were used for the bandwidth of each control system in the outer loop i.e., DC Voltage controller, reactive power controller and the PLL as shown in Table 2. The results obtained are shown in Figure 4. It can be observed that the eigenvalue λ 1 stays positive for all the values of the investigated bandwidth. This shows that λ 1 does not influence the system passivity in the concerned range of frequency. Hence, λ 1 does not pose any risk of SSR and can be neglected during further investigation and analysis. These findings are consistent with the results reported by [22].

3.2. Analyzing the Behavior of Eigenvalue λ 2 for Different Bandwidth Variations

The values of the bandwidths of the control system deployed were varied in the system as shown in Table 2. The results obtained for the eigenvalue λ 2 are shown in Figure 5. It can be observed that the eigenvalue λ 2 becomes negative below the grid frequency. This means that the risk of Sub-Synchronous Control Interactions (SSCI) exists.
It can be observed from Figure 5 that α d c has an unnoticeable impact on the behavior of λ 2 . This shows that for frequencies higher or lower than the grid frequency, the DC voltage controller has no effect on the system’s passivity. The passivity of the system is less affected by the current controller bandwidth, α c c , at frequencies in the Sub-Synchronous range. This indicates that the system passivity is slightly impacted by the current controller bandwidth as well. In contrast, the eigenvalue, λ 2 , in the sub-synchronous frequency range is more influenced by the reactive power controller bandwidth, α Q , and the PLL, α P L L . These facts allow it to be confidently concluded that the PLL and the reactive power controller have a negative effect on the system’s passivity. These results are once more consistent with those reported by [22].
Further investigation of Figure 5 shows that increasing the PLL bandwidth not only increases the frequency range exhibiting non-dissipative behavior but also the magnitude increases at the saddle points of λ 2 . This means the PLL has the most substantial impact on the system passivity in the sub-synchronous frequency range. Hence, the PLL needs to be extensively investigated and improved to enhance its performance in the sub-synchronous frequency range.

4. PLL Enhancement by Sub-/Super-Synchronous Damping Controller

It has been established that PLL is essential for the stability of the Wind Farm [22,24]. The analysis presented in the above section shows that a typical PI based PLL depreciates the passivity of the system and needs to be extensively studied to enhance the system passivity. The research in [24] proposes that an adaptive Sub-/Super-Synchronous Damping Controller (SSRDC) can be utilized to overcome the Sub-/Super Synchronous Oscillations (SSO) that arise within the system. It is suggested in [24] that when an SSO arises, a direct-driven PMSG-based wind farm is subjected to a super-synchronous and a coupled sub-synchronous frequency component. If f P is the Super-Synchronous frequency, then the coupled Sub-Synchronous frequency will be 2 f 1 f P where f 1 is the fundamental grid frequency. In dq- frame of reference these coupled frequencies, the Super-Synchronous frequency, and the Sub-Synchronous frequency, can be visualized as f P f 1 and f 1 f P respectively. These two frequencies serve as the High Cut-off and Low Cut-off frequencies of the ABPF and are annotated as ω S S O 1 = f P f 1 and ω S S O 2 = f 1 f P respectively.
The SSRDC based enhanced PLL is shown in Figure 6, where an Adaptable Bandpass Filter (ABPF) along with a Super-Synchronous Frequency Estimator (SSFE) and a tunable gain is used in parallel to the PI controller of the PLL. The frequency of the SSO i.e., ω S S O = ω S S O 1 = ω S S O 2 , is estimated by the SSFE. Then the transfer function of the PLL can be written as [24]:
F P L L _ S S R D C = 1 s K p _ P L L + K I _ P L L s + K S S O * H 0 ω S S O s s 2 + 2 ξ ω S S O s + ω S S O 2    
where, ω S S O is the Super-Synchronous Oscillation frequency obtained from the SSFE. ξ is the damping coefficient of the ABPF. K S S O is the gain of the SSRDC and H 0 is the gain of the ABPF. To address the passivity of the system we neglect the adaptability of the SSRDC and vary the parameters of the SSRDC and PLL individually. The parameters of the SSRDC are selected to the following pivot values as per the recommendations provided by [24] and are given in Table 3.

Impact of SSRDC Based PLL Parametric Variations on the System Eigenvalues

As, the eigenvalue λ 1 showed no impact on the system passivity in Figure 4. Hence, the eigenvalue   λ 2 was investigated, and the results are shown in Figure 7. As per the recommendations provided by [24] three different values of 1.2 p.u., 1.4 p.u. and 1.8 p.u. were selected for ω S S O . Similarly, three different values of 0.2 p.u., 0.4 p.u. and 0.8 p.u. were selected for ξ and three different values of 0.02 p.u., 0.042 p.u. and 0.078 p.u. were selected for K S S O to investigate the impact of SSO frequency on the eigenvalues of Y W _ t r u e . It can be observed that none of the three parameters ω S S O , K S S O or ξ depict any noticeable influence on the eigenvalue λ 2 . This means that the SSRDC-based PLL does not suppress the risk of Sub-Synchronous Control Interactions (SSCI). Lastly, the PLL bandwidth, α P L L , was varied as per the values given in Table 2. It was again observed in Figure 7 that the eigenvalue λ 2 exhibited a similar behavior as was seen with the system with typical PLL. Thus, it is imminent that the proposed SSRDC-based PLL in [24] has no impact on the system passivity, and hence, the risk of SSR still exists.

5. PLL with Enhanced Filtering

Addition of filters to the PLL to enhance its disturbance rejection capability has gained a high importance in the past few years [28]. Filter addition to the control loop or even before the input have been generally prescribed. Amongst these filters Moving Average Filter and Notch Filters have gained a huge acknowledgment for disturbance rejection due to power quality issues or synchronization challenges [28]. However, these filters are usually utilized to perform better in rejecting the higher-order harmonics occurring in the system. Thus, here we propose to utilize a notch filter to suppress SSCI.
A notch filter (NF) is a filter that significantly attenuates signals within a narrow band of frequencies, called the rejection band, and passes all other frequencies with negligible attenuation. This makes it an ideal candidate for canceling selective or desired frequency components in the PLL control loop. It can be either adaptive or nonadaptive. To keep the analysis simple, we utilize a nonadaptive NF. The generic transfer function of a NF is given as [29]:
G N F = s 2 + ω N F 2 s 2 + 2 ξ ω N F s + ω N F 2    
where, ω N F is the center frequency of the NF and ξ is the damping coefficient of the NF. Then the transfer function of the PLL with additional filtering capability, shown in Figure 8, can be written as:
F P L L _ N F = 1 s K p _ P L L + K I _ P L L s s 2 + ω N F 2 s 2 + 2 ξ ω N F s + ω N F 2  
From Figure 5 it can be analyzed that range of frequencies where the system passivity is jeopardized is up to 45 Hz. Also, from the theory of SSR, we know that these resonances occur between 4 Hz and 46 Hz [7,24,25,26,27]. Therefore, we select ω N F = 0.5 p.u., i.e., 25 Hz, while the damping coefficient is ξ = 0.4 p.u., and the passivity of the system is reanalyzed in the following sections.

5.1. Impact of NF Bandwidth ω N F

Three different values of 0.25 p.u., 0.5 p.u. and 0.75 p.u. were selected for ω N F to investigate the impact of NF bandwidth on the eigen values of Y W _ t r u e . The results are shown in Figure 9 and Figure 10. It can be observed that the eigenvalue λ 2 shows significant improvement as compared to the system behaviour with typical PLL shown in Figure 5. It can also be observed that λ 2 shows a good reduction in the frequency range with negative eigenvalues. This means that the risk of SSCI does exist but in frequencies below 20Hz. It can also be observed that the increasing bandwidth again increases the frequency range exhibiting non-dissipative behavior; however, magnitude decreases at the saddle points of λ 2 .

5.2. Impact of NF Damping Coefficient ξ

Three different values of 0.2 p.u., 0.4 p.u. and 0.6 p.u. were selected for ξ to investigate the impact of damping coefficient on the eigen values of Y W _ t r u e . The results are shown in Figure 9 and Figure 10. It can be observed that eigenvalue λ 2 shows a slight change with the changing values of the damping coefficients. It can be observed that λ 2 shows a sleek reduction in the frequency range with increasing coefficient values; however, magnitude increases at the saddle points of λ 2 . Again, it is evident that the risk of SSCI does exist but in a thin frequency range.

5.3. Impact of NF on PLL Bandwidth

Three different values of 0.1 p.u., 0.2 p.u. and 0.4 p.u. were selected for α P L L while ω N F and ξ are set to their pivot values to investigate the impact of PLL bandwidth with NF on the eigen values of Y W _ t r u e . The results are shown in Figure 9 and Figure 10. It can be observed that the eigen value λ 2 , shows significant improvement as compared to the system behavior with typical PLL shown in Figure 5. It can be observed from Figure 10 that the frequency range with non-dissipative properties is limited to 20Hz. This means that the risk of SSCI exists but in frequencies below 20Hz. It can also be observed that the increasing bandwidth again increases the frequency range exhibiting non-dissipative behavior; however, magnitude increases at the saddle points of λ 2 .

6. Equivalent System for Admittance-Based Analysis

Figure 11 shows the small signal model for the wind farm connected to the AC grid shown in Figure 2. The wind farm is represented by a Norton Equivalent of the wind farm composed of an ideal current source and the equivalent admittance, whereas the AC grid is represented by a Thevenin Equivalent composed of an ideal voltage source with a series impedance representing a series compensated transmission line. The two systems are connected at the PCC. Then, the impedance equivalent for the system in the dq frame is given as [19,20,22]:
Z g = R g + s + j ω 1 L g + 1 s + j ω 1 C g  
where, R g , L g and C g are the grid equivalent resistance, inductance, and capacitance respectively. Then the system equivalent matrix for the grid can be written as [22]:
Z g = R g + s L g + s s 2 + ω 1 2 C g ω 1 s 2 + ω 1 2 C g ω 1 L g ω 1 L g ω 1 s 2 + ω 1 2 C g R g + s L g + s s 2 + ω 1 2 C g  
The system parameters selected for the grid are as per the recommendations of [22] and are given in Table 4.

7. Nyquist Stability Analysis to Explore the Risk of SSCI

The eigenvalue analysis conducted earlier shows that the system is not passive for the sub-synchronous frequency range and may destabilize the system. Thus, it is necessary that we further investigate the stability of the system. For the system equivalent shown in Figure 11, we know by circuit theory that:
i f = Y W _ T r u e Z g 1 + Y W _ T r u e Z g i w _ e q Y W _ T r u e 1 + Y W _ T r u e Z g e e q  
Thus, the open-loop transfer function matrix of the system is:
G = Y W _ T r u e Z g  
A generalized Nyquist Criteria can be applied to the open-loop transfer function matrix to explore the closed-loop stability of the entire system. Therefore, the frequency response of the eigenvalues of G is used to develop the Nyquist Curve by plotting the real part against the imaginary part of the eigenvalues. This curve is later analyzed for the encirclements of the point 1 ,   0 . If no encirclement of the point 1 ,   0 is observed, then the system is said to be closed-loop stable.
In the following sections, we dedicatedly study the impact of PLL, SSRDC-based PLL and the PLL with advanced filtering on the system’s stability.

7.1. Impact of A Typical PLL on Stability

Figure 12 shows that when a typical PLL is utilized in the system the system performance depreciates as the bandwidth increases. This means that the system stability margins decrease with the increasing bandwidth. Also, the risk of SSCI increases with the depreciating stability margins. It can also be observed from Figure 12 that for α P L L 0.4   p . u . , the system becomes unstable, which has been reported in [22] as well. Thus, the obvious choice for the PLL bandwidth is α P L L < 0.4   p . u . This low selection, however, may compromise the system response time, which may not be desirable when dealing with other phenomena of the power system, e.g., Low-Voltage Ride Through (LVRT).

7.2. Impact of An SSRDC-Based PLL

Figure 13 shows that when an SSRDC-based PLL is utilized in the system, the system performance depreciates like the typical PLL in Figure 12. Here also, it is observed that the stability margins depreciate with increasing bandwidth. Thus, α P L L < 0.4   p . u . should be the obvious choice for selection. However, by comparing Figure 13 with Figure 12, it can also be concluded that the phase margin of SSRDC-based PLL is lesser than the typical PLL. This means that SSRDC-based PLL has lower stability margins than the typical PLL, hence, having a higher risk of SSCI.

7.3. Impact of PLL with Notch Filter on Stability

Figure 14 again shows that when a PLL with Notch Filter is utilized in the system, the system performance depreciates similarly to that seen in the case of the typical PLL in Figure 12 and SSRDC-based PLL in Figure 13. Here also, it is observed that the stability margins depreciate with increasing bandwidth. However, by comparing Figure 12, Figure 13 and Figure 14, it can also be concluded that the phase margin of PLL with Notch Filter is greater than the typical PLL and SSRDC-based PLL. This means that PLL with Notch Filter has superior performance as compared to the other two PLL variants discussed earlier. This implies that the PLL with Notch Filter has a lesser risk of SSCI even when α P L L = 0.4   p . u . is selected.
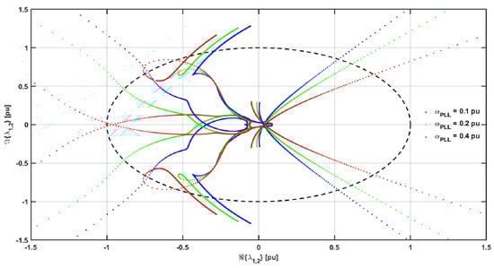
To develop a clear understanding of the findings, Figure 15 shows a comparison of the impact on stability for the three PLL variants at the pivot value of PLL bandwidth ( α P L L = 0.2   p . u . ) discussed above. It can be observed that SSRDC-based PLL increases the gain margin but reduces the phase margin in comparison to the typical PLL. This means that the SSRDC-based PLL has a limited disturbance rejection capability. On the contrary, PLL with Notch Filter enhances both the gain margin and the phase margin compared to the typical PLL. This makes NF-based PLL more robust and has a better disturbance rejection capability. Hence, NF-based PLL has a lesser risk of SSCI.

8. Conclusions

In this paper, this risk of SSCI in type 4 wind farms connected to series compensated transmission lines due to PLL is explored in detail. In this context, a detailed admittance model of the type 4 wind farm is first provided then the impact of different control parameters on the passivity of the system is explored. It was observed that the bandwidths of the reactive power controller and the PLL show a higher risk of SSCI due to a non-dissipative behavior in the sub-synchronous frequency range. Furthermore, a typical PLL was then modified using an SSRDC, and a Notch Filter was employed separately in the PLL loop to explore their impact on the system passivity. It was observed that SSRDC-based PLL showed no significant improvement in the system passivity in the sub-synchronous frequency range. However, the PLL with Notch Filter showed a considerable improvement in passivity by restricting the non-dissipative nature of the system to less than 20 Hz. Finally, the system’s stability was analyzed for a typical PLL, SSRDC-based PLL and PLL with Notch Filter. It was again observed that the SSRDC-based PLL deteriorated the system stability margins, increasing the risk of SSCI in the sub-synchronous frequency range.
On the contrary, PLL with Notch Filter showed superior performance by increasing the system stability margins. In the future, it is recommended to further investigate the impact of PLL architectural variations in PLL Phase Detector (PD) and Loop Filter (LF) to thoroughly understand the role of PLL in the domain of SSR in wind farms. Also, optimization of PLL is recommended to suppress/mitigate the SSR in grid-integrated, direct-driven PMSG-based wind farms.

Author Contributions

Conceptualization, A.A.; methodology, A.A.; software, A.A.; validation, A.A.; formal analysis, A.A.; investigation, A.A.; writing—original draft preparation, A.A.; writing—review and editing, A.A. and M.S.; supervision, M.S. All authors have read and agreed to the published version of the manuscript.

Funding

This research received no external funding.

Data Availability Statement

No new data were created or analyzed in this study. Data sharing is not applicable to this article.

Conflicts of Interest

The authors declare no conflict of interest.

Nomenclature and Abbreviations

EVElectric vehiclesPLLPhase-locked Loop
PMSGPermanent Motor Synchronous GeneratorSSRSub-Synchronous Resonance
LFLoop FilterNFNotch Filter
VSWTVariable Speed Wind TurbineSSCISub-Synchronous Control Interactions
PCCPoint of Common CouplingSSRDCSub-Synchronous Resonance Damping Controller
SRFSynchronous Reference FrameSSCStator Side Converter
GSCGrid Side ConverterPWMPulse Width Modulation
L f GSC filter internal inductance C d c DC-link Capacitance
R f GSC filter internal resistance α d c Bandwidth of DC voltage controller
ω 1 Grid frequency α Q Bandwidth of reactive power controller
α c c Bandwidth of current controller α P L L Bandwidth of PLL
T d M Discretization computation delay v _ g s c GSC output voltage vector
v _ p c c Grid voltage vector measured at the PCC i _ f GSC filter current vector
v _ g s c * GSC reference voltage vector θ g Grid voltage angle
H d M Modulator transfer function F c c Current controller PI regulator
H f f Low-pass feed-forward filter of grid voltage in current controller K p c , K i c Current controller proportional and integral gains
P w Power from SSC P c o n v Power output of GSC
Q g Reactive power injected into the grid F Q Reactive power PI regulator
H f _ Q Transfer function of low-pass filter for grid voltage in reactive power controller K i Q Reactive power controller integral gain
F d c DC voltage PI regulator H f _ d c Transfer function of low-pass filter for grid voltage in DC voltage controller
K p _ d c DC voltage regulator proportional gain F P L L Open-loop transfer function of PLL
K p _ P L L , K I _ P L L PLL proportional and integral gains Y W _ t r u e Input Admittance Matrix
λ 1 , λ 2 Eigenvalues of Y W _ t r u e i _ f d q * GSC reference current

References

  1. Ghotge, R.; Yitzhak, S.; Samira, F.; Zofia, L.; Ad van, W. Optimized Scheduling of EV Charging in Solar Parking Lots for Local Peak Reduction under EV Demand Uncertainty. Energies 2020, 13, 1275. [Google Scholar] [CrossRef]
  2. Rastgoo, S.; Zahra, M.; Morteza Azimi, N.; Mohammad, Z.; Sanjeevikumar, P. Using an Intelligent Control Method for Electric Vehicle Charging in Microgrids. World Electr. Veh. J. 2022, 13, 222. [Google Scholar] [CrossRef]
  3. El Mourabit, Y.; Derouich, A.; Allouhi, A.; El Ghzizal, A.; El Ouanjli, N.; Zamzoumyes, O. Sustainable production of wind energy in the main Morocco’s sites using permanent magnet synchronous generators. Int. Trans. Electr. Energy Syst. 2020, 30, e12390. [Google Scholar] [CrossRef]
  4. El Mourabit, Y.; Derouich, A.; El Ghzizal, A.; El Ouanjli, N.; Zamzoum, O. Nonlinear backstepping control for PMSG wind turbine used on the real wind profile of the Dakhla-Morocco city. Int. Trans. Electr. Energy Syst. 2020, 30, e12297. [Google Scholar] [CrossRef]
  5. Global Wind Energy Council. Global Wind Report. 2023. Available online: https://gwec.net/globalwindreport2023/ (accessed on 19 June 2023).
  6. REN21. Renewables Global Status Report. Available online: https://www.ren21.net/reports/global-status-report/ (accessed on 19 June 2023).
  7. Ackermann, T. Wind Power in Power Systems, 2nd ed.; John Wiley & Sons: Chichester, UK, 2012. [Google Scholar]
  8. Ghasemi, H.; Gharehpetian, G.B.; Nabavi-Niaki, S.A.; Aghaei, J. Overview of subsynchronous resonance analysis and control in wind turbines. Renew. Sustain. Energy Rev. 2013, 27, 234–243. [Google Scholar] [CrossRef]
  9. Ahmed, S.D.; Al-Ismail, F.S.; Shafiullah, M.; Al-Sulaiman, F.A.; El-Amin, I.M. Grid integration challenges of wind energy: A review. IEEE Access 2020, 8, 10857–10878. [Google Scholar] [CrossRef]
  10. Ali, S.W.; Sadiq, M.; Terriche, Y.; Naqvi, S.A.R.; Mutarraf, M.U.; Hassan, M.A.; Yang, G.; Su, C.-L.; Guerrero, J.M. Offshore wind farm-grid integration: A review on infrastructure, challenges, and grid solutions. IEEE Access 2021, 9, 102811–102827. [Google Scholar] [CrossRef]
  11. Damas, R.N.; Son, Y.; Yoon, M.; Kim, S.Y.; Choi, S. Subsynchronous oscillation and advanced analysis: A review. IEEE Access 2020, 8, 224020–224032. [Google Scholar] [CrossRef]
  12. IEEE Subsynchronous Resonance Working Group. Terms, definitions and symbols for subsynchronous oscillations. IEEE Trans. Power Appar. Syst. 1985, 104, 1326–1334. [Google Scholar]
  13. Gu, K.; Feng, W.; Xiao-Ping, Z. Sub-synchronous interactions in power systems with wind turbines: A review. IET Renew. Power Gener. 2019, 13, 4–15. [Google Scholar] [CrossRef]
  14. Adam, J.; Pappu, V.A.; Dixit, A. ERCOT experience screening for Sub-Synchronous Control Interaction in the vicinity of series capacitor banks. In Proceedings of the Power and Energy Society General Meeting, San Diego, CA, USA, 22–26 July 2012. [Google Scholar]
  15. Sebia, M.; Bentarzi, H. Sub-Synchronous Torsional Interaction Study and Mitigation Using a Synchro-Phasors Measurement Unit. Eng. Proc. 2022, 14, 8. [Google Scholar]
  16. Shair, J.; Xie, X.; Yan, G. Mitigating subsynchronous control interaction in wind power systems: Existing techniques and open challenges. Renew. Sustain. Energy Rev. 2019, 108, 330–346. [Google Scholar] [CrossRef]
  17. Adams, J.; Carter, C.; Huang, S.-H. ERCOT experience with sub-synchronous control interaction and proposed remediation. In Proceedings of the Transmission and Distribution Conference and Exposition (T&D), Orlando, FL, USA, 7–10 May 2012. [Google Scholar]
  18. Sahni, M.; Badrzadeh, B.; Muthumuni, D.; Cheng, Y.; Yin, H.; Huang, S.-H.; Zhou, Y. Sub-synchronous interaction in wind power plants-part II: An ERCOT case study. In Proceedings of the Power and Energy Society General Meeting, San Diego, CA, USA, 22–26 July 2012. [Google Scholar]
  19. Nath, R.; Grande-Moran, C. Study of Sub-Synchronous Control Interaction due to the Interconnection of Wind Farms to a Series Compensated Transmission System. In Proceedings of the Transmission and Distribution Conference and Exposition, Orlando, FL, USA, 7–10 May 2012. [Google Scholar]
  20. Liu, H.; Xie, X.; He, J.; Xu, T.; Yu, Z.; Wang, C.; Zhang, C. Subsynchronous Interaction Between Direct-Drive PMSG Based Wind Farms and Weak AC Networks. IEEE Trans. Power Syst. 2017, 32, 4708–4720. [Google Scholar] [CrossRef]
  21. Yunhong, L.; Hui, L.; Wenyuan, N.; Xiaorong, X. Impact on SSR of wind farms connected to series-compensated lines from the different structures of power grid. J. Eng. 2017, 2017, 2158–2163. [Google Scholar] [CrossRef]
  22. Beza, M.; Bongiorno, M. On the Risk for Subsynchronous Control Interaction in Type 4 Based Wind Farms. IEEE Trans. Sustain. Energy 2019, 10, 1410–1418. [Google Scholar] [CrossRef]
  23. Xu, Y.; Zhang, M.; Fan, L.; Miao, Z. Small-Signal Stability Analysis of Type-4 Wind in Series-Compensated Networks. IEEE Trans. Energy Convers. 2020, 35, 529–538. [Google Scholar] [CrossRef]
  24. Yang, S.; Shen, R.; Shu, J.; Zhang, T.; Li, Y.; Zhang, B.; Hao, Z. PLL Based Sub-/Super-Synchronous Resonance Damping Controller for D-PMSG Wind Farm Integrated Power Systems. IEEE Trans. Energy Convers. 2022, 37, 2370–2384. [Google Scholar] [CrossRef]
  25. Yan, G.; Wang, D.; Jia, Q.; Hu, W. Equivalent Modeling of Dfig-Based Wind Farms for Sub-Synchronous Resonance Analysis. Energies 2020, 13, 5426. [Google Scholar] [CrossRef]
  26. Perera, U.; Oo, A.M.T.; Zamora, R. Sub Synchronous Oscillations under High Penetration of Renewables—A Review of Existing Monitoring and Damping Methods, Challenges, and Research Prospects. Energies 2022, 15, 8477. [Google Scholar] [CrossRef]
  27. Xie, X.; Zhang, X.; Liu, H.; Liu, H.; Li, Y.; Zhang, C. Characteristic analysis of subsynchronous resonance in practical wind farms connected to series-compensated transmissions. IEEE Trans. Energy Convers. 2017, 32, 1117–1126. [Google Scholar] [CrossRef]
  28. Golestan, S.; Guerrero, J.M.; Vasquez, J.C. Three-phase PLLs: A review of recent advances. IEEE Trans. Power Electron. 2016, 32, 1894–1907. [Google Scholar] [CrossRef]
  29. Pan, H.; Li, Z.; Wei, T. A novel phase-locked loop with improved-dual adaptive notch filter and multi-variable filter. IEEE Access 2019, 7, 176578–176586. [Google Scholar] [CrossRef]
  30. Sun, X.; Hu, C.; Lei, G.; Yang, Z.; Guo, Y.; Zhu, J. Speed sensorless control of SPMSM drives for EVs with a binary search algorithm-based phase-locked loop. IEEE Trans. Veh. Technol. 2020, 69, 4968–4978. [Google Scholar] [CrossRef]
  31. Eial Awwad, A. Dynamic Performance Enhancement of a Direct-Driven PMSG-Based Wind Turbine Using a 12-Sectors DTC. World Electr. Veh. J. 2022, 13, 123. [Google Scholar] [CrossRef]
  32. Harnefors, L.; Bongiorno, M.; Lundberg, S. Input-admittance calculation and shaping for controlled voltage-source converters. IEEE Trans. Ind. Electron. 2007, 54, 3323–3334. [Google Scholar] [CrossRef]
Figure 1. (a) PMSG-based Type 4 Wind Farm connected to a series compensated grid [22]. (b) Simplified type 4 wind farm for SSR analysis [22].
Figure 1. (a) PMSG-based Type 4 Wind Farm connected to a series compensated grid [22]. (b) Simplified type 4 wind farm for SSR analysis [22].
Wevj 14 00206 g001
Figure 2. Control system architecture of a type 4 Wind Farm. ‘*’ annotates the reference signal.
Figure 2. Control system architecture of a type 4 Wind Farm. ‘*’ annotates the reference signal.
Wevj 14 00206 g002
Figure 3. A Typical PLL for grid angle tracking [23].
Figure 3. A Typical PLL for grid angle tracking [23].
Wevj 14 00206 g003
Figure 4. Trend of eigenvalue λ 1 for different variations of inner controller, outer controllers and PLL bandwidths.
Figure 4. Trend of eigenvalue λ 1 for different variations of inner controller, outer controllers and PLL bandwidths.
Wevj 14 00206 g004
Figure 5. Trend of eigenvalue λ 2 for different variations of inner controller, outer controllers and PLL bandwidths.
Figure 5. Trend of eigenvalue λ 2 for different variations of inner controller, outer controllers and PLL bandwidths.
Wevj 14 00206 g005
Figure 6. A PLL with Sub—Synchronous Damping Controller (SSRDC) [24].
Figure 6. A PLL with Sub—Synchronous Damping Controller (SSRDC) [24].
Wevj 14 00206 g006
Figure 7. Trend of eigenvalue λ 2 for different parametric variations of SSRDC—based PLL.
Figure 7. Trend of eigenvalue λ 2 for different parametric variations of SSRDC—based PLL.
Wevj 14 00206 g007
Figure 8. A PLL with a Notch Filter in the loop.
Figure 8. A PLL with a Notch Filter in the loop.
Wevj 14 00206 g008
Figure 9. Trend of eigenvalue λ 2 for different parametric variations of a NF—based PLL.
Figure 9. Trend of eigenvalue λ 2 for different parametric variations of a NF—based PLL.
Wevj 14 00206 g009
Figure 10. Trend of eigenvalue λ 2 for different parametric variations of NF—based PLL—with y axis limited to [−4, 2].
Figure 10. Trend of eigenvalue λ 2 for different parametric variations of NF—based PLL—with y axis limited to [−4, 2].
Wevj 14 00206 g010
Figure 11. Equivalent Model of the entire system [17,19,20,21,22].
Figure 11. Equivalent Model of the entire system [17,19,20,21,22].
Wevj 14 00206 g011
Figure 12. Generalized Nyquist Plot for the open—loop system for a typical PLL.
Figure 12. Generalized Nyquist Plot for the open—loop system for a typical PLL.
Wevj 14 00206 g012
Figure 13. Generalized Nyquist Plot for the open—loop system for an SSRDC based PLL.
Figure 13. Generalized Nyquist Plot for the open—loop system for an SSRDC based PLL.
Wevj 14 00206 g013
Figure 14. Generalized Nyquist Plot for the open—loop system for PLL with Notch Filter.
Figure 14. Generalized Nyquist Plot for the open—loop system for PLL with Notch Filter.
Wevj 14 00206 g014
Figure 15. Comparison of PLL variants at the pivot value of the PLL Bandwidth α P L L = 0.2   p . u .
Figure 15. Comparison of PLL variants at the pivot value of the PLL Bandwidth α P L L = 0.2   p . u .
Wevj 14 00206 g015
Table 1. Selected Values for the system parameters.
Table 1. Selected Values for the system parameters.
ParameterValueParameterValue
L f 0.15 p.u. C d c 1 p.u.
R f 0.015 p.u. α d c 0.2 p.u.
ω 1 1 p.u. α Q 0.2 p.u.
α c c 4 p.u. α P L L 0.2 p.u.
T d M 3 ms (This is equivalent to 1.5 samples at a 5 kHz sampling rate.)
Table 2. Values of different control system bandwidths used to apply manual variations.
Table 2. Values of different control system bandwidths used to apply manual variations.
LoopController Bandwidth Case 1Case 2 (Pivot Values)Case 3
InnerCurrent Controller α c c 2 p.u.4 p.u.6 p.u.
OuterDC Voltage Controller α d c 0.1 p.u.0.2 p.u.0.4 p.u.
Reactive Power Controller α Q 0.1 p.u.0.2 p.u.0.4 p.u.
PLLPLL α P L L 0.1 p.u.0.2 p.u.0.4 p.u.
Table 3. Selected Values of SSRDC Parameters.
Table 3. Selected Values of SSRDC Parameters.
ParameterValueParameterValue
K S S O 0.042 ξ 0.3
H 0 1 ω S S O 1.5 p.u.
Table 4. Selected parameters for the AC grid Model.
Table 4. Selected parameters for the AC grid Model.
ParameterValue
R g 0.02 p.u.
L g 0.25 p.u.
C g 0.075 p.u.
Disclaimer/Publisher’s Note: The statements, opinions and data contained in all publications are solely those of the individual author(s) and contributor(s) and not of MDPI and/or the editor(s). MDPI and/or the editor(s) disclaim responsibility for any injury to people or property resulting from any ideas, methods, instructions or products referred to in the content.

Share and Cite

MDPI and ACS Style

Ashraf, A.; Saadi, M. The Impact of Phase-Locked Loop (PLL) Architecture on Sub-Synchronous Control Interactions (SSCI) for Direct-Driven Permanent Magnet Synchronous Generator (PMSG)-Based Type 4 Wind Farms. World Electr. Veh. J. 2023, 14, 206. https://doi.org/10.3390/wevj14080206

AMA Style

Ashraf A, Saadi M. The Impact of Phase-Locked Loop (PLL) Architecture on Sub-Synchronous Control Interactions (SSCI) for Direct-Driven Permanent Magnet Synchronous Generator (PMSG)-Based Type 4 Wind Farms. World Electric Vehicle Journal. 2023; 14(8):206. https://doi.org/10.3390/wevj14080206

Chicago/Turabian Style

Ashraf, Arslan, and Muhammad Saadi. 2023. "The Impact of Phase-Locked Loop (PLL) Architecture on Sub-Synchronous Control Interactions (SSCI) for Direct-Driven Permanent Magnet Synchronous Generator (PMSG)-Based Type 4 Wind Farms" World Electric Vehicle Journal 14, no. 8: 206. https://doi.org/10.3390/wevj14080206

APA Style

Ashraf, A., & Saadi, M. (2023). The Impact of Phase-Locked Loop (PLL) Architecture on Sub-Synchronous Control Interactions (SSCI) for Direct-Driven Permanent Magnet Synchronous Generator (PMSG)-Based Type 4 Wind Farms. World Electric Vehicle Journal, 14(8), 206. https://doi.org/10.3390/wevj14080206

Article Metrics

Back to TopTop