Next Article in Journal
Application of Simulation Analysis for Thermal Management Technology on Main Parts of Pouch Cells
Previous Article in Journal
State of Health Estimation for Lithium-Ion Batteries Using IAO–SVR
 
 
Font Type:
Arial Georgia Verdana
Font Size:
Aa Aa Aa
Line Spacing:
Column Width:
Background:
Article

Signal-Based Position Sensor Fault Diagnosis Applied to PMSM Drives for Fault-Tolerant Operation in Electric Vehicles

1
Department of Electrical Engineering, Netaji Subhash Engineering College, Technocity, Kolkata 700152, India
2
Department of Education and Management, National Institute of Technical Teachers’ Training & Research, Kolkata 700106, India
*
Author to whom correspondence should be addressed.
World Electr. Veh. J. 2023, 14(5), 123; https://doi.org/10.3390/wevj14050123
Submission received: 8 April 2023 / Revised: 27 April 2023 / Accepted: 3 May 2023 / Published: 9 May 2023

Abstract

This paper presents a novel scheme for fast fault detection and isolation (FDI) of position sensors based on signal processing and fault-tolerant control (FTC) for speed tracking of an electric vehicle (EV) propelled by a permanent magnet synchronous motor (PMSM). The fault is detected using a comparison algorithm between the measured and delayed rotor speed signals. The proposed scheme is more practical for diagnosing faults over a wide speed range since it does not use estimated speed value. In addition, to ensure continuous vehicle propulsion and to retain effective field-oriented control of the EV-PMSM in the event of a fault, a reconfiguration mechanism with back-EMF based position observer is employed. Rapid detection of position sensor failure is necessary for a seamless transition from sensored to sensorless control. Furthermore, a comparative analysis between sliding mode observer and flux observer for motor speed control is also presented in the context of EVs. The effectiveness of the position sensors for FDI and FTC is validated in the presence of typical vehicular disturbances, such as uneven road conditions and wind disturbance force. Finally, to validate the proposed approach experimentally in a real-world EV environment, this paper utilizes a scaled-down testbed with a TMS320F28379D DSP for the motor control of the EV.

1. Introduction

Permanent magnet synchronous motors (PMSMs) have gained popularity in electric vehicle (EV) traction applications, including light-duty and heavy-duty vehicle propulsion, due to their broad speed range, high efficiency, and high power density [1,2]. However, the traction drive system must be highly reliable and robust to support a wide range of vehicle dynamics. According to research published in [3], 38% of variable-speed AC drive faults are caused by power device failures and 53% are caused by control circuit failures. A few studies [3] have also been conducted on the fault-tolerant control of PWM inverter-fed motor drives for EVs in order to improve powertrain reliability. Apart from that, a typical vector control system for high-efficiency traction drives requires position and current sensor feedback signals [2]. The drive system must therefore be tolerant of sensor failure to maintain vehicle stability and continuous propulsion. Position sensors are especially vulnerable to sensor failures caused by mechanical shock on the road, moisture deterioration in the wheel, and electromagnetic field interference, which can lead to signal loss or measurement error [2,4]. Moreover, for optimal torque production in PMSMs under field-oriented control, the relationship between position sensor zero and rotor quadrature axis must be quantified precisely [5].
Recently, several studies have been published on fault-tolerant control (FTC) considering position sensor failures. In this context, position sensor FTC studies have been concentrated on two categories: detection of faulty sensors and seamless algorithm transition. The research in [6] describes a new technique for detecting speed sensor faults by comparing the rotor and feedback sensor speeds, applied to induction motor drives for effective FTC. The sensor status is confirmed as faulty if the duration of the failure exceeds a preset threshold in a time counter. This method has a short execution time of 3 ms and can detect a variety of faults, such as infinite, zero, or incorrect values. In [7], the authors propose an FTC scheme based on the adaptive extended Kalman filter (AEKF) to improve fault tolerance in interior permanent magnet synchronous motor (IPMSM) drives for EVs. The FTC uses an AEKF to estimate the system’s state and covariance matrices continuously. In comparison to the FTC scheme with the traditional EKF, the suggested AEKF is more robust to transient operating conditions and system stochastic disturbances. The authors of [2] propose a higher order sliding mode (HOSM) observer-based speed sensor fault detection and FTC approach for the SPMSM-based full model EV. The entire speed tracking by the FTC is effective when the EV is exposed to disturbances such as aerodynamic load disturbances and road roughness utilizing the high-fidelity CarSim software. The study in [8] presents an active fault diagnosis of a switched reluctance motor (SRM) for a light electric vehicle (LEV). The position sensor fault is diagnosed via residual-based detection utilizing the sliding mode observer (SMO), and the estimated position and speed replace the corrupted position and speed data. For a five-phase PMSM drive in [9], an active FTC is developed based on a sliding mode observer. In addition, the fuzzy logic controller is used for fault-related disturbance reduction.
However, the majority of studies have concentrated on the incidence and detection of sensor faults during steady-state operation. In [10], self-sensing control based on back-electromotive force (BEMF) estimation is proposed for an IPMSM using an adaptive threshold and taking into account position sensor fault detection and algorithm transition. Adaptive threshold enables fast fault detection and compensation for position error during motor acceleration and deceleration.
When a speed sensor fails, the system must be able to transition from speed measurements to sensorless controls smoothly. To achieve this, a novel sensorless observer based on the third-order steady-state linear Kalman filter (SSLKF) is proposed in [11] with a “minimum distance” adjustment to the latest position–sensorless design concepts. A multi-controller-based FTC scheme is proposed for induction motor drive in [12]. At the point of speed sensor failure, the FTC activates V/F control. In addition, a simple rate limiter is operated to smooth out the transient response when switching between controllers. The research presented in [13] evaluates an active FTC system for induction-motor-based EVs that employs a reconfiguration mechanism that ensures short and smooth transitions during sensor failure from indirect field-oriented control (IFOC) to speed control with slip regulation (SCSR) in order to compensate for the phase difference between controller voltages at the instant of switchover.
Some researchers combine multiple position estimators to derive the best position or speed estimate at and after the sensor fault. In [14], the research suggests a fault-tolerant direct torque control (DTC) strategy for electric vehicles (EVs) using an induction motor-based powertrain in the event of speed sensor failure. During speed sensor failure, the maximum likelihood voting (MLV) algorithm is used to compute the most accurate speed data from two virtual speed sensors (a Luenberger observer and an extended Kalman filter) and the speed sensor. Simulations utilizing a European urban and extra-urban drive cycle demonstrate FTC that offers a simple setup with satisfactory speed and torque responses. A fault-tolerant control strategy for in-wheel synchronous motor drives that switches between multiple states is proposed in [15]. The strategy detects sensor fault by validating redundant speed data. It implements a flux observer at high speed and an I-F method at low speed with low acoustic noise, employing an adaptive control transition. The authors of [16] propose an active FTC system based on analytical redundancy for PMSM drive across the entire speed range. The FTC engages the EKF and HFI at low speed and the EKF and BEMF observer at medium and high speed for the best speed estimate based on the Euler voting algorithm. However, multi-observer-based position estimation necessitates more computational power for DSP implementation, which is not cost-effective.
All of the above-mentioned methods for position sensor fault detection rely on state observers to generate residuals (i.e., a signal of deviation between measured and estimated values). The generated residual may be subjected to a time delay and motor load impact due to observer computation. Therefore, quick and instantaneous position sensor fault detection becomes essential for a smooth transition to sensorless operation. Notably, the HF-injection-based sensorless algorithm is unsuitable for vehicle applications [15] due to its high noise at low speed, negatively affecting the driving experience. Except for [5], all of the studies detailed above have not taken into account position sensor fault situations during transition. On the other hand, none of the studies except [2,14,15] have considered the connected EV model as a motor load while considering fault-tolerant control. The research in [2,4,14,15] have looked at FTC performance after a position sensor fault in terms of EV dynamics. However, no studies have been reported on sensor faults that occur during extreme EV dynamic situations, such as uneven and rough road conditions or sudden wind disturbances.
In view of recent advances and the growing need for EV research, we are motivated to propose a position sensor FTC scheme using position observers for a two-wheeler EV. The key contributions of this paper are outlined below.
(1) The paper presents a novel method of detecting position sensor faults based on signal processing, which compares real-time and delayed rotor speed feedback signals to generate residuals. Because there is no dependence on estimated quantities, position sensor faults can be detected over a wide speed range, including low speeds. The proposed scheme is simple, fast, and practical, making it suitable for real-world applications.
(2) This paper considers the occurrence of position sensor faults for an SPMSM-powered two-wheeler EV with typical vehicular disturbances such as bumpy and rough roads and sudden gusts of wind. A study of existing back-EMF observer-based approaches to FTC operation after fault detection is presented in this paper. The FTC performance of the system is compared between the sliding mode observer and the flux observer under dynamic EV conditions.
(3) This paper presents experimental results demonstrating signal-based position sensor FDI with an observer-based FTC scheme. Unlike the existing works [2,8,14,15] in this paper, a reduced-scale electric vehicle testbed is realized by applying field-oriented motor control techniques to coupled motor drive systems. This helps justify the proposed approach in a real-world EV environment.
The rest of the paper is arranged as follows. Section 2 addresses the identification and localization of position sensor malfunctions. Section 3 discusses the modeling of vehicles and PMSM dynamics. Section 4 describes the position sensor observer model and FTC structure for EV position sensors. The simulation and experimental outcomes are presented in Section 5 and Section 6. Finally, Section 7 outlines the primary implementation considerations, while Section 8 concludes the research.

2. Position Sensor Fault Prognosis

Before presenting the FDI algorithms, the impact of position sensor failures is evaluated on the SPMSM drive’s performance when using indirect field-oriented control.

2.1. Effect of Position Sensor Faults

This section presents the influence of position sensor faults on the performance of SPMSM drives. The speed sensor intermittent faults [8] are typically caused by bearing attrition and rotor eccentricity [15]. Sensor offset faults are usually caused by a malfunction of any sensor’s electrical component or an uncertain parametric variation in some operating condition [5]. On the occurrence of the intermittent or offset fault, a sudden shift in speed measurement is observed. In contrast, a total loss fault or complete sensor outage occurs when the electrical connection to the sensor is broken, or the sensor is completely damaged. Compared to the other sensor faults, a complete sensor outage is a more severe fault [11] that may result in control system failure and instability. This paper examines total loss faults, which are carried out in MATLAB-SIMULINK as outlined below: C o m p l e t e   o u t a g e   f a u l t : Ɵ m = Ɵ m × 0 . The riskiest position sensor fault is a total loss because the speed can no longer be controlled, as shown in Figure 1. At the fault moment, stator currents exceed the rated current, d-q axis rotor fluxes stop following their references, and electromagnetic torque increases indefinitely, resulting in drive instability.
The effects of the position sensor fault mentioned above are investigated under rated load, and the fault is activated at time = 3.5 s. The load is applied at time = 2.5 s.

2.2. Position Sensor Failure Detection

Usually, the speed fluctuation owing to a position sensor defect is quicker than that due to load torque, speed reference variation, or problems in other drive components [17]. In addition, the evolution of real-time MCUs and rapid current loop technologies have increased current loop bandwidth, resulting in a low sample time for current loop computation. Therefore, the current loop sampling time is much lower than the system’s mechanical time constant. In control systems, position and speed computations are often performed at the current loop sample time to balance accuracy and computation efficiency. From this perspective, detection might be accomplished by comparing just two subsequent speed data points whose difference is proportionate to the sampling interval. In our case, the current loop sample time is T s = 0.05   m s . The sensor fault detection flowchart is shown in Figure 2.
When the position sensor operates correctly, the speed at a sampling instant (k) will slightly differ from the preceding sample (k − 1). On the other hand, when the position sensors fail, the variance becomes much more significant. Regardless of speed direction, the absolute value of speed error is treated as the speed residual ( Ɛ r ) for further logical comparison concerning a predetermined threshold ( ω t h ). The speed residual is particularly high when the position sensor is defective and relatively modest otherwise. All impulses resulting from speed transients, load torque, and measurement noise are maintained below the preset threshold determined by trial and error tests. In fault detection and diagnosis of motors, detecting faults during low-speed operation or motor start up can be difficult due to small speed variations. To address this issue, the delay length used in the residual generation process can be extended to increase the residual sensitivity. Thus, the residual signal derived from previous time steps improves the system’s ability to detect small changes at low speed.
The FDIS is tested against variation in stator resistances (Rs) and stator inductance (Ls) at different load levels of 100%, 50%, and 0% in the absence of a sensor fault. Parameter variations are introduced by changing the parameters in the SPMSM model as R s = R s _ 0 + R s and L s = L s _ 0 + L s , where subindex 0 represents rated values, and R s and L s represent changes in stator resistances and inductances, respectively. Moreover, the FDIS is tested for delay variation (Td) at different speed levels of 100%, 50%, 10%, and 1% without a sensor fault. Maximum speed residual values at steady-state are acquired with each parameter variation and delay length, and are denoted by Ɛ r _ m a x .
The load level has no effect on the residual levels caused by variations in Rs and Ls, as shown in Figure 3a,b, respectively. Even in healthy sensor conditions, variations in both parameters have a negligible effect on fault residuals. Therefore, to prevent false fault detection, the threshold level ( ω t h ) is set sufficiently high. As shown in Figure 3c, residual sensitivity is low at very low speeds, but as the delay length increases, residual level increases. Instead of setting different thresholds for low and high speeds, the delay length at low speeds is varied for a wide speed range of fault detection. In our case, because Ts = 0.05   m s , a delay length of 3 suffices; Td = 3Ts. Hence, the overall speed threshold for the simulation model is chosen to be ω t h = 0.53 .
Figure 4 depicts the simulated results for the suggested method for detecting position sensor faults with a total loss under the scenario stated in the remark. Any sudden change in speed data generate an impulse that causes the FDI to create a fault flag (Fq).

3. Modeling of Vehicle Dynamics and PMSM

The vehicle dynamics are described in this section, followed by the PMSM model.

3.1. Modeling of Vehicle Dynamics

The driving power and energy required to ensure vehicle operation can be determined using the aerodynamics and mechanics of vehicles. A vehicle model that incorporates the road ( F w t ) load, i.e., all of the net force applied to the vehicle, such as acceleration ( F a r ), grading ( F g r ), rolling resistance ( F r r ), and aerodynamic drag ( F w d ), predicts the longitudinal dynamics of the vehicle [4], as shown in Figure 5.
F w t = F r r + F w d + F a r + F g r
The power ( P v ) needed to propel the EV at a speed of ν m/s, must account for the road load F w t , i.e.,
P ν = ν F w t
For each wheel drive in the motor reference, the mechanical equation is
T m = T B + T L + J d ω m dt
Here, T m is motor torque; T B accounts for windage and friction torque; T L accounts for load torque; and ω m is the mechanical speed of the motor.
Where using a reduction gear yields the following equation for each wheel’s speed and torque
ω w h e e l = ω m i t r T w h e e l = T m i t r η t r
Here, i t r is the gear ratio and η t r is transmission efficiency.
The load torque in motor referential is therefore obtained as
T L = T w h e e l i t r = r i t r F w t
Here, r is the wheel radius.

3.2. Modeling of PMSM

The electrical system model of an SPMSM can be expressed mathematically in a stationary reference frame (Figure 6), also known as the α–β frame [2]:
dI α dt dI β dt = 1 L s R s 0 0 R s I α I β + 1 L s u α u β 1 L s e α e β
Here, e α = ω e ψ f sin θ e and e β = ω e ψ f cos θ e are the back-EMFs in the α–β frame; u α u β T are stator voltages in the α–β frame; I α I β T are stator currents in the α–β frame; R s is the stator resistance; L s i s stator inductances; ω e is the rotor electrical speed; θ e is rotor electrical position; ψ f is the magnetic flux linkage; and P p is the number of pole pairs. It is assumed that the SPMSM is symmetric, and the harmonics of the magnet motive force are not taken into account. Since the variables in Equation (6) are unaffected by rotor position, α–β axis voltage equations are a viable solution for model-based sensorless control strategies.

4. Modeling and Designing Position Sensor FTC

This paper employs field-oriented control (FOC) [18] to regulate the speed and torque of an EV-grade 3 kW SPMSM in an electric two-wheeler [19]. Figure 7 shows the overall FTC scheme using a FOC setup and how the dynamics of the two-wheeler EV are accounted for in generating the motor load torque.
The reconfiguration module feeds the feedback controller either the estimated speed or the encoder speed based on the detection result, as discussed in Section 2.2. The control law that enforces speed tracking is designed as follows:
P I s p e e d = K p e ( τ ) + K i 0 t e ( τ ) d τ
Here, Kp, Ki > 0, and e(τ) = ω e _ r e f ω e e s t , i f   F q = 1 ω e _ r e f ω e ,       i f   F q = 0 .
Careful tuning [20] of the PI controller adds Kp and Ki to reduce the speed tracking error e(τ), and appropriate anti-windup mechanisms are important to ensure that the system can respond effectively to changes without becoming saturated. The observer estimates the position state based on current sensor measurements. Assuming the system is healthy during its initial drive operation, the observer’s finite-time convergence will lead to the post-fault decoupling between the controller and observer which ensures stability of the control system.

4.1. Flux Observer-Based Sensorless Operation

The back-EMF flux observer [21] can be derived from Equation (6) and expressed as follows:
ψ α β = H P F [ ( u α β R s I α β ) d t ] θ e _ e s t = tan 1 ψ β L s I β ψ α L s I α ω e _ e s t = d θ e _ e s t dt
Here, ψ α ψ β T are magnetic flux linkages in the α–β frame; θ e _ e s t is estimated rotor electrical position and ω e _ e s t is the estimated rotor electrical speed.
The high pass filter (HPF) is intended to eliminate flux integration’s zero drift with a low cutoff frequency. The back-EMF flux-based rotor position estimation technique utilizes fundamental components in the stationary reference frame, which, when loaded, has good anti-disturbance properties at high speeds. However, the back-EMF amplitude is negligible at the low-speed range, resulting in a poor signal-to-noise ratio. Hence, the estimation results are insufficiently robust to maintain system stability under loading conditions. The only factors that influence estimation results are the cohesion of samplings of electrical signals and the accuracy of machine parameters.

4.2. Sliding Mode Observer-Based Sensorless Operation

Sliding-mode observer (SMO) is utilized for estimating speed and position [22] due to its ease of implementation and tolerance to parameter variations [23]. In contrast to high-frequency signal injection methods, back-EMF-based sliding-mode observers are compatible with SPMSMs [24] and IPMSMs [25]. From Equation (6), the observer’s state equations can be expressed as
d   I α dt d   I β dt = 1 L s R s 0 0 R s   I α   I β + 1 L s u α u β 1 L s k H (   I α I α ) k H (   I β I β )
Here,   I α and   I β represent the estimated current of the (α–β) axis, respectively, and k is the observer gain. Unlike the signum function with a low-pass filter in standard SMO, H is a continuous sigmoid function that reduces the chattering effect. The sigmoid function is expressed as
H   I α H   I β = 2 1 + e μ i ˜ α 1 2 1 + e μ i ˜ β 1
Here,   I ˜ α =   I α I α and   I ˜ β =   I β I β represent the sliding surfaces (stator current error of the (α–β) axis, respectively). For a smooth slide transition between −1 and +1, the parameter is set as μ > 0. Since the sigmoid function’s gain is less than 1 in the transition area, the SMO stability requires k > 0. By comparing the actual and estimated back-EMF, the parameters μ and k can be adjusted through simulation. The sliding mode exists when the requirement S . i S i < 0 is satisfied, which indicates that S i 0 for t , S α =   I ˜ α , and S β =   I ˜ β . The sliding surface is described by
S i = S α S β T = I ˜ α I ˜ β T
Sliding mode existence can be established using the Lyapunov function candidate [22], defined as
V = 1 2 S i T S i = 1 2 S α 2 + S β 2
Derived from Equations (6) and (9), the error equations are as follows:
S . α S . β = I ˜ ˙ α I ˜ ˙ β = I ˙ α I . α I ˙ β I . β = 1 L s R s 0 0 R s   I α   I β + 1 L s e α e β 1 L s k H ( I ˜ α ) k H ( I ˜ β )
For the sliding mode to exist, V = S i T S ˙ i < 0 must be satisfied.
S i T S ˙ i = R s L s I ˜ α 2 + I ˜ β 2 + 1 L s e α I ˜ α k I ˜ α H ( I ˜ α ) + 1 L s e β I ˜ β k I ˜ β H ( I ˜ β ) < 0
The observer condition is so obtained as k max e α , e β . The following conditions satisfy the inequality in Equation (14)
k H ( I ˜ α ) = e α k H ( I ˜ β ) = e β
θ e _ e s t = tan 1 e α e β ω e _ e s t = d θ e _ e s t dt
However, the arctangent calculation is vulnerable to noise as it estimates the position based on back-EMF [24]. Phase-locked loops (PLLs) are preferable because they are designed with a low-pass characteristic. Due to the quadrature components [24], in the back-EMF of the SMO [23], a quadrature phase locked loop (QPLL) is suitable for estimating position and speed. The gains of the proportional and integral controller of the QPLL are obtained experimentally. However, the first-order proportional and integral (PI) controllers have tracking errors when machine speed varies. Hence, adopting the reference speed as the PLL’s center frequency decreases tracking error. If the deviation between the estimated and the actual positions is minimal, the following stands true:
A m sin θ e cos θ e _ e s t A m cos θ e sin θ e _ e s t = A m sin ( θ e θ e _ e s t ) A m Δ θ
The typical QPLL configuration is depicted in Figure 8, and its transfer function may be characterized as follows
θ e _ e s t θ e = K p s + K i s 2 + K p s + K i

5. Simulated FTC Performance Evolution for EVs

To demonstrate the speed tracking performance characteristic of the proposed position sensor FTC, high-fidelity software simulations are undertaken on a two-wheeler vehicle model built with MATLAB. This paper uses field-oriented control (FOC) to regulate the speed and torque of a 3 kW SPMSM in an electric two-wheeler [19]. A 48 V, 85 Ah battery powers the SPMSM drive via a 3-phase voltage source inverter (VSI). The VSI is operated with the SVPWM at a 20 kHz switching frequency. The SPMSM, VSI, and full-scale two-wheeler vehicle models are developed using physical modeling in MATLAB-SIMSCAPE, while the whole controller model and FDI model are developed using MATLAB-SIMULINK. The sliding mode observer and QPLL gains are selected to be k = 170 and Kp = 200, Ki = 100, respectively. The flux observer HPF frequency is set at 5.1863 Hz. The Table 1 and Table 2 list the parameters for the SPMSM and two-wheeler vehicle, respectively.
A vehicle’s ability to start and climb requires high torque production [26] at low speeds (i.e., strong overload performance). It must also exhibit operating ability throughout a broad speed range, particularly in the constant torque region and during high-speed cruising [19]. Without limiting the generality, the continued operation should be ensured whenever the incremental encoder malfunctions in any of these operational conditions [16].
Two critical scenarios are explored in this research with the EV in mind to replicate fault detection performance, and the dynamic response of the FTC for vehicle traction with PMSM drive during and after a position sensor fault. Several position sensor failures are discussed in [2,5,10]; however, this work focuses on the worst-case scenario. First, the vehicle is assumed to be driving on a dry sinusoidal road with a rough surface under windy disturbance. A sine-wave road profile [27] is established using the expression h t = H o sin 2 π D ν + r a n d o m ( 0 ; ± 0.005 ) ; where h(t) is the road’s vertical displacement over time, H o and D are sine-wave amplitude and cycle, respectively, and ν is vehicle speed down the road. The road profile is attained by selecting H o = 0.07 m and D = 5 m, as illustrated in Figure 9a.
Wind interference causes anomalous vehicle speed, resulting in uncontrolled driving; as a consequence, wind speed must be taken into account to investigate more detailed findings. The initial average operational headwind speed is considered to be 12 m/s. In this paper, the wind speed is allowed to be random and non-consistent between 9 m/s and 15 m/s. The wind disturbance model incorporates base, gust, ramp, and noise wind speed [28], as shown in Figure 9c.
Figure 10 depicts the simulation of the first scenario, which evaluates the resilience of the proposed method at a low speed of 380 r.p.m (10% of rated speed) in the presence of sinusoidal roadways, random headwind swings, and speed sensor failure. The position sensor fault is activated at time = 16 s. The moment the motor position sensor fault has been accurately identified using the FDI unit, as shown in Figure 10a, the corresponding sensorless position observer scheme will govern the motor speed control operation, as shown in Figure 10b which displays the related motor speed and its reference.
Figure 10c depicts the motor speed error. Thus, it is evident that both position observers can maintain field-oriented control within relatively small speed errors (<25 r.p.m) even in the presence of a malfunctioning position sensor. Due to the irregular sine-wave road profile and inconsistent wind speed variations, the load torque is sinusoidal and noisy, as seen in Figure 10d. The absolute position reached by the vehicle over the simulated time frame is given in Figure 10e, which shows continuous vehicle propulsion despite a position sensor fault at time = 16 s. Therefore, it is apparent that for the specified electric vehicle situation, the suggested FTC is highly effective and stable at low speeds for both observers.
According to International Organization for Standardization (ISO) 8608, which segregates roads into different classes based on standards of road roughness [29], a Class-D road roughness profile (Figure 9b) is created to investigate the vehicle performance for on-road simulation under faulty sensor conditions. Figure 11 depicts the second scenario, where the FTC is tested to see how well it works at high-speed ramp change on a rough road with random wind gusts. It follows a short-duration vehicle driving range with varying speed, such as those observed in typical drive cycles including the European-urban and extra-urban driving cycle (ECE + URL) published in [4].
Figure 11a depicts the speed residual, predefined speed threshold, and corresponding fault flag, which indicates the flawed measurement speed. Figure 11b shows the motor’s actual (reconfigured) speed and its reference in case of a position sensor malfunction. When a position sensor malfunction happens at time = 17 s, the sensorless controller engages (or switches to) the position observer speed. As shown in the magnified area of Figure 11b, there is a smooth transition between the sensor and the observer’s speed. The motor speed error is displayed in Figure 11c, where the maximum speed error attained by the sliding mode observer is 25 r.p.m, and by the flux observer is 30 r.p.m. However, the sliding mode observer outperforms the flux observer in post-fault acceleration and deacceleration. Rough roads and windy disturbances cause the noisy torque response shown in Figure 11d. Moreover, Figure 11e shows the vehicle’s absolute position over time. In addition, the proposed FTC technique gives a correct rotor speed in environmental noise, and thereby, the EV operates smoothly despite road profile roughness and random headwind swing.

6. FTC Experimental Verification

This section provides experimental evidence supporting the proposed FTC system’s capacity to recognize position sensor failure and control the drive in a real-time vehicle environment. This paper presents a testbench at a smaller scale for the motor control of a two-wheeler electric vehicle. Figure 12 illustrates the implementation of a scaled-down testbench for the motor control of an EV. The testbench comprises two coupled three-phase sinusoidal back-EMF SPMSMs (Teknic M-2310P-LN-04K), each with a built-in 1000P/R encoder, one representing the vehicle powertrain and the other producing the resistance force that the driving vehicle experiences. Therefore, the setup facilitates double-sided operation at the desired torque and speed.
The controller part is entirely coded in C programming using the MATLAB-embedded coder, and the host CPU receives the sensor data and system information through a real-time serial connection. Table 3 includes the parameters of the SPMSMs under test. The Texas Instruments (TI) C2000 series 200 MHz, 32-bit dual-core microcontroller LAUNCHXL-F28379D LaunchPad (Texas Instruments, Dallas, TX, USA) controls both the motors, which are connected to 2 independent 3-phase MOSFET inverters (BOOSTXL-DRV8305EVM). The SVPWM at a 20 kHz switching frequency is employed for operating both inverters. The current loop bandwidth is twenty times that of the speed loop bandwidth. The SMO and QPLL gains are set to k = 500 and Kp = 200, Ki = 100, respectively. The HPF frequency of the flux observer is 3.1 Hz. The controller settings for the speed control loop are Kp = 0.001, Ki = 0.05, and for the current control loop are Kp = 0.87, Ki = 1500. The experimental laboratory prototype setup is shown in Figure 13.
The short driving speed profile that the speed controller must follow is used to test the vehicle’s powertrain. This practical assessment tests the speed controller at different speeds and accelerations. In order to replicate the characteristics of a rolling car, the vehicle emulator calculates the resistive torque that the loading machine should apply. The FOC technique is used to regulate the torque of the loading machine. The calculation of resistive torque or load torque ( T L ) is based on a simple physical model with only two forces: inertia and air drag, assuming flat terrain. The linear motion equations are transformed into rotational motion by considering the wheel radius (r). From the motor speed ( ω m ), the load torque ( T L ) is generated according to Equation (19) with the vehicle parameters listed in Table 3. To match the specifications of the available motors, the vehicle parameters are scaled down from the actual parameters listed in Table 4.
T L = T i n e r t i a + T a i r _ d r a g = r i t r 2 M v d ω m dt + 0.5 sgn ( ω m ) ρ a C d A f r i t r ( ω m ) 2
Here, Mv is mass of the vehicle; ρa is the density of air; Cd is the coefficient of drag; and Af is the frontal area of the vehicle.
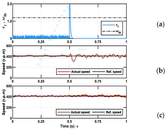
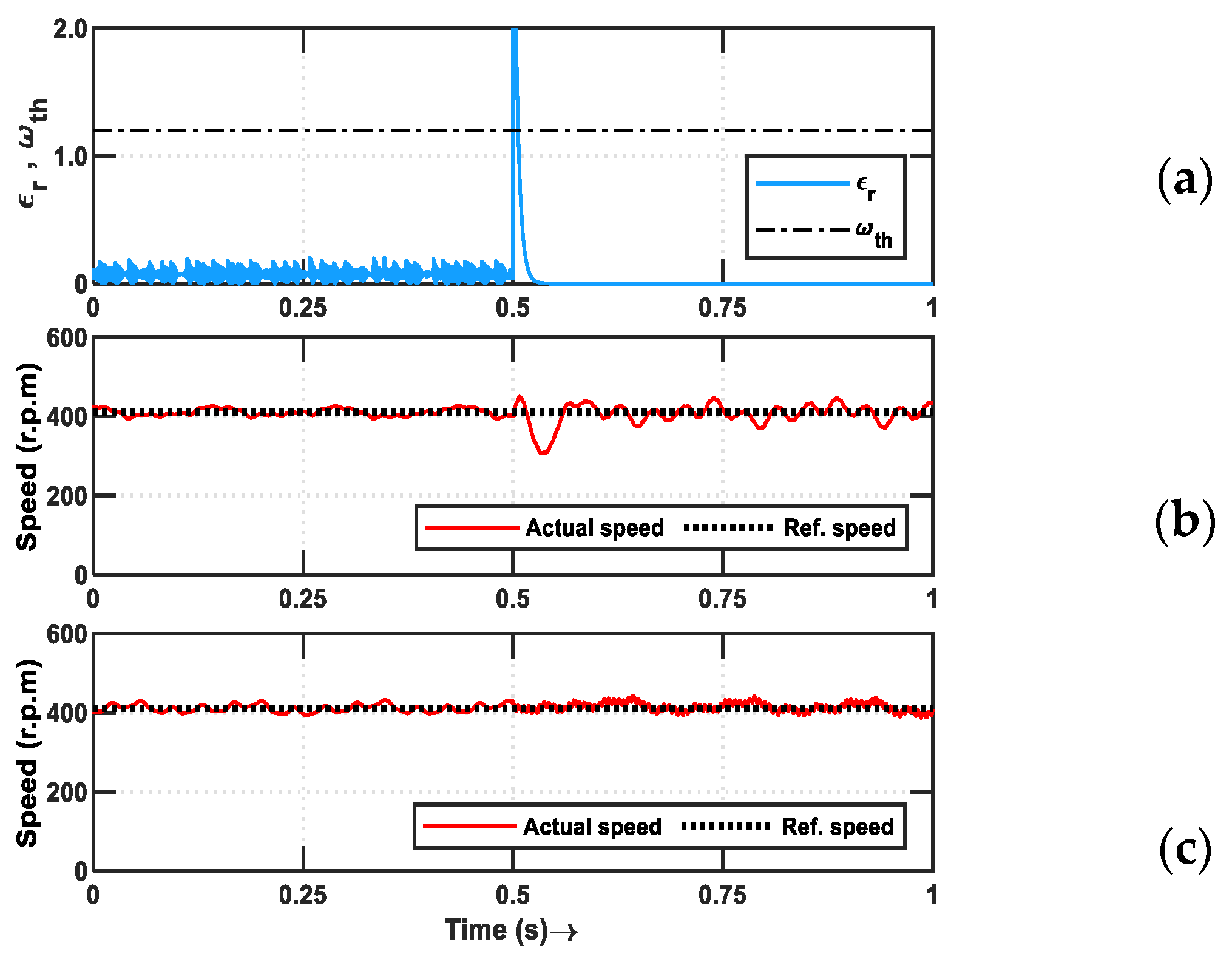
The speed threshold is set at ω t h = 1.23 for the experimental model. The proposed scheme for position sensor failure detection and FTC switching are verified when used with low-speed vehicle operation, as shown in Figure 14. A sudden position sensor break-line defect occurs at time = 0.5 s, resulting in a complete loss of position and speed information. Then, as shown in Figure 14a, the respective residual speed exceeds the specified threshold. Therefore, a position sensor fault is diagnosed when the residual speed ( Ɛ r ) is beyond the threshold value ( ω t h ). If the position sensor fault is detected, the motor drive may be kept running steadily by providing feedback with the estimated speed and position. The speed tracking performance of the flux observer is compared with that of the sliding mode observer for a constant speed reference profile at a low speed of 400.7 r.p.m (10% of rated speed). The actual and reference speeds for a flux observer and a sliding mode observer, respectively, are shown in Figure 14b,c. Although both observers can maintain speed tracking despite noisy current measurements, the sliding mode observer transitions to FTC more smoothly and significantly reduces speed ripples at low speeds because of its built-in disturbance rejection system.
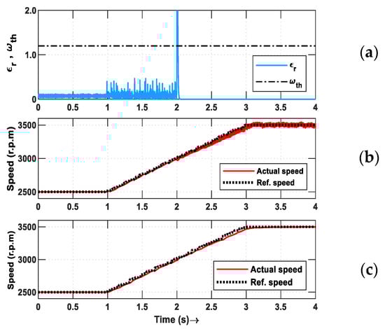
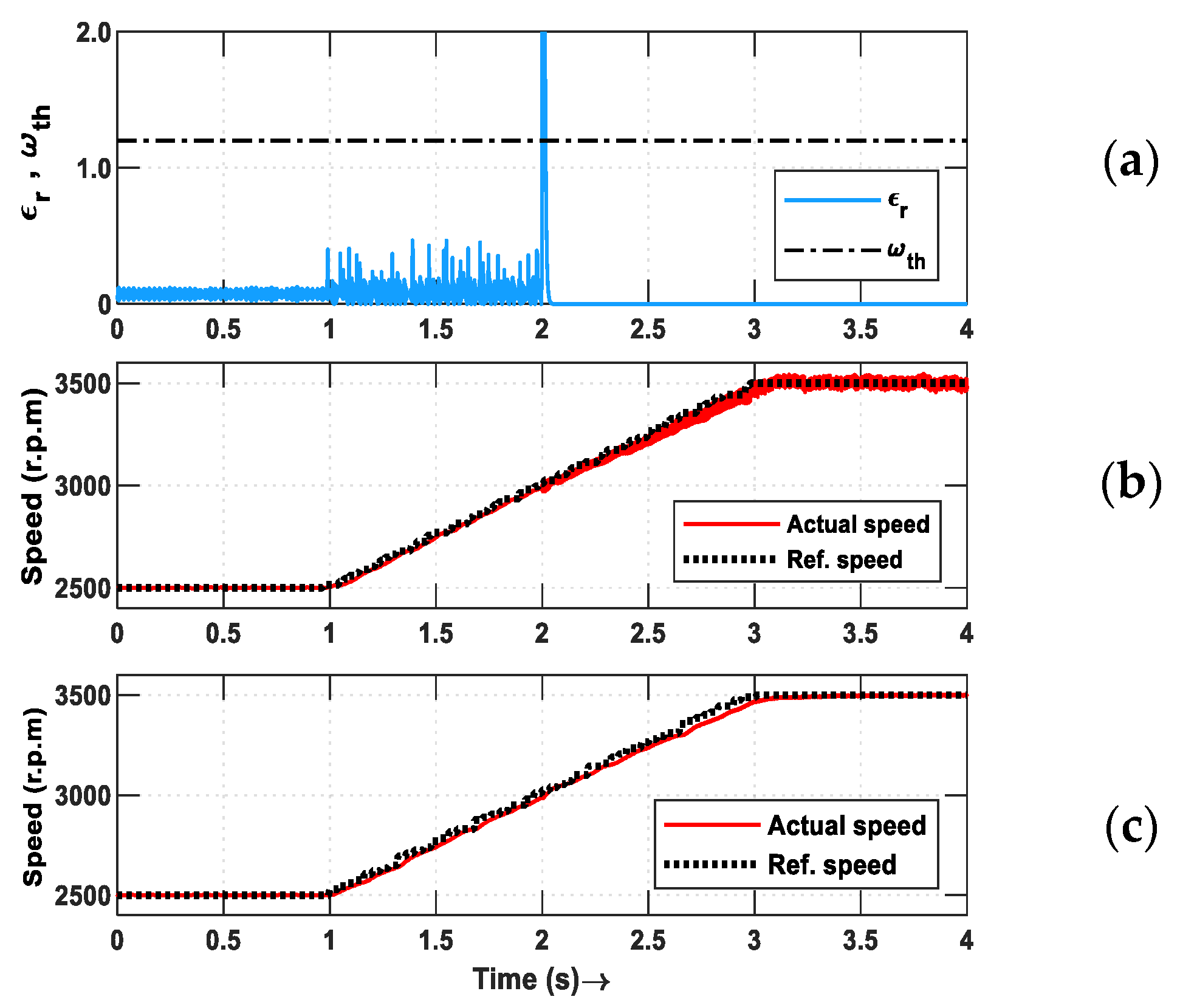
Furthermore, Figure 15 illustrates the position sensor fault diagnosis and comparative FTC system performance for ramped high-speed profiles changing between 2500 r.p.m and 3500 r.p.m for both observers. When a sudden position sensor fault occurs at time = 2 s, the immediate impulse in the residual speed surpasses the threshold level shown in Figure 15a. Each observer-based FTC system takes over to ensure stable operation as soon as the fault detection scheme identifies the position sensor failure, as shown in Figure 15b,c. It has been found that the sliding mode observer performs better than the flux observer when it comes to smooth sensorless operation transitions and reduced speed ripples to ensure sustainable operation.
It is noticeable that the motor parameter changes can be felt when going slowly with a heavy load, like when an EV is climbing a hill [7]. Figure 16 depicts the experimental results for post-fault transient response and speed estimation at 600 r.p.m with different parameter changes under rated loads. To represent the parameter fluctuations in the actual system, the control algorithm parameters are detuned in this experiment. Furthermore, multiple tests are undertaken to validate the robustness of the suggested fault detection and tolerant sensorless control by altering 40% of the motor parameters (Rs and Ls).
Figure 16a,b exhibits the detailed results for flux observer and sliding mode observer, respectively, for 40% parameter changes with a rated load. In all cases, the position sensor fault is activated at time = 0.5 s. From Figure 16a,b, the position sensor fault is successfully identified in all cases at time = 0.5 s, and switching to FTC in sensorless mode is favorable for both observers. Speed response oscillates at time = 0.5 s onwards as a result of the sensorless algorithm. However, relative to regular operation (without parameter variation), the influence of parameter variations on the FTC switching transient is more significant for the flux observer than for the sliding mode observer, as illustrated by Figure 16a,b. This is because the flux observer obtains rotor position information from the fundamental electromagnetic relationship of the PMSM, which is susceptible to motor parameters. Alternatively, the sliding mode observer is independent of SPMSM parameters and external disturbances owing to sliding mode theory; therefore, it can provide system stability and resilience. Additionally, using the nonlinear sigmoid function resolves the chattering problem of the sliding mode observer under dynamic sensor failure conditions. Additionally, as seen in Figure 16a,b, the stator resistance, which increases with temperature due to the stator winding current, considerably influences each observer’s estimate of speed.

7. Discussion

Electrifying the powertrain and chassis system improves controllability and flexibility but also increases the likelihood of sensor failure. Hence, fault-tolerant systems are designed to tolerate occurrences of faults while still functioning and allow the vehicle to come to a safe halt. This paper strives to give a comprehensive outlook of the position sensor, the fault detection, and the tolerant control approach for EV driving using two alternative position estimators in the presence of position sensor faults induced by common vehicular disturbances. The applicability of the back-EMF flux observer and the back-EMF sliding mode observer to control the drive without sacrificing stability is examined during and after the position sensor failure state. Since threshold value-based fault detection algorithms are sensitive to load factors, machine characteristics, load transients, and sample time, the threshold value is carefully chosen to prevent false warnings. Adaptive threshold is not necessary for the suggested fault detection technique to minimize complexity. The simulation and experimental works employ different threshold values based on motor ratings and loading factors in this paper. Therefore, observer and control parameters must be appropriately adjusted based on the speed, current control loop bandwidth, and motor speed response. It is worth noting that the observer gains are calibrated for a certain speed and perform well over a broad range. Table 5 shows the qualitative performance characteristics of the two position estimators analyzed in this paper. In addition, the proposed position sensor fault diagnosis method can also be used to identify offset and intermittent faults of the position sensor with the correct setting of a predetermined threshold. Table 6 provides a short overview of the current methods available as of this article. In addition, Table 7 compares different position sensor fault-tolerant techniques discussed in this article that have been used to improve the performance of PMSMs.

8. Conclusions

In an EV-connected PMSM drive system, the position sensor is critical for the motor’s reliability in delivering the torque required for EV propulsion. Therefore, the significance of the position sensor signal and the effect of total loss fault on the current feedback controller are analyzed. In this paper, when evaluating the fault-tolerant control performance of the system, both the sliding mode observer and the flux observer are taken into consideration for sensorless operation. Simulations and tests conducted on a short-range drive cycle have proven the effectiveness of the suggested position sensor FTC technique without losing stability. The FTC method effectively offers a straightforward setup with superior dynamic performance. Experimental validation results are also presented to justify the operation of the position sensor fault detection and fault tolerance control module for PMSM drive in a real-time EV environment. Both simulation and practical testing confirm that the position sensor fault is promptly detected within 0.05 ms and both the position observers quickly converge to position estimation and stability. Due to the very short fault-detection time, the impact of a position sensor failure on PMSM speed and torque response is negligible. No speed undershoot or overshoot is observed during and after the position sensor fault for the observer-based fault-tolerant operation. Because of this, the riding comfort and safety of electric vehicles powered by PMSM drives have been significantly enhanced. However, in the presence of vehicular disturbances, SMO outperforms FO during acceleration and deacceleration, particularly in terms of tracking and disturbance handling capability. In the future, we intend to test the proposed sensor fault detection method and tolerant control strategy to evaluate the fault-tolerant control performance of PMSM in the presence of lateral vehicle disturbances. Additionally, the effectiveness of advanced observers, such as the super twisting sliding mode observer, will be evaluated and compared under a variety of vehicular disturbances.

Author Contributions

Conceptualization, Methodology, Formal analysis, and Writing, review and editing S.S.; Investigation, Validation, Supervision U.K. All authors have read and agreed to the published version of the manuscript.

Funding

This research received no external funding.

Data Availability Statement

Not applicable.

Conflicts of Interest

The authors declare no conflict of interest.

References

  1. Sreejith, R.; Singh, B. Sensorless Predictive Current Control of PMSM EV Drive Using DSOGI-FLL Based Sliding Mode Observer. IEEE Trans. Ind. Electron. 2021, 68, 5537–5547. [Google Scholar] [CrossRef]
  2. Kommuri, S.K.; Defoort, M.; Karimi, H.R.; Veluvolu, K.C. A Robust Observer-Based Sensor Fault-Tolerant Control for PMSM in Electric Vehicles. IEEE Trans. Ind. Electron. 2016, 63, 7671–7681. [Google Scholar] [CrossRef]
  3. Tabbache, B.; Benbouzid, M.; Kheloui, A.; Bourgeot, J.-M.; Mamoune, A. An Improved Fault-Tolerant Control Scheme for PWM Inverter-Fed Induction Motor-Based EVs. ISA Trans. 2013, 52, 862–869. [Google Scholar] [CrossRef]
  4. Tabbache, B.; Benbouzid, M.E.H.; Kheloui, A.; Bourgeot, J.-M. Virtual-Sensor-Based Maximum-Likelihood Voting Approach for Fault-Tolerant Control of Electric Vehicle Powertrains. IEEE Trans. Veh. Technol. 2013, 62, 1075–1083. [Google Scholar] [CrossRef]
  5. Kuruppu, S.S.; Zou, Y. Static Position Sensor Bias Fault Diagnosis in Permanent Magnet Synchronous Machines via Current Estimation. IEEE/ASME Trans. Mechatron. 2021, 26, 888–896. [Google Scholar] [CrossRef]
  6. Tran, C.D.; Palacky, P.; Kuchar, M.; Brandstetter, P.; Dinh, B.H. Current and Speed Sensor Fault Diagnosis Method Applied to Induction Motor Drive. IEEE Access 2021, 9, 38660–38672. [Google Scholar] [CrossRef]
  7. Mwasilu, F.; Jung, J.-W. Enhanced Fault-Tolerant Control of Interior PMSMs Based on an Adaptive EKF for EV Traction Applications. IEEE Trans. Power Electron. 2016, 31, 5746–5758. [Google Scholar] [CrossRef]
  8. Jamil, M.U.; Kongprawechnon, W.; Chayopitak, N. Active Fault Diagnosis of a Switched Reluctance Motor Using Sliding Mode Observer and Average Torque Estimator for Light Electric Vehicle Applications. Int. Trans. Electr. Energy Syst. 2020, 30, e12602. [Google Scholar] [CrossRef]
  9. Bensalem, Y.; Abbassi, R.; Jerbi, H. Fuzzy Logic Based-Active Fault Tolerant Control of Speed Sensor Failure for Five-Phase PMSM. J. Electr. Eng. Technol. 2021, 16, 287–299. [Google Scholar] [CrossRef]
  10. Lee, D.; Akatsu, K. The Study on Sensor Fault Detection and Algorithm Transition Using Adaptive Threshold in Position Self-Sensing Control for IPMSM. IEEE Trans. Ind. Electron. 2021, 68, 10459–10466. [Google Scholar] [CrossRef]
  11. Verrelli, C.M.; Bifaretti, S.; Carfagna, E.; Lidozzi, A.; Solero, L.; Crescimbini, F.; Di Benedetto, M. Speed Sensor Fault Tolerant PMSM Machines: From Position-Sensorless to Sensorless Control. IEEE Trans. Ind. Appl. 2019, 55, 3946–3954. [Google Scholar] [CrossRef]
  12. Liu, Y.; Stettenbenz, M.; Bazzi, A.M. Smooth Fault-Tolerant Control of Induction Motor Drives With Sensor Failures. IEEE Trans. Power Electron. 2019, 34, 3544–3552. [Google Scholar] [CrossRef]
  13. Tabbache, B.; Rizoug, N.; Benbouzid, M.E.H.; Kheloui, A. A Control Reconfiguration Strategy for Post-Sensor FTC in Induction Motor-Based EVs. IEEE Trans. Veh. Technol. 2013, 62, 965–971. [Google Scholar] [CrossRef]
  14. Raisemche, A.; Boukhnifer, M.; Diallo, D. New Fault-Tolerant Control Architectures Based on Voting Algorithms for Electric Vehicle Induction Motor Drive. Trans. Inst. Meas. Control 2016, 38, 1120–1135. [Google Scholar] [CrossRef]
  15. Wang, Z.; Shao, J.; He, Z. Fault Tolerant Sensorless Control Strategy With Multi-States Switching Method for In-Wheel Electric Vehicle. IEEE Access 2021, 9, 61150–61158. [Google Scholar] [CrossRef]
  16. Medjmadj, S.; Diallo, D.; Pujol, A.A. Mechanical Sensor Fault-Tolerant Controller in PMSM Drive: Experimental Evaluation of Observers and Signal Injection for Position Estimation. Rev. Roum. Sci. Technol. Série Électrotechnique Énergétique 2021, 66, 77–83. [Google Scholar]
  17. Sepe, R.B.; Morrison, C.; Miller, J.M. Fault-Tolerant Operation of Induction Motor Drives with Automatic Controller Reconfiguration. Pract. Fail. Anal. 2003, 3, 64–70. [Google Scholar] [CrossRef]
  18. Saha, S.; Kar, U. Single Current Sensor Based Fault Tolerant Control of Interior Permanent Magnet Synchronous Machine for Drive Applications. Indones. J. Electr. Eng. Comput. Sci. 2022, 28, 674. [Google Scholar] [CrossRef]
  19. Murali, A.; Wahab, R.S.; Gade, C.S.R.; Annamalai, C.; Subramaniam, U. Assessing Finite Control Set Model Predictive Speed Controlled PMSM Performance for Deployment in Electric Vehicles. World Electr. Veh. J. 2021, 12, 41. [Google Scholar] [CrossRef]
  20. Kivanc, O.C.; Ozturk, S.B. Sensorless PMSM Drive Based on Stator Feedforward Voltage Estimation Improved With MRAS Multiparameter Estimation. IEEE/ASME Trans. Mechatron. 2018, 23, 1326–1337. [Google Scholar] [CrossRef]
  21. Inoue, Y.; Morimoto, S.; Sanada, M. Control Method Suitable for Direct Torque Control Based Motor Drive System Satisfying Voltage and Current Limitations. In Proceedings of the 2010 International Power Electronics Conference—ECCE ASIA, Sapporo, Japan, 21–24 June 2010; pp. 3000–3006. [Google Scholar]
  22. Ma, Z.; Zhang, X. FPGA Implementation of Sensorless Sliding Mode Observer With a Novel Rotation Direction Detection for PMSM Drives. IEEE Access 2018, 6, 55528–55536. [Google Scholar] [CrossRef]
  23. Gao, W.; Zhang, G.; Hang, M.; Cheng, S.; Li, P. Sensorless Control Strategy of a Permanent Magnet Synchronous Motor Based on an Improved Sliding Mode Observer. World Electr. Veh. J. 2021, 12, 74. [Google Scholar] [CrossRef]
  24. Zhang, Y.; Liu, J. An Improved Q-PLL to Overcome the Speed Reversal Problems in Sensorless PMSM Drive. In Proceedings of the 2016 IEEE 8th International Power Electronics and Motion Control Conference (IPEMC-ECCE Asia), Hefei, China, 22–26 May 2016; pp. 1884–1888. [Google Scholar]
  25. Gaolin, W.; Guoqiang, Z.; Dianguo, X. Rotor Position Estimation with Full-Order Sliding-Mode Observer for Sensorless IPMSM. In Proceedings of the 7th International Power Electronics and Motion Control Conference, Harbin, China, 2–5 June 2012; pp. 2577–2581. [Google Scholar]
  26. Shusheng, X.; Qiujie, S.; Baosheng, G.; Encong, Z.; Zhankuan, W. Research and Development of On-Board Hydrogen-Producing Fuel Cell Vehicles. Int. J. Hydrogen Energy 2020, 45, 17844–17857. [Google Scholar] [CrossRef]
  27. Song, B.-K.; An, J.-H.; Choi, S.-B. A New Fuzzy Sliding Mode Controller with a Disturbance Estimator for Robust Vibration Control of a Semi-Active Vehicle Suspension System. Appl. Sci. 2017, 7, 1053. [Google Scholar] [CrossRef]
  28. Tang, Y.; Dai, J.; Ning, J.; Dang, J.; Li, Y.; Tian, X. An Extended System Frequency Response Model Considering Wind Power Participation in Frequency Regulation. Energies 2017, 10, 1797. [Google Scholar] [CrossRef]
  29. Zhang, Q.; Hou, J.; Duan, Z.; Jankowski, Ł.; Hu, X. Road Roughness Estimation Based on the Vehicle Frequency Response Function. Actuators 2021, 10, 89. [Google Scholar] [CrossRef]
Figure 1. Effect of position sensor fault on stator current, rotor flux, torque, and speed.
Figure 1. Effect of position sensor fault on stator current, rotor flux, torque, and speed.
Wevj 14 00123 g001
Figure 2. Position sensor fault detection flowchart.
Figure 2. Position sensor fault detection flowchart.
Wevj 14 00123 g002
Figure 3. Maximum residual values under parameter variation. (a) Stator resistance variation at various load levels. (b) Stator inductance variation at various load levels. (c) Delay length variation at various speed levels.
Figure 3. Maximum residual values under parameter variation. (a) Stator resistance variation at various load levels. (b) Stator inductance variation at various load levels. (c) Delay length variation at various speed levels.
Wevj 14 00123 g003
Figure 4. Position sensor fault diagnosis.
Figure 4. Position sensor fault diagnosis.
Wevj 14 00123 g004
Figure 5. Forces acting on EV.
Figure 5. Forces acting on EV.
Wevj 14 00123 g005
Figure 6. Schematic diagram of PMSM.
Figure 6. Schematic diagram of PMSM.
Wevj 14 00123 g006
Figure 7. Schematic diagram of FTC system model.
Figure 7. Schematic diagram of FTC system model.
Wevj 14 00123 g007
Figure 8. Structure of QPLL.
Figure 8. Structure of QPLL.
Wevj 14 00123 g008
Figure 9. Vehicle disturbance profile. (a) Sine road profile with an irregular surface. (b) Uneven road profile with class-D road roughness. (c) Wind speed profile with disturbance.
Figure 9. Vehicle disturbance profile. (a) Sine road profile with an irregular surface. (b) Uneven road profile with class-D road roughness. (c) Wind speed profile with disturbance.
Wevj 14 00123 g009
Figure 10. FTC under a sine-wave road profile with disturbance, varying wind speed, and position sensor fault at time = 16 s. (a) Fault residual and its threshold and flag. (b) Speed reference and actual motor speed. (c) Motor speed error. (d) Motor torque. (e) Position traveled.
Figure 10. FTC under a sine-wave road profile with disturbance, varying wind speed, and position sensor fault at time = 16 s. (a) Fault residual and its threshold and flag. (b) Speed reference and actual motor speed. (c) Motor speed error. (d) Motor torque. (e) Position traveled.
Wevj 14 00123 g010
Figure 11. FTC under uneven road profile with class-D roughness, varying wind speed, and position sensor fault at time = 17 s. (a) Fault residual and its threshold and flag. (b) Speed reference and actual motor speed. (c) Motor speed error. (d) Motor torque. (e) Position traveled.
Figure 11. FTC under uneven road profile with class-D roughness, varying wind speed, and position sensor fault at time = 17 s. (a) Fault residual and its threshold and flag. (b) Speed reference and actual motor speed. (c) Motor speed error. (d) Motor torque. (e) Position traveled.
Wevj 14 00123 g011
Figure 12. Schematic of reduced-scale EV testbench.
Figure 12. Schematic of reduced-scale EV testbench.
Wevj 14 00123 g012
Figure 13. Experiment testbench. (a) Overall setup. (b) Coupled PMSM, inverter, and DSP.
Figure 13. Experiment testbench. (a) Overall setup. (b) Coupled PMSM, inverter, and DSP.
Wevj 14 00123 g013
Figure 14. Detection of position sensor fault in a constant speed profile, and position sensor fault at time = 0.5 s. (a) Speed residual and its threshold and flag. (b) Actual and reference speeds for flux observer. (c) Actual and reference speeds for sliding mode observer.
Figure 14. Detection of position sensor fault in a constant speed profile, and position sensor fault at time = 0.5 s. (a) Speed residual and its threshold and flag. (b) Actual and reference speeds for flux observer. (c) Actual and reference speeds for sliding mode observer.
Wevj 14 00123 g014
Figure 15. Detection of position sensor faults in a ramped speed profile, and position sensor fault at time = 2 s. (a) Speed residual and its threshold. (b) Actual and reference speeds for flux observer. (c) Actual and reference speeds for sliding mode observer.
Figure 15. Detection of position sensor faults in a ramped speed profile, and position sensor fault at time = 2 s. (a) Speed residual and its threshold. (b) Actual and reference speeds for flux observer. (c) Actual and reference speeds for sliding mode observer.
Wevj 14 00123 g015
Figure 16. Experiments with parameter variations at 600 r.p.m and position sensor fault at time = 0.5 s (a) for flux observer and (b) for sliding mode observer.
Figure 16. Experiments with parameter variations at 600 r.p.m and position sensor fault at time = 0.5 s (a) for flux observer and (b) for sliding mode observer.
Wevj 14 00123 g016
Table 1. Parameters of SPMSM (HPM3000B Golden Motor).
Table 1. Parameters of SPMSM (HPM3000B Golden Motor).
ParameterValueParameterValue
Flux linkage0.016412 V.sPole pairs4
Stator inductance0.06995 mHStator resistance0.85 ohm
Max motor speed6000 r/minDC link voltage48 V
Peak current85 ARated torque7 Nm
Power3 kWPeak torque25 Nm
Table 2. Parameters of vehicle model (two-wheeler).
Table 2. Parameters of vehicle model (two-wheeler).
ParameterValueParameterValue
Weight (Mv)120 kgFrontal area (Af)0.86 m2
Wheel radius (r)0.16 mAir density (ρa)1.2 kg/m3
Rolling resistance coef. (Cr)0.01Drag coef. (Cd)0.2
Velocity (ν)70 KmphGearbox ratio (itr)3.5
Table 3. Parameters of SPMSM (Teknic M-2310P-LN-04K).
Table 3. Parameters of SPMSM (Teknic M-2310P-LN-04K).
ParameterValueParameterValue
Flux linkage0.0409 V/HzPole pairs4
Stator inductance0.1569 mHStator resistance0.36 ohm
Max motor speed6000 r/minDC link voltage24 V
Peak current7.1 ARated torque0.2754 Nm
Table 4. Parameters of vehicle model (reduced scale).
Table 4. Parameters of vehicle model (reduced scale).
ParameterValueParameterValue
Weight (Mv)2 kgFrontal area (Af)0.15 m2
Wheel radius (r)0.16 mAir density (ρa)1.2 kg/m3
Motor speed (ωm)from the encoder angleDrag coef. (Cd)0.2
Velocity (ν)70 KmphGearbox ratio (itr)3.5
Table 5. Performance comparison of position observer.
Table 5. Performance comparison of position observer.
FeatureFOSMO
Complexity of DSP implementationLowerHigher
PI controller needed for position estimationNoYes
DSP execution timeLowerHigher
Rotor position errorLowLow
Maximum steady-state speed errorLowLow
Table 6. A comparison table with fault detection time and range of references.
Table 6. A comparison table with fault detection time and range of references.
ReferencesFault Detection TimeFault Detection RangeRemarks
[2]Not specified for the given resultMedium to high speedThe algorithm is dependent on the estimated quantity and fixed threshold
[8]Not specified for the given resultMedium to high speedThe algorithm is dependent on the estimated quantity and fixed threshold
[10]2.2 msMedium to high speedThe algorithm is dependent on the estimated quantity and adaptive threshold
[15]Not specified for the given resultLow to high speedThe algorithm is dependent on the estimated quantity
[6]3 msLow to high speedThe algorithm is independent of the estimated quantity and adaptive threshold
Proposed Scheme0.05–0.15 msLow to high speedThe algorithm is independent of the estimated quantity and fixed threshold
Table 7. A comparison table of FTC techniques.
Table 7. A comparison table of FTC techniques.
ReferencesFTC TechniqueFTC PerformanceRemarks
[7]PI regulator with adaptive EKF as position observer applied to PMSMNo speed undershoot during fault, no speed oscillation after fault, and wide-speed trackingComplex design and difficult hardware implementation
[2]PI regulator with HOSM as position observer applied to PMSMSpeed undershoot during fault, no speed oscillation after fault, and wide-speed trackingComplex observer gain design and easy hardware implementation
[15]PI regulator with BEMF observer with I-F control applied to PMSMSpeed undershoot during fault, small speed oscillation after fault, and wide-speed tracking performance have not been studiedSimple design and easy hardware implementation
[8]Torque and hysteresis current controllers with SMO as position observer applied to SRMSpeed undershoot during fault, no speed oscillation after fault, and wide-speed tracking performance have not been studiedSimple design and no practical testing has been carried out
Proposed Technique(a) PI regulator with Flux Observer as position observer applied to PMSMNo speed undershoot during fault, small speed oscillation after fault, and wide-speed trackingSimple design and easy hardware implementation
(b) PI regulator with SMO-QPLLL as position observer applied to PMSMNo speed undershoot during fault, no speed oscillation after fault, and wide-speed trackingSimple design and easy hardware implementation
Disclaimer/Publisher’s Note: The statements, opinions and data contained in all publications are solely those of the individual author(s) and contributor(s) and not of MDPI and/or the editor(s). MDPI and/or the editor(s) disclaim responsibility for any injury to people or property resulting from any ideas, methods, instructions or products referred to in the content.

Share and Cite

MDPI and ACS Style

Saha, S.; Kar, U. Signal-Based Position Sensor Fault Diagnosis Applied to PMSM Drives for Fault-Tolerant Operation in Electric Vehicles. World Electr. Veh. J. 2023, 14, 123. https://doi.org/10.3390/wevj14050123

AMA Style

Saha S, Kar U. Signal-Based Position Sensor Fault Diagnosis Applied to PMSM Drives for Fault-Tolerant Operation in Electric Vehicles. World Electric Vehicle Journal. 2023; 14(5):123. https://doi.org/10.3390/wevj14050123

Chicago/Turabian Style

Saha, Sankhadip, and Urmila Kar. 2023. "Signal-Based Position Sensor Fault Diagnosis Applied to PMSM Drives for Fault-Tolerant Operation in Electric Vehicles" World Electric Vehicle Journal 14, no. 5: 123. https://doi.org/10.3390/wevj14050123

APA Style

Saha, S., & Kar, U. (2023). Signal-Based Position Sensor Fault Diagnosis Applied to PMSM Drives for Fault-Tolerant Operation in Electric Vehicles. World Electric Vehicle Journal, 14(5), 123. https://doi.org/10.3390/wevj14050123

Article Metrics

Back to TopTop