Current Control Method of Vehicle Permanent Magnet Synchronous Motor Based on Active Disturbance Rejection Control
Abstract
:1. Introduction
2. Design and Improvement of ADRC Current Regulator
2.1. Traditional ADRC Current Regulator
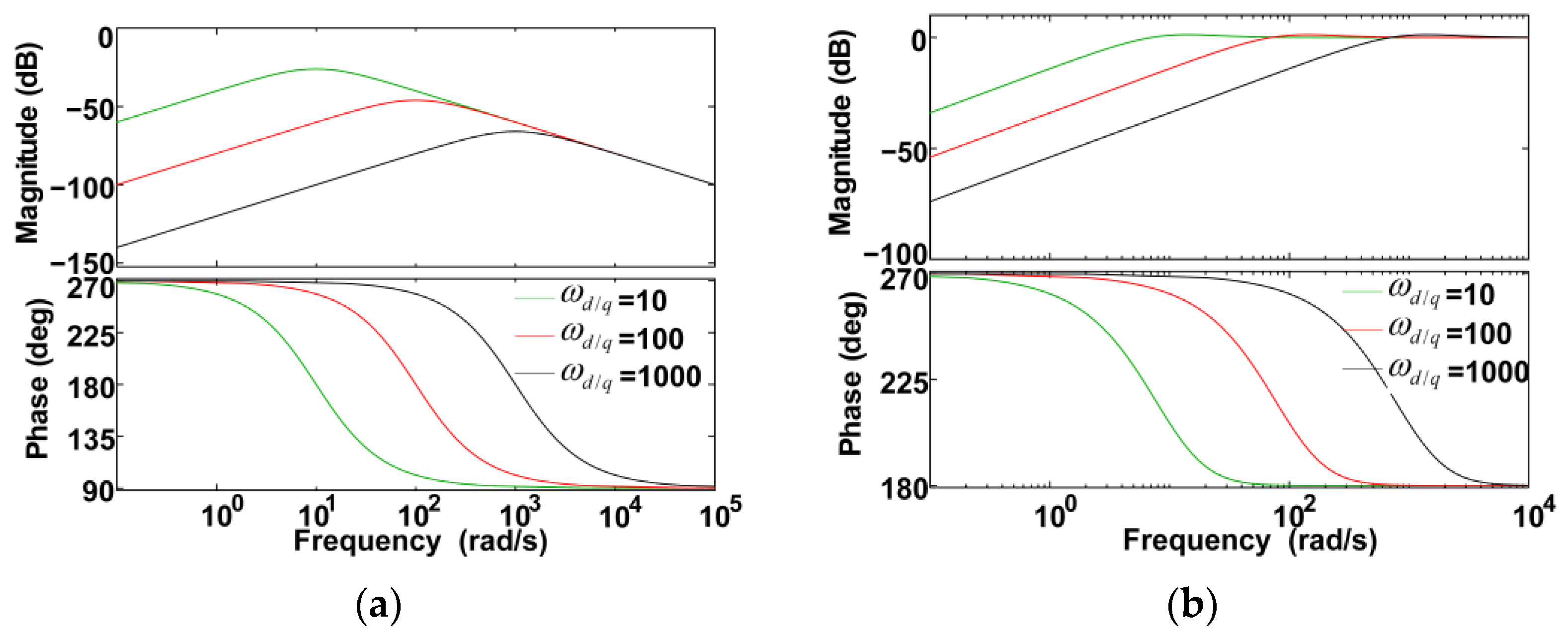
2.2. Observation Error Compensation
2.3. Utilization of Model Information
2.4. Anti-Windup
3. Simulation Analysis
3.1. Establishment of Simulink Model
3.2. Analysis of Simulation Results
4. Bench Test
4.1. Introduction to the Test Bench
4.2. Analysis of Test Results
4.2.1. Torque Step Test
4.2.2. Dynamic Test
5. Discussion
- (1)
- Compared with reference [11], the proposed algorithm in this paper has fewer parameters to be tuned, less computational effort, and is more suitable for engineering application;
- (2)
- Compared with [12,14], this paper pays more attention to the robustness of the current regulator when the motor parameters change. First, the robustness of the ADRC current regulator when the motor parameters change during operation is verified through simulation, and through bench experiments, a variety of working conditions are designed for this verification;
- (3)
- (4)
- In order to improve the safety of the algorithm under extreme operating conditions, the anti-windup measures of ADRC are also designed and bench tested under high dynamic conditions, which has not been found in the existing research on ADRC as PMSM current regulator.
- (1)
- Although according to the literature [16], the two gains of LESO can be expressed in the form of observer bandwidth, which reduces the number of parameters to a certain extent. However, compared with PI current regulator, ADRC still has more parameters to be tuned, which limits the application of ADRC to a certain extent. Finding a simpler parameter tuning method is the focus of the next research;
- (2)
- When ADRC is applied to some occasions with high system bandwidth (such as high-speed motors), in order to obtain faster convergence speed and higher observation accuracy, the bandwidth of LESO will inevitably be tuned to a larger value, which will lead to the reduction of noise suppression ability. Therefore, how to reduce the noise impact when the LESO gain is large will be the focus of future research.
6. Conclusions
- (1)
- The performance of LESO is analyzed using the frequency domain method, and the traditional ADRC algorithm is improved in three aspects: observation error compensation, model information utilization and anti windup;
- (2)
- The simulation results show that the improved ADRC current regulator is more robust than the PI current regulator when the parameters change;
- (3)
- The bench test results show that the improved ADRC current regulator has a fast step response without overshoot, good tracking performance and robustness when the load changes and the parameters change. In addition, the anti-windup performance is also verified.
Author Contributions
Funding
Data Availability Statement
Conflicts of Interest
Appendix A

Appendix B
| Speed/r·min−1 | ||||||
|---|---|---|---|---|---|---|
| 0 | 250 | 250 | 200 | 200 | 1618 | 507 |
| 200 | 250 | 250 | 200 | 200 | ||
| 400 | 250 | 250 | 200 | 200 | ||
| 600 | 250 | 250 | 200 | 200 | ||
| 800 | 400 | 400 | 200 | 200 | ||
| 1000 | 450 | 450 | 200 | 200 | ||
| 1200 | 500 | 500 | 200 | 200 | ||
| 1400 | 500 | 500 | 200 | 200 | ||
| 1600 | 500 | 500 | 100 | 100 | ||
| 1800 | 500 | 500 | 100 | 100 | ||
| 2000 | 500 | 500 | 50 | 50 | ||
| 2200 | 500 | 500 | 50 | 50 | ||
| 2400 | 500 | 500 | 50 | 50 | ||
| 2600 | 500 | 500 | 50 | 50 | ||
| 2800 | 650 | 650 | 25 | 25 | ||
| 3000 | 650 | 650 | 25 | 25 |
References
- Wang, G.; Yang, R.; Xu, D. DSP-Based Control of Sensorless IPMSM Drives for Wide-Speed-Range Operation. IEEE Trans. Ind. Electron. 2011, 60, 720–727. [Google Scholar] [CrossRef]
- Kim, S.; Ha, J.; Sul, S. PWM Switching Frequency Signal Injection Sensorless Method in IPMSM. IEEE Trans. Ind. Appl. 2012, 48, 1576–1587. [Google Scholar] [CrossRef]
- Li, X.; Tian, W.; Gao, X.; Yang, Q.; Kennel, R. A Generalized Observer-Based Robust Predictive Current Control Strategy for PMSM Drive System. IEEE Trans. Ind. Electron. 2022, 69, 1322–1332. [Google Scholar] [CrossRef]
- Mohamed, Y.; El-Saadany, E. A Current Control Scheme with an Adaptive Internal Model for Torque Ripple Minimization and Robust Current Regulation in PMSM Drive Systems. IEEE Trans. Energy Convers. 2008, 23, 92–100. [Google Scholar] [CrossRef]
- Jin, H.; Lee, J. An RMRAC Current Regulator for Permanent-Magnet Synchronous Motor Based on Statistical Model Interpretation. IEEE Trans. Ind. Electron. 2009, 56, 169–177. [Google Scholar]
- Gao, Y.; Wu, Y.; Wang, X. Characteristic Model-based Adaptive Control with Genetic Algorithm Estimators for Four-PMSM Synchronization System. Int. J. Control Autom. 2020, 18, 1605–1616. [Google Scholar] [CrossRef]
- Wang, Y.; Feng, Y.; Zhang, X. A new reaching law for antidisturbance sliding-mode control of PMSM speed regulation system. IEEE Trans. Power Electron. 2019, 35, 4117–4126. [Google Scholar] [CrossRef]
- Wu, J.; Wu, H. Permanent magnet synchronous motor position sensorless control with current disturbance compensation. Electr. Mach. Contrl. 2020, 24, 80–86+95. [Google Scholar]
- Deng, F.; Guan, Y. PMSM Vector Control Based on Improved ADRC. In Proceedings of the 2018 IEEE International Conference of Intelligent Robotic and Control Engineering, Lanzhou, China, 18 October 2018. [Google Scholar]
- Zhu, L.; Zhang, G.; Jing, R. Nonlinear Active Disturbance Rejection Control Strategy for Permanent Magnet Synchronous Motor Drives. IEEE Trans. Energy Convers. 2022, 37, 2119–2129. [Google Scholar] [CrossRef]
- Lin, P.; Wu, Z.; Liu, K. A Class of Linear–Nonlinear Switching Active Disturbance Rejection Speed and Current Controllers for PMSM. IEEE Trans. Power Electron. 2021, 36, 14366–14382. [Google Scholar] [CrossRef]
- Zhao, R.; Yan, J. Current Loop Controller Design Based on Active Disturbance Rejection Control. Micromotors 2019, 52, 41–47. [Google Scholar]
- Tian, M.; Wang, B.; Yu, Y. Discrete-Time Repetitive Control-Based ADRC for Current Loop Disturbances Suppression of PMSM Drives. IEEE Trans. Ind. Inform. 2022, 18, 3138–3149. [Google Scholar] [CrossRef]
- Ren, L.; Zhang, X. Research on current loop control of permanent magnet synchronous motor based on sliding mode auto-disturbance rejection. Electr. Measur. Technol. 2019, 42, 14–18. [Google Scholar]
- Yang, Z.; Shang, F.; Brown, I. Comparative study of interior permanent magnet, induction, and switched reluctance motor drives for EV and HEV applications. IEEE Trans. Transp. Electrif. 2015, 1, 245–254. [Google Scholar] [CrossRef]
- Gao, Z. Scaling and Bandwidth-Parameterization Based Controller Tuning. In Proceedings of the American Control Conference, Minneapolis, MN, USA, 6 June 2003. [Google Scholar]
- Wan, H. Absolute Stability Analysis of Active Disturbance Rejection Controller. J. Shanghai Univ. Electr. Power 2011, 27, 507–511. [Google Scholar]
- Gao, Y.; Zhao, H.; Ma, K. Control Design for Current Loop of PMSM Using A Modified Model-Compensation ADRC Controller. In Proceedings of the Chinese Control Conference, Shenyang, China, 29 July 2020. [Google Scholar]
- Tan, L.; Pham, T. Optimal Tracking Control for PMSM With Partially Unknown Dynamics, Saturation Voltages, Torque, and Voltage Disturbances. IEEE Trans. Ind. Electron. 2022, 69, 3481–3491. [Google Scholar]
- Huang, Z.; Liu, Y. Improved PI Regulator with Integral Separation for Permanent Magnet Synchronous Motor Control. In Proceedings of the IEEE Student Conference on Electric Machines and Systems, Hangzhou, China, 3 December 2021. [Google Scholar]
- Yang, J. Integral saturation in digital PID control. Huadian Technol. 2008, 30, 64–67. [Google Scholar]
- Shi, W.; Yan, J.; Luo, R. Linear active disturbance rejection control for mobile robot with input saturation. In Proceedings of the Chinese Control Conference, Wuhan, China, 27 July 2018. [Google Scholar]
- Zhou, H.; Tan, W. Anti-windup schemes for linear active disturbance rejection control. Control. Theory Appl. 2014, 31, 1457–1463. [Google Scholar]
- Tan, W.; Zhou, H.; Fu, C. Linear active disturbance rejection control for load frequency control of power systems. Control. Theory Appl. 2013, 30, 1580–1588. [Google Scholar]












| Parameter Name | Parameter Value |
|---|---|
| Number of phases | 3 |
| Rated DC voltage/V | 540 |
| Rated/peak power/kW | 130/260 |
| Rated/peak current/Arms | 230/525 |
| Rated/peak speed/(r·min−1) | 1350/3000 |
| Rated/peak torque/N·m | 955/2800 |
| Rated d-axis inductance/mH | 0.618 |
| Rated q-axis inductance/mH | 0.197 |
| Flux linkage/Wb | 0.344 |
| Stator resistance/Ω | 0.035 |
| Number of pole pairs | 6 |
Disclaimer/Publisher’s Note: The statements, opinions and data contained in all publications are solely those of the individual author(s) and contributor(s) and not of MDPI and/or the editor(s). MDPI and/or the editor(s) disclaim responsibility for any injury to people or property resulting from any ideas, methods, instructions or products referred to in the content. |
© 2022 by the authors. Licensee MDPI, Basel, Switzerland. This article is an open access article distributed under the terms and conditions of the Creative Commons Attribution (CC BY) license (https://creativecommons.org/licenses/by/4.0/).
Share and Cite
Wang, J.; Miao, Q.; Zhou, X.; Sun, L.; Gao, D.; Lu, H. Current Control Method of Vehicle Permanent Magnet Synchronous Motor Based on Active Disturbance Rejection Control. World Electr. Veh. J. 2023, 14, 2. https://doi.org/10.3390/wevj14010002
Wang J, Miao Q, Zhou X, Sun L, Gao D, Lu H. Current Control Method of Vehicle Permanent Magnet Synchronous Motor Based on Active Disturbance Rejection Control. World Electric Vehicle Journal. 2023; 14(1):2. https://doi.org/10.3390/wevj14010002
Chicago/Turabian StyleWang, Jinyu, Qiang Miao, Xiaomin Zhou, Lipeng Sun, Dawei Gao, and Haifeng Lu. 2023. "Current Control Method of Vehicle Permanent Magnet Synchronous Motor Based on Active Disturbance Rejection Control" World Electric Vehicle Journal 14, no. 1: 2. https://doi.org/10.3390/wevj14010002
APA StyleWang, J., Miao, Q., Zhou, X., Sun, L., Gao, D., & Lu, H. (2023). Current Control Method of Vehicle Permanent Magnet Synchronous Motor Based on Active Disturbance Rejection Control. World Electric Vehicle Journal, 14(1), 2. https://doi.org/10.3390/wevj14010002
