Next Article in Journal
Deep Learning Framework for Advanced De-Identification of Protected Health Information
Previous Article in Journal
Blockchain and Artificial Intelligence for Decentralized Edge Environments
 
 
Font Type:
Arial Georgia Verdana
Font Size:
Aa Aa Aa
Line Spacing:
Column Width:
Background:
Article

Advanced Optimization Algorithm Combining a Fuzzy Inference System for Vehicular Communications

by
Teguh Indra Bayu
1,
Yung-Fa Huang
2,*,
Jeang-Kuo Chen
3,
Cheng-Hsiung Hsieh
4,*,
Budhi Kristianto
1,
Erwien Christianto
1 and
Suharyadi Suharyadi
1
1
Faculty of Information Technology, Satya Wacana Christian University, Salatiga 50711, Indonesia
2
Department of Information and Communication Engineering, Chaoyang University of Technology, Taichung 413310, Taiwan
3
Department of Information Management, Chaoyang University of Technology, Taichung 413310, Taiwan
4
Department of Computer Science and Information Engineering, Chaoyang University of Technology, Taichung 413310, Taiwan
*
Authors to whom correspondence should be addressed.
Future Internet 2025, 17(1), 46; https://doi.org/10.3390/fi17010046
Submission received: 23 December 2024 / Revised: 10 January 2025 / Accepted: 17 January 2025 / Published: 20 January 2025

Abstract

The use of a static modulation coding scheme (MCS), such as 7, and resource keep probability ( P r k ) value, such as 0.8, was proven to be insufficient to achieve the best packet reception ratio (PRR) performance. Various adaptation techniques have been used in the following years. This work introduces a novel optimization algorithm approach called the fuzzy inference reinforcement learning (FIRL) sequence for adaptive parameter configuration in cellular vehicle-to-everything (C-V2X) mode-4 communication networks. This innovative method combines a Sugeno-type fuzzy inference system (FIS) control system with a Q-learning reinforcement learning algorithm to optimize the PRR as the key metric for overall network performance. The FIRL sequence generates adaptive configuration parameters for P r k and MCS index values each time the Long-Term Evolution (LTE) packet is generated. Simulation results demonstrate the effectiveness of this optimization algorithm approach, achieving up to a 169.83% improvement in performance compared to static baseline parameters.

1. Introduction

Vehicular communication is a vital element of modern transportation systems, enabling vehicles to exchange information with each other and the surrounding infrastructure to support safe and efficient driving. This communication is facilitated through two primary approaches [1]. The first approach utilizes existing cellular network infrastructure, employing technologies such as cellular vehicle-to-everything (C-V2X) Mode 3 or NR-V2X Mode 1 to enable vehicle-to-everything (V2X) communication via the network. The second approach, known as C-V2X Mode 4 or NR-V2X Mode 2, allows for vehicles to communicate ad hoc without relying on cellular networks. This direct communication is particularly advantageous in scenarios where cellular networks are unavailable or unreliable, such as in remote regions or during natural disasters, highlighting its flexibility and practicality. Each approach has distinct advantages and limitations, and the choice between them depends on factors such as cellular network availability, network reliability, device costs, and specific communication requirements [2].
Distributed congestion control plays a vital role in C-V2X communication, with real-time implementation recognized as a practical approach. In particular, the real-time adaptation of the MCS has been identified as a key mechanism to facilitate congestion control. This method has been supported by both 3GPP standards and various academic studies as a viable solution, particularly for managing the transmission of packets with varying sizes [3]. While alternative methods may offer greater efficiency in certain contexts, real-time MCS adaptation remains valuable in specific scenarios [4,5].
The studies conducted by the authors of references [6,7] have explored the potential of MCS adaptation as a congestion management tool in C-V2X Mode 4. Their research suggests that real-time MCS adaptation could contribute to the distribution of congestion control and facilitate the transmission of diverse packet sizes. However, these authors emphasize the necessity of comprehensively examining the potential ramifications of integrating this mechanism into C-V2X SB-SPS operations to safeguard against any adverse effects on overall system performance. While they posit that elevating the MCS may alleviate congestion, they also caution that such an approach could lead to performance degradation. Consequently, the researchers underscore the critical importance of a thorough evaluation of all viable solutions prior to implementation to ensure optimal outcomes in C-V2X Mode 4 congestion management.
The study presented by [8] offers a comprehensive examination of congestion management techniques in C-V2X communication, focusing on the impacts of various MCS configurations on C-V2X performance under vehicular congestion scenarios. However, it is crucial to note that this research employs static MCS configurations throughout the simulations, lacking an in-depth analysis of dynamic MCS adaptation for congestion management. This limitation is particularly significant when considering the standards set forth by the European Telecommunications Standards Institute (ETSI), which mandate dynamic MCS adaptation during continuous transmissions based on real-time channel congestion conditions [9]. The absence of this dynamic adaptation in the study highlights a potential area for further research to align more closely with practical implementation requirements and industry standards.
The application of MCS adaptability in C-V2X communication has emerged as a significant area of research, extending beyond the scope of the widely used 802.11p vehicular standard [10]. Recent studies indicate that MCS adaptability in C-V2X has the potential to enhance the reliability and efficiency of vehicle-to-infrastructure communication by dynamically adjusting to varying network conditions [11]. This technology’s capacity to select optimal modulation and coding schemes in response to changing environments promises to significantly improve connected vehicles’ safety, comfort, and efficiency. MCS adaptation has demonstrated effectiveness in enhancing broadcast transmission efficiency through dynamic adjustments to channel conditions. Furthermore, researchers have emphasized the crucial role of MCS adaptability in vehicle unicast transmissions, a key feature of New Radio V2X (NR-V2X), as defined in 5G Release 16 [2]. These advancements in MCS adaptability for C-V2X systems represent a promising direction for future research and development in vehicular communication technologies [12].
Q-learning, while a powerful reinforcement learning technique, faces several limitations in C-V2X scenarios. One significant challenge is the curse of dimensionality, which arises when jointly considering multi-dimensional resources in complex vehicular networks [13]. These multi-dimensional resources can lead to an explosion in the stateaction space, making it computationally intractable to explore all possible combinations. Additionally, Q-learning struggles with stability and convergence issues when using non-linear approximations like deep neural networks, potentially resulting in divergence or oscillations [14]. The algorithm also tends to produce over-optimistic value estimations because the max operator selects and evaluates actions using the same values [15]. Despite these limitations, Q-learning offers several advantages in C-V2X applications. It can effectively learn optimal policies in dynamic environments without requiring a complete model of the system [13,14]. Q-learning’s ability to balance exploration and exploitation through techniques like ε-greedy allows for it to adapt to changing network conditions [15]. Furthermore, when combined with deep learning techniques, such as in Deep Q-Networks (DQN), it can automatically extract relevant features and handle high-dimensional state spaces [16]. Experience replay, and target networks in DQN variants help stabilize learning and improve sample efficiency [15]. These advantages make Q-learning a promising approach for tackling complex resource allocation and decision-making problems in C-V2X scenarios, mainly when dealing with partially observable or unknown system dynamics [17].
The application of Fuzzy technology in dynamic resource management, specifically through Fuzzy Matching Learning, has been reported to enhance the efficiency and effectiveness of resource allocation by considering a more comprehensive range of factors and variables relevant to a given context [18]. This technique enables identifying and allocating resources based on non-binary or non-deterministic rules and criteria. Furthermore, an integrated resource management mechanism has been implemented in a C-V2X environment, prioritizing the Quality-of-Forwarding (QoF) mechanism [19]. This approach aims to ensure high-quality and reliable data transmission between vehicles, thereby enhancing the performance of C-V2X systems and enabling safer and more efficient vehicular communication. Integrating these advanced technologies in resource management and vehicular communication systems represents a significant step towards optimizing resource allocation and improving the efficiency of intelligent transportation systems.
This study investigates the impact of MCS adaptation on resource allocation in C-V2X networks, with a particular focus on maintaining the efficacy of SB-SPS. The researchers conduct a comprehensive analysis and precise modeling of the performance implications of MCS adaptation and P r k value adjustments. The authors propose a novel approach integrating reinforcement learning, specifically the Q-learning algorithm, with the Sugeno Fuzzy Inference System (FIS) to optimize the MCS index based on current environmental conditions. This combination enhances the accuracy and adaptability of the reinforcement learning algorithm. The study offers significant contributions to the field by providing valuable insights into the effects of MCS adaptation on resource allocation and presenting a robust optimization methodology for C-V2X networks. Figure 1 depicts the overall simulation scenarios carried out in this work. The vehicles will be randomly loaded into the highway environment, with the following lane directions. Each vehicle that exits, the highway boundary will not be looped back into the scenario.
The authors’ work lays the foundation for further research and practical applications in improving the performance and efficiency of vehicular communication systems. In general, the main contributions in this work can be described as follows:
  • We conducted several simulations based on several reference works and showed that static MCS and P r k values had not achieved optimal performance;
  • We proposed the novel fuzzy interface reinforcement learning (FIRL) optimization approach to enhance the PRR performance;
  • We conduct simulations with various vehicles representing traffic congestion, ranging from 100 to 400;
  • Performance metric used in this work is PRR, and for investigating the performance of the proposed FIRL approach, comparisons of the results with the static MCS index and P r k are conducted.
The remainder of the paper can be explained as follows: Section 2 describes the explanation of the technology. Section 3 describes the proposed FIRL approach. Section 4 describes the simulation configuration and simulation results. Section 5 provides the conclusion of this work.

2. System Models

Vehicular communication, a burgeoning field in automotive technology, facilitates inter-vehicle communication through innovative methods such as sidelink communication. This direct vehicle-to-vehicle communication paradigm operates independently of centralized infrastructure, employing sensing-based semi-persistent scheduling (SB-SPS) for efficient resource allocation and management. SB-SPS enables vehicles to designate communication resources for specific time and frequency intervals while allowing for dynamic adjustments in transmission power and modulation and coding scheme (MCS). These adaptive capabilities empower vehicles to optimize their communication strategies in response to varying environmental conditions, such as increasing transmission power during traffic congestion to maintain reliable communication or modifying the MCS to maximize throughput for large data transfers. The inherent flexibility of this system enables vehicles to navigate diverse communication scenarios, ultimately achieving optimal performance in a wide range of operational contexts [19].

2.1. C-V2X Mode 4

In C-V2X Mode 4, vehicles exhibit autonomous functionality by operating independently of cellular infrastructure. This autonomy extends to resource allocation decisions facilitated by the SB-SPS method introduced in Release 14 [20]. The SPS mechanism enables vehicles to autonomously reserve specific resources for a variable number of consecutive packet transmissions before relinquishing them. The duration of this resource reservation, known as the holding period, is determined by the packet transmission frequency (λ) and is expressed as a random value within a predefined range. For example, when λ is set to 10 Hz, 20 Hz, or 50 Hz, the corresponding holding periods are randomly selected from the ranges of 5–15, 10–30, and 25–75 transmission intervals, respectively [20]. In vehicular resource allocation, a sophisticated mechanism is employed when additional resources are required. The vehicle initiates this process by randomly selecting a Reselection Counter from its available inventory. Subsequently, after each transmission event, this counter decrees one unit until it reaches zero. At this juncture, new resources are selected and reserved with a probability of 1 P r k , where P r k is constrained within the range of 0–0.8. Notably, the vehicle’s sidelink control information (SCI) encapsulates the current value of the reselection counter (RC) and the interval between packet transmissions. This critical information is leveraged by other vehicles in the network to facilitate their resource reservations, enabling them to identify available resources and significantly reduce the likelihood of packet collisions [21]. Therefore, the C-V2X Mode 4 systems demonstrate the enhanced communication efficiency and reliability by implementing the SPS method and Reselection Counter mechanism. This sophisticated approach enables vehicles to allocate resources autonomously, significantly reducing the likelihood of transmission collisions. Consequently, the performance capabilities of C-V2X Mode 4 are substantiated, fostering increased confidence in its potential for widespread adoption in intelligent transportation systems.

2.2. C-V2X Resource Management

The MCS plays a pivotal role in modern communication systems by directly influencing data transmission efficiency. It defines the modulation order, which reflects the level of modulation applied to the communication channel and is a key determinant of system performance. Standard modulation orders are represented by schemes such as QPSK, 16QAM, 64QAM, and 256QAM, with the parameter Q m in 3GPP standards specifically used to denote this measure. The choice of modulation order significantly impacts the overall performance and reliability of the communication system [22].
The MCS index ( I M C S ) is a crucial parameter in C-V2X communication that determines the maximum number of valuable bits transmitted per resource element (RE). This index is influenced by various factors, including modulation order, channel bandwidth, and signal-to-noise ratio, with higher values enabling more efficient data transmission. The performance of C-V2X communication is significantly impacted by the quality of the radio connection, which can be affected by signal interference, fading, and transmitter–receiver distance. A superior radio connection quality enhances transmission capacity, vital for real-time critical data transmission. To optimize C-V2X communication performance, it is essential to balance the MCS index and radio connection quality, carefully selecting the appropriate modulation order and MCS index for specific communication scenarios. This approach ensures efficient and reliable data transmission in vehicular networks, improving road safety and traffic management [22].
The quality of radio conditions is intrinsically linked to the I M C S employed, with deteriorating conditions necessitating a downgrade in I M C S , thereby significantly reducing the capacity for essential data transmission. The performance of the MCS is contingent upon the frequency of error occurrences, with a typical error probability threshold set at 10%. To maintain the error probability below this threshold, even in fluctuating radio conditions, the I M C S is dynamically adjusted. Subsequently, the I M C S is utilized to estimate the transport block size (TBS). The 3GPP has standardized the I M C S , TBS index ( I T B S ), and associated modulation order ( Q m ) values, ensuring that the I M C S is optimized to provide the highest possible data transmission rate while maintaining a low error rate, even under challenging radio conditions [20].
The determination of the requisite number of physical resource blocks for beacon data transmission, measured in bits, necessitates the calculation of I T B S based on I M C S , utilizing a reference table provided by 3GPP that delineates the TBS indices and corresponding physical resource block quantities regarding beacon data sizes. The interplay between the TBS index, physical resource block count, and beacon data size is paramount in optimizing resource allocation for beacon data transmission. In the context of Mode 4 configuration, the beacon data transmission process comprises two crucial elements, the beacon data transport block (TB) and the SCI, each requiring discrete resource allocation to ensure efficient and reliable transmission of the beacon payload. This approach enhances the clarity and precision of resource allocation strategies in wireless communication systems, particularly in vehicular networks and other applications utilizing beacon-based communication protocols.
Contemporary communication systems operate at signal-to-interference-plus-noise ratios (SINRs) that approach the maximum threshold, with only marginal differences in a few decibels. However, various modulation and radio schemes exhibit differing proximities to this limit, necessitating the introduction of two parameters to differentiate their performance. A key metric derived from the capacity formula, Modulation Efficiency or Channel Spectral Efficiency, is employed to evaluate these modulation schemes, quantifying their efficiency in data transmission. To ensure adequate data transfer, the radio system must calculate the minimum SINR required for the chosen number of physical resource blocks ( N P R B ). The I M C S and TB sizes have been determined to meet the specifications outlined in the 3GPP reference table. The minimum SINR or SINR threshold ( S I N R m i n ) may be expressed differently depending on the TB size and can be formulated as presented in [23]:
S I N R m i n = 10 log 10 2 η c a 1 ,
where η c is the channel spectral efficiency and a = 0.4 is a constant taken from 3GPP standard [22]. As the value of I M C S increases, there is a corresponding increase in S I N R m i n . This may be attributed to the increasing significance of the beacon (TB) capacity, resulting in a decrease in N P R B .

2.3. Sugeno Fuzzy Inference Systems

The Sugeno fuzzy inference systems offer several key characteristics and advantages that make it particularly well-suited for vehicular communication applications. In the context of computational efficiency, Sugeno fuzzy inference systems are known for their computational efficiency, which is crucial in the fast-paced environment of vehicular networks. Unlike Mamdani systems that use the centroid method for defuzzification, Sugeno systems employ weighted average or weighted sum defuzzification methods. This approach significantly reduces computational complexity, allowing for quicker decision-making in vehicular communication scenarios where rapid responses are essential. In the context of mathematical representation, one of the strengths of Sugeno fuzzy systems is their ability to be represented mathematically as a set of IF-THEN rules. These rules have fuzzy antecedents and crisp consequents, providing a clear and structured way to model complex vehicular network behaviors. This mathematical formulation allows for easier integration with other analytical tools and optimization techniques commonly used in vehicular network design. When discussing adaptability to dynamic environments, vehicular networks are inherently dynamic, with rapidly changing conditions. Sugeno fuzzy inference systems excel in such environments due to their compatibility with adaptive techniques. This adaptability allows for the system to adjust its parameters in real-time based on changing network conditions, traffic patterns, and communication requirements [24].
In the field of handling uncertainty, one of the primary advantages of Sugeno fuzzy systems in vehicular communication is their ability to effectively handle uncertainty and vagueness. Vehicular networks often deal with imprecise or incomplete information due to factors like varying signal strengths, changing vehicle densities, and unpredictable traffic patterns. Fuzzy logic allows for the system to make robust decisions even in the face of such uncertainties. In the context of the integration of multiple attributes, Sugeno fuzzy inference systems can seamlessly integrate multiple network attributes to make routing decisions. This capability is particularly valuable in vehicular networks where various Quality-of-Service (QoS) requirements need to be met simultaneously. By considering factors such as link quality, vehicle speed, and network congestion, Sugeno systems can make more holistic and effective routing decisions. In the field of improved performance metrics, Fuzzy-based approaches using Sugeno systems have demonstrated superior performance in several key areas of vehicular and sensor networks. These improvements include reduced energy consumption, decreased overhead, and extended network lifetime. By optimizing these critical parameters, Sugeno fuzzy systems contribute to more efficient and sustainable vehicular communication networks [25].
Sugeno fuzzy systems have the unique ability to represent routing decisions in a linguistic form that closely corresponds to human reasoning processes. This feature makes the system more intuitive to design and interpret, allowing for network engineers to implement complex decision-making processes in a more natural and understandable manner [26]. In the face of environmental uncertainties and fluctuations in network parameters, fuzzy-based approaches using Sugeno systems have shown remarkable robustness. This resilience is crucial in vehicular networks where conditions can change rapidly and unpredictably. Fuzzy logic-based systems, including Sugeno systems, can be effectively used to achieve load balancing in vehicular networks. By considering multiple factors such as network congestion, vehicle density, and available resources, these systems can distribute network traffic more evenly, leading to improved overall network performance. Sugeno fuzzy systems allow for the consideration of multiple factors in decision-making processes. This flexibility is particularly useful in complex scenarios such as clustering algorithms in vehicular networks, where factors like residual energy, node degree, and distance to the sink need to be considered simultaneously [27].
By leveraging these characteristics and advantages, Sugeno fuzzy systems can significantly enhance the performance, reliability, and efficiency of routing protocols and other decision-making processes in vehicular communication networks. Their ability to handle uncertainty, adapt to changing conditions, and make complex decisions based on multiple inputs makes them an invaluable tool in the development of robust and efficient vehicular communication systems [28].
Figure 2 illustrates a Sugeno-type FIS architecture with two input variables and one output variable. The first input, labeled “Distance”, operates within a range of [3, 150] and employs four membership functions; the Gaussian combination membership function was chosen for the first input. The second input, “CSI”, spans the range [0, 1] and utilizes five membership functions; the Gaussian membership function was used for the second input. These inputs feed into a central processing block containing 20 fuzzy rules, which serves as the system’s inference engine. The output variable, marked as “ P r k ”, is displayed in a cyan-highlighted box with a range of [0.4, 0.8], and comprises five membership functions; the Gaussian membership function was also used for the output. The entire system is connected through directional lines, demonstrating the flow of information from inputs through the fuzzy rule base to generate the final output.
Figure 3 illustrates fuzzy membership functions depicting four linguistic variables (VN, N, F, and VF) represented across a distance domain ranging from 0 to 140 units. Each linguistic variable is characterized by a trapezoidal membership function that overlaps with adjacent functions, creating smooth transitions between categories. The leftmost function, Very Near (VN), peaks at the lower distance values, followed by Near (N), Far (F), and Very Far (VF), which progress towards higher distance values. The functions exhibit symmetrical crossover points at approximately 0.5 degrees of membership, where adjacent functions intersect, ensuring a continuous and well-distributed fuzzy classification system. The trapezoidal shapes maintain full membership (a value of 1) over certain intervals before gradually decreasing, providing stable regions of complete belonging to each linguistic category.
Figure 4 shows a fuzzy membership function plot depicting five linguistic variables represented by overlapping curves across a CSI range from 0 to 1. The membership functions are labeled as very loose (VL), loose (L), moderate (M), tight (T), and very tight (VT), each represented by distinct colored curves that peak at different CSI values. Each curve exhibits a triangular or trapezoidal shape with smooth transitions, where the membership value reaches a maximum of 1 at its peak and gradually decreases to 0 at its boundaries. The curves are systematically distributed across the domain with significant overlap between adjacent membership functions, ensuring continuous coverage and smooth linguistic transitions. The VL function peaks at 0, L at approximately 0.25, M at 0.5, T at 0.75, and VT at 1.0, creating a symmetrical distribution of linguistic variables across the CSI range.
Figure 5 illustrates a fuzzy membership function plot displaying the Gaussian membership function of the P r k domain ranging from 0.4 to 0.8. The membership functions are labeled as very low (VL), low (L), medium (M), high (H), and very high (VH), with each function reaching a maximum degree of membership of 1.0 at their respective peaks. The VL function starts at full membership at 0.4 and decreases linearly, while the VH function increases to full membership as it approaches 0.8. The intermediate functions L, M, and H are peaking at approximately 0.5, 0.6, and 0.7, respectively, with symmetric slopes on either side. Each adjacent pair of membership functions intersects at approximately 0.5 degrees of membership, ensuring smooth transitions between linguistic variables. The y-axis represents the degree of membership ranging from 0 to 1, while the x-axis shows the P r k values, creating a comprehensive fuzzy logic control system representation.
The fuzzy control rule follows IF-THEN rules, with two inputs and one output which that be expressed by [29]
R j   :   I F   d i s t a n c e d   i s   F 1 l 1   A N D   C S I   i s   F 2 l 2 T H E N   P r k = F 3 l 3 ,
where F 1 , F 2 , and F 3 are the linguistic terms that represent the two inputs, d and C S I , and the output, P r k , respectively. l 1 , l 2 , and l 3 are the index of the membership function for the input d , C S I , and the output P r k , respectively. j = 1 ,   2 , ,   20 are the indexes of the fuzzy rule, as can be seen in Table 1.

2.4. Q-Learning Algorithms

This study employs Q-learning, a reinforcement learning technique, to enable adaptive MCS index selection in C-V2X environments. The proposed methodology implements a continuous “on-the-run” learning process, synchronizing learning time steps with simulation time ( T ). Q-values are derived from corresponding action–state pairs, with the action space comprising 28 possible MCS index values ( A k ,   k = 1 , ,   28 ) specific to the C-V2X context. The calculated packet reception ratio (PRR) statistic defines the state function at each time step. Here, the PRR values are produced from the P r k parameter as an output from the previous Sugeno-FIS routine. Because the P r k values will be adaptively changed due to the Sugeno-FIS routine, the PRR values should also change over time. Thus, the state values would also be changed over time.
During each iteration, the system selects an action, applies the chosen MCS index to the resource management calculation, and generates the PRR statistic for the following time step. This approach facilitates dynamic adaptation of the MCS index in response to changing network conditions, potentially enhancing the overall performance of C-V2X communications. The Q-learning function itself can be expressed as
Q S , A t Q S , A t 1 + α × Δ Q t ,
where t is the time steps, S is the state, A is the action, α [ 0   1 ] is the learning rate, and Δ Q t is the difference between the value function target ( Y t ) and the current Q-value. The value function target ( Y t ) and Δ Q t can be expressed as
Y t = R t + γ max A Q S , A t ,
And
Δ Q t = Y t Q S , A t 1 ,
respectively, where R t is the reward function in current time step and γ [ 0   1 ] is the discount factor.
The corresponding reward function can be expressed as
R t = P R R t P R R t 1 ,
In the initial time step, the initial Q-value is set to equal to the current P R R 0 based on the initial MCS index value I M C S 0 . As the learning step runs, the appropriate action will be selected according to the ε -greedy exploration mechanism,
π t = c h o o s e   r a n d o m   a c t i o n   i n   A ,     i f   ξ t < ε a r g max A Q S , A t ,     o t h e r w i s e ,
where ξ t is a random value between 0 and 1 and ε 0   1 is the predefined epsilon value.

3. Proposed FIRL Resource Allocation

This study examines the effectiveness of the FIRL method compared to a static baseline configuration for PRR in a vehicular network. This research utilizes the LTEV2Vsim simulator, a MATLAB-based tool designed explicitly for C-V2X resource management investigations, to simulate the C-V2X network and communication systems [30]. MATLAB version R2021a is used for this work. The hardware used to execute the LTEV2Vsim simulations is a ROG Strix G713RM laptop with an AMD Ryzen 9 6900HX 3.30 GHz, 16 GB of RAM, and 1 TB of solid-state disk (SSD) storage.
The simulation scenario consists of a 1 km highway with bidirectional three-lane traffic, where vehicles travel at an average speed of 120 km/h with a standard deviation of 40 km/h. Key parameters of the simulation include a 120 s duration, position updates every 0.1 s, a channel bandwidth of 10 MHz, and a transmission power of 23 dBm. Table 2 briefly outlines the radio resource parameters employed in the simulation. Since the proposed FIRL aims to adjust the MCS and P r k values adaptively, the range of I M C S is set to [ 1 ,   2 ,   3 , ,   28 ] , and the range of possible P r k values is set from 0 to 1. In this work, we present various total numbers of vehicles ( n V ) from 100, 200, 300, and 400. The total number of vehicles cap presents the terms of vehicle density that could be loaded into the three-lane bi-directional highway with a 1 km length.
The PRR is a critical metric for evaluating the statistical performance of communication systems, explicitly quantifying the proportion of successfully received packets relative to the total transmitted packets over distances ranging from 10 to 150 m. This study focuses on the radio resource management (RRM) aspect of C-V2X communication, a crucial component in optimizing PRR. RRM involves strategically allocating resource blocks to individual vehicles based on their MCS index, aiming to maximize PRR. The research presented herein aims to investigate the impact of RRM strategies on the efficacy of C-V2X communication, particularly in terms of successful packet transmission. By examining this relationship, this study seeks to contribute to developing and refining C-V2X technologies, potentially informing future advancements in vehicular communication systems. The overall P R R performance statistic can be obtained by
P R R = ς r c v ς t r ,
where ς r c v is the total number of successfully received packets and ς t r is the total number of transmitted packets. The PRR is a statistical metric that quantifies the effectiveness of packet transmission within a network by calculating the ratio of successfully received packets to the total number of packets transmitted, including retransmissions. To simulate real-world scenarios, transmitting and receiving vehicles are assigned randomly. The PRR is a crucial parameter for assessing wireless network performance. During a designated simulation period ( T ), data were collected to determine the average number of packets transmitted and received, which aids in identifying potential issues and enhancing the overall performance of the network.
Previous studies, as noted in references [31,32], highlight that an MCS index of seven and a P r k value of 0.8 are commonly adopted configurations among researchers. Consequently, this work establishes the benchmark baseline configuration using MCS = 7 and P r k = 0.8 as static parameters for subsequent comparisons. This paper conducts a comprehensive investigation into the performance of the FIRL sequence approach, with a specific emphasis on evaluating the PRR under the sequential implementation of Sugeno-FIS and Q-learning methodologies. The objective is to develop fully adaptive configuration parameters for P r k and MCS, ultimately enhancing overall network performance.
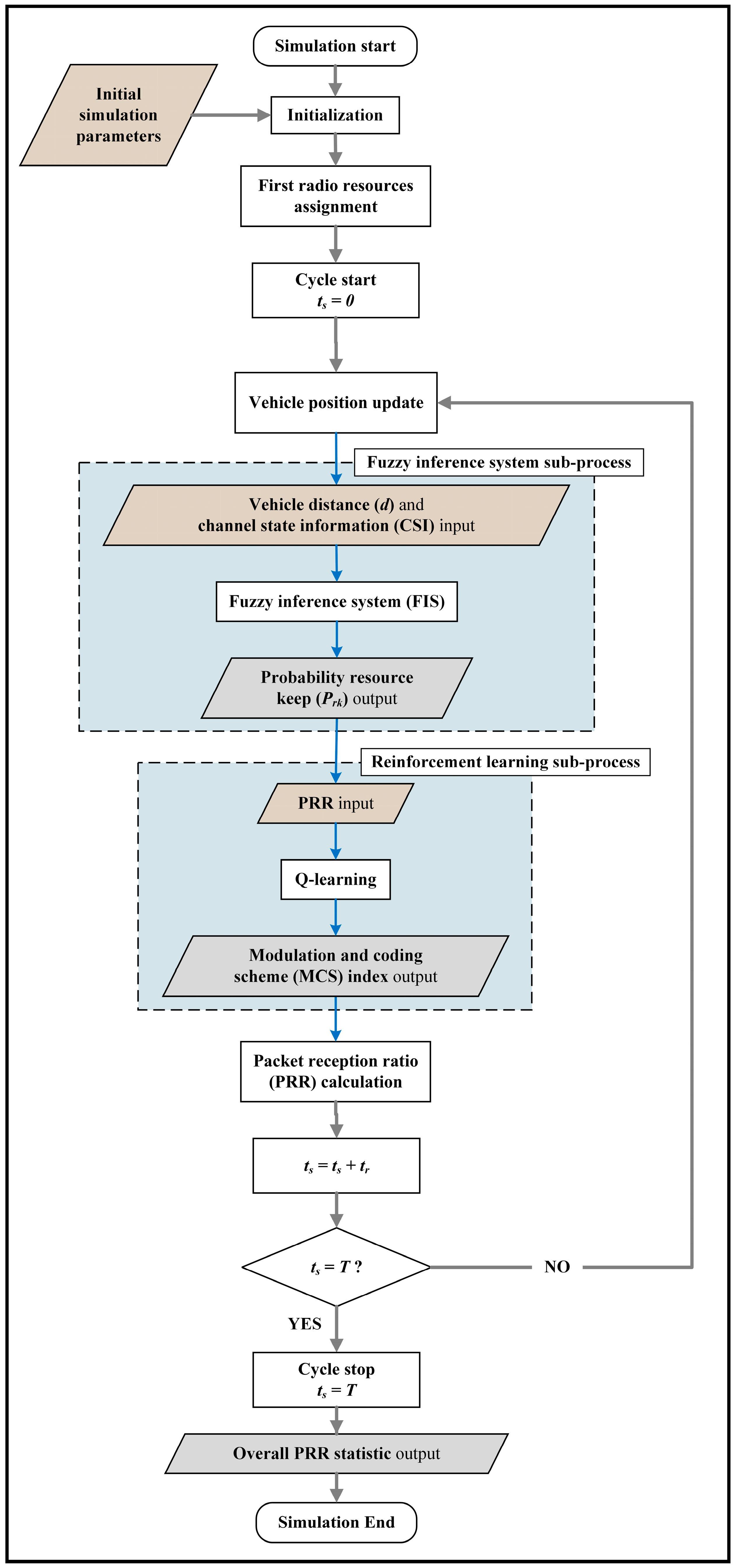
This study implemented a sequencing mechanism to achieve the research objectives, as illustrated in the flowchart presented in Figure 6. To elucidate the sequential steps of this mechanism, Algorithm 1 was developed, wherein the resource keep probability ( P r k ) and MCS values adaptively adjust with each generated Long-Term Evolution (LTE) packet. This approach is expected to contribute significantly to developing adaptive PRR configurations in wireless communication systems. Moreover, this research provides valuable insights into the optimal implementation of sequence mechanisms in wireless communication systems that leverage machine learning algorithms. These findings could enhance the efficiency and reliability of wireless networks, particularly in dynamic environments where adaptive strategies are crucial for maintaining optimal performance.
The sequence execution process employs a straightforward approach in which the P r k and MCS adaptation procedures are performed concurrently with LTE packet generation. The Sugeno-FIS routine followed by the Q-learning routine is executed within the same time frame. The sequence routine yields real-time MCS index and P r k parameter values, subsequently determining the adapted values for MCS and P r k . Consequently, the PRR is adjusted based on these adapted values, reflecting the dynamic nature of the network’s performance optimization process. This integrated approach allows for real-time adaptation of transmission parameters, potentially enhancing the overall efficiency and reliability of the LTE communication system.
Algorithm 1 Pseudocode of FIRL sequence
1:Initialize:
2:   input input :   T ,   P r k ,   I M C S ,   α ,   γ ,   ε ,   P R R 0
3:while tT do
4:for each LTE packet generation
5:   execute Q-learning subprocess; output: I M C S t
6:   execute Sugeno-FIS subprocess; output: P r k t
7:   calculate real-time PRR; output: P R R t
8:end while
The execution of the FIRL sequence is a crucial component in the generation of LTE packets during vehicular data transmission. This process is initiated when the FIS and Q-learning adaptation approaches activate the LTE packet generator. During the FIRL function’s execution, the current output parameters for the P r k and the MCS index are dynamically adjusted based on the prevailing network environmental conditions. These updated P r k and MCS index values are subsequently incorporated into the PRR calculation, serving as key inputs for assessing network performance.
Figure 6 presents a comprehensive flowchart depicting a simulation process for LTE packet transmission incorporating reinforcement learning and fuzzy inference systems, named FIRL. The workflow begins with simulation initialization and initial simulation parameters, followed by the first radio resources assignment, and the cycle starts at t = 0 . The process then enters an iterative loop containing three main components: LTE packet generation, a reinforcement learning sub-process (highlighted in a dashed box containing PRR input, Q-learning, and modulation and coding scheme MCS index output), and a fuzzy inference system sub-process (containing vehicle distance and channel state information CSI input, fuzzy inference system FIS, and probability resource keep P r k output). The simulation continues with PRR calculation, followed by a decision point checking if t < T . If this condition is not met, the cycle continues with time increment t = t + t r ; otherwise, the cycle stops with t = T , leading to overall PRR statistic output and simulation end.
The FIRL sequence plays a crucial role in the generation of LTE packets, with its parameter adaptation function optimizing the resource keep probability ( P r k ) and MCS index values to suit the network’s environmental conditions. This optimization significantly influences the PRR performance calculation. The integration of these components facilitates efficient data transmission in vehicular networks, making it a critical aspect of modern transportation systems. The FIRL approach in vehicular networks involves the real-time collection of current network parameters and continuous PRR performance calculations for each LTE packet generation, ensuring comprehensive coverage of the entire communications system. This simultaneous and ongoing data collection and analysis process enables the FIRL approach to provide an accurate and holistic view of network performance, allowing for continuous adaptation and improvement to meet user needs. By leveraging this adaptive methodology, the system can maintain optimal performance in the dynamic and challenging environment of vehicular communications.

4. Simulation Results

This study presents a comparative result of the PRR between two configurations across diverse scenarios, as illustrated in Figure 7, Figure 8, Figure 9 and Figure 10. The results demonstrate that the FIRL method consistently outperforms the alternative configuration in most scenarios examined. Figure 7 shows the results of low-density situations for n V = 100 . From Figure 7, it is observed that the PRR decreases with the increasing distance. However, an exception is observed in low-density situations, where FIRL’s effectiveness is limited. This anomaly can be attributed to the abundance of radio resources available in the network under such conditions, rendering the adaptive mechanisms employed by FIRL ineffective in improving PRR outcomes. These findings highlight the context-dependent nature of FIRL’s performance and underscore the importance of considering network density when implementing adaptive radio resource management strategies.
Figure 7 presents the PRR comparison results for the low-density vehicle scenario. It is observed that while the FIRL algorithm exhibits lower performance at certain vehicle distances, its overall performance surpasses the baseline configuration. In this scenario, the available radio resources can accommodate all vehicle communications simultaneously, suggesting that the current machine learning hyperparameters may not be optimally tuned for all vehicle distances. It is crucial to evaluate the suitability of these hyperparameters to ensure they can deliver the desired performance outcomes across various conditions. Despite the suboptimal performance in the low-density scenario, Figure 8, Figure 9 and Figure 10 demonstrate the superior performance of the FIRL algorithm and highlight its potential for improving vehicular communication systems.
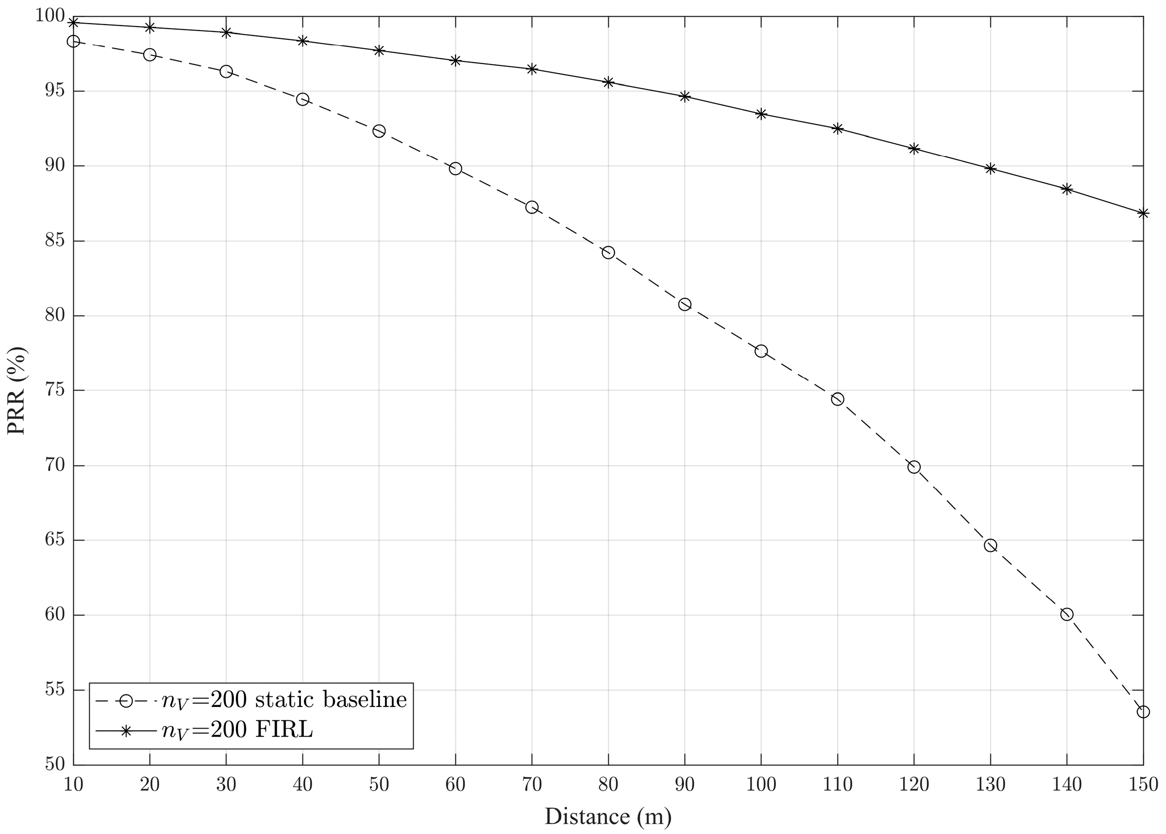
Table 3 presents a comprehensive result of PRR improvement percentages for the FIRL system across three different distance scenarios: 50, 100, and 150 m. The data compares FIRL performance against a static baseline for varying values of n V (ranging from 100 to 400). At 50 m, FIRL demonstrates modest improvements ranging from 1.28% to 19.23%, with the baseline performance gradually declining from 97.58% to 80.89% as n V increases. The 100 m distance scenario shows more substantial improvements, with FIRL achieving enhancement rates from 5.67% to 67.46%, particularly notable as the baseline performance drops significantly from 91.97% to 53.1%. The most dramatic improvements are observed at 150 m, where FIRL achieves remarkable enhancement rates ranging from 27.91% to 169.83%, compensating for the severe degradation in baseline performance from 72.01% to 28.65%. The table illustrates FIRL’s increasing effectiveness at greater distances and higher n V values, with the most pronounced improvements occurring in challenging transmission conditions.
In this study, we evaluated the performance of the proposed FIRL approach compared to the baseline configuration, focusing on the impact of vehicle density on network performance. Figure 11 illustrates the PRR as a function of the total number of vehicles, ranging from 100 to 400 in increments of 50, measured at an observation vehicle distance of 50 m. The results demonstrate that PRR performance decreases as vehicle density increases, irrespective of the machine learning technique employed, primarily due to limitations in available radio resources. Notably, the FIRL approach consistently outperforms the baseline configuration, yielding improved PRR outcomes across all tested vehicle densities ( n V ). This finding suggests that, under appropriate conditions, a machine learning mechanism can achieve superior PRR performance in scenarios with higher vehicle communication demands, highlighting the potential of FIRL in enhancing vehicular network efficiency.

5. Conclusions

This research proposes a novel approach integrating the Sugeno-FIS mechanism with Q-learning reinforcement learning (RL) to improve resource allocation efficiency in vehicular networks, named fuzzy inference reinforcement learning (FIRL). The P r k value is adjusted adaptively using the Sugeno-FIS sequence, and then the Q-learning sequence will adaptively adjust the I M C S each time the LTE packet is generated. The novel FIRL approach demonstrates significant performance improvements in all vehicle density scenarios presented, achieving up to a 169.83% enhancement compared to the static baseline configuration.
The current technological challenges in C-V2X development are producing more realistic simulations that mimic real-world situations and infrastructure. More scenario configurations, such as urban and suburban, and tuning up the hyperparameters to suit more complex problems, are also worth mentioning in future works.

Author Contributions

Conceptualization, T.I.B., Y.-F.H. and J.-K.C.; Investigation, T.I.B.; Methodology, T.I.B. and Y.-F.H.; Software, T.I.B. and J.-K.C.; validation, Y.-F.H.; resources, S.S. and E.C.; data curation, T.I.B. and B.K.; Supervision, C.-H.H. and Y.-F.H.; Writing—Original Draft, T.I.B., C.-H.H. and Y.-F.H.; Writing—Review and Editing, C.-H.H. and Y.-F.H. All authors have read and agreed to the published version of the manuscript.

Funding

This work was supported by the National Science and Technology Council of Taiwan under grant NSTC-112-2221-E-324-010.

Data Availability Statement

Data are contained within the article.

Conflicts of Interest

The authors declare no conflicts of interest.

References

  1. Häfner, B.; Bajpai, V.; Ott, J.; Schmitt, G.A. A Survey on Cooperative Architectures and Maneuvers for Connected and Automated Vehicles. IEEE Commun. Surv. Tutor. 2022, 24, 380–403. [Google Scholar] [CrossRef]
  2. Varatharaajan, S.; Grossmann, M.; Galdo, G.D. 5G New Radio Physical Downlink Control Channel Reliability Enhancements for Multiple Transmission-Reception-Point Communications. IEEE Access 2022, 10, 97394–97407. [Google Scholar] [CrossRef]
  3. Sehla, K.; Nguyen, T.M.T.; Pujolle, G.; Velloso, P.B. Resource Allocation Modes in C-V2X: From LTE-V2X to 5G-V2X. IEEE Internet Things J. 2022, 9, 8291–8314. [Google Scholar] [CrossRef]
  4. Segawa, Y.; Tang, S.; Ueno, T.; Ogishi, T.; Obana, S. Improving Performance of C-V2X Sidelink by Interference Prediction and Multi-Interval Extension. IEEE Access 2022, 10, 42518–42528. [Google Scholar] [CrossRef]
  5. Molina-Masegosa, R.; Gozalvez, J.; Sepulcre, M. Comparison of IEEE 802.11p and LTE-V2X: An Evaluation With Periodic and Aperiodic Messages of Constant and Variable Size. IEEE Access 2020, 8, 121526–121548. [Google Scholar] [CrossRef]
  6. Molina-Masegosa, R.; Gozalvez, J. LTE-V for Sidelink 5G V2X Vehicular Communications: A New 5G Technology for Short-Range Vehicle-to-Everything Communications. IEEE Veh. Technol. Mag. 2017, 12, 30–39. [Google Scholar] [CrossRef]
  7. Mansouri, A.; Martinez, V.; Härri, J. A First Investigation of Congestion Control for LTE-V2X Mode 4. In Proceedings of the 2019 15th Annual Conference on Wireless On-Demand Network Systems and Services (WONS), Wengen, Switzerland, 22–24 January 2019; pp. 56–63. [Google Scholar]
  8. Bazzi, A. Congestion Control Mechanisms in IEEE 802.11p and Sidelink C-V2X. In Proceedings of the 2019 53rd Asilomar Conference on Signals, Systems, and Computers, Pacific Grove, CA, USA, 3–6 November 2019; pp. 1125–1130. [Google Scholar]
  9. ETSI. Intelligent Transport Systems (ITS); Congestion Control Mechanisms for the C-V2X PC5 Interface; Access Layer Part; ETSI: Côte d’Azur, France, 2018; pp. 1–12. [Google Scholar]
  10. Yao, Y.; Zhou, X.; Zhang, K. Density-Aware Rate Adaptation for Vehicle Safety Communications in the Highway Environment. IEEE Commun. Lett. 2014, 18, 1167–1170. [Google Scholar] [CrossRef]
  11. Haque, K.F.; Abdelgawad, A.; Yanambaka, V.P.; Yelamarthi, K. Lora Architecture for V2X Communication: An Experimental Evaluation with Vehicles on the Move. Sensors 2020, 20, 6876. [Google Scholar] [CrossRef] [PubMed]
  12. Camp, J.; Knightly, E. Modulation Rate Adaptation in Urban and Vehicular Environments: Cross-Layer Implementation and Experimental Evaluation. IEEE/ACM Trans. Netw. 2010, 18, 1949–1962. [Google Scholar] [CrossRef]
  13. Liu, Y.; Zhuang, Z.; Qi, Q.; Wang, J.; Chen, D.; Lu, L.; Yang, H.; Liao, J.; Han, Z. Slice Sandwich: Jagged Slicing Multi-Tier Dynamic Resources for Diversified V2X Services. IEEE Trans. Mob. Comput. 2024, 23, 4285–4302. [Google Scholar] [CrossRef]
  14. Zhang, Q.; Lin, M.; Yang, L.T.; Chen, Z.; Li, P. Energy-Efficient Scheduling for Real-Time Systems Based on Deep Q-Learning Model. IEEE Trans. Sustain. Comput. 2019, 4, 132–141. [Google Scholar] [CrossRef]
  15. Shokrnezhad, M.; Taleb, T.; Dazzi, P. Double Deep Q-Learning-Based Path Selection and Service Placement for Latency-Sensitive Beyond 5G Applications. IEEE Trans. Mob. Comput. 2024, 23, 5097–5110. [Google Scholar] [CrossRef]
  16. Sharma, N.; Ghosh, A.; Misra, R.; Das, S.K. Deep Meta Q-Learning Based Multi-Task Offloading in Edge-Cloud Systems. IEEE Trans. Mob. Comput. 2024, 23, 2583–2598. [Google Scholar] [CrossRef]
  17. Pokhrel, S.R.; Walid, A. Learning to Harness Bandwidth with Multipath Congestion Control and Scheduling. IEEE Trans. Mob. Comput. 2023, 22, 996–1009. [Google Scholar] [CrossRef]
  18. Fan, C.; Li, B.; Wu, Y.; Zhang, J.; Yang, Z.; Zhao, C. Fuzzy Matching Learning for Dynamic Resource Allocation in Cellular V2X Network. IEEE Trans. Veh. Technol. 2021, 70, 3479–3492. [Google Scholar] [CrossRef]
  19. Alghamdi, S.A. Emperor based resource allocation for D2D communication and QoF based routing over cellular V2X in urban environment (ERA-D2Q). Wirel. Netw. 2020, 26, 3419–3437. [Google Scholar] [CrossRef]
  20. 3GPP. Technical Specification Group Radio Access Network Evolved Universal Terrestrial Radio Access (E-UTRA) Physical Layer Procedures (Release 14); 3GPP: Valbonne, France, 2017; pp. 1–460. [Google Scholar]
  21. 3GPP. Technical Specification Group Radio Access Network Evolved Universal Terrestrial Radio Access (E-UTRA) Medium Access Control (MAC) Protocol Specification, Release 14; TS 36.321; 3GPP: Valbonne, France, 2017. [Google Scholar]
  22. 3GPP. Technical Specification Group Radio Access Network Evolved Universal Terrestrial Radio Access (E-UTRA) User Equipment (UE) Radio Transmission and Reception (Release 14); 3gpp TS 36.101 V14.4.0; 3GPP: Valbonne, France, 2017. [Google Scholar]
  23. Steer, M. Microwave and RF Design, 3rd ed.; NC State University: Raleigh, NC, USA, 2019. [Google Scholar]
  24. Zhao, L.; Bi, Z.; Hawbani, A.; Yu, K.; Zhang, Y.; Guizani, M. ELITE: An Intelligent Digital Twin-Based Hierarchical Routing Scheme for Softwarized Vehicular Networks. IEEE Trans. Mob. Comput. 2023, 22, 5231–5247. [Google Scholar] [CrossRef]
  25. Cha, N.; Du, Z.; Wu, C.; Yoshinaga, T.; Zhong, L.; Ma, J.; Liu, F.; Ji, Y. Fuzzy Logic Based Client Selection for Federated Learning in Vehicular Networks. IEEE Open J. Comput. Soc. 2022, 3, 39–50. [Google Scholar] [CrossRef]
  26. Fan, C.; Li, B.; Hou, J.; Wu, Y.; Guo, W.; Zhao, C. Robust Fuzzy Learning for Partially Overlapping Channels Allocation in UAV Communication Networks. IEEE Trans. Mob. Comput. 2022, 21, 1388–1401. [Google Scholar] [CrossRef]
  27. Liu, Z.; Li, J.; Chen, X.; Wu, C.; Ishihara, S.; Ji, Y.; Li, J. Fuzzy Logic-Based Adaptive Point Cloud Video Streaming. IEEE Open J. Comput. Soc. 2020, 1, 121–130. [Google Scholar] [CrossRef]
  28. Wu, W.; Wang, X.; Hawbani, A.; Liu, P.; Zhao, L.; Al-Dubai, A. FLORA: Fuzzy Based Load-Balanced Opportunistic Routing for Asynchronous Duty-Cycled WSNs. IEEE Trans. Mob. Comput. 2023, 22, 253–268. [Google Scholar] [CrossRef]
  29. Huang, Y.F. Performance of Adaptive Multistage Fuzzy-Based Partial Parallel Interference Canceller for Multi-Carrier CDMA Systems. IEICE Trans. Commun. 2005, E88-B, 134–140. [Google Scholar]
  30. Cecchini, G.; Bazzi, A.; Masini, B.M.; Zanella, A. LTEV2Vsim: An LTE-V2V Simulator for the Investigation of Resource Allocation for Cooperative Awareness. In Proceedings of the 5th IEEE International Conference on Models and Technologies for Intelligent Transportation Systems, Naples, Italy, 26–28 June 2017; pp. 80–85. [Google Scholar]
  31. Bayu, T.I.; Huang, Y.F.; Chen, J.K. Performance of Fuzzy Inference System for Adaptive Resource Allocation in C-V2X Networks. Electronics 2022, 11, 4063. [Google Scholar] [CrossRef]
  32. Bayu, T.I.; Huang, Y.-F.; Chen, J.-K. Reinforcement Learning Approach for Adaptive C-V2X Resource Management. Future Internet 2023, 15, 339. [Google Scholar] [CrossRef]
Figure 1. Simulation scenario diagram.
Figure 1. Simulation scenario diagram.
Futureinternet 17 00046 g001
Figure 2. Sugeno-FIS diagram.
Figure 2. Sugeno-FIS diagram.
Futureinternet 17 00046 g002
Figure 3. Fuzzy input membership function of distance.
Figure 3. Fuzzy input membership function of distance.
Futureinternet 17 00046 g003
Figure 4. Fuzzy input membership functions of CSI.
Figure 4. Fuzzy input membership functions of CSI.
Futureinternet 17 00046 g004
Figure 5. Fuzzy output membership functions of the output Prk.
Figure 5. Fuzzy output membership functions of the output Prk.
Futureinternet 17 00046 g005
Figure 6. FIRL flowchart.
Figure 6. FIRL flowchart.
Futureinternet 17 00046 g006
Figure 7. PRR comparison result for 100 vehicles.
Figure 7. PRR comparison result for 100 vehicles.
Futureinternet 17 00046 g007
Figure 8. PRR comparison result for 200 vehicles.
Figure 8. PRR comparison result for 200 vehicles.
Futureinternet 17 00046 g008
Figure 9. PRR comparison result for 300 vehicles.
Figure 9. PRR comparison result for 300 vehicles.
Futureinternet 17 00046 g009
Figure 10. PRR comparison result for 400 vehicles.
Figure 10. PRR comparison result for 400 vehicles.
Futureinternet 17 00046 g010
Figure 11. PRR comparison against total number of vehicles.
Figure 11. PRR comparison against total number of vehicles.
Futureinternet 17 00046 g011
Table 1. Fuzzy rules.
Table 1. Fuzzy rules.
dVNNFVF
CSI P r k
VLVLLLM
LLMLM
MMHMH
THHMVH
VTHMMVH
Table 2. Simulation parameters and settings.
Table 2. Simulation parameters and settings.
ParameterValueParameterValue
Simulation   time   ( T )120 s Transmission   power   ( P T x )23 dBm
Vehicle   position   update   time   ( t r )0.1 sBeacon size190 Bytes
Vehicle’s speed120 km/hSensing interval0.1 s
Vehicle’s speed standard deviation40 km/hMCS Index value1~28
Road length1000 m Probability   resource   keep   ( P r k )0~1
Number of lanes3 per directionsQ-learning predefined epsilon (ε)0.1, 0.9
Total   number   of   vehicles   ( n V )100~400 vehiclesQ-learning discount factor (γ)0.1
Channel   bandwidth   ( B c )10 MhzQ-learning learning rate (α)0.1, 0.9
Table 3. PRR improvement percentage.
Table 3. PRR improvement percentage.
50-m Distance
nV = 100nV = 200nV = 300 nV = 400
static baseline97.5892.3486.9880.89
FIRL98.8498.8497.796.44
FIRL Improvement1.28%7.04%12.33%19.23%
100 m distance
static baseline91.9777.6565.1353.1
FIRL97.1896.3393.4888.91
FIRL Improvement5.67%24.06%43.53%67.46%
150 m distance
static baseline72.0153.5538.5728.65
FIRL92.1192.2186.8477.3
FIRL Improvement27.91%72.2%125.17%169.83%
Disclaimer/Publisher’s Note: The statements, opinions and data contained in all publications are solely those of the individual author(s) and contributor(s) and not of MDPI and/or the editor(s). MDPI and/or the editor(s) disclaim responsibility for any injury to people or property resulting from any ideas, methods, instructions or products referred to in the content.

Share and Cite

MDPI and ACS Style

Bayu, T.I.; Huang, Y.-F.; Chen, J.-K.; Hsieh, C.-H.; Kristianto, B.; Christianto, E.; Suharyadi, S. Advanced Optimization Algorithm Combining a Fuzzy Inference System for Vehicular Communications. Future Internet 2025, 17, 46. https://doi.org/10.3390/fi17010046

AMA Style

Bayu TI, Huang Y-F, Chen J-K, Hsieh C-H, Kristianto B, Christianto E, Suharyadi S. Advanced Optimization Algorithm Combining a Fuzzy Inference System for Vehicular Communications. Future Internet. 2025; 17(1):46. https://doi.org/10.3390/fi17010046

Chicago/Turabian Style

Bayu, Teguh Indra, Yung-Fa Huang, Jeang-Kuo Chen, Cheng-Hsiung Hsieh, Budhi Kristianto, Erwien Christianto, and Suharyadi Suharyadi. 2025. "Advanced Optimization Algorithm Combining a Fuzzy Inference System for Vehicular Communications" Future Internet 17, no. 1: 46. https://doi.org/10.3390/fi17010046

APA Style

Bayu, T. I., Huang, Y.-F., Chen, J.-K., Hsieh, C.-H., Kristianto, B., Christianto, E., & Suharyadi, S. (2025). Advanced Optimization Algorithm Combining a Fuzzy Inference System for Vehicular Communications. Future Internet, 17(1), 46. https://doi.org/10.3390/fi17010046

Note that from the first issue of 2016, this journal uses article numbers instead of page numbers. See further details here.

Article Metrics

Back to TopTop