Temporal-Guided Knowledge Graph-Enhanced Graph Convolutional Network for Personalized Movie Recommendation Systems
Abstract
:1. Introduction
2. Literature Review
2.1. Personalized Recommendation Systems
2.2. GNNs for KG
2.3. Considering Temporal Aspects in Recommendation Systems
3. The Temporal Knowledge Graph Recommender System
- Embedding layer (matrix factorization): This converts the users’ and movies’ IDs into fixed-size vectors (Eu and Em).
- GCN layer: This updates the embeddings using GCN. The mathematical representation for a single-layer GCN is:
- 3.
- Fully connected layers: A fully connected layer sequence maps the updated embeddings to the output prediction.
- Embedding layer: The embedding layer uses matrix factorization through embeddings for users and movies. The embeddings are then used to predict the rating a user would give to a movie. Let R be the original user–item interaction matrix, where Rij represents the rating given by user i to item j. The neural collaborative filtering step aims to approximate R by learning two matrices, U and M, for users and movies, respectively. Each row in U and M represents the latent factors of a user and a movie to satisfy the equation:
- 2.
- GCN layer: The GCN layer updates the initial embeddings Eu(u) and Em(m) by incorporating the topology and features of the respective graphs Gu and Gm, denoting the graph structures for users and movies, respectively. The initial embeddings Eu(u) for users and Em(m) for movies serve as the initial node features H(0) for the GCN layer, where a single GCN layer can be represented aswhere H(l) is the matrix of the node features at the lth layer, A is the adjacency matrix, D is the degree matrix, W(l) is the weight matrix at the lth layer, and σ is the activation function, which is ReLU here. The GCN layer calculates the weighted sum of its neighbors’ features for each node. The aggregated features are transformed by a weight matrix and passed through an activation function. The embeddings are updated for subsequent layers or the final prediction.
- 3.
- Fully connected layers: The updated embeddings and are concatenated along the feature dimension. This results in a new feature vector F for each (user, movie) pair, such that:
| Algorithm 1: Pseudo-codes |
Input:
|
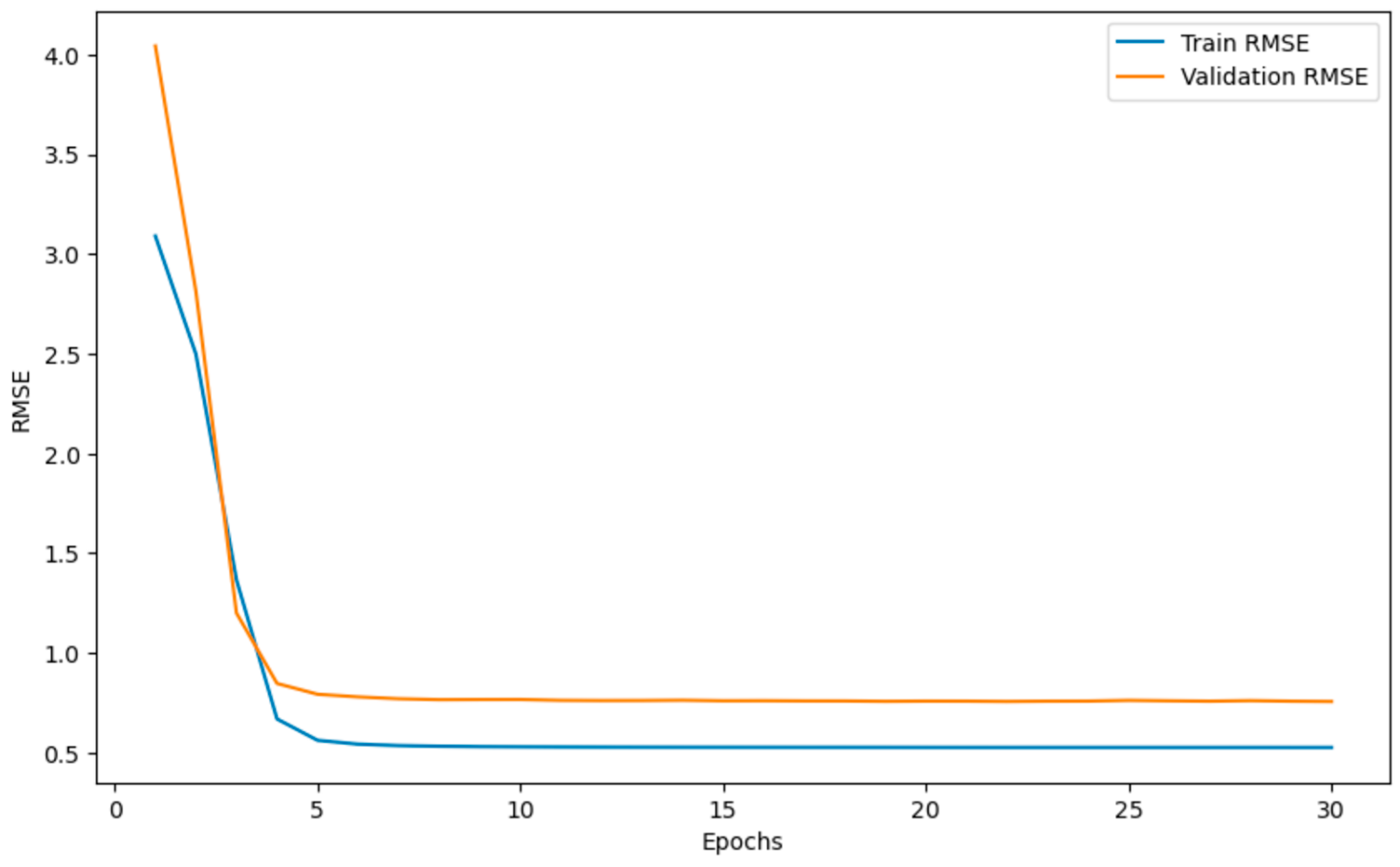
4. Experiments
5. Discussion
6. Conclusions
Author Contributions
Funding
Data Availability Statement
Conflicts of Interest
References
- Wang, H.; Zhang, F.; Zhang, M.; Leskovec, J.; Zhao, M.; Li, W.; Wang, Z. Knowledge-aware graph neural networks with label smoothness regularization for recommender systems. In Proceedings of the 25th ACM SIGKDD International Conference on Knowledge Discovery & Data Mining, Anchorage, AK, USA, 4–8 August 2019; pp. 968–977. [Google Scholar]
- Hsu, P.-Y.; Chen, C.-T.; Chou, C.; Huang, S.-H. Explainable mutual fund recommendation system developed based on knowledge graph embeddings. Appl. Intell. 2022, 52, 10779–10804. [Google Scholar] [CrossRef]
- Yang, Y.; Zhu, Y.; Li, Y. Personalized recommendation with knowledge graph via dual-autoencoder. Appl. Intell. 2022, 52, 6196–6207. [Google Scholar] [CrossRef]
- Zhou, D.; Hao, S.; Zhang, H.; Dai, C.; An, Y.; Ji, Z.; Ganchev, I. Novel SDDM Rating Prediction Models for Recommendation Systems. IEEE Access 2021, 9, 101197–101206. [Google Scholar] [CrossRef]
- Ye, Z.; Kumar, Y.J.; Sing, G.O.; Song, F.; Wang, J. A comprehensive survey of graph neural networks for knowledge graphs. IEEE Access 2022, 10, 75729–75741. [Google Scholar] [CrossRef]
- Sha, X.; Sun, Z.; Zhang, J. Hierarchical attentive knowledge graph embedding for personalized recommendation. Electron. Commer. Res. Appl. 2021, 48, 101071. [Google Scholar] [CrossRef]
- Balloccu, G.; Boratto, L.; Fenu, G.; Marras, M. Post processing recommender systems with knowledge graphs for recency, popularity, and diversity of explanations. In Proceedings of the 45th International ACM SIGIR Conference on Research and Development in Information Retrieval, Madrid, Spain, 11–15 July 2022; pp. 646–656. [Google Scholar]
- Wu, X.; Li, Y.; Wang, J.; Qian, Q.; Guo, Y. UBAR: User Behavior-Aware Recommendation with knowledge graph. Knowl. Based Syst. 2022, 254, 109661. [Google Scholar] [CrossRef]
- Gao, X.; Cao, M.; Zhang, Y.; Liu, Y.; Tong, H.; Yao, Q. Towards sustainability: An assessment of an urbanisation bubble in China using a hierarchical—Stochastic multicriteria acceptability analysis—Choquet integral method. J. Clean. Prod. 2021, 279, 123650. [Google Scholar] [CrossRef]
- Shishehchi, S.; Banihashem, S.Y.; Zin, N.A.M.; Noah, S.A.M. Review of personalized recommendation techniques for learners in e-learning systems. In Proceedings of the 2011 International Conference on Semantic Technology and Information Retrieval, Putrajaya, Malaysia, 28–29 June 2011; pp. 277–281. [Google Scholar] [CrossRef]
- Zheng, X.; Zhu, M.; Li, Q.; Chen, C.; Tan, Y. FinBrain: When finance meets AI 2.0. Front. Inf. Technol. Electron. Eng. 2019, 20, 914–924. [Google Scholar] [CrossRef]
- Kwon, Y.; Rhu, M. Training personalized recommendation systems from (GPU) scratch: Look forward not backwards. In Proceedings of the ISCA’22: 49th Annual International Symposium on Computer Architecture, New York, NY, USA, 18–22 June 2022; pp. 860–873. [Google Scholar] [CrossRef]
- Leung, C.K.; Kajal, A.; Won, Y.; Choi, J.M.C. Big Data Analytics for Personalized Recommendation Systems. In Proceedings of the 2019 IEEE International Conference on Dependable, Autonomic and Secure Computing, International Conference on Pervasive Intelligence and Computing, International Conference on Cloud and Big Data Computing, International Conference on Cyber Science and Technology Congress (DASC/PiCom/CBDCom/CyberSciTech), Fukuoka, Japan, 5–8 August 2019; pp. 1060–1065. [Google Scholar] [CrossRef]
- Wang, C.; Zheng, Y.; Jiang, J.; Ren, K. Toward Privacy-Preserving Personalized Recommendation Services. Engineering 2018, 4, 21–28. [Google Scholar] [CrossRef]
- Xu, C.; Su, F.; Lehmann, J. Time-aware graph neural networks for entity alignment between temporal knowledge graphs. arXiv 2022, arXiv:2203.02150. [Google Scholar]
- Dhani, J.S.; Bhatt, R.; Ganesan, B.; Sirohi, P.; Bhatnagar, V. Similar cases recommendation using legal knowledge graphs. arXiv 2021, arXiv:2107.04771. [Google Scholar]
- Castellano, G.; Digeno, V.; Sansaro, G.; Vessio, G. Leveraging knowledge graphs and deep learning for automatic art analysis. Knowl. Based Syst. 2022, 248, 108859. [Google Scholar] [CrossRef]
- Huang, C.-Y.; Hsieh, H.-L.; Chen, H. Evaluating the Investment Projects of Spinal Medical Device Firms Using the Real Option and DANP-mV Based MCDM Methods. Int. J. Environ. Res. Public Health 2020, 17, 3335. [Google Scholar] [CrossRef] [PubMed]
- Zhou, J.; Cui, G.; Hu, S.; Zhang, Z.; Yang, C.; Liu, Z.; Wang, L.; Li, C.; Sun, M. Graph Neural Networks: A Review of Methods and Applications. AI Open 2020, 1, 57–81. [Google Scholar] [CrossRef]
- Bogina, V.; Kuflik, T.; Jannach, D.; Bielikova, M.; Kompan, M.; Trattner, C. Considering temporal aspects in recommender systems: A survey. User Model. User Adapt. Interact. 2023, 33, 81–119. [Google Scholar] [CrossRef]
- Koren, Y.; Bell, R.; Volinsky, C. Matrix factorization techniques for recommender systems. Computer 2009, 42, 30–37. [Google Scholar] [CrossRef]
- You, J.; Wang, Y.; Pal, A.; Eksombatchai, P.; Rosenburg, C.; Leskovec, J. Hierarchical temporal convolutional networks for dynamic recommender systems. In Proceedings of the The World Wide Web Conference 2019, San Francisco, CA, USA, 13–17 May 2019; pp. 2236–2246. [Google Scholar]
- Baral, R.; Li, T. Maps: A multi aspect personalized poi recommender system. In Proceedings of the 10th ACM Conference on Recommender Systems, Boston, MA, USA, 15–19 September 2016; pp. 281–284. [Google Scholar]
- Anelli, V.W.; Bellini, V.; Di Noia, T.; La Bruna, W.; Tomeo, P.; Di Sciascio, E. An analysis on time-and session-aware diversification in recommender systems. In Proceedings of the 25th Conference on User Modeling, Adaptation and Personalization, Bratislava, Slovakia, 9–12 July 2017; pp. 270–274. [Google Scholar]
- Rabiu, I.; Salim, N.; Da’u, A.; Osman, A. Recommender system based on temporal models: A systematic review. Appl. Sci. 2020, 10, 2204. [Google Scholar] [CrossRef]
- Rahmani, H.A.; Aliannejadi, M.; Baratchi, M.; Crestani, F. Joint geographical and temporal modeling based on matrix factorization for point-of-interest recommendation. In Advances in Information Retrieval: 42nd European Conference on IR Research, ECIR 2020, Lisbon, Portugal, April 14–17, 2020, Proceedings, Part I 42; Springer: Berlin/Heidelberg, Germany, 2020; pp. 205–219. [Google Scholar]
- Zheng, H.-T.; Chen, J.-Y.; Liang, N.; Sangaiah, A.K.; Jiang, Y.; Zhao, C.-Z. A deep temporal neural music recommendation model utilizing music and user metadata. Appl. Sci. 2019, 9, 703. [Google Scholar] [CrossRef]
- Ma, T.; Yu, S. De-Selection Bias Recommendation Algorithm Based on Propensity Score Estimation. Appl. Sci. 2023, 13, 8038. [Google Scholar] [CrossRef]
- Darban, Z.Z.; Valipour, M.H. GHRS: Graph-based hybrid recommendation system with application to movie recommendation. Expert Syst. Appl. 2022, 200, 116850. [Google Scholar] [CrossRef]
- Han, S.C.; Lim, T.; Long; Burgstaller, B.; Poon, J. GLocal-K: Global and Local Kernels for Recommender Systems. In Proceedings of the CIKM ’21: 30th ACM International Conference on Information & Knowledge Management, Queensland, Australia, 1–5 November 2021; pp. 3063–3067. [Google Scholar] [CrossRef]
- Leng, Y.; Ruiz, R.; Dong, X.; Pentland, A.S. Interpretable Recommender System with Heterogeneous Information: A Geometric Deep Learning Perspective. SSRN Electron. J. 2020, 10, 2411–2430. [Google Scholar] [CrossRef]
- Horasan, F.; Yurttakal, A.H.; Gündüz, S. A novel model based collaborative filtering recommender system via truncated ULV decomposition. J. King Saud Univ. Comput. Inf. Sci. 2023, 35, 101724. [Google Scholar] [CrossRef]
- Zhu, X.; Fu, J.; Chen, C. Matrix Completion of Adaptive Jumping Graph Neural Networks for Recommendation Systems. IEEE Access 2023, 11, 88433–88450. [Google Scholar] [CrossRef]
- Muller, L.; Martel, J.; Indiveri, G. Kernelized Synaptic Weight Matrices. In Proceedings of the 35th International Conference on Machine Learning, Stockholm, Sweden, 10–15 July 2018; pp. 3654–3663. Available online: https://proceedings.mlr.press/v80/muller18a.html (accessed on 3 September 2023).
- Zheng, Y.; Tang, B.; Ding, W.; Zhou, H. A Neural Autoregressive Approach to Collaborative Filtering. In Proceedings of the 33rd International Conference on Machine Learning, New York, NY, USA, 20–22 June 2016; pp. 764–773. Available online: https://proceedings.mlr.press/v48/zheng16.html (accessed on 3 September 2023).
- Cui, Z.; Xu, X.; Xue, F.; Cai, X.; Cao, Y.; Zhang, W.; Chen, J. Personalized recommendation system based on collaborative filtering for IoT scenarios. IEEE Trans. Serv. Comput. 2020, 13, 685–695. [Google Scholar] [CrossRef]
- Tang, H.; Liu, J.; Zhao, M.; Gong, X. Progressive Layered Extraction (PLE): A Novel Multi-Task Learning (MTL) Model for Personalized Recommendations. In Proceedings of the RecSys ’20: 14th ACM Conference on Recommender Systems, Virtual, Brazil, 22–26 September 2020; Association for Computing Machinery: New York, NY, USA, 2020; pp. 269–278. [Google Scholar] [CrossRef]
- Naumov, M.; Mudigere, D.; Shi, H.J.M.; Huang, J.; Sundaraman, N.; Park, J.; Wang, X.; Gupta, U.; Wu, C.J.; Azzolini, A.G.; et al. Deep learning recommendation model for personalization and recommendation systems. arXiv 2019, arXiv:1906.00091. [Google Scholar] [CrossRef]
- Qin, C.; Zhu, H.; Zhuang, F.; Guo, Q.; Zhang, Q.; Zhang, L.; Wang, C.; Chen, E.; Xiong, H. A survey on knowledge graph-based recommender systems. IEEE Trans. Knowl. Data Eng. 2020, 34, 3549–3568. [Google Scholar]


| Parameter | Value |
|---|---|
| Number of factors | 50 |
| Hidden layers | 50 |
| Dropout rate | 0.2 |
| Batch size | 4096 |
| Learning rate | |
| Weight decay | |
| Number of epochs | 30 |
| Optimizer | Adam |
| Loss Function | RMSE, MAE |
| MovieLens 100K | Model | RMSE | MAE | p-Value |
| LFM-SPE | 0.795 | 0.661 | ||
| GHRS | 0.887 | 0.685 | ||
| GLocal-K | 0.889 | 0.690 | ||
| MG-GAT | 0.890 | 0.692 | ||
| T-ULVD | 0.892 | 0.701 | ||
| Proposed model | 0.757 | 0.590 | 0.000 | |
| MovieLens 1M | Model | RMSE | MAE | p-value |
| LFM-SPE | 0.736 | 0.638 | ||
| GLocal-K | 0.823 | 0.640 | ||
| SparseFC | 0.824 | 0.643 | ||
| CF-NADE | 0.829 | 0.645 | ||
| T-ULVD | 0.848 | 0.669 | ||
| Proposed model | 0.722 | 0.565 | 0.0174 | |
| Douban | Model | RMSE | MAE | p-value |
| JK-DMC | 0.718 | 0.517 | ||
| GLocal-K | 0.721 | 0.521 | ||
| MG-GAT | 0.737 | 0.541 | ||
| SparseFC | 0.745 | 0.551 | ||
| Proposed model | 0.712 | 0.511 | 0.000 |
| Models | Pros | Cons |
|---|---|---|
| GHRS | The hybrid approach combines multiple features, providing robust recommendations | Lacks a temporal component, thereby not accounting for users’ recent behavior |
| GLocal-K | Focuses on both local and global patterns, providing balanced recommendations | Not as sophisticated in capturing complex relationships |
| MG-GAT | Captures complex relationships through multiple graphs | Does not account for temporal dynamics |
| SparseFC | Requires fewer parameters than traditional fully connected layers, making it computationally efficient | The performance is highly dependent on the choice of the kernel function, which may require expertise to select appropriately |
| CF-NADE | Specifically designed for collaborative filtering tasks where data sparsity is a common issue, providing a more nuanced model | The algorithm’s time complexity can be high, especially when the hidden representation’s dimensions and the number of possible ratings are large |
| TKGRS | Incorporates a time decay factor, thus adding a temporal dimension. Utilizes graph convolutional networks (GCNs) for a sophisticated understanding of the complex relationships between users and items | The complexity may be higher due to the incorporation of GCNs, which could make it slower for larger datasets |
Disclaimer/Publisher’s Note: The statements, opinions and data contained in all publications are solely those of the individual author(s) and contributor(s) and not of MDPI and/or the editor(s). MDPI and/or the editor(s) disclaim responsibility for any injury to people or property resulting from any ideas, methods, instructions or products referred to in the content. |
© 2023 by the authors. Licensee MDPI, Basel, Switzerland. This article is an open access article distributed under the terms and conditions of the Creative Commons Attribution (CC BY) license (https://creativecommons.org/licenses/by/4.0/).
Share and Cite
Chen, C.-Y.; Huang, J.-J. Temporal-Guided Knowledge Graph-Enhanced Graph Convolutional Network for Personalized Movie Recommendation Systems. Future Internet 2023, 15, 323. https://doi.org/10.3390/fi15100323
Chen C-Y, Huang J-J. Temporal-Guided Knowledge Graph-Enhanced Graph Convolutional Network for Personalized Movie Recommendation Systems. Future Internet. 2023; 15(10):323. https://doi.org/10.3390/fi15100323
Chicago/Turabian StyleChen, Chin-Yi, and Jih-Jeng Huang. 2023. "Temporal-Guided Knowledge Graph-Enhanced Graph Convolutional Network for Personalized Movie Recommendation Systems" Future Internet 15, no. 10: 323. https://doi.org/10.3390/fi15100323
APA StyleChen, C.-Y., & Huang, J.-J. (2023). Temporal-Guided Knowledge Graph-Enhanced Graph Convolutional Network for Personalized Movie Recommendation Systems. Future Internet, 15(10), 323. https://doi.org/10.3390/fi15100323

