PECSA: Practical Edge Computing Service Architecture Applicable to Adaptive IoT-Based Applications
Abstract
:1. Introduction
- (1)
- We propose a practical edge computing service architecture that integrates a trust management methodology with dynamic cost evaluation schemes. To better allocate online resources and meet the demands of IoT-based applications, all the service requirements are divided into three categories: (1) requirements that need to be handled within the shortest time, (2) requirements that need to be completed using the minimum price, and (3) requirements that need to be handled using the minimum price within a given time. Users are allowed to choose one of the three service types according to the specific situations, while the providers are able to provide various services.
- (2)
- Our architecture is robust regardless of the relationship between data volume and computation amount. A scale factor is used to construct the relationship. Our estimation schemes change adaptively with the change in coefficients; thus, the robustness of our architecture is not be undermined by task changes.
- (3)
- The available devices are filtered before task allocation based on our trust management scheme. The service provider selects the nodes with a high trust value for data processing, and the nodes with a low trust value are rejected. The convergence time is very small, and the trust bias is acceptable. Moreover, the trust managements in the IoT and the edge networks are distinguished. The former focuses on the legality of behavior, while the latter focuses on the availability of resources. Moreover, the edge platform can monitor the edge network status to dynamically adjust the resource allocation strategies.
2. Related Work
3. Preliminary
3.1. Trust Evaluation Mechanism
3.2. Novel Service Architecture
- (1)
- Trust management: unlike IoT nodes, the trust values of the edge nodes are focused on the available resources.
- (2)
- Edge resource management: in edge networks, all the available resources are managed by edge servers. The trust value, runtime resources, and tasks of every device in the edge cloud are reported to the servers periodically.
- (3)
- Evaluation of the minimum service time: for time-sensitive users, their service requests need to be processed as soon as possible, regardless of the price costs.
- (4)
- Evaluation of the minimum service price: many users want to obtain the results of their requirements with a minimum price, although this service type results in longer wait times.
- (5)
- Evaluation of the minimum price within a given time: users want to achieve a tradeoff between service time and price.
- (6)
- Task allocation: based on the above functions, each task is divided into several parts and sent to the appropriate edge nodes.
- (1)
- Trust management: the cloud develops trust management strategies and methods for calculating trust values in edge networks and the IoT, respectively.
- (2)
- Edge resource management: the cloud cooperates with edge servers to manage the resources and coordinate resources among different edge servers.
- (3)
- Task allocation: the cloud participates in task allocation and data processing if the edge servers cannot meet stringent user demands.
4. Materials and Methods
4.1. Trust Evaluation Mechanism
4.1.1. Trust Evaluation Mechanism in the IoT
4.1.2. Trust Evaluation Mechanism in Edge Networks
4.1.3. Comprehensive Trust Computation
| Algorithm 1: Trust estimation algorithm. | |
| Input: | |
| :node type// node in IoT or node in the edge network; | |
| ,, :thresholds used in the algorithm; | |
| N:number of currently available nodes in the edge network; | |
| Output: | |
| ,, N | |
| Begin | |
| 01: each node calculates using (2) and sends it to the | |
| associated server; | |
| 02: if NT=1 //the node is in IoT | |
| 03: {if | |
| 04: moves node j out of the route list of node i; | |
| 05: else | |
| 06: moves node j into the route list of node i; | |
| 07: the server calculates using (4); | |
| 08: if | |
| 09: blacklists node j; } | |
| 10: else if NT=2//the node is in the edge network | |
| 11: {the server calculates using (4); | |
| 12: if | |
| 13: if node j is on the available list | |
| 14: {; | |
| 15: moves node j out of the available list;} | |
| 16: else | |
| 17: if node j is on the available list | |
| 18: ; | |
| 19: else | |
| 20: moves node j into the available list; | |
| 21: ;} | |
| end |
4.2. Three Basic Service Types and the Associated Cost Evaluation Schemes
4.2.1. The Evaluation of the Minimum Service Time
4.2.2. The Minimum Price Evaluation
4.2.3. Minimum Price Evaluation with a Given Time
| Algorithm 2: Service estimation and resource allocation algorithm. |
| Input: |
| ,,: requirements of user |
| : the total data volume of a task |
| : the computing power of the ith edge node |
| : data transmission rate from user to the ith edge node |
| l: the ratio of the data volume associated to calculation amount |
| : coefficients determined by billing models |
| : the unit price of a digital signature |
| : unit calculation price of the ith edge node |
| : the service type |
| Output: |
| : available service time |
| : available service price |
| : the task allocation quota |
| 01: for { |
| 02: if ST=1 |
| 03: {compute the minimum service time ; |
| 04: if |
| 05: {compute ; |
| 06: compute ; |
| 07: break; } |
| 08: else |
| 09: continue;} |
| 10: else if ST=2 |
| 11: { compute the minimum service price ; |
| 12: if |
| 13: { compute ;compute ; |
| 14: break; } |
| 15: else |
| 16: continue;} |
| 17: else if ST=3 |
| 18: {compute the minimum service price within a given time ; |
| 19: compute related with }} |
4.3. Time Complexity
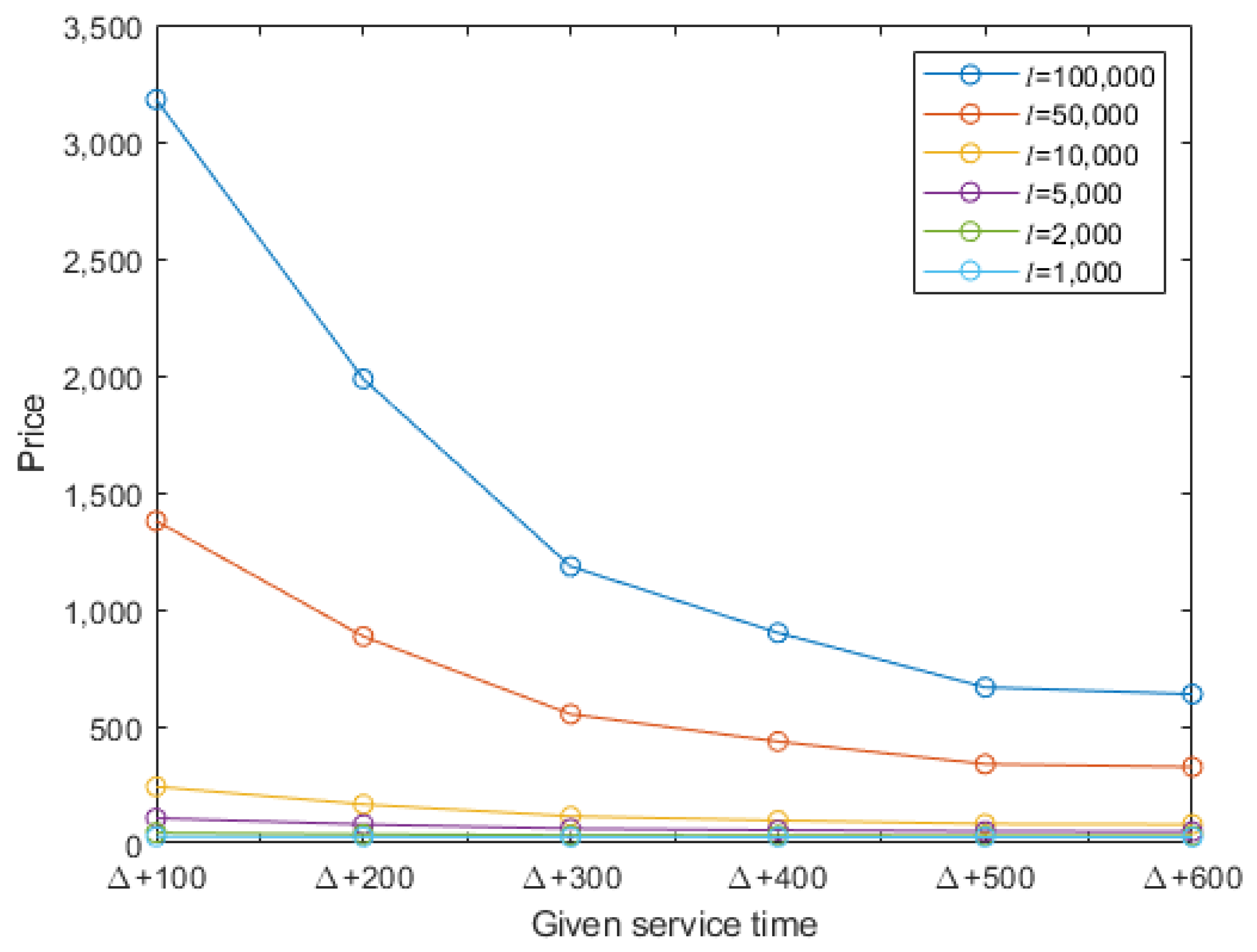
5. Performance Evaluation
5.1. Experiment Setup
5.2. Comparative Analysis
6. Discussions
7. Conclusions
Author Contributions
Funding
Institutional Review Board Statement
Informed Consent Statement
Data Availability Statement
Conflicts of Interest
References
- Shen, S.; Han, Y.; Wang, X.; Wang, Y. Computation Offloading with Multiple Agents in Edge-Computing–Supported IoT. ACM Trans. Sens. Netw. 2020, 16, 1–27. [Google Scholar] [CrossRef]
- Salaht, F.; Desprez, F.; Lebre, A. An Overview of Service Placement Problem in Fog and Edge Computing. ACM Comput. Surv. 2020, 53, 1–35. [Google Scholar] [CrossRef]
- Shi, W.; Cao, J.; Zhang, Q.; Li, Y.; Xu, L. Edge Computing: Vision and Challenges. IEEE Internet Things J. 2016, 3, 637–646. [Google Scholar] [CrossRef]
- Wang, L.; Jiao, L.; Li, J.; Gedeon, J.; Mühlhäuser, M. MOERA: Mobility-Agnostic Online Resource Allocation for Edge Computing. IEEE Trans. Mob. Comput. 2019, 18, 1843–1856. [Google Scholar] [CrossRef]
- Liu, Y.; Peng, M.; Shou, G.; Chen, Y.; Chen, S. Toward Edge Intelligence: Multiaccess Edge Computing for 5G and Internet of Things. IEEE Internet Things J. 2020, 7, 6722–6747. [Google Scholar] [CrossRef]
- Sladana, J.; Gyorgy, D. Computation Offloading Scheduling for Periodic Tasks in Mobile Edge Computing. IEEE/ACM Trans. Netw. 2020, 28, 667–680. [Google Scholar] [CrossRef]
- Mach, P.; Becvar, Z. Mobile Edge Computing: A Survey on Architecture and Computation Offloading. IEEE Commun. Surv. Turorials 2017, 19, 1628–1656. [Google Scholar] [CrossRef] [Green Version]
- Chen, X.; Jiao, L.; Li, W. Efficient Multi-User Computation Offloading for Mobile-Edge Cloud Computing. IEEE-ACM Trans. Netw. 2016, 24, 2827–2840. [Google Scholar] [CrossRef] [Green Version]
- Mao, Y.; Zhang, J.; Letaief, K. Dynamic Computation Offloading for Mobile-Edge Computing With Energy Harvesting Devices. IEEE J. Sel. Areas Commun. 2016, 34, 3590–3605. [Google Scholar] [CrossRef] [Green Version]
- Abbas, N.; Zhang, Y.; Taherkordi, A.; Skeie, T. Mobile Edge Computing: A Survey. IEEE Internet Things J. 2018, 5, 450–460. [Google Scholar] [CrossRef] [Green Version]
- Satyanarayanan, M.; Bahl, P.; Caceres, R.; Davies, N. The casefor VM-based cloudlets in mobile computing. IEEE Pervasive Comput. 2009, 8, 14–23. [Google Scholar] [CrossRef]
- Wang, T.; Zhang, G.; Liu, A.; Bhuiyan, A.; Jin, Q. A Secure IoT Service Architecture with an Efficient Balance Dynamics Based on Cloud and Edge Computing. IEEE Internet Thing J. 2019, 6, 4831–4843. [Google Scholar] [CrossRef]
- Satyanarayanan, M.; Simoens, P.; Xiao, Y.; Pillai, P.; Chen, Z.; Ha, K.; Hu, W.; Amos, N. Edge analytics in the internet of things. IEEE Pervasive Comput. 2015, 14, 24–31. [Google Scholar] [CrossRef] [Green Version]
- Ning, Z.; Dong, P.; Wang, X.; Rodrigues, J.; Xia, F. Deep Reinforcement Learning for Vehicular Edge Computing: An Intelligent Offloading System. ACM Trans. Intell. Syst. Technol. 2019, 10, 1–24. [Google Scholar] [CrossRef] [Green Version]
- Jararweh, Y. Enabling efficient and secure energy cloud using edge computing and 5G. J. Parallel Distrib. Comput. 2020, 145, 42–49. [Google Scholar] [CrossRef]
- Jia, G.; Han, G.; Du, J.; Chan, S. A Maximum Cache Value Policy in Hybrid Memory-Based Edge Computing for Mobile Devices. IEEE Internet Things J. 2019, 6, 4401–4410. [Google Scholar] [CrossRef]
- Wang, F.; Xu, J.; Wang, X.; Cui, S. Joint Offloading and Computing Optimization in Wireless Powered Mobile-Edge Computing Systems. IEEE Trans. Wirel. Commun. 2018, 17, 1784–1797. [Google Scholar] [CrossRef]
- Yi, S.; Qin, Z.; Li, Q. Security and privacy issues of fog computing: A survey. In Proceedings of the International Conference on Wireless Algorithms, Systems, and Applications, Qufu, China, 10–12 August 2015; pp. 685–695. [Google Scholar]
- Stojmenovic, I.; Wen, S.; Huang, X.; Luan, H. An overview of fog computing and its security issues. In Concurrency and Computation: Practice and Experience; Wiley: New York, NY, USA, 2015; Volume 28. [Google Scholar]
- Li, H.; Shou, G.; Hu, Y.; Guo, Z. Mobile edge computing: Progress and challenges. In Proceedings of the 2016 4th IEEE International Conference on Mobile Cloud Computing, Services, and Engineering (MobileCloud), Oxford, UK, 29 March–1 April 2016; pp. 83–84. [Google Scholar]
- Jeong, S.; Simeone, O.; Kang, J. Mobile Edge Computing via a UAV-Mounted Cloudlet: Optimization of Bit Allocation and Path Planning. IEEE Trans. Veh. Technol. 2018, 67, 2049–2063. [Google Scholar] [CrossRef] [Green Version]
- Bi, S.; Zhang, Y. Computation Rate Maximization for Wireless Powered Mobile-Edge Computing With Binary Computation Offloading. IEEE Trans. Wirel. Commun. 2018, 17, 4177–4190. [Google Scholar] [CrossRef] [Green Version]
- Zhang, K.; Hua, Y.; Tian, F. A coalition-structure’s generation method for solving cooperative computing problems in edge computing environments. Inf. Sci. 2020, 536, 372–390. [Google Scholar] [CrossRef]
- Chen, M.; Hao, Y. Task Offloading for Mobile Edge Computing in Software Defined Ultra-Dense Network. IEEE J. Sel. Areas Commun. 2018, 36, 587–597. [Google Scholar] [CrossRef]
- Shah, H.; Wong, V. Hierarchical Fog-Cloud Computing for IoT Systems: A Computation Offloading Game. IEEE Internet Things J. 2018, 5, 3246–3257. [Google Scholar] [CrossRef] [Green Version]
- Barcelo, M.; Correa, A.; Llorca, J.; Tulino, A.M.; Vicario, J.L.; Morell, A. IoT-cloud service optimization in next generation smart environments. IEEE J. Sel. Areas Commun. 2016, 34, 4077–4090. [Google Scholar] [CrossRef]
- Guo, H.; Liu, J.; Zhang, J.; Sun, W.; Kato, N. Mobile-Edge Computation Offloading for Ultradense IoT Networks. IEEE Internet Things J. 2018, 5, 4977–4988. [Google Scholar] [CrossRef]
- Premsankar, G.; Di Francesco, M.; Taleb, T. Edge Computing for the Internet of Things: A Case Study. IEEE Internet Things J. 2018, 5, 1275–1284. [Google Scholar] [CrossRef] [Green Version]
- Chen, I.-R.; Guo, J.; Bao, F. Trust management for SOA-based IoT and its application to service composition. IEEE Trans. Serv. Comput. 2017, 9, 482–495. [Google Scholar] [CrossRef] [Green Version]
- Alshehri, M.D.; Hussain, F.K.; Hussain, O.K.; Omar, K. Clustering-Driven Intelligent Trust Management Methodology for the Internet of Things (CITM-IoT). Mob. Netw. Appl. 2018, 23, 419–431. [Google Scholar] [CrossRef]
- Duan, J.; Gao, D.; Yang, D.; Foh, C.H.; Chen, H.-H. An energy aware trust derivation scheme with game theoretic approach in wireless sensor networks for IoT applications. IEEE Internet Things J. 2014, 1, 58–69. [Google Scholar] [CrossRef]
- Zhang, C.; Zhu, X.; Song, Y.; Fang, Y. A Formal Study of Trust-Based Routing in Wireless Ad Hoc Networks. In Proceedings of the INFOCOM’10: 29th Conference on Information Communications, San Diego, CA, USA, 14–19 March 2010; pp. 2838–2846. [Google Scholar]
- Suryani, V.; Sulistyo, S.; Widyawan, W. Internet of Things (IoT) framework for granting trust among objects. J. Inf. Process. Syst. 2017, 13, 1613–1627. [Google Scholar]
- Liu, X.; Liu, Y.; Liu, A.; Yang, L.T. Defending ON–OFF attacks using light probing messages in smart sensors for industrial communication systems. IEEE Trans. Ind. Informat. 2018, 14, 3801–3811. [Google Scholar] [CrossRef]
- Meng, W.; Li, W.; Su, C.; Zhou, J.; Lu, R. Enhancing trust management for wireless intrusion detection via traffic sampling in the era of big data. IEEE Access 2018, 6, 7234–7243. [Google Scholar] [CrossRef]
- Zhu, C.; Leung, V.C.; Yang, L.T.; Shu, L.; Rodrigues, J.J.; Li, X. Trust assistance in sensor-cloud. In Proceedings of the 2015 IEEE Conference on Computer Communications Workshops (INFOCOM WKSHPS), Hong Kong, China, 26 April–1 May 2015; pp. 342–347. [Google Scholar]
- Patil, P.; Narayankar, P.; Narayan, D.G.; Meena, S.M. A Comprehensive Evaluation of Cryptographic Algorithms: DES, 3DES, AES, RSA and Blowfish. In Proceedings of the 1st International Conference on Information Security and Privacy 2015, Nagpur, India, 11–12 December 2015; pp. 617–624. [Google Scholar]
- Christoph, D.; Maria, E.; Florian, M. Analysis of SHA-512/224 and SHA-512/256. In Proceedings of the International Conference on the Theory and Application of Cryptology and Information Security, Auckland, New Zealand, 29 November–3 December 2015; pp. 1–30. [Google Scholar]
- Khan, M.S. Quality Adaptation in a Multisession Multimedia System: Model, Algorithms and Architecture. Ph.D. Thesis, University of Victoria, Victoria, BC, Canada, 1998. [Google Scholar]
- Zhao, M.; Xu, B. Serial Decoding Algorithm with Continuous Backtracking for LDPC Convolutional Codes. Wirel. Pers. Commun. 2019, 4, 1–11. [Google Scholar] [CrossRef]
- Zhu, W.; Sun, W.; Wang, Y.; Liu, S.; Xu, K. An Improved RANSAC Algorithm Based on Similar Structure Constraints. In Proceedings of the 2016 International Comference on Robots and Intelligent System, Zhangjiajie, China, 27–28 August 2016; pp. 94–100. [Google Scholar]










| Adjacent Nodes | Trust Value | Location List | White List | Black List | Time |
|---|---|---|---|---|---|
| node | 0.7 | GPS position 1 | 1 | ||
| node | 0.8 | GPS position 2 | 2 | ||
| node | 0.9 | GPS position 3 | 3 |
| Symbol | Meaning |
|---|---|
| R | requirements of user |
| S | available services of service provider |
| time requirement of user | |
| security requirement of user | |
| price requirement of user | |
| available service time of service provider | |
| available security service of service provider | |
| available service price of service provider | |
| total battery energy of node i | |
| data transmission time | |
| security arrangement time, such as time of encryption, signature, etc. | |
| calculation time |
| Parameter | Value |
|---|---|
| Data transmission rate of 5G, | 1024 Mbps |
| Data transmission rate of 4G, | 72 Mbps |
| Computing capability of nodes in , | 0.08 ms/10,000 multiplications |
| Computing capability of nodes in , | 0.12 ms/10,000 multiplications |
| Computing capability of nodes in , | 0.15 ms/10,000 multiplications |
| Computing capability of nodes in , | 0.20 ms/10,000 multiplications |
| Computing capability of nodes in , | 0.25 ms/10,000 multiplications |
| Calculation price of nodes in , | 0.06/10,000 multiplications |
| Calculation price of nodes in | 0.03/10,000 multiplications |
| Calculation price of nodes in | 0.012/10,000 multiplications |
| Calculation price of nodes in | 0.0054/10,000 multiplications |
| Calculation price of nodes in | 0.0036/10,000 multiplications |
| Security price, | 0.08/1 MB |
| Computing energy consume in edge cloud, | 90 W/Gigacycles |
| The total battery capacity, | 1000 J |
Publisher’s Note: MDPI stays neutral with regard to jurisdictional claims in published maps and institutional affiliations. |
© 2021 by the authors. Licensee MDPI, Basel, Switzerland. This article is an open access article distributed under the terms and conditions of the Creative Commons Attribution (CC BY) license (https://creativecommons.org/licenses/by/4.0/).
Share and Cite
Liu, J.; Wu, Z. PECSA: Practical Edge Computing Service Architecture Applicable to Adaptive IoT-Based Applications. Future Internet 2021, 13, 294. https://doi.org/10.3390/fi13110294
Liu J, Wu Z. PECSA: Practical Edge Computing Service Architecture Applicable to Adaptive IoT-Based Applications. Future Internet. 2021; 13(11):294. https://doi.org/10.3390/fi13110294
Chicago/Turabian StyleLiu, Jianhua, and Zibo Wu. 2021. "PECSA: Practical Edge Computing Service Architecture Applicable to Adaptive IoT-Based Applications" Future Internet 13, no. 11: 294. https://doi.org/10.3390/fi13110294
APA StyleLiu, J., & Wu, Z. (2021). PECSA: Practical Edge Computing Service Architecture Applicable to Adaptive IoT-Based Applications. Future Internet, 13(11), 294. https://doi.org/10.3390/fi13110294

