Improving Recommendation Accuracy Using Social Network of Owners in Social Internet of Vehicles
Abstract
1. Introduction
2. Related Work
- success rate of recommendations achieved from the network; and
- comparability of PoIs utilization, with focus on resistance to highly skewed distribution.
“Given that a long-term and consistent connectivity transforms into interactions (and more trustworthy information sharing), the prospect of the spread of useful information in the network increases with (favorable) evolution of the network, occurring solely due to internal dynamics of a regular network (such as triadic closure).”
3. Combinatorial Framework
4. The Proposed Model
4.1. Activity Life Cycle
4.2. Quality of Service Variability
4.3. Activity Replacement Strategies
- ReplaceS: Replaces an activity with the help of a strong tie from the SIoV.
- ReplaceW: Replaces an activity with the help of a weak tie from SIoV.
- ReplaceM: Replaces an activity with the help of vehicles’ data of the person on SN with highest degree.
- ReplaceL: Replaces an activity with the help of vehicles’ data of a random person on SN.
4.4. Social Network Model
5. Evaluation and Discussion
5.1. Simulation Environment
5.2. Input Parameters
- Replacement strategy: which has four possible options: ReplaceS, ReplaceW, ReplaceM, and ReplaceL.
- Use of quality enforcement mechanism: the model requires that the quality enforcement mechanism is invoked or not. It is applied exclusively to each strategy.
- Quality update threshold = 50;
- force quality interval = 10;
- persons (vehicles) count = 500; and
- POI % = 3% of 500.
5.3. Statistical Measures
- Number of Good Visits: This parameter counts the total number of Good Visits throughout the simulation. A visit is a Good Visit when, at the time of the visit, the q value of the POI is greater than or equal to the expectation of the visitor.
- Number of Bad Visits: This parameter maintains the total number of Bad Visits throughout the simulation. A visit is a Bad Visit when, at the time of the visit, the q value of the POI is less than the expectation of the visitor.
- Number of No Visits: This parameter counts the number of visits, when the visits are not performed.
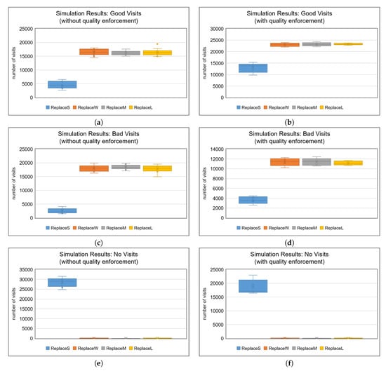
5.4. Simulation Results and Discussion
6. Conclusions and Future Work
Future Work
Author Contributions
Funding
Conflicts of Interest
Abbreviations
| IoV | Internet of Vehicles |
| IoT | Internet of Things |
| SIoV | Social IoV |
| VIoT | Vehicular Internet of Things |
| VANETs | Vehicular Adhoc NETworks |
| VSN | Vehicular Social Networks |
References
- Weiser, M. The computer for the 21st century. Sci. Am. 1991, 265, 94–104. [Google Scholar] [CrossRef]
- Atzori, L.; Iera, A.; Morabito, G. The internet of things: A survey. Comput. Netw. 2010, 54, 2787–2805. [Google Scholar] [CrossRef]
- Wortmann, F.; Flüchter, K. Internet of things. Bus. Inf. Syst. Eng. 2015, 57, 221–224. [Google Scholar] [CrossRef]
- Dandala, T.; Krishnamurthy, V.; Alwan, R. Internet of Vehicles (IoV) for traffic management. In Proceedings of the 2017 International Conference on Computer, Communication and Signal Processing (ICCCSP), Chennai, India, 10–11 January 2017; pp. 1–4. [Google Scholar] [CrossRef]
- Cunha, F.; Villas, L.; Boukerche, A.; Maia, G.; Viana, A.; Mini, R.A.; Loureiro, A.A. Data communication in VANETs: Protocols, applications and challenges. Ad Hoc Netw. 2016, 44, 90–103. [Google Scholar] [CrossRef]
- Abbani, N.; Jomaa, M.; Tarhini, T.; Artail, H.; El-Hajj, W. Managing social networks in vehicular networks using trust rules. In Proceedings of the 2011 IEEE Symposium on Wireless Technology and Applications (ISWTA), Langkawi, Malaysia, 25–28 September 2011; pp. 168–173. [Google Scholar] [CrossRef]
- Luan, T.H.; Shen, X.S.; Bai, F.; Sun, L. Feel bored? Join verse! Engineering vehicular proximity social networks. IEEE Trans. Veh. Technol. 2015, 64, 1120–1131. [Google Scholar] [CrossRef]
- Atzori, L.; Floris, A.; Girau, R.; Nitti, M.; Pau, G. Towards the implementation of the Social Internet of Vehicles. Comput. Netw. 2018, 147, 132–145. [Google Scholar] [CrossRef]
- Tao, M.; Wei, W.; Huang, S. Location-based trustworthy services recommendation in cooperative-communication-enabled Internet of Vehicles. J. Netw. Comput. Appl. 2019, 126, 1–11. [Google Scholar] [CrossRef]
- Kerrache, C.A.; Calafate, C.T.; Cano, J.C.; Lagraa, N.; Manzoni, P. Trust management for vehicular networks: An adversary-oriented overview. IEEE Access 2016, 4, 9293–9307. [Google Scholar] [CrossRef]
- Wang, S.; Hou, Y.; Gao, F.; Ji, X. A novel IoT access architecture for vehicle monitoring system. In Proceedings of the 2016 IEEE 3rd World Forum on Internet of Things (WF-IoT), Reston, VA, USA, 12–14 December 2016; pp. 639–642. [Google Scholar]
- Raja, V.; Gokul, R.; Krishnan, H.; Kathiresan, B. Smart Vehicle Authentication and Due Date Monitoring System using IoT. Asian J. Appl. Sci. Technol. 2017, 1, 265–267. [Google Scholar]
- Jabbarpour, M.R.; Nabaei, A.; Zarrabi, H. Intelligent guardrails: An IoT application for vehicle traffic congestion reduction in smart city. In Proceedings of the 2016 IEEE International Conference on Internet of Things (iThings) and IEEE Green Computing and Communications (GreenCom) and IEEE Cyber, Physical and Social Computing (CPSCom) and IEEE Smart Data (SmartData), Chengdu, China, 15–18 December 2016; pp. 7–13. [Google Scholar]
- Liu, Y.; Chen, X.; Chen, C.; Guan, X. Traffic big data analysis supporting vehicular network access recommendation. In Proceedings of the 2016 IEEE International Conference on Communications (ICC), Kuala Lumpur, Malaysia, 22–27 May 2016. [Google Scholar]
- Lu, Y.; Zhao, Z.; Zhang, B.; Ma, L.; Huo, Y.; Jing, G. A context-aware budget-constrained targeted advertising system for vehicular networks. IEEE Access 2018, 6, 8704–8713. [Google Scholar] [CrossRef]
- Einziger, G.; Chiasserini, C.F.; Malandrino, F. Scheduling Advertisement Delivery in Vehicular Networks. IEEE Trans. Mob. Comput. 2018, 17, 2882–2897. [Google Scholar] [CrossRef]
- Bourdy, E. Big Data Algorithms Adapted to Vehicular Networks for Driver’s Behavior Modeling. Ph.D. Thesis, Université de Reims Champagne Ardenne URCA, Great Eastern Region, France, 2018. [Google Scholar]
- Wilensky, U.; Rand, W. An Introduction to Agent-based Modeling: Modeling Natural, Social, and Engineered Complex Systems with NetLogo; MIT Press: Cambridge, MA, USA, 2015. [Google Scholar]
- Reilly, A.C.; Dillon, R.L.; Guikema, S.D. Agent-based models as an integrating boundary object for interdisciplinary research. Risk Anal. 2018. [Google Scholar] [CrossRef]
- Smaldone, S.; Han, L.; Shankar, P.; Iftode, L. Roadspeak: Enabling voice chat on roadways using vehicular social networks. In Proceedings of the 1st Workshop on Social Network Systems, Glasgow, Scotland, UK, 1 April 2008; pp. 43–48. [Google Scholar] [CrossRef]
- Hu, X.; Leung, V.; Li, K.G.; Kong, E.; Zhang, H.; Surendrakumar, N.S.; TalebiFard, P. Social drive: A crowdsourcing-based vehicular social networking system for green transportation. In Proceedings of the Third ACM international Symposium on Design and Analysis of Intelligent Vehicular Networks and Applications, Barcelona, Spain, 3–8 November 2013; pp. 85–92. [Google Scholar] [CrossRef]
- Sha, W.; Kwak, D.; Nath, B.; Iftode, L. Social vehicle navigation: Integrating shared driving experience into vehicle navigation. In Proceedings of the 14th Workshop on Mobile Computing Systems and Applications, Jekyll Island, GA, USA, 26–27 February 2013; p. 16. [Google Scholar] [CrossRef]
- Zhang, Y.; Zhao, J.; Cao, G. Roadcast: A popularity aware content sharing scheme in vanets. ACM SIGMOBILE Mob. Comput. Commun. Rev. 2010, 13, 1–14. [Google Scholar] [CrossRef]
- Ning, Z.; Xia, F.; Ullah, N.; Kong, X.; Hu, X. Vehicular Social Networks: Enabling Smart Mobility. IEEE Commun. Mag. 2017, 55, 16–55. [Google Scholar] [CrossRef]
- Yasar, A.U.H.; Mahmud, N.; Preuveneers, D.; Luyten, K.; Coninx, K.; Berbers, Y. Where People and Cars Meet: Social Interactions to Improve Information Sharing in Large Scale Vehicular Networks. In Proceedings of the 2010 ACM Symposium on Applied Computing, Sierre, Switzerland, 22–26 March 2010; pp. 1188–1194. [Google Scholar] [CrossRef]
- Hu, X.; Zhao, J.; Zhou, D.; Leung, V. A semantics-based multi-agent framework for vehicular social network development. In Proceedings of the first ACM International Symposium on Design and Analysis of Intelligent Vehicular Networks and Applications, Miami Beach, FL, USA, 31 October–4 November 2011; pp. 87–96. [Google Scholar]
- Hu, X.; Wang, W.; Leung, V.C. VSSA: A service-oriented vehicular social-networking platform for transportation efficiency. In Proceedings of the second ACM international symposium on Design and analysis of intelligent vehicular networks and applications, Paphos, Cyprus, 21–25 October 2012; pp. 31–38. [Google Scholar]
- Farris, I.; Girau, R.; Militano, L.; Nitti, M.; Atzori, L.; Iera, A.; Morabito, G. Social virtual objects in the edge cloud. IEEE Cloud Comput. 2015, 2, 20–28. [Google Scholar] [CrossRef]
- Maglaras, L.A.; Al-Bayatti, A.H.; He, Y.; Wagner, I.; Janicke, H. Social internet of vehicles for smart cities. J. Sens. Actuator Netw. 2016, 5, 3. [Google Scholar] [CrossRef]
- Atzori, L.; Iera, A.; Morabito, G.; Nitti, M. The social internet of things (siot)–when social networks meet the internet of things: Concept, architecture and network characterization. Comput. Netw. 2012, 56, 3594–3608. [Google Scholar] [CrossRef]
- Alam, K.M.; Saini, M.; El Saddik, A. Toward social internet of vehicles: Concept, architecture, and applications. IEEE Access 2015, 3, 343–357. [Google Scholar] [CrossRef]
- Alam, K.M.; Saini, M.; El Saddik, A. Tnote: A Social Network of Vehicles under Internet of Things; Hsu, R.C.-H., Wang, S., Eds.; Springer Nature: Berlin, Germany, 2014; pp. 227–236. [Google Scholar]
- Hu, X.; Zhao, J.; Seet, B.; Leung, V.C.M.; Chu, T.H.S.; Chan, H. S-Aframe: Agent-Based Multilayer Framework with Context-Aware Semantic Service for Vehicular Social Networks. IEEE Trans. Emerg. Top. Comput. 2015, 3, 44–63. [Google Scholar] [CrossRef]
- Mostafi, S.; Khan, F.; Chakrabarty, A.; Suh, D.Y.; Piran, M.J. An algorithm for mapping a traffic domain into a complex network: A social internet of things approach. IEEE Access 2019, 7, 40925–40940. [Google Scholar] [CrossRef]
- Akabane, A.T.; Immich, R.; Pazzi, R.W.; Madeira, E.R.M.; Villas, L.A. Exploiting Vehicular Social Networks and Dynamic Clustering to Enhance Urban Mobility Management. Sensors 2019, 19, 3558. [Google Scholar] [CrossRef] [PubMed]
- Loscri, V.; Manzoni, P.; Nitti, M.; Ruggeri, G.; Vegni, A.M. A social internet of vehicles sharing SIoT relationships. In Proceedings of the ACM MobiHoc Workshop on Pervasive Systems in the IoT Era, Catania, Italy, 2 July 2019. [Google Scholar] [CrossRef]
- Zia, K.; Muhammad, A.; Saini, D.K.; Ferscha, A. Agent-based model of smart social networking-driven recommendations system for internet of vehicles. In Advances in Practical Applications of Agents, Multi-Agent Systems, and Complexity: The PAAMS Collection; Demazeau, Y., An, B., Bajo, J., Fernandez-Caballero, A., Eds.; Springer Nature: Berlin, Germany, 2018; pp. 275–287. [Google Scholar]
- Zia, K.; Muhammad, A.; Khalid, A.; Din, A.; Ferscha, A. Towards Exploration of Social in Social Internet of Vehicles Using an Agent-Based Simulation. Complexity 2019, 2019, 1–13. [Google Scholar] [CrossRef]
- Newman, M.E. Clustering and preferential attachment in growing networks. Phys. Rev. E 2001, 64, 025102. [Google Scholar] [CrossRef] [PubMed]








| Phase | Strategy | Hypothesis |
|---|---|---|
| 1: without quality enforcement | ReplaceS | Both 1 & 3 |
| ReplaceW | ||
| ReplaceM | Both 2 & 3 | |
| ReplaceL | ||
| 2: with quality enforcement | ReplaceS | Only 3 |
| ReplaceW | ||
| ReplaceM | ||
| ReplaceL |
© 2020 by the authors. Licensee MDPI, Basel, Switzerland. This article is an open access article distributed under the terms and conditions of the Creative Commons Attribution (CC BY) license (http://creativecommons.org/licenses/by/4.0/).
Share and Cite
Zia, K.; Shafi, M.; Farooq, U. Improving Recommendation Accuracy Using Social Network of Owners in Social Internet of Vehicles. Future Internet 2020, 12, 69. https://doi.org/10.3390/fi12040069
Zia K, Shafi M, Farooq U. Improving Recommendation Accuracy Using Social Network of Owners in Social Internet of Vehicles. Future Internet. 2020; 12(4):69. https://doi.org/10.3390/fi12040069
Chicago/Turabian StyleZia, Kashif, Muhammad Shafi, and Umar Farooq. 2020. "Improving Recommendation Accuracy Using Social Network of Owners in Social Internet of Vehicles" Future Internet 12, no. 4: 69. https://doi.org/10.3390/fi12040069
APA StyleZia, K., Shafi, M., & Farooq, U. (2020). Improving Recommendation Accuracy Using Social Network of Owners in Social Internet of Vehicles. Future Internet, 12(4), 69. https://doi.org/10.3390/fi12040069

