Steganalysis of Quantization Index Modulation Steganography in G.723.1 Codec
Abstract
1. Introduction
2. Related Works
3. The Effect of Index Distribution
3.1. Vector Quantization of G.723.1
3.2. QIM Steganography
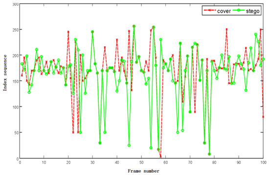
3.3. Codewords Distribution Features
- The probability of each index value between 0 and 255 has changed on the vertical axis.
- From the view of the horizontal axis, the neighbour frames have a certain correlation duo to the speech signal has short-term invariance.
4. Quantitative Model
4.1. Indexed Probability Model
4.2. Transition Probability Matrix Model
4.3. PCA Dimensionality Reduction
5. Experiment and Results Analysis
5.1. Experimental Environment
5.2. Classifier Selection
5.3. Results Analysis
- Through the true positive rate (TPR), the false positive rate (FPR) and the probability (Pr), ACD and SCD are also performed on the five types of speech segments. The experimental results are compared with the steganalysis results of the detection based on Mel frequency cepstrum coefficient (MFCC) method in the literature [8].
- The paper analyzes the ACD and SCD of speech segments which includes different durations and different steganographic embedding rates. At the same time, the paper also analyzes the advantages and disadvantages of ACD and SCD to detect these two situations.
5.3.1. Performance
5.3.2. Embedding Rate
5.3.3. Voice Duration
6. Conclusions
Author Contributions
Funding
Conflicts of Interest
References
- Zhang, T.; Wang, Y.M. Information hiding technology and its application security. ZTE Commun. 2002, 8, 42–45. Available online: https://www.zte.com.cn/china/about/magazine/zte-communications/2002/2/cn_307/149979.html (accessed on 19 January 2020).
- Li, S.B.; Sun, D.H.; Yuan, J.; Huang, Y.F. A compressed speech stream steganalysis method based on codeword distribution characteristics in G.729A. Chin. J. Electron. 2012, 40, 842–846. (In Chinese) [Google Scholar]
- Li, S.B.; Huang, Y.F.; Lu, J.C. Low-rate speech coding QIM steganographic detection based on statistical model and SVM. Chin. J. Comput. 2013, 36, 1168–1176. Available online: http://cjc.ict.ac.cn/qwjs/view.asp?id=3865 (accessed on 19 January 2020). [CrossRef]
- Chen, B.; Wornell, G.W. Quantization Index Modulation: A Class of Provably Good Methods for Digital Watermarking and Information Embedding. IEEE Trans. Inf. Theory 2001, 47, 1423–1443. [Google Scholar] [CrossRef]
- Gao, H.Y. A Blind Steganalysis Algorithm of QIM-Based Hiding. In Proceedings of the 2008 International Conference on Intelligent Information Hiding and Multimedia Signal Processing, Harbin, China, 15–17 August 2008; pp. 273–276. [Google Scholar]
- Malik, H.; Subbalakshmi, K.P.; Chandramouli, R. Steganalysis of QIM-based data hiding using kernel density estimation. In Proceedings of the 9th workshop on Multimedia & Security, Dallas, TX, USA, 20–21 September 2007. [Google Scholar]
- Fu, J.W.; Qi, Y.C.; Yuan, J.S. Wavelet domain audio steganalysis based on statistical moments and PCA. In Proceedings of the 2007 International Conference on Wavelet Analysis and Pattern Recognition, Beijing, China, 2–4 November 2007; pp. 1619–1623. [Google Scholar]
- Liu, Q.Z.; Sung, A.H.; Qiao, M. Temporal Derivative-Based Spectrum and Mel-Cepstrum Audio Steganalysis. IEEE Trans. Inf. Forensic. Secur. 2009, 4, 359–368. [Google Scholar]
- Sun, J.F.; Tang, G.M. Blind detection of QIM steganography for audio jitter modulation. Comput. Eng. Appl. 2011, 47, 74–76. Available online: http://cea.ceaj.org/CN/10.3778/j.issn.1002-8331.2011.01.021# (accessed on 19 January 2020).
- Zhong, S.P.; Xu, Q.F.; Guo, W.Z.; Liao, B. Blind steganographic detection using Hilbert scan sequence short weight code statistics. J. Commun. 2013, 34, 51–60. Available online: http://www.infocomm-journal.com/txxb/CN/Y2013/V34/I1/6 (accessed on 19 January 2020).
- Wang, H.T.; Zhang, Z.; Yang, X.Y.; Lin, Z.Q. A kind of steganalysis method based on optimized feature weighted SVM. Appl. Res. Comput. 2013, 30, 2105–2107. Available online: http://www.arocmag.com/article/01-2013-07-046.html (accessed on 19 January 2020).
- Chen, X.N.; Zhang, M.Q.; Ma, L. A method of steganalysis based on improved SVM. Comput. Eng. Appl. 2010, 4, 97–99. Available online: http://cea.ceaj.org/CN/abstract/abstract16983.shtml# (accessed on 19 January 2020).
- Wang, Y.J.; Jiang, W.W. A method of steganalysisi based on fuzzy C-means clustering and single class SVM. J. Comput. Appl. 2016, 36, 647–652. Available online: http://www.joca.cn/CN/abstract/abstract19092.shtml (accessed on 19 January 2020).
- Chen, G.X.; Liao, Z.S.; Wang, D.S. SVM steganalysis algorithm based on correlation and texture metrics. J. Tsinghua Univ. (Sci. Technol.) 2009, 8, 1233–1236. [Google Scholar]
- Xian, Y.; Pan, F.; Shen, J. Based on feature fusion weighted SVM audio steganographic analysis algorithm. Netw. Secur. Technol. Appl. 2014, 9, 45–46. [Google Scholar]
- Li, S.B.; Tao, H.Z.; Huang, Y.F. Detection of quantization index modulation steganography in G.723.1 bit stream based on quantization index sequence analysis. J. Zhejiang Univ. Sci. C 2012, 13, 624–634. [Google Scholar] [CrossRef]
- Li, S.B.; Jia, Y.Z.; Fu, J.Y.; Dai, Q.X. Pitch modulation information hiding detection based on codebook association network. Chin. J. Comput. 2014, 37, 2107–2117. Available online: http://cjc.ict.ac.cn/qwjs/view.asp?id=4353 (accessed on 19 January 2020).
- Gu, X.Y.; Guo, J.C.; Tian, Y.H.; Li, C.Y. Feature selection algorithm for spatial steganographic detection based on conditional mutual information. J. Tianjin Univ. (Sci. Technol.) 2017, 50, 961–966. Available online: http://journals.tju.edu.cn/zrb/oa/darticle.aspx?type=view&id=201709010 (accessed on 19 January 2020).
- Yin, P.P. Steganalysis Method for G.723.1 Speech Based on Quantization Index Modulation. Master’s Thesis, Civil Aviation University of China, Tianjin, China, 2017. [Google Scholar]
- Wu, Z. Information Hiding in Speech Signals for Secure Communication; Syngress Publishing: Amsterdam, The Netherlands, 2014. [Google Scholar]
- Xiao, B.; Huang, Y.F.; Tang, S.Y. An approach to information hiding in low bit-rate speech stream. In Proceedings of the IEEE GLOBECOM 2008—2008 IEEE Global Telecommunications Conference, New Orleans, LO, USA, 30 November–4 December 2008; pp. 1940–1944. [Google Scholar]
- Chang, C.C.; Lin, C.J. LIBSVM: A library for support vector machines. ACM Trans. Intell. Syst. Technol. 2011, 2, 27. [Google Scholar] [CrossRef]
- Li, S.B.; Jia, Y.; Kuo, C.-C.J. Steganalysis of QIM Steganography in Low-Bit-Rate Speech Signals. IEEE/ACM Trans. Audio Speech Lang. Process. 2017, 25, 1011–1022. [Google Scholar] [CrossRef]
- Tian, H.; Liu, J.; Li, S. Improving security of quantization-index-modulation steganography in low bit-rate speech streams. Multimed. Syst. 2014, 20, 143–154. [Google Scholar] [CrossRef]











| Index | 1 | 2 | … | N |
|---|---|---|---|---|
| QIS1 | S1,1 | S1,2 | … | S1,N |
| QIS2 | S2,1 | S2,2 | … | S2,N |
| QIS3 | S3,1 | S3,2 | … | S3,N |
| Steganography Algorithm | Without PCA | PCA | ||
|---|---|---|---|---|
| FV | DR | FV | DR | |
| CNV-QIM | 256 | 95.83 | 120 | 95.5 |
| Category | ACD | SCD | ||||
|---|---|---|---|---|---|---|
| TPR | FPR | Pr | TPR | FPR | Pr | |
| CM | 96 | 5 | 95.5 | 95 | 6 | 94 |
| CW | 93 | 6 | 93.5 | 96 | 5 | 95.5 |
| EM | 95 | 7 | 94 | 94 | 6 | 94 |
| EW | 94 | 6 | 94 | 96 | 5 | 95.5 |
| EW | 94 | 6 | 94 | 96 | 5 | 95.5 |
| Hybrid | 93 | 7 | 93 | 95 | 6 | 94.5 |
| Embedding Rate | ACD (%) | SCD (%) | ||||||||
|---|---|---|---|---|---|---|---|---|---|---|
| CM | CW | EM | EW | Hybrid | CM | CW | EM | EW | Hybrid | |
| 10% | 43 | 46 | 44.5 | 45 | 44.5 | 49.5 | 52 | 54 | 54 | 55 |
| 30% | 64 | 65 | 63.5 | 65 | 64.5 | 65 | 66 | 65.5 | 64 | 64 |
| 50% | 76 | 77 | 76.5 | 75 | 76.5 | 77 | 79 | 78.5 | 77.5 | 78 |
| 80% | 86 | 87.5 | 87 | 85 | 86 | 87 | 86.5 | 88 | 87.5 | 86 |
| 100% | 95.5 | 93.5 | 94 | 94 | 93 | 94 | 95.5 | 94 | 95.5 | 94.5 |
| Time (s) | Frames | ACD (%) | SCD (%) | ||||||||
|---|---|---|---|---|---|---|---|---|---|---|---|
| CM | CW | EM | EW | Hybrid | CM | CW | EM | EW | Hybrid | ||
| 0.3 | 10 | 12 | 11 | 11.5 | 11 | 10 | 52 | 54 | 55 | 53.5 | 52.5 |
| 0.6 | 20 | 16.5 | 17 | 19 | 18.5 | 15 | 62 | 63.5 | 62 | 63 | 62.5 |
| 1.2 | 40 | 56 | 55 | 57.5 | 57 | 56.5 | 79 | 80.5 | 81.5 | 82 | 80 |
| 2.4 | 80 | 72 | 70.5 | 69.5 | 68 | 71 | 88 | 87 | 86 | 89 | 87 |
| 3 | 100 | 89 | 86 | 87.5 | 90 | 88 | 90.5 | 92 | 91 | 93.5 | 93 |
| 6 | 200 | 92 | 91.5 | 93 | 92.5 | 91.5 | 94.5 | 95 | 92.5 | 94.5 | 94 |
| 9 | 300 | 95.5 | 93.5 | 94 | 94 | 93 | 94 | 95.5 | 94 | 95.5 | 94.5 |
© 2020 by the authors. Licensee MDPI, Basel, Switzerland. This article is an open access article distributed under the terms and conditions of the Creative Commons Attribution (CC BY) license (http://creativecommons.org/licenses/by/4.0/).
Share and Cite
Wu, Z.; Li, R.; Yin, P.; Li, C. Steganalysis of Quantization Index Modulation Steganography in G.723.1 Codec. Future Internet 2020, 12, 17. https://doi.org/10.3390/fi12010017
Wu Z, Li R, Yin P, Li C. Steganalysis of Quantization Index Modulation Steganography in G.723.1 Codec. Future Internet. 2020; 12(1):17. https://doi.org/10.3390/fi12010017
Chicago/Turabian StyleWu, Zhijun, Rong Li, Panpan Yin, and Changliang Li. 2020. "Steganalysis of Quantization Index Modulation Steganography in G.723.1 Codec" Future Internet 12, no. 1: 17. https://doi.org/10.3390/fi12010017
APA StyleWu, Z., Li, R., Yin, P., & Li, C. (2020). Steganalysis of Quantization Index Modulation Steganography in G.723.1 Codec. Future Internet, 12(1), 17. https://doi.org/10.3390/fi12010017

