Next Article in Journal
VNF Placement Optimization at the Edge and Cloud
Next Article in Special Issue
Web Browser Network Based on a BA Model for a Web-Based Virtual World
Previous Article in Journal
Gamification vs. Privacy: Identifying and Analysing the Major Concerns
 
 
Font Type:
Arial Georgia Verdana
Font Size:
Aa Aa Aa
Line Spacing:
Column Width:
Background:
Article

Snack Texture Estimation System Using a Simple Equipment and Neural Network Model †

Niihama College, National Institute of Technology, Niihama City, Ehime Prefecture 792-8580, Japan
*
Author to whom correspondence should be addressed.
This paper is a revised and expanded version of a paper entitled “Texture Estimation System of Snacks Using Neural Network Considering Sound and Load” presented at The 13th International Conference on P2P, Parallel, Grid, Cloud and Internet Computing (3PGCIC-2018), Taichung, Taiwan, 27–29 October 2018.
Future Internet 2019, 11(3), 68; https://doi.org/10.3390/fi11030068
Submission received: 28 December 2018 / Revised: 1 March 2019 / Accepted: 4 March 2019 / Published: 8 March 2019

Abstract

Texture evaluation is manually performed in general, and such analytical tasks can get cumbersome. In this regard, a neural network model is employed in this study. This paper describes a system that can estimate the food texture of snacks. The system comprises a simple equipment unit and an artificial neural network model. The equipment simultaneously examines the load and sound when a snack is pressed. The neural network model analyzes the load change and sound signals and then outputs a numerical value within the range (0,1) to express the level of textures such as “crunchiness” and “crispness”. Experimental results validate the model’s capacity to output moderate texture values of the snacks. In addition, we applied the convolutional neural network (CNN) model to classify snacks and the capability of the CNN model for texture estimation is discussed.

Graphical Abstract

1. Introduction

Food texture is a typical sensory experience influencing an individual’s preference or distaste of a food product. The relationship between sensory perception and texture, described by the adjectives such as “crispy”, “crunchy”, and “crackly”, has been analyzed previously [1]. According to Hayakawa [2], there are 445 terms related to texture in the Japanese language. For example, “crunchy” is equivalently represented by several onomatopoeic words, including “Kali-Kali” or “Boli-Boli”. Japanese people might be comparatively sensitive to the texture of foods.
In Japan, snack texture is typically examined by human inspectors and quality evaluators of manufacturing firms. In the process, sensory evaluation is based on the person’s sensibility. In cases of discrepancy, an artificial Intelligence (AI) might be supportive in finalizing the decision of an evaluation task. For example, given differing evaluations of the human inspectors, the AI can propose objective numerical values in the form of “crispness = 0.8” or “crunchiness = 0.5”. With such criteria, an agreement would be met among the inspectors, thus alleviating their burden in the course. AI-based systems, such as a neural network model, are potentially capable of learning from a large amount of data, while simultaneously inferring moderate estimation; more available data provide a more precise estimation. Therefore, such intelligent systems could be effective aids in the management and inspection of food texture quality.
Research on automatic food-texture-estimation methods has been conducted previously. Sakurai et al. [3,4,5] proposed a method for texture diagnosis, which analyzes the sound of a sharp metal probe stabbing the food for texture estimation. Liu and Tan [6] applied a neural network model to evaluate the “crispness” score of snacks by magnifying the crushing sound with a microphone; they crushed the snacks using a pair of pliers by hand and inputted the produced sound signal features to the neural network model. Moreover, Srisawas and Jindal [7] used a neural network to estimate the grade of snacks by estimating “crispness”; the snack was manually crushed with a pair of pincers, and then the resulting sound was inputted to the neural network.
While several food-texture-estimation studies [3,4,5,6,7] inferred texture considering only sound, humans tend to evaluate texture by also considering the load on their teeth. The load signal is as equally important as sound in texture estimation. We therefore developed novel equipment capable of examining both signals simultaneously. We applied a neural network model for numerical texture level inference for vegetables such as cucumbers and radishes, in terms of “munch-ness” and “crunchiness” [8].
Similarly, Okada and Nakamoto [9] developed a human-tooth-imitating-sensor that could sense the vibration and load on the tooth, complemented by a recurrent neural network model, which inferred the numerical classification value of the snacks or the sweets into “biscuits”, “gummy candy”, or “corn snack”. Conversely, our study does not aim to categorize snacks but to quantify the texture level of their “crunchiness” or “crispness” within the numerical range (0,1), and develop simple and durable equipment and an intelligent model for the texture level estimation.
The load sensor used in our previous equipment [8] was very narrow and fragile, as shown in Figure 1a, and could accommodate only small food specimens. The current paper developed equipment built from the ground up [10]. Figure 1b illustrates the system, in which the load sensor is attached to the top of the probe for examining differently sized food specimens. Rheometers are commonly used in food manufacturing companies for measuring the force response of the food [11]; nevertheless, rheometers are not built with a sound sensor, unlike our equipment. Therefore, we could regard our equipment as a next-generation rheometer capable of observing load change and sound signals simultaneously. The equipment is very simple, durable, user-friendly, and inexpensive. The novelty of the current study is emphasized on the fusion of our original simple equipment and the artificial neural network model. In particular, the proposed model considers both the sound and load.
We first constructed a simple system using a neural network model that can quantify texture into numerical levels, e.g., “crispness = 0.8 or crunchiness = 0.5”. If such quantification is realized, food texture evaluation can be elevated to a merchandise level, and further development can be accomplished. We conducted an experiment to validate the efficiency of our proposed simple system.
As this study focuses on sound analysis, we investigated recent studies on sound signal processing using AI techniques, and then discovered several studies on audio feature analysis using a spectrogram. A spectrogram image obtained by short-time Fourier transform contains rich information regarding sound characteristics [12,13,14]; for this, a convolution neural network (CNN) [15] is employed to classify the sound from the inputted spectrogram. Justin and Juan [16] addressed the classification of an environmental sound using CNN, into which a spectrogram-like image (mel-spectrogram) is inputted. CNN is useful for texture analysis of biometrics such as finger prints, palm texture [17], and the iris [18] to identify persons.
Shervin et al. [19] suggested the application of CNN in distinguishing commercial scenes from main video contents, considering video slide images and spectrogram images. Likewise, Shawn et al. [20] classify the musical performance scenes from video stream by CNN, which deals with performance scene images and spectrograms of audio. Such an interesting cross-modal method is possible in our study by combining the sound spectrogram and load change curve images. Afterward, these images will be processed by CNN for texture estimation. This study also addressed applying CNN for classifying snacks. The CNN analyzes an image that comprises the spectrogram of sound and visualized load intensity with color gradation. The capability of CNN for texture estimation is discussed.

2. System Structure

Figure 2 shows the system construction. In Figure 2a, the equipment comprises an air cylinder that moves the metal probe up and down; under the flat and round metal probe is the food sample, i.e., potato chips. The air cylinder moves the probe up and down once it gains air pressure. On the other hand, the load sensor is a load cell fixed between the probe and the air cylinder rod, while the sound sensor is fixed on the metal probe. The system structure is shown in Figure 2b. Signals from the sound and load sensors are amplified and transmitted to the computer via a data acquisition device. As noise is not filtered, the experiment should be performed in a quiet environment. The computer calculates input parameters of the neural network model: W1–W5 and F1–F5 express the characteristics of the load change and the sound features, respectively. The model then outputs the texture level range of (0,1) for “crunchiness” and “crispness”. Here, “crunchy” texture refers to a feeling with a certain load accompanied by a loud sound, while “crispy” texture is the feeling with small load accompanied by high-frequency sound.
Food viscosity or elasticity are measured by a rheometer [11], which is generally used to measure only the force response of the food through an electrical motor that moves the probe. In our proposed equipment, we focus on measuring sound and relate it to “crunchiness” or “crispness” of the food specimen. For this reason, we employ the air cylinder instead of the electrical motor, which causes mechanical noise.
As shown in Figure 3, if such an intelligent system is connected to the internet, then a user holding the equipment can obtain texture information from the server quickly due to the neural network model trained by a big amount of data.

3. Experiment

Rice crackers, potato chips, cookies, biscuits, and corn snacks purchased from a local supermarket were the food specimens evaluated by the system (Figure 4).
Table 1 shows the number of samples and texture information of each food specimen after the experiment. Specifically, 200 rice crackers, 200 potato chips, 200 cookies, 200 biscuits, and 200 corn snacks were sampled. Table 2 enumerates the conditions for the load and sound evaluation of the food samples.
Figure 5a shows the image of three stacked potato chips being crushed by the equipment; this was carried out 200 times, leading to 200 data for the potato chips samples.
The experiment of each sample was conducted 200 times, for a total of 200 data. The samples are numbered accordingly, as illustrated in Table 1. Figure 6 displays graphs of five specimens of the experiment. The graph at the top illustrates the curve of the load (red line) and the sound (blue line), as shown in Figure 6a, which indicates that as the probe touched the sample, the load increased and a loud sound occurred. The middle graph in Figure 6a shows automatically extracted signals for 2.0 s; the extraction method is explained in the following paragraph. By focusing on the 2.0 s period while the snack is being pressed, we do not have to consider the noise influence except at the 2.0 s period. The bottom graph in Figure 6a shows the FFT (Fast Fourier Transform) results of the extracted 2.0 s sound data. Likewise, the results for the potato chips, cookie, biscuit, and corn snack samples are displayed in Figure 6b–e, respectively.
The signal data for 2.0 s were extracted from the entire 10 s data as shown in Figure 7a.
(i)
The maximum load point (1) was determined.
(ii)
Point, at 1.0 % of maximum load, was identified.
(iii)
Finally, signals for 2.0 s from point (2) were extracted.
The load curve of the extracted 2.0 s signals was divided into five sections, as shown in Figure 7b. Subsequently, parameters W1–W5 in the load were calculated as follows:
-
W1 is the average of the load between 0.0 s and 0.4 s.
-
W2 is the average between 0.4 s and 0.8 s.
-
W3 is the average between 0.8 s and 1.2 s.
-
W4 is the average between 1.2 s and 1.6 s.
-
W5 is the average between 1.6 s and 2.0 s.
The extracted 2.0 s sound signal data were converted by FFT, resulting in a frequency range of 1–10 kHz, which was also divided into five sections, as shown in Figure 7c. F1–F5 in the sound were calculated as follows:
-
F1 is the integration of FFT result between 1 Hz and 2 kHz.
-
F2 is the integration of results between 2 kHz and 4 kHz.
-
F3 is the integration of results between 4 kHz and 6 kHz.
-
F4 is the integration of results between 6 kHz and 8 kHz.
-
F5 is the integration of results between 8 kHz and 10 kHz.
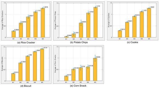
Figure 8 shows the average values and standard deviations (STDs) of the parameters W1–W5 for (a) rice cracker, (b) potato chips, (c) cookie, (d) biscuit, and (e) corn snack, respectively. As observed, averages of W were different depending on each specimen.
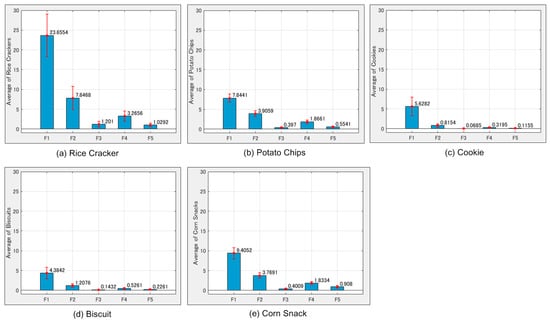
Figure 9 shows the average values and STDs of F1–F5 for the (a) the rice cracker, (b) potato chips, (c) cookie, (d) biscuit, and (e) corn snack, respectively. Likewise, F1–F5 differed in the specimens.
The STDs showed that the parameters characterized different types of specimens, with respect to the form, size, and density. For texture estimation, we employed the neural network model. In a conventional texture analysis, multiple regression is employed as enormous sample data are analyzed [21]; determining characteristics related to a target texture is a very complicated task. The neural network model simplifies this task and works well with the parameters W1–W5, and F1–F5 is obtained by a very simple calculation.

4. Neural Network Model

The neural network model for texture degree estimation is shown in Figure 10. The input layer comprises 10 nodes for W1–W5 and F1–F5, and a bias node. Hidden layers 1 and 2 comprise 10 nodes and a bias node, respectively. The output layer comprises two nodes expressing the degree range (0,1) of “crunchiness” and “crispness”.
The transfer function of hidden layers 1, 2, and the output layer is expressed in Equations (1) – (3), respectively, where x j is j-th input node value, H k is the output value of k-th node of hidden layer 1, I is the output value of the -th node of hidden layer 2, and Y 1 and Y 2 are the model outputs:
H k = 1 1 + exp ( z k ) ,   z k = j = 0 10 x j w j k ,   x 0 = 1.0
I = 1 1 + exp ( s ) ,   s = k = 0 10 H k v k ,   H 0 = 1.0
Y m = 1 1 + exp ( p m ) ,   p m = = 0 10 I u m ,   I 0 = 1.0
where w , v and u are the connection weights between the input layer and hidden layer 1, between hidden layers 1 and 2, and between hidden layer 2 and the output layer, respectively. The connection weights were adjusted to minimize the difference (i.e., error) between the expected value and the actual neural network output Y m via the back-propagation algorithm [22].
For a limited amount of data, such as in our case, the neural network model is verified via cross-validation [23]. We implemented the leave-one-out cross-validation (Figure 11) normally adopted for obtaining a reliable estimation [24].
For Data Set (1), initially, (W1–W5, F1–F5) of sample Nos. 2–1000 were used for training the connection weights of the neural network in step (A). Subsequently, (W1–W5, F1–F5) of No. 1 were inputted to the trained network in step (B). Finally, crunchiness and crispness outputs of the network were registered in the estimation result data store in step (C). Similarly, (A)–(C) were repeated from Data Sets (2)–(1000). This Leave-One-Out Cross-Validation (LOOCV) was thus considered as 1000-fold cross-validation. The above procedure could be explained as follows:
Step 0: i 1
Step 1: Select i-th sample data out of all 1000 samples
Step 2: Prepare the next 999 train input vectors except the i-th data
X t r a i n ( n ) = [ W 1 ( n ) W 5 ( n ) F 1 ( n ) F 5 ( n ) ]    for   n = 1 ,   2 , ,   999 .
Step 3: Prepare the next 999 correct output vectors
Y t r a i n ( n ) = [ Y 1 ( n ) Y 2 ( n ) ]     for   n = 1 ,   2 , ,   999 .
where, Y t r a i n ( n ) = [ 0.9 0.8 ] is assigned for the rice crackers, Y t r a i n ( n ) = [ 0.2 0.9 ] is assigned for the potato chips, Y t r a i n ( n ) = [ 0.7 0.7 ] is assigned for the cookies, Y t r a i n ( n ) = [ 0.5 0.7 ] is assigned for the biscuits, and Y t r a i n ( n ) = [ 0.4 0.8 ] is assigned for the corn snacks. These values were in accordance with Table 1.
Step 4: Initiate the connection weights w, v, and u, which are random values. Train the neural network model by the back-propagation algorithm by adjusting w, v, and u so that Y t r a i n ( n ) is outputted when the corresponding X t r a i n ( n ) is inputted. In particular, the iteration to train the network is 100 epochs. It is necessary to observe the decreasing error as the epoch proceeds.
Step 5: Input W1–W5 and F1–F5 of the i-th sample data into the neural network model trained in previous step i.e., Step 4. (*Note that the i-th sample data is not used to train the neural network in Step 4.) The output texture value set (i.e., estimated texture result of the i-th sample) is registered in the estimation result data store.
When i = 1000 , the routine is completed, otherwise i i + 1 and return to Step 1. Table 3 shows the averages of texture values in the estimation result data store. Although the sample data not used for training were inputted to the neural network model, the model outputs generally expected values.
Based on the result of this implementation, the neural network model estimated the expected textures almost correctly, even though there was a dispersion in parameters W1–W5 and F1–F5. Figure 12 displays the averages and STDs in Table 3.
To validate the general flexibility of the neural network model, we performed another 10-fold cross-validation for Data Sets (1)–(10), as shown in Figure 13. For Data Set (1), Nos. 101–1000 were used to train the neural network, while Nos. 1–100 were used as test data and thus, inputted to the trained neural network afterward. The outputted results were registered in the estimation result data store. Similarly, for Data Set (2), Nos. 101–200 were used to test the neural network, previously trained by Nos. 1–100 and Nos. 201–1000. This process was iterated from Data Sets (1)–(10) in the same way explained above from Step 0 to Step 5. For each data set, the test data output were preserved in the estimation result data store. The estimation result data store for the validation is illustrated in Figure 14.
Since the training data were decreased compared with the Leave-One-Out Cross-Validation (LOOCV) in Figure 11 (i.e., LOOCV), the estimated result dispersed as STDs are shown in Figure 14. However, estimation values generally gathered around the expected values, even though W1–W5 and F1–F5 showed dispersion even for the same food specimen, as previously shown in Figure 8 and Figure 9. In summary, the combination of our equipment and NN (Neural Network) worked well to quantify the texture levels.

5. CNN

The spectrogram has rich sound features [12,13,14]. To enhance the system capabilities, we considered introducing CNN [15], which deals with images. As a first step, we tried to classify snacks using CNN.
Since we have only 1000 data points, we adopted AlexNet [25], which is a pre-trained CNN. We employed the Neural Network Toolbox in MATLAB developed by MathWorks. We conducted Transfer Learning using AlexNet [26]. Figure 15 shows the CNN classifying the snacks. Note that the ReLU operation, cross-channel normalization, and max-pooling layers are omitted in Figure 15. CNN comprises the input layer for the 227 × 227 RGB image and soft-max output layer. The soft-max layer outputs classified values of rice cracker, potato chips, cookies, biscuit, and corn snacks within a range of (0,1). The item with the highest classified value is judged as an inputted snack. For instance, the value of the rice cracker is highest in Figure 15; thereby, the inputted image is classified as a rice cracker.
The convolution layers (conv1–conv5) and fully connected layers (fc6 and 7) are original parts which are pre-trained with a massive number of image data. We only attached fc8 and the soft-max layer with original AlexNet.
The input image (227 × 227 RGB) comprises the spectrogram and visualized load intensity (Figure 16b), which are obtained from extracted 2.0 s signals (Figure 16a). FFT is performed in each section from (1)–(19), as shown in Figure 16a, where the period of each section is 0.2 s, and then there are 0.1 s overlaps between the adjacent sections. FFT results of (1)–(19) are visualized, as shown in Figure 16b. In addition, this image also includes information in the load intensity, which is visualized in the bottom part of the image.
The images of snacks are generated automatically and numbered as shown in Table 4, and then some of the generated images are shown in Figure 17.
Table 5 enumerates the conditions for validation of CNN. The 10-fold cross-validation in Figure 13 is performed. The result is shown in Table 6. CNN performed very well. The mean of the accuracies in Data Sets (1)–(10) is 98.30%. The CNN is useful to modify or revise the outputted texture values from NN model described in previous Section 4. It is found that incorporating CNN must improve our system.

6. Conclusions

This paper proposed a food-texture-estimation system which is comprised of improved equipment and a simple neural network model. The system can process load changes and sound signals simultaneously for estimating textures, i.e., crunchiness and crispness. The classical neural network model was applied in the experiments to estimate the expected texture values of food specimens, i.e., rice crackers, potato chips, cookies, biscuits, and corn snacks. The model works well. Moreover, CNN is applied to classify the spectrogram image, including rich sound features, to expand our model capabilities. The CNN model performed very well. In the future, we will address the texture evaluation using CNN. Conventionally, food texture evaluation is manually performed by humans and is cumbersome. The neural network model simplifies this task. In this work, a moderate estimation was performed.

Author Contributions

The author’s name and contributions are as follows: S.K.: conceptualization, methodology, software, validation, formal analysis, investigation, writing—original draft preparation, writing—review and editing, and visualization; N.W.: conceptualization, methodology, validation, formal analysis, investigation, supervision, and project administration; R.I.: conceptualization, methodology, software, validation, formal analysis, and investigation; T.S.: methodology, software, validation, formal analysis, and investigation; Y.N.: methodology, software, validation, formal analysis, and investigation; T.K.; conceptualization, methodology, validation, formal analysis, and investigation.

Funding

This research received no external funding.

Acknowledgments

The authors would like to thank reviewers for giving us fruitful comments, Enago (www.enago.jp) for the English language review, and Maeda in MathWorks for giving us technical advice.

Conflicts of Interest

The authors declare no conflict of interest.

References

  1. Duizer, L. A Review of Acoustic Research for Studying the Sensory Perception of Crisp, Crunchy, and Crackly Textures. Trends Food Sci. Technol. 2001, 12, 17–24. [Google Scholar] [CrossRef]
  2. Hayakawa, F.; Kazami, Y.; Nishinari, K.; Ioku, K.; Akuzawa, S.; Yamano, Y.; Baba, Y.; Kohyama, K. Classification of Japanese Texture Terms. J. Texture Stud. 2013, 44, 140–159. [Google Scholar] [CrossRef]
  3. Sakurai, N.; Iwatani, S.; Terasaki, S.; Yamamoto, R. Texture Evaluation of Cucumber by a New Acoustic Vibration Method. J. Jpn. Soc. Hortic. Sci. 2005, 74, 31–35. [Google Scholar] [CrossRef]
  4. Sakurai, N.; Iwatani, S.; Terasaki, S.; Yamamoto, R. Evaluation of ‘Fuyu’ Persimmon Texture by a New Parameter, Sharpness index. J. Jpn. Soc. Hortic. Sci. 2005, 74, 150–158. [Google Scholar] [CrossRef]
  5. Taniwaki, M.; Hanada, T.; Sakurai, N. Development of Method for Quantifying Food Texture Using Blanched Bunching Onions. J. Jpn. Soc. Hortic. Sci. 2006, 75, 410–414. [Google Scholar] [CrossRef]
  6. Liu, X.; Tan, J. Acoustic Wave Analysis for Food Crispness Evaluation. J. Texture Stud. 1999, 30, 397–408. [Google Scholar] [CrossRef]
  7. Srisawas, W.; Jindal, V.K. Acoustic Testing of Snack Food Crispness Using Neural Networks. J. Texture Stud. 2003, 34, 401–420. [Google Scholar] [CrossRef]
  8. Kato, S.; Wada, N.; Murakami, N.; Ito, R.; Kondo, R.; Goto, Y. The Estimation System of Food Texture Considering Sound and Load Using Neural Networks. In Proceedings of the 2017 International Conference on Biometrics and Kansei Engineering, Kyoto, Japan, 15–17 September 2017; pp. 104–109. [Google Scholar]
  9. Okada, S.; Nakamoto, H.; Kobayashi, F.; Kojima, F. A Study on Classification of Food Texture with Recurrent Neural Network. In Proceedings of the Intelligent Robotics and Applications (ICIRA 2016), Lecture Notes in Computer Science, Tokyo, Japan, 22–24 August 2016; Volume 9834, pp. 247–256. [Google Scholar]
  10. Kato, S.; Wada, N.; Ito, R.; Shiozaki, T.; Nishiyama, Y.; Kagawa, T. Texture Estimation System of Snacks Using Neural Network Considering Sound and Load. In Proceedings of the 13th International Conference on P2P, Parallel, Grid, Cloud and Internet Computing (3PGCIC-2018), Lecture Notes on Data Engineering and Communications Technologies, Taichung, Taiwan, 27–29 October 2018; Volume 24, pp. 48–61. [Google Scholar]
  11. Tabilo-Munizaga, G.; Barbosa-Canovas, G.V. Rheology for the food industry. J. Food Eng. 2005, 67, 147–156. [Google Scholar] [CrossRef]
  12. He, D.-C.; Wang, L. Texture Unit, Texture Spectrum, And Texture Analysis. IEEE Trans. Geosci. Remote Sens. 1990, 28, 509–512. [Google Scholar]
  13. Sharan, R.V.; Moir, T.J. Robust audio surveillance using spectrogram image texture feature. In Proceedings of the 2015 IEEE International Conference on Acoustics, Speech, and Signal Processing (ICASSP), Brisbane, Australia, 19–24 April 2015; pp. 1956–1960. [Google Scholar]
  14. Nanni, L.; Costa, Y.M.G.; Lucio, D.R.; Silla, C.N., Jr.; Brahnam, S. Combining visual and acoustic features for audio classification tasks. Pattern Recognit. Lett. 2017, 88, 49–56. [Google Scholar] [CrossRef]
  15. LeCun, Y.; Bottou, L.; Bengio, Y.; Haffner, P. Gradient-based learning applied to document recognition. Proc. IEEE 1998, 86, 2278–2324. [Google Scholar] [CrossRef]
  16. Salamon, J.; Bello, J.P. Deep Convolutional Neural Networks and Data Augmentation for Environmental Sound Classification. IEEE Signal Process. Lett. 2017, 24, 279–283. [Google Scholar] [CrossRef]
  17. Minaee, S.; Abdolrashidi, A. Multispectral palmprint recognition using textural features. In Proceedings of the 2014 IEEE Signal Processing in Medicine and Biology Symposium (SPMB), Philadelphia, PA, USA, 13 December 2014. [Google Scholar]
  18. Minaee, S.; Abdolrashidi, A.; Wang, Y. Iris recognition using scattering transform and textural features. In Proceedings of the 2015 IEEE Signal Processing and Signal Processing Education Workshop (SP/SPE), Salt Lake City, UT, USA, 9–12 August 2015. [Google Scholar]
  19. Minaee, S.; Bouazizi, I.; Kolan, P.; Najafzadeh, H. Ad-Net: Audio-Visual Convolutional Neural Network for Advertisement Detection In Videos. arXiv, 2018; arXiv:1806.08612. [Google Scholar]
  20. Hershey, S.; Chaudhuri, S.; Ellis, D.P.W.; Gemmeke, J.F.; Jansen, A.; Moore, R.C.; Plakal, M.; Platt, D.; Saurous, R.A.; Seybold, B.; Slaney, M.; Weiss, R.J.; Wilson, K. CNN architectures for large-scale audio classification. In Proceedings of the 2017 IEEE International Conference on Acoustics, Speech and Signal Processing (ICASSP), New Orleans, LA, USA, 5–9 March 2017. [Google Scholar]
  21. Sesmat, A.; Meullenet, J.-F. Prediction of Rice Sensory Texture Attributes from a Single Compression Test, Multivariate Regression, and a Stepwise Model Optimization Method. J. Food Sci. 2001, 66, 124–131. [Google Scholar] [CrossRef]
  22. Rumelhart, D.E.; Hinton, G.E.; Williams, R.J. Learning Representations by Back-propagating Errors. Nature 1986, 323, 533–536. [Google Scholar] [CrossRef]
  23. Priddy, K.L.; Keller, P.E. Artificial Neural Networks—An Introduction; Dealing with Limited Amounts of Data; SPIE Press: Bellingham, WA, USA, 2005; Chapter 11; pp. 2839–2846. [Google Scholar]
  24. Wong, T.-T. Performance evaluation of classification algorithms by k-fold and leave-one-out cross-validation. Pattern Recognit. 2015, 48, 2839–2846. [Google Scholar] [CrossRef]
  25. Alex, K.; Sutskever, I.; Hinton, G.E. ImageNet Classification with Deep Convolutional Neural Networks. Adv. Neural Inf. Process. Syst. 2012, 25, 1097–1105. [Google Scholar]
  26. MathWorks, Transfer Learning Using AlexNet. Available online: https://www.mathworks.com/help/deeplearning/examples/transfer-learning-using-alexnet.html?lang=en (accessed on 28 February 2019).
Figure 1. Equipment for food texture evaluation: (a) Previous equipment. The plate of the load sensor is small; (b) proposed equipment. The load sensor is above the probe, thereby accommodating differently sized food specimens.
Figure 1. Equipment for food texture evaluation: (a) Previous equipment. The plate of the load sensor is small; (b) proposed equipment. The load sensor is above the probe, thereby accommodating differently sized food specimens.
Futureinternet 11 00068 g001
Figure 2. System construction: (a) Image of the proposed equipment and; (b) system structure for estimation of “crunchiness” and “crispness” textures.
Figure 2. System construction: (a) Image of the proposed equipment and; (b) system structure for estimation of “crunchiness” and “crispness” textures.
Futureinternet 11 00068 g002
Figure 3. Schematic of the proposed system connected to the internet.
Figure 3. Schematic of the proposed system connected to the internet.
Futureinternet 11 00068 g003
Figure 4. Food specimens: (a) A popular rice cracker in Japan; (b) smaller sized potato chip compared with ordinary merchandise; (c) a butter cookie; (d) small sized biscuit and; (e) a corn snack.
Figure 4. Food specimens: (a) A popular rice cracker in Japan; (b) smaller sized potato chip compared with ordinary merchandise; (c) a butter cookie; (d) small sized biscuit and; (e) a corn snack.
Futureinternet 11 00068 g004
Figure 5. Images of stacked potato chips under equipment evaluation: (a) Three stacked potato chips prior to evaluation and; (b) potato chips being crushed.
Figure 5. Images of stacked potato chips under equipment evaluation: (a) Three stacked potato chips prior to evaluation and; (b) potato chips being crushed.
Futureinternet 11 00068 g005
Figure 6. Graphs of texture examination of all sorts of samples: (a) Rice cracker; (b) potato chips; (c) cookie; (d) biscuit and; (e) corn snack.
Figure 6. Graphs of texture examination of all sorts of samples: (a) Rice cracker; (b) potato chips; (c) cookie; (d) biscuit and; (e) corn snack.
Futureinternet 11 00068 g006
Figure 7. Signal Processing: (a) 2.0 s signal extraction; (b) parameters W1–W5 and; (c) parameters F1–F5.
Figure 7. Signal Processing: (a) 2.0 s signal extraction; (b) parameters W1–W5 and; (c) parameters F1–F5.
Futureinternet 11 00068 g007
Figure 8. The average and standard deviations (STDs) of W1–W5 for (a) the rice cracker; (b) potato chips; (c) cookie; (d) biscuit and; (e) corn snack.
Figure 8. The average and standard deviations (STDs) of W1–W5 for (a) the rice cracker; (b) potato chips; (c) cookie; (d) biscuit and; (e) corn snack.
Futureinternet 11 00068 g008
Figure 9. Averages and STDs of F1–F5 for (a) the rice cracker; (b) potato chips; (c) cookie; (d) biscuit and; (e) corn snack.
Figure 9. Averages and STDs of F1–F5 for (a) the rice cracker; (b) potato chips; (c) cookie; (d) biscuit and; (e) corn snack.
Futureinternet 11 00068 g009
Figure 10. A neural network model for estimating food texture.
Figure 10. A neural network model for estimating food texture.
Futureinternet 11 00068 g010
Figure 11. Schematic of the leave-one-out cross-validation.
Figure 11. Schematic of the leave-one-out cross-validation.
Futureinternet 11 00068 g011
Figure 12. Texture evaluation results of the samples: (a) The mean of estimated crunchiness degree and (b) crispness degree.
Figure 12. Texture evaluation results of the samples: (a) The mean of estimated crunchiness degree and (b) crispness degree.
Futureinternet 11 00068 g012
Figure 13. Data Sets (1)–(10) employed for the neural network model validation.
Figure 13. Data Sets (1)–(10) employed for the neural network model validation.
Futureinternet 11 00068 g013
Figure 14. Texture evaluations of the samples using data sets of Figure 13: (a) The mean of estimated crunchiness degree and (b) crispness degree.
Figure 14. Texture evaluations of the samples using data sets of Figure 13: (a) The mean of estimated crunchiness degree and (b) crispness degree.
Futureinternet 11 00068 g014
Figure 15. Convolutional neural network (CNN) for classifying snacks.
Figure 15. Convolutional neural network (CNN) for classifying snacks.
Futureinternet 11 00068 g015
Figure 16. Calculation of input image to CNN: (a) FFT (Fast Fourier Transform) period and (b) spectrogram and load change image.
Figure 16. Calculation of input image to CNN: (a) FFT (Fast Fourier Transform) period and (b) spectrogram and load change image.
Futureinternet 11 00068 g016
Figure 17. Images inputted to CNN: (a) Rice crackers; (b) potato chips; (c) cookies; (d) biscuits and; (e) corn snacks.
Figure 17. Images inputted to CNN: (a) Rice crackers; (b) potato chips; (c) cookies; (d) biscuits and; (e) corn snacks.
Futureinternet 11 00068 g017
Table 1. Number and texture information of the snack samples.
Table 1. Number and texture information of the snack samples.
Rice CrackersPotato ChipsCookiesBiscuitsCorn Snacks
Number of Samples200200200200200
Sample NumberNo.1–200No.201–400No.401–600No.601–800No.801–1000
Crunchiness0.90.20.70.50.4
Crispness0.80.90.70.70.8
Table 2. Texture evaluation conditions for the samples.
Table 2. Texture evaluation conditions for the samples.
ParameterValue/Condition
Cylinder air pressure0.4 [MPa]
Temperature19~23 [°C]
Humidity26~32 [%]
WeatherFine
Sampling rate25 [k Samples/s]
Probe speed12 [mm/s]
Table 3. Averages of texture values in the estimation result data store.
Table 3. Averages of texture values in the estimation result data store.
Rice CrackersPotato ChipsCookiesBiscuitsCorn Snacks
Crunchiness
(expected)
0.8980
(0.9)
0.2014
(0.2)
0.7006
(0.7)
0.5005
(0.5)
0.4011
(0.4)
Crispness
(expected)
0.7997
(0.8)
0.8998
(0.9)
0.7005
(0.7)
0.7011
(0.7)
0.8002
(0.8)
Table 4. Snack image information.
Table 4. Snack image information.
Rice CrackerPotato ChipsCookieBiscuitCorn Snack
Number of Images200200200200200
NumberNo. 1–200No. 201–400No. 401–600No. 601–800No. 801–1000
Table 5. Transfer learning settings.
Table 5. Transfer learning settings.
ParameterValue/Condition
Solversgdm
Learning Rate0.0001
Max Epochs20
Mini Batch Size100
Total Iterations180
Number of Train Data/Test Data900/100
Table 6. The result of the 10-fold cross-validation, as shown in Figure 13.
Table 6. The result of the 10-fold cross-validation, as shown in Figure 13.
Data Set(1)(2)(3)(4)(5)(6)(7)(8)(9)(10)
Accuracy [%]95100989895999999100100
Mini-batch Loss at Epoch 1 1.86342.17232.10962.30621.98752.25072.37552.16292.13971.7647
Mini-batch Loss at Epoch 200.00340.00480.00350.00800.01230.02100.00420.00440.00710.0110

Share and Cite

MDPI and ACS Style

Kato, S.; Wada, N.; Ito, R.; Shiozaki, T.; Nishiyama, Y.; Kagawa, T. Snack Texture Estimation System Using a Simple Equipment and Neural Network Model. Future Internet 2019, 11, 68. https://doi.org/10.3390/fi11030068

AMA Style

Kato S, Wada N, Ito R, Shiozaki T, Nishiyama Y, Kagawa T. Snack Texture Estimation System Using a Simple Equipment and Neural Network Model. Future Internet. 2019; 11(3):68. https://doi.org/10.3390/fi11030068

Chicago/Turabian Style

Kato, Shigeru, Naoki Wada, Ryuji Ito, Takaya Shiozaki, Yudai Nishiyama, and Tomomichi Kagawa. 2019. "Snack Texture Estimation System Using a Simple Equipment and Neural Network Model" Future Internet 11, no. 3: 68. https://doi.org/10.3390/fi11030068

APA Style

Kato, S., Wada, N., Ito, R., Shiozaki, T., Nishiyama, Y., & Kagawa, T. (2019). Snack Texture Estimation System Using a Simple Equipment and Neural Network Model. Future Internet, 11(3), 68. https://doi.org/10.3390/fi11030068

Note that from the first issue of 2016, this journal uses article numbers instead of page numbers. See further details here.

Article Metrics

Back to TopTop