Joint AP Association and Bandwidth Allocation Optimization Algorithm in High-Dense WLANs
Abstract
1. Introduction
2. Related Work
3. Network Model and Design Requirements
3.1. Motivation
3.2. Network Model
3.2.1. Demands of Service
3.2.2. Transmission Time
3.2.3. AP Utility
3.2.4. Network Utility
3.3. Design Requirements
3.3.1. Load Balance
3.3.2. Proportional Fairness
4. Bandwidth Allocation and AP Association Algorithms
4.1. Bandwidth Allocation Algorithm
| Algorithm 1: The Fair Bandwidth Allocation Based on Clients’ Business Priority (FBA-BP). |
| Input: Set of STAs’ throughput , Set of STAs’ transmission time Output: Set of APs’ allocated transmission time , where
|
4.2. AP Association Algorithm
| Algorithm 2: The Categorized AP Association Algorithm Based on Demands of Clients (CAA-BD). |
| Input: Set of APs A, Set of STAs N, STA Type Vector T = {|∀I ∈ N} Output: AP association matrix X = {|∀I ∈ N, a ∈ A}
|
5. Performance Evaluation
5.1. Evaluation Methodology
5.2. Evaluation Results
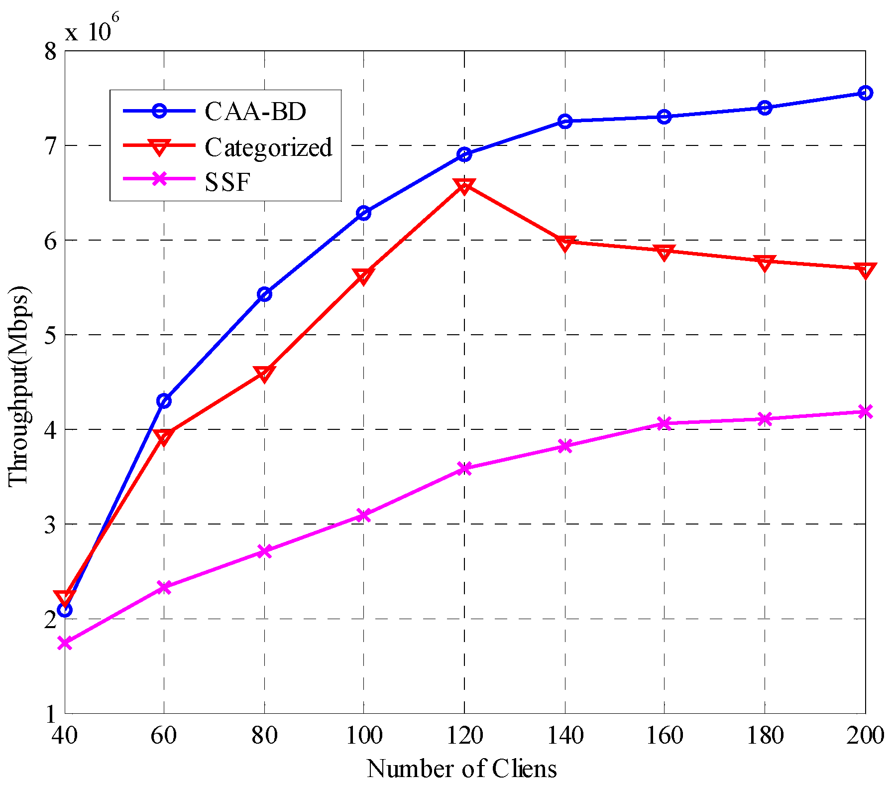
5.2.1. Throughput and AP Utilization
5.2.2. Delay
5.2.3. Fairness Index
6. Conclusions
Author Contributions
Funding
Acknowledgments
Conflicts of Interest
References
- Liu, Z.; Liu, Y.; Gong, Z.; Chen, L. A Multi-Rate Access Point selection policy in IEEE 802.11 WLANs. In Proceedings of the International Conference on Multimedia Technology (ICMT), Hangzhou, China, 26–28 July 2011; pp. 63–67. [Google Scholar]
- Zhang, J.; Bensaou, B. Balancing download throughput in densely deployed IEEE 802.11 multi-cell WLANs. In Proceedings of the 2013 IEEE International Conference on Communications (ICC), Budapest, Hungary, 9–13 June 2013; pp. 6107–6111. [Google Scholar]
- Baid, A.; Schapira, M. Network cooperation for client-ap association optimization. In Proceedings of the 2012 10th International Symposium on Modeling and Optimization in Mobile, Ad Hoc and Wireless Networks (WiOpt), Paderborn, Germany, 14–18 May 2012; pp. 431–436. [Google Scholar]
- Chen, X.; Cheng, W.; Yuan, W.; Liu, W.; Xu, J. Joint optimization of channel allocation and AP association in variable channel-width WLANs. In Proceedings of the IEEE Wireless Communications and Networking Conference (WCNC), Shanghai, China, 7–10 April 2013; pp. 345–350. [Google Scholar]
- Tan, G.; Guttag, J.V. Time-based Fairness Improves Performance in Multi-Rate WLANs. In Proceedings of the 2004 Annual Conference on USENIX Annual Technical Conference, Boston, MA, USA, 27 June–2 July 2004; Volume 12, pp. 187–195. [Google Scholar]
- Chen, Z.; Xiong, Q.; Liu, Y.; Huang, C. A strategy for differentiated access service selection based on application in WLANs. In Proceedings of the INFOCOM-IEEE Conference on Computer Communications Workshops, Toronto, ON, Canada, 27 April–2 May 2014; pp. 317–322. [Google Scholar]
- Lei, J.; Yang, S.; Su, C. Fairness and Load Balancing Optimization via Association Control in Multi-rate WLANs, Software Engineering Trends and Techniques in Intelligent Systems. In Proceedings of the 6th Computer Science On-Line Conference 2017 (CSOC2017), Princeton, NJ, USA, 26–29 April 2017; pp. 263–275. [Google Scholar]
- Ge, W.; Ji, H.; Leung, V.C.M. Access Point Selection for WLANs with Cognitive Radio: A Restless Bandit Approach. In Proceedings of the IEEE International Conference on Communications, Kyoto, Japan, 5–9 June 2011; pp. 1–5. [Google Scholar]
- Pradeepa, B.K.; Kuri, J. An Estimated Delay Based Association Policy for Web Browsing in a Multirate WLAN. IEEE Trans. Netw. Serv. Manag. 2012, 9, 346–358. [Google Scholar]
- Keranidis, S.; Korakis, T.; Koutsopoulos, I. Contention and traffic load-aware association in IEEE 802.11 WLANs: Algorithms and implementation. In Proceedings of the International Symposium on Modeling and Optimization in Mobile, Ad Hoc and Wireless Networks, Princeton, NJ, USA, 9–13 May 2011; pp. 334–341. [Google Scholar]
- Chen, X.; Yuan, W.; Cheng, W. Access Point Selection under QoS Requirements in Variable Channel-Width WLANs. IEEE Wirel. Commun. Lett. 2013, 2, 114–117. [Google Scholar] [CrossRef]
- Wang, S.; Cui, Y.; Xu, K. Multi-Constraint Load Balancing Based on Cell Breathing in WLAN. Chin. J. Comput. 2009, 32, 1947–1956. [Google Scholar]
- Gong, H.; Nahm, K.; Kim, J.W. Distributed Fair Access Point Selection for Multi-Rate IEEE 802.11 WLANs. In Proceedings of the 2008 5th IEEE Consumer Communications and Networking Conference, Las Vegas, NV, USA, 10–12 January 2008; pp. 528–532. [Google Scholar]
- Bejerano, Y.; Han, S.J.; Li, L. Fairness and Load Balancing in Wireless LANs Using Association Control. IEEE/ACM Trans. Netw. 2007, 15, 560–573. [Google Scholar] [CrossRef]
- Li, W.; Cui, Y.; Cheng, X. Achieving Proportional Fairness via AP Power Control in Multi-Rate WLANs. IEEE Trans. Wirel. Commun. 2011, 10, 3784–3792. [Google Scholar] [CrossRef]
- Gong, D.; Yang, Y. AP association in 802.11n WLANs with heterogeneous clients. In Proceedings of the 2012 IEEE INFOCOM, Orlando, FL, USA, 25–30 March 2012; pp. 1440–1448. [Google Scholar]
- Gong, D.; Yang, Y. On-Line AP Association Algorithms for 802.11n WLANs with Heterogeneous Clients. IEEE Trans. Comput. 2014, 63, 772–786. [Google Scholar] [CrossRef]
- Abusubaih, M. On Performance Anomaly in 802.11 Wireless LANs: Problem and Solution Approaches. In Proceedings of the International Conference on Next Generation Mobile Applications. IEEE Computer Society, Amman, Jordan, 27–29 July 2010; pp. 208–212. [Google Scholar]
- Yen, L.; Li, J.; Lin, C. Stability and Fairness of AP Selection Games in IEEE 802.11 Access Networks. IEEE Trans. Veh. Technol. 2011, 60, 1150–1160. [Google Scholar] [CrossRef]
- Li, W.; Wang, S.; Cui, Y. AP Association for Proportional Fairness in Multi-rate WLANs. IEEE/ACM Trans. Netw. 2014, 22, 191–202. [Google Scholar] [CrossRef]
- Jain, R.; Chiu, D.; Hawe, W. A Quantitative Measure of Fairness and Discrimination for Resource Allocation. In Shared Computer Systems, Computer Science; ACM: New York, NY, USA, 1998. [Google Scholar]
- Cui, Y.; Li, W.; Cheng, X. Partially overlapping channel assignment based on “node orthogonality” for 802.11 wireless networks. In Proceedings of the 2011 IEEE INFOCOM, Shanghai, China, 10–15 April 2011; pp. 361–365. [Google Scholar]










| STA3’s Choice | Achievable Throughput (Mbps) | System Throughput (Mbps) | |||
|---|---|---|---|---|---|
| STA1 | STA2 | STA3 | STA4 | ||
| AP1 | 4.23 (3.56) | 4.23 (3.12) | 4.23 (3.33) | 11.45 (8.33) | 24.14 (18.34) |
| AP2 | 6.21 (4.73) | 6.21 (4.13) | 1.42 (0.88) | 1.42 (0.93) | 15.26 (10.67) |
| 6–7.8 | 7.8–9 | 9–10.8 | 10.8–17 | 17–18.8 | 18.8–24 | 24–24.6 | >24.6 | |
| 6 | 9 | 12 | 18 | 24 | 36 | 48 | 54 |
© 2018 by the authors. Licensee MDPI, Basel, Switzerland. This article is an open access article distributed under the terms and conditions of the Creative Commons Attribution (CC BY) license (http://creativecommons.org/licenses/by/4.0/).
Share and Cite
Lei, J.; Tao, J.; Yang, S. Joint AP Association and Bandwidth Allocation Optimization Algorithm in High-Dense WLANs. Future Internet 2018, 10, 73. https://doi.org/10.3390/fi10080073
Lei J, Tao J, Yang S. Joint AP Association and Bandwidth Allocation Optimization Algorithm in High-Dense WLANs. Future Internet. 2018; 10(8):73. https://doi.org/10.3390/fi10080073
Chicago/Turabian StyleLei, Jianjun, Jiarui Tao, and Shanshan Yang. 2018. "Joint AP Association and Bandwidth Allocation Optimization Algorithm in High-Dense WLANs" Future Internet 10, no. 8: 73. https://doi.org/10.3390/fi10080073
APA StyleLei, J., Tao, J., & Yang, S. (2018). Joint AP Association and Bandwidth Allocation Optimization Algorithm in High-Dense WLANs. Future Internet, 10(8), 73. https://doi.org/10.3390/fi10080073
