Expression of Drug-Resistant Factor Genes in Hepatocellular Carcinoma Patients Undergoing Chemotherapy with Platinum Complex by Arterial Infusion
Abstract
:1. Introduction
2. Experimental Section
2.1. Hepatocellular carcinoma sample
| Parameter | Total number | Responders | Nonresponders | p value |
|---|---|---|---|---|
| Age (years old) | 67.6 ± 6.8* | |||
| Gender | ||||
| Males | 30 | 13 | 17 | 0.151 |
| Females | 5 | 4 | 1 | |
| Virus | ||||
| HBV(+) | 1 | 0 | 1 | 0.367 |
| HCV(+) | 33 | 17 | 16 | |
| None | 1 | 0 | 1 | |
| Stage | ||||
| Ⅲ | 32 | 14 | 18 | 0.103 |
| ⅣA | 3 | 3 | 0 | |
| Child's classification | ||||
| A | 17 | 11 | 6 | 0.158 |
| B | 16 | 5 | 11 | |
| C | 2 | 1 | 1 | |
| Noncancerous tissue | ||||
| Cirrhosis | 34 | 16 | 18 | 0.486 |
| Chronic hepatitis | 1 | 1 | 0 | |
| Chemotherapy | ||||
| CBDCA | 24 | 10 | 14 | 0.200 |
| CDDP | 11 | 7 | 4 | |
2.2. cDNA standards
2.3. RNA extraction from the tissue samples
2.4. Primers and probes
2.5. Real-time quantitative PCR
| Gene | Sequence | Position | GenBank Access No. | Size (bp) | |
|---|---|---|---|---|---|
| GAPDH | Forward primer (5'→3') | TGAACGGGAAGCTCACTGG | 732 | M33197 | 307 |
| Reverse primer (5'→3') | TCCACCACCCTGTTGCTGTA | 1019 | |||
| probe-Flu (5'→3') | TCAACAGCGACACCCACTCCT | 918 | |||
| Probe-LC (5'→3') | CACCTTTGACGCTGGGGCT | 940 | |||
| cMOAT | Forward primer (5'→3') | CGACCCTTTCAACAACTACT | 4223 | E15807 | 248 |
| Reverse primer (5'→3') | TCGTCTGAATGAGGTTGTCT | 4451 | |||
| probe-Flu (5'→3') | AGGTTGCCACCAGCCTCTGTCACTT | 4299 | |||
| Probe-LC (5'→3') | GTGGGATAACCCAAGTTGCAGGCT | 4324 | |||
| MDR-1 | Forward primer (5'→3') | GGCAAAGAAATAAAGCGACT | 3419 | AF016535 | 201 |
| Reverse primer (5'→3') | TTTATTAGGCAGTGACTCGA | 3590 | |||
| probe-Flu (5'→3') | GGGTGGTGTCACAGGAAGAGATTGTG | 3530 | |||
| Probe-LC (5'→3') | GGGCAGCAAAGGAGGCCAACATA | 3557 | |||
| MT2 | Forward primer (5'→3') | CACCTCCTGCAAGAAAAG | 79 | X97260 | 186 |
| Reverse primer (5'→3') | ACGGTCAGGGTTGTACAT | 247 | |||
| probe-Flu (5'→3') | CCCTTTGCAGATGCAGCCCTG | 105 | |||
| Probe-LC (5'→3') | GCACACTTGGCACAGCCCACA | 137 | |||
| ERCC1 | Forward primer (5'→3') | CGACGTAATTCCCGACTATG | 515 | AF001925 | 194 |
| Reverse primer (5'→3') | ACATCTTAGCCAGCTCCTTG | 689 | |||
| probe-Flu (5'→3') | AGGCGAAGTTCTTCCCCAGGCTC | 593 | |||
| Probe-LC (5'→3') | GCAGCCGCCCATGGATGTAGTCT | 617 | |||
| MVP | Forward primer (5'→3') | GGCTTTGAGACCTCGGAA | 1883 | NM_017458 | 236 |
| Reverse primer (5'→3') | TCCTGCTCCAGTCTCTGA | 2102 | |||
| probe-Flu (5'→3') | GGTCCTCTGATCCACAGGCTCCACT | 1970 | |||
| Probe-LC (5'→3') | ACTGCACGTCCACACTGCTGACCA | 1996 |
2.6. Treatment and therapeutic effect
2.7. Statistic analysis
3. Results and Discussion
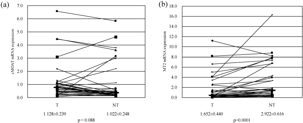
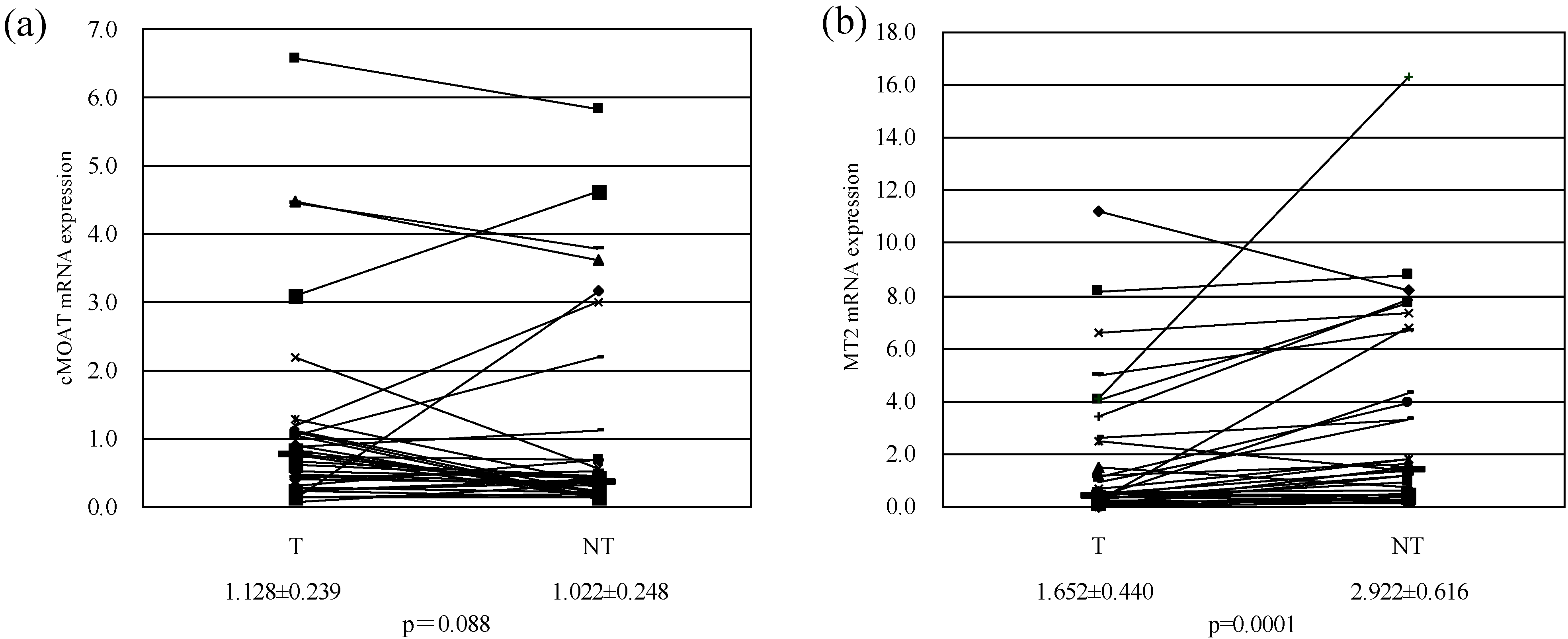
3.1. Expression of each resistant factor gene in T and NT
| T | NT | p value | |
|---|---|---|---|
| cMOAT ( N=35 ) | 1.128 ± 1.419 | 1.022 ± 1.479 | 0.088 |
| MDR-1 ( N=33 ) | 0.712 ± 0.932 | 1.281 ± 1.701 | 0.009 |
| MT2 ( N=35 ) | 1.652 ± 2.604 | 2.922 ± 3.646 | 0.0001 |
| ERCC-1 ( N=35 ) | 0.024 ± 0.028 | 0.015 ± 0.011 | 0.008 |
| MVP ( N=30 ) | 0.012 ± 0.010 | 0.009 ± 0.005 | 0.360 |

| Correlation coefficient (rs) | p value | |
|---|---|---|
| cMOAT ( N = 35 ) | 0.283 | 0.099 |
| MDR-1 ( N = 33 ) | 0.833 | <0.0001 |
| MT2 ( N = 35 ) | 0.769 | <0.0001 |
| ERCC-1 ( N = 35 ) | 0.808 | <0.0001 |
| MVP ( N = 30 ) | 0.147 | 0.427 |
3.2. Relation of drug-resistant factor expression to therapeutic effect
| T/NT ratio | responders | nonresponders | No. of responders / nonresponders | p value | ||
|---|---|---|---|---|---|---|
| median | range | median | range | |||
| 1.067 | 0.46-3.97 | 2.595 | 0.04-9.17 | 17 / 18 | 0.024 | |
| MDR-1 (N = 33) | 0.813 | 0.02-2.48 | 0.754 | 0.02-7.56 | 15 / 18 | 1.000 |
| MT2 (N = 35) | 0.361 | 0.02-0.93 | 0.336 | 0.03-1.99 | 17 / 18 | 0.987 |
| ERCC-1 (N = 35) | 1.237 | 0.48-9.74 | 1.307 | 0.66-4.35 | 17 / 18 | 0.779 |
| MVP (N = 30) | 1.086 | 0.33-2.98 | 1.057 | 0.38-30.62 | 17 / 13 | 0.900 |
| Expression of cMOAT and MT2 mRNA (T/NT ratio) | No. of | No. of | p value |
|---|---|---|---|
| responders | nonresponders | ||
| cMOAT ≧ 1.5 (n = 13) | 2 | 11 | 0.003 |
| cMOAT < 1.5 (n = 22) | 15 | 7 | |
| MT2 ≧ 1.0 (n = 6) | 0 | 6 | 0.011 |
| MT2 < 1.0 (n = 29) | 17 | 12 | |
| Group A (n = 16) | 2 | 14 | <0.0001 |
| Group B (n = 19) | 15 | 4 | |
| Total | 17 | 18 | |
| Group A: cMOAT ≧ 1.5 or MT2 ≧ 1.0 | |||
| Group B: cMOAT < 1.5 and MT2 < 1.0 |
4. Results and Discussion
References and Notes
- Kartalou, M.; Essigmann, J.M. Mechanisms of resistance to cisplatin. Mutat. Res. 2001, 478, 23–43. [Google Scholar] [CrossRef]
- Siddik, Z.H. Cisplatin: mode of cyotoxic action and molecular basis of resistance. Oncogene 2003, 22, 7265–7279. [Google Scholar] [CrossRef]
- Leonard, G.D.; Fojo, T.; Bates, S.E. The role of ABC transporters in clinical practice. Oncologist 2003, 8, 411–424. [Google Scholar] [CrossRef]
- Kool, M.; de Haas, M.; Scheffer, G.L.; Scheper, R.J.; van Eijk, M.J.; Juijin, J.A.; Baas, F.; Borst, P. Analysis of expression of cMOAT(MRP2), MRP3, MRP4, and MRP5, homologoues of the multidrug resistance-associated protein gene (MRP1), in human cancer cell lines. Cancer Res. 1997, 57, 3537–3547. [Google Scholar]
- Koike, K.; Kawabe, T.; Tanaka, T.; Toh, S.; Uchiumi, T.; Wada, M.; Akiyama, S.; Ono, M.; Kuwano, M. A canalicular multispecific organic anion transporter (cMOAT) antisense cDNA enhances drug sensitivity in human hepatic cancer cells. Cancer Res. 1997, 57, 5475–5479. [Google Scholar]
- Cui, Y.; Konig, J.; Buchhoiz, J.K.; Spring, H.; Leier, I.; Keppler, D. Drug resistance and ATP-dependent conjugate transport mediated by apical multidrug resistance protein, MRP2, permanently expressed in human and canine cells. Mol. Pharmacol. 1999, 55, 929–937. [Google Scholar]
- Minamino, T.; Tamai, M.; Itoh, Y.; Tatsumi, Y.; Nomura, M.; Yokogawa, K.; Suzuki, H.; Sugiyama, Y.; Oshima, T.; Miyamoto, K. In vivo cisplatin resistance depending upon canalicular multispecific organic anion transporter (cMOAT). Jpn. J. Cancer Res. 1999, 90, 1171–1178. [Google Scholar] [CrossRef]
- Kelley, S.L.; Basu, A.; Teicher, B.A.; Hacker, M.P.; Hamer, D.H.; Lazo, J.S. Overexpression of metallothionein confers resistance to anticancer drugs. Science 1988, 241, 1813–1815. [Google Scholar]
- Kasahara, K.; Fujiwara, Y.; Nishio, K.; Ohmori, T.; Sugimoto, Y.; Komiya, K.; Matsuda, T.; Saijo, N. Metallothionein content correlates with the sensitivity of human small cell lung cancer cell lines to cisplatin. Cancer Res. 1991, 51, 3237–3242. [Google Scholar]
- Koropatnick, J.; Pearson, J. Altered cisplatin and cadmium resistance and cell survival in Chinese hamster ovary cells expressing mouse metallothionein. Mol. Pharmacol. 1993, 44, 44–50. [Google Scholar]
- Mistry, P.; Kelland, L.R.; Abel, G.; Sidhar, S.; Harrap, K.R. The relationships between glutathione, glutathione-S-transferase and cytotoxicity of platinum drugs and melphalan in eight human ovarian carcinoma cell lines. Br. J. Cancer 1991, 64, 215–220. [Google Scholar] [CrossRef]
- Godwin, A.K.; Meister, A.; O'Dwyer, P.J.; Huang, C.S.; Hamilton, T.C.; Anderson, M.E. High resistance to cisplatin in human ovarian cancer cell lines is associated with marked increase of glutathione synthesis. Proc. Natl. Acad. Sci. USA 1992, 89, 3070–3074. [Google Scholar] [CrossRef]
- Sakamoto, M.; Kondo, A.; Kawasaki, K.; Goto, T.; Sakamoto, H.; Miyake, K.; Koyamatsu, Y.; Akiya, T.; Iwabuchi, H.; Muroya, T.; Ochiai, K.; Tanaka, T.; Kikuchi, Y.; Tenjin, Y. Analysis of gene expression profiles associated with cisplatin resistance in human ovarian cancer cell lines and tissues using cDNA microarray. Hum. Cell 2001, 14, 305–315. [Google Scholar]
- Yusof, Y.A.; Yan, K.L.; Hussain, S.N. Immnohistochemical expression of pi class glutathione S-transferase and alpha-fetoprotein in heptaocellular carcinoma. Anal. Quent. Cytol. Histol. 2003, 25, 322–328. [Google Scholar]
- Altaha, R.; Liang, X.; Yu, J.J.; Reed, E. Excision repair cross complementing-group 1: gene expression and platinum resistance. Int. J. Mol. Med. 2004, 14, 959–970. [Google Scholar]
- Lee, K.B.; Parker, R.J.; Bohr, V.; Cornelison, T.; Reed, E. Cisplatin sensitivity/resistance in UV repair-deficient Chinese hamster ovary cells of complementation groups 1 and 3. Carcinogenesis 1993, 14, 2177–2180. [Google Scholar] [CrossRef]
- Yu, J.J.; Mu, C.; Dabholkar, M.; Guo, Y.; Bostick-Bruton, F.; Reed, E. Alternative splicing of ERCC1 and cisplatin-DNA adduct repair in human tumor cell lines. Int. J. Mol. Med. 1998, 1, 617–620. [Google Scholar]
- Ferry, K.V.; Hamilton, T.C.; Johnson, S.W. Increased nucleotide excision repair in cisplatin-resistant ovarian cancer cells: role of ERCC1-XPF. Biochem. Pharmacol. 2000, 60, 1305–1313. [Google Scholar] [CrossRef]
- Selvakumaran, M.; Pisarcik, D.A.; Bao, R.; Yeung, A.T.; Hamilton, T.C. Enhanced cisplatin cytotoxicity by disturbing the nucleotide excision repair pathway in ovarian cancer cell lines. Cancer Res. 2003, 63, 1311–1316. [Google Scholar]
- Ikeda, K.; Oka, M.; Narasaki, F.; Fukuda, M.; Nakamura, T.; Nagashima, S.; Terashi, K.; Sato, S.; Kawabata, S.; Mizuta, Y.; Soda, H.; Kohno, S. Lung resistance-related protein gene expression and drug sensitivity in human gastric and lung cancer cells. Anticancer Res. 1998, 18, 3077–3080. [Google Scholar]
- Berger, W.; Elbling, L.; Micksche, M. Expression of the major vault protein LRP in human non-small-cell lung cancer cells: activation by short-term exposure to antineoplastic drugs. Int. J. Cancer 2000, 88, 293–300. [Google Scholar] [CrossRef]
- Wang, W.; Ke, S.; Chen, G.; Gao, Q.; Wu, S.; Wang, S.; Zhou, J.; Yang, X.; Lu, Y.; Ma, D. Effect of lung resistance-related protein on the resistance to cisplatin in human ovarian cancer cell lines. Oncol. Rep. 2004, 12, 1365–1370. [Google Scholar]
- Kitazono, M.; Sumizawa, T.; Takebayashi, Y.; Chen, Z.S.; Furukawa, T.; Nagayama, S.; Tani, A.; Takao, S.; Aikou, T.; Akiyama, S. Multi-drug resistance and the lung resistance-related protein in human colon carcinoma SW-620 cells. J. Natl. Cancer Inst. 1999, 91, 1647–1653. (in Japanese). [Google Scholar] [CrossRef]
- Stojic, L.; Brun, R.; Jiricny, J. Mismatch repair and DNA damage signalling. DNA Repair (Amst) 2004, 3, 1091–1101. [Google Scholar] [CrossRef]
- Manic, S.; Gatti, L.; Carenini, N.; Fumagalli, G.; Zunino, F.; Perego, P. Mechanisms controlling sensitivity to platinum complexes: role of p53 and DNA mismatch repair. Curr. Cancer Drug Target. 2003, 3, 21–29. [Google Scholar] [CrossRef]
- Komatsu, M.; Sumizawa, T.; Mutoh, M.; Chen, Z.S.; Terada, K.; Furukawa, T.; Yang, X.L.; Gao, H.; Miura, N.; Sugiyama, T.; Akiyama, S. Copper-transporting P-type adenosine triphosphatase (ATP7B) is associated with cisplatin resistance. Cancer Res. 2000, 60, 1312–1316. [Google Scholar]
- Katano, K.; Safaei, R.; Samimi, G.; Holzer, A.; Rochdi, M.; Howell, S.B. The copper export pump ATP7B modulates the cellular pharmacology of carboplatin in ovarian carcinoma cells. Mol. Pharmacol. 2003, 64, 466–473. [Google Scholar] [CrossRef]
- Therasse, P.; Arbuck, S.G.; Eisenhauer, E.A.; Wanders, J.; Kaplan, R.S.; Rubinstein, L.; Verweij, J.; Van Glabbeke, M.; van Oosterom, A.T.; Christian, M.C.; Gwyther, S.G. New guidelines to evaluate the response to treatment in solid tumors. European Organization for Research and Treatment of Cancer, National Cancer Institute of the United States, National Cancer Institute of Canada. J. Natl. Cancer Inst. 2000, 92, 205–216. [Google Scholar] [CrossRef]
- Zoller, G.; Wagner, M.; Fickert, P.; Silbert, D.; Fuchsbichler, A.; Zatloukal, K.; Denk, H.; Trauner, M. Hepatobiliary transporter expression in human HCC. Liver Int. 2005, 25, 367–379. [Google Scholar] [CrossRef]
- Grudé, P.; Conti, F.; Mennecier, D.; Louvel, A.; Houssin, D.; Weill, B.; Calmus, Y. MDR1 gene expression in HCC and the peritumoral liver of patients with and without cirrhosis. Cancer Lett. 2002, 186, 107–113. [Google Scholar] [CrossRef]
- Kato, A.; Miyazaki, M.; Ambiru, S.; Yoshitomi, H.; Ito, H.; Nakagawa, K.; Shimizu, H.; Yokosuka, O.; Nakajima, N. Multidrug resistance gene (MDR-1) expression as a useful prognostic factor in patients with human HCC after surgical resection. J. Surg. Oncol. 2001, 78, 110–115. [Google Scholar] [CrossRef]
- Nagasue, N.; Dhar, D.K.; Makino, Y.; Yoshimura, H.; Nakamura, T. Overexpression of P-glycoprotein in adenomatus hyperplasia of human liver with cirrhosis. J. Hepatol. 1995, 22, 197–201. [Google Scholar] [CrossRef]
- Ng, I.O.; Liu, C.L.; Fan, S.T.; Ng, M. Expression of P-glycoprotein in HCC. A determinant of chemotherapy response. Am. J. Clin. Pathol. 2000, 113, 355–363. [Google Scholar] [CrossRef]
- Richart, J.; Elizabeth, M.; Brunt, M.D.; Adrian, M.; di Bisceglie, M.D. Expression of P-glycoprotein and c-MOAT in human HCC. Digest. Dis. Sci. 2002, 47, 2454–2458. [Google Scholar] [CrossRef]
- Itubo, M.; Ishikawa, T.; Toda, G.; Tanaka, M. Immunohistochemical study of expression and cellular localization of multi drug resistance gene product P-glycoprotein in primary liver carcinoma. Cancer 1994, 73, 298–303. [Google Scholar] [CrossRef]
- Tashiro-Itoh, T.; Chida, T.; Matsuda, Y.; Satoh, T.; Sugiyama, M.; Tanaka, Y.; Ishikawa, T.; Itho, S.; Nomoto, M.; Asakura, H. Metallothionein expression and concentrations of copper and zinc are associated with tumor differentiation in HCC. Liver 1997, 17, 300–306. [Google Scholar]
- Endo, T.; Yoshikawa, M.; Ebara, M.; Kato, K.; Sunaga, M.; Fukuda, H.; Hayashi, A.; Kondo, F.; Sugiura, N.; Saisho, H. Immnohistochemical metallothionein expression in HCC: relation to tumor progression and chemoresistance to platinum agents. J. Gastroenterol. 2004, 39, 1196–1201. [Google Scholar] [CrossRef]
- Alain, F.; Lise, A.; Orlando, M.; Karim, B.; André, G.; Sophie, L. Overexpression of the two nucleotide excision repair genes ERCC1 and XPC in human HCC. J. Hepatol. 2005, 43, 288–293. [Google Scholar] [CrossRef]
- Zindy, P.; Andrieux, L.; Bonnier, D.; Musso, O.; Langouёt, S.; Campion, J.P.; Turlin, B.; Clemént, B.; Théret, N. Upregulation of DNA repair genes in active cirrhosis asscociated with HCC. FEBS Lett. 2005, 579, 95–99. [Google Scholar] [CrossRef]
- Raidl, M.; Berger, W.; Shulte-Hermann, R.; Kandipler-Eckersberger, D.; Kappel, S.; Wrba, F.; Micksche, M.; Grasl-Kraupo, B. Expression of the lung resistance-related protein in human and rat hapatocarcinogenesis. Am. J. Physiol. Gastrointest. Liver Physiol. 2002, 283, G1117–G1124. [Google Scholar]
- Pastan, I.; Gottesman, M.M.; Ueda, K.; Lovelace, E.; Rutherford, A.V.; Willingham, M.C. A retrovirus carrying an MDR1 cDNA confers multidrug resistance and polarized expression of P-glycoprotein in MDCK cells. Proc. Natl. Acad. Sci. USA 1998, 85, 4486–4490. [Google Scholar]
- Dabholkar, M.; Bostick-Bruton, F.; Weber, C.; Bohr, V.A.; Egwuagu, C.; Reed, E. ERCC1 and ERCC2 expression in malignant tissues from ovarian cancer patients. J. Natl. Cancer Inst. 1992, 84, 1512–1517. [Google Scholar] [CrossRef]
- Dabholkar, M.; Vionnet, J.; Bostick-Bruton, F.; Yu, J.J.; Reed, E. Messenger RNA levels of XPAC and ERCC1 in ovarian cancer tissue correlate with response to platinum-based chemotherapy. J. Clin. Invest. 1994, 94, 703–708. [Google Scholar] [CrossRef]
- Yonezawa, A.; Masuda, S.; Yokoo, S.; Katsura, T.; Inui, K. Cisplatin and oxaliplatin, but not carboplatin and nedaplatin, are substrates for human organic cation transporters (SLC22A1-3 and multidrug and toxin extrusion family). J. Pharmacol. Exp. Ther. 2006, 319, 379–386. [Google Scholar]
© 2010 by the authors; licensee MDPI, Basel, Switzerland. This article is an open access article distributed under the terms and conditions of the Creative Commons Attribution license (http://creativecommons.org/licenses/by/3.0/).
Share and Cite
Sakurada, T.; Yoshikawa, M.; Sunaga, M.; Kobayashi, E.; Satoh, N.; Yokosuka, O.; Ueda, S. Expression of Drug-Resistant Factor Genes in Hepatocellular Carcinoma Patients Undergoing Chemotherapy with Platinum Complex by Arterial Infusion. Pharmaceutics 2010, 2, 300-312. https://doi.org/10.3390/pharmaceutics2030300
Sakurada T, Yoshikawa M, Sunaga M, Kobayashi E, Satoh N, Yokosuka O, Ueda S. Expression of Drug-Resistant Factor Genes in Hepatocellular Carcinoma Patients Undergoing Chemotherapy with Platinum Complex by Arterial Infusion. Pharmaceutics. 2010; 2(3):300-312. https://doi.org/10.3390/pharmaceutics2030300
Chicago/Turabian StyleSakurada, Tomoya, Masaharu Yoshikawa, Masahiko Sunaga, Eriko Kobayashi, Nobunori Satoh, Osamu Yokosuka, and Shiro Ueda. 2010. "Expression of Drug-Resistant Factor Genes in Hepatocellular Carcinoma Patients Undergoing Chemotherapy with Platinum Complex by Arterial Infusion" Pharmaceutics 2, no. 3: 300-312. https://doi.org/10.3390/pharmaceutics2030300
APA StyleSakurada, T., Yoshikawa, M., Sunaga, M., Kobayashi, E., Satoh, N., Yokosuka, O., & Ueda, S. (2010). Expression of Drug-Resistant Factor Genes in Hepatocellular Carcinoma Patients Undergoing Chemotherapy with Platinum Complex by Arterial Infusion. Pharmaceutics, 2(3), 300-312. https://doi.org/10.3390/pharmaceutics2030300
