Differential Modulation of JAK/STAT3 Signaling and BCL-2 Family Proteins by Tetracycline Analogues in Leukemia Models
Abstract
1. Introduction
2. Materials and Methods
2.1. Materials
2.2. Cell Culture
2.3. Cell Starvation and Activation of Jurkat Cells
2.4. Drug Treatment Conditions
2.5. Cell Viability Assay
2.6. Assessment of Cell Death Mechanisms
2.7. Protein Extraction and Western Blotting
2.8. Statistical Analysis
3. Results
3.1. Cytotoxic Effects of Tetracycline Analogues in Leukemia Cell Lines
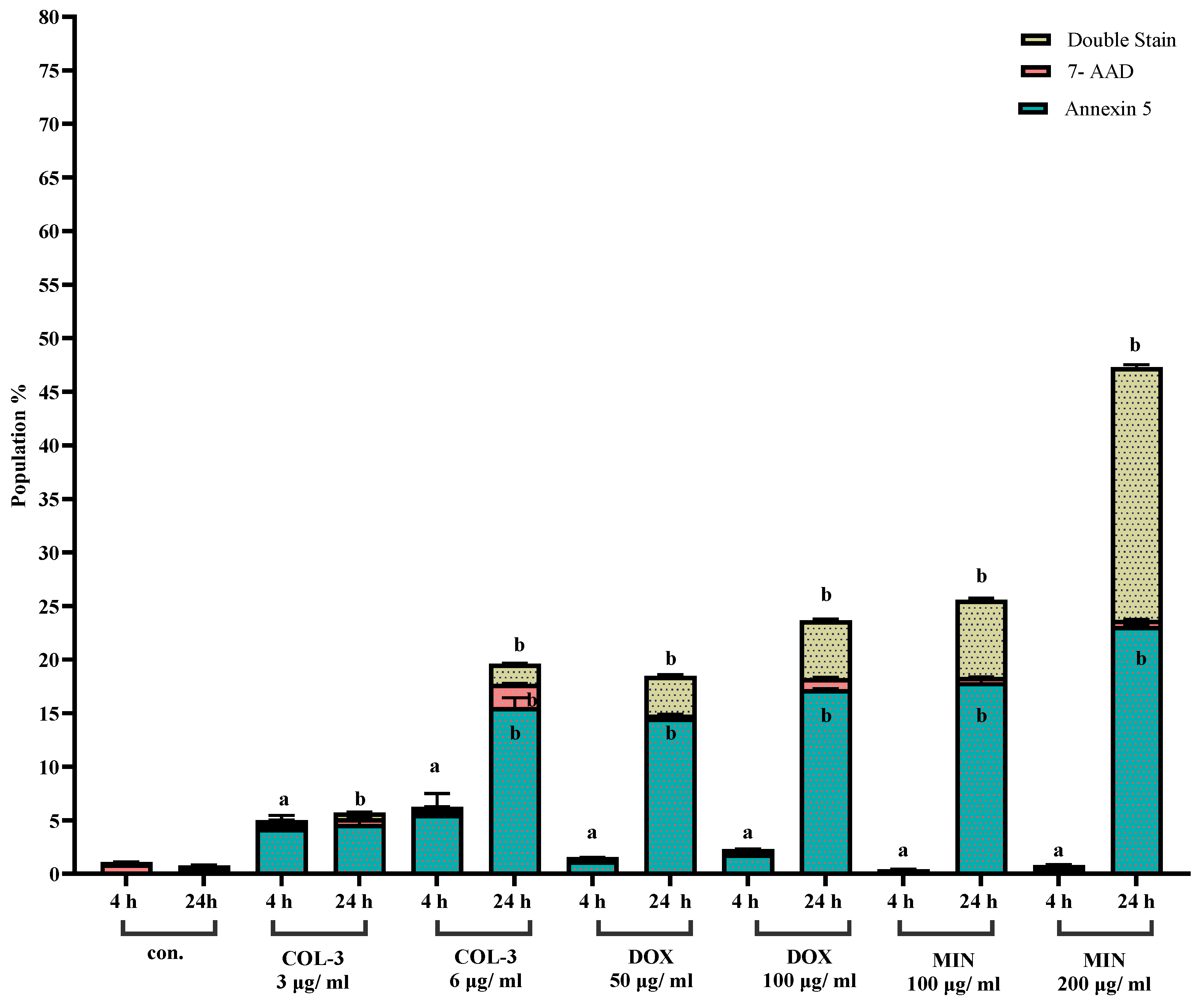
3.2. Tetracycline Analogues Induce Apoptosis with Cell Line-Specific Features
4. Effects on the JAK2/STAT3 Pathway and BCL-2 Family Proteins
5. Discussion
6. Conclusions
Supplementary Materials
Author Contributions
Funding
Institutional Review Board Statement
Informed Consent Statement
Data Availability Statement
Acknowledgments
Conflicts of Interest
Abbreviations
| COL-3 | tetracycline-3 |
| DOX | doxycycline |
| MIN | minocycline |
References
- Chukhlovin, A.B. Drug Repurposing in Leukemia Treatment and Hematopoietic Stem Cell Transplantation. Cell. Ther. Transplant. 2019, 8, 12–19. [Google Scholar] [CrossRef]
- Langedijk, J.; Mantel-Teeuwisse, A.K.; Slijkerman, D.S.; Schutjens, M.-H.D.B. Drug Repositioning and Repurposing: Terminology and Definitions in Literature. Drug Discov. Today 2015, 20, 1027–1034. [Google Scholar] [CrossRef]
- Pushpakom, S.; Iorio, F.; Eyers, P.A.; Escott, K.J.; Hopper, S.; Wells, A.; Doig, A.; Guilliams, T.; Latimer, J.; McNamee, C.; et al. Drug Repurposing: Progress, Challenges and Recommendations. Nat. Rev. Drug Discov. 2019, 18, 41–58. [Google Scholar] [CrossRef] [PubMed]
- Damery, E.; Solimando, D.A.; Waddell, J.A. Arsenic Trioxide and Tretinoin (AsO/ATRA) for Acute Promyelocytic Leukemia (APL). Hosp. Pharm. 2016, 51, 628–632. [Google Scholar] [CrossRef]
- Eisenstein, E.L.; Hill, K.D.; Wood, N.; Kirchner, J.L.; Anstrom, K.J.; Granger, C.B.; Rao, S.V.; Baldwin, H.S.; Jacobs, J.P.; Jacobs, M.L.; et al. Evaluating Registry-Based Trial Economics: Results from the STRESS Clinical Trial. Contemp. Clin. Trials Commun. 2024, 38, 101257. [Google Scholar] [CrossRef] [PubMed]
- Nehme, R.; Hallal, R.; El Dor, M.; Kobeissy, F.; Gouilleux, F.; Mazurier, F.; Zibara, K. Repurposing of Acriflavine to Target Chronic Myeloid Leukemia Treatment. Curr. Med. Chem. 2021, 28, 2218–2233. [Google Scholar] [CrossRef]
- Pelcovits, A.; Niroula, R. Acute Myeloid Leukemia: A Review. Rhode Isl. Med. J. 2020, 103, 38–40. [Google Scholar]
- SEER Data Base. National Cancer Institute Acute Myeloid Leukemia—Cancer Stat Facts. Available online: https://seer.cancer.gov/statfacts/html/amyl.html (accessed on 5 July 2024).
- Jaime-Pérez, J.C.; García-Arellano, G.; Herrera-Garza, J.L.; Marfil-Rivera, L.J.; Gómez-Almaguer, D. Revisiting the Complete Blood Count and Clinical Findings at Diagnosis of Childhood Acute Lymphoblastic Leukemia: 10-Year Experience at a Single Center. Hematol. Transfus. Cell Ther. 2019, 41, 57–61. [Google Scholar] [CrossRef]
- Puumala, S.E.; Ross, J.A.; Aplenc, R.; Spector, L.G. Epidemiology of Childhood Acute Myeloid Leukemia. Pediatr. Blood Cancer 2013, 60, 728–733. [Google Scholar] [CrossRef]
- Schmidt, J.-A.; Hornhardt, S.; Erdmann, F.; Sánchez-García, I.; Fischer, U.; Schüz, J.; Ziegelberger, G. Risk Factors for Childhood Leukemia: Radiation and Beyond. Front. Public Health 2021, 9, 805757. [Google Scholar] [CrossRef]
- Cortes, J.E.; Gambacorti-Passerini, C.; Deininger, M.W.; Mauro, M.J.; Chuah, C.; Kim, D.-W.; Dyagil, I.; Glushko, N.; Milojkovic, D.; Le Coutre, P.; et al. Bosutinib Versus Imatinib for Newly Diagnosed Chronic Myeloid Leukemia: Results From the Randomized BFORE Trial. J. Clin. Oncol. 2018, 36, 231–237. [Google Scholar] [CrossRef]
- Copland, M.; Slade, D.; Byrne, J.; Brock, K.; De Lavallade, H.; Craddock, C.; Clark, R.; Smith, M.; Bishop, R.; Milojkovic, D.; et al. FLAG-IDA and Ponatinib in Patients with Blast Phase Chronic Myeloid Leukaemia: Results from the Phase I/II UK Trials Acceleration Programme Matchpoint Trial. Blood 2019, 134, 497. [Google Scholar] [CrossRef]
- Iezza, M.; Cortesi, S.; Ottaviani, E.; Mancini, M.; Venturi, C.; Monaldi, C.; De Santis, S.; Testoni, N.; Soverini, S.; Rosti, G.; et al. Prognosis in Chronic Myeloid Leukemia: Baseline Factors, Dynamic Risk Assessment and Novel Insights. Cells 2023, 12, 1703. [Google Scholar] [CrossRef] [PubMed]
- Martinelli, G.; Boissel, N.; Chevallier, P.; Ottmann, O.; Gökbuget, N.; Topp, M.S.; Fielding, A.K.; Rambaldi, A.; Ritchie, E.K.; Papayannidis, C.; et al. Complete Hematologic and Molecular Response in Adult Patients with Relapsed/Refractory Philadelphia Chromosome–Positive B-Precursor Acute Lymphoblastic Leukemia Following Treatment with Blinatumomab: Results From a Phase II, Single-Arm, Multicenter Study. J. Clin. Oncol. 2017, 35, 1795–1802. [Google Scholar] [CrossRef]
- Molina, J.C.; Carraway, H.E. Treatment of Relapsed Acute Lymphocytic Leukemia in Adult Patients. Curr. Treat. Options Oncol. 2024, 25, 993–1010. [Google Scholar] [CrossRef]
- Van Weelderen, R.E.; Klein, K.; Harrison, C.J.; Jiang, Y.; Abrahamsson, J.; Arad-Cohen, N.; Bart-Delabesse, E.; Buldini, B.; De Moerloose, B.; Dworzak, M.N.; et al. Measurable Residual Disease and Fusion Partner Independently Predict Survival and Relapse Risk in Childhood KMT2A-Rearranged Acute Myeloid Leukemia: A Study by the International Berlin-Frankfurt-Münster Study Group. J. Clin. Oncol. 2023, 41, 2963–2974. [Google Scholar] [CrossRef]
- Liang, D.; Wang, Q.; Zhang, W.; Tang, H.; Song, C.; Yan, Z.; Liang, Y.; Wang, H. JAK/STAT in Leukemia: A Clinical Update. Mol. Cancer 2024, 23, 25. [Google Scholar] [CrossRef] [PubMed]
- Lin, M.; Nebral, K.; Gertzen, C.G.W.; Ganmore, I.; Haas, O.A.; Bhatia, S.; Fischer, U.; Kuhlen, M.; Gohlke, H.; Izraeli, S.; et al. JAK2 p.G571S in B-Cell Precursor Acute Lymphoblastic Leukemia: A Synergizing Germline Susceptibility. Leukemia 2019, 33, 2331–2335. [Google Scholar] [CrossRef] [PubMed]
- Liu, K.; Wu, Z.; Chu, J.; Yang, L.; Wang, N. Promoter Methylation and Expression of SOCS3 Affect the Clinical Outcome of Pediatric Acute Lymphoblastic Leukemia by JAK/STAT Pathway. Biomed. Pharmacother. 2019, 115, 108913. [Google Scholar] [CrossRef]
- Alsaadi, M.; Tezcan, G.; Garanina, E.E.; Hamza, S.; McIntyre, A.; Rizvanov, A.A.; Khaiboullina, S.F. Doxycycline Attenuates Cancer Cell Growth by Suppressing NLRP3-Mediated Inflammation. Pharmaceuticals 2021, 14, 852. [Google Scholar] [CrossRef]
- Rok, J.; Rzepka, Z.; Beberok, A.; Pawlik, J.; Wrześniok, D. Cellular and Molecular Aspects of Anti-Melanoma Effect of Minocycline—A Study of Cytotoxicity and Apoptosis on Human Melanotic Melanoma Cells. Int. J. Mol. Sci. 2020, 21, 6917. [Google Scholar] [CrossRef]
- Dijk, S.N.; Protasoni, M.; Elpidorou, M.; Kroon, A.M.; Taanman, J.-W. Mitochondria as Target to Inhibit Proliferation and Induce Apoptosis of Cancer Cells: The Effects of Doxycycline and Gemcitabine. Sci. Rep. 2020, 10, 4363. [Google Scholar] [CrossRef]
- Zhu, C.; Yan, X.; Yu, A.; Wang, Y. Doxycycline Synergizes with Doxorubicin to Inhibit the Proliferation of Castration-Resistant Prostate Cancer Cells. Acta Biochim. Biophys. Sin. 2017, 49, 999–1007. [Google Scholar] [CrossRef] [PubMed]
- Mohi-ud-din, R.; Chawla, A.; Sharma, P.; Mir, P.A.; Potoo, F.H.; Reiner, Ž.; Reiner, I.; Ateşşahin, D.A.; Sharifi-Rad, J.; Mir, R.H.; et al. Repurposing Approved Non-Oncology Drugs for Cancer Therapy: A Comprehensive Review of Mechanisms, Efficacy, and Clinical Prospects. Eur. J. Med. Res. 2023, 28, 345. [Google Scholar] [CrossRef]
- Karamanolis, N.N.; Kounatidis, D.; Vallianou, N.G.; Dimitriou, K.; Tsaroucha, E.; Tsioulos, G.; Anastasiou, I.A.; Mavrothalassitis, E.; Karampela, I.; Dalamaga, M. Unraveling the Anti-Cancer Mechanisms of Antibiotics: Current Insights, Controversies, and Future Perspectives. Antibiotics 2024, 14, 9. [Google Scholar] [CrossRef]
- Rok, J.; Rzepka, Z.; Kowalska, J.; Banach, K.; Beberok, A.; Wrześniok, D. The Anticancer Potential of Doxycycline and Minocycline—A Comparative Study on Amelanotic Melanoma Cell Lines. Int. J. Mol. Sci. 2022, 23, 831. [Google Scholar] [CrossRef]
- Wang, C.; Xiang, R.; Zhang, X.; Chen, Y. Doxycycline Inhibits Leukemic Cell Migration via Inhibition of Matrix Metalloproteinases and Phosphorylation of Focal Adhesion Kinase. Mol. Med. Rep. 2015, 12, 3374–3380. [Google Scholar] [CrossRef]
- Chhipa, R.; Singh, S.; Surve, S.; Vijayakumar, M.; Bhat, M. Doxycycline Potentiates Antitumor Effect of Cyclophosphamide in Mice. Toxicol. Appl. Pharmacol. 2005, 202, 268–277. [Google Scholar] [CrossRef]
- Li, J.; Qin, Y.; Zhao, C.; Zhang, Z.; Zhou, Z. Tetracycline Antibiotics: Potential Anticancer Drugs. Eur. J. Pharmacol. 2023, 956, 175949. [Google Scholar] [CrossRef] [PubMed]
- Song, H.; Fares, M.; Maguire, K.R.; Sidén, Å.; Potácová, Z. Cytotoxic Effects of Tetracycline Analogues (Doxycycline, Minocycline and COL-3) in Acute Myeloid Leukemia HL-60 Cells. PLoS ONE 2014, 9, e114457. [Google Scholar] [CrossRef] [PubMed]
- Fares, M.; Abedi-Valugerdi, M.; Hassan, M.; Potácová, Z. DNA Damage, Lysosomal Degradation and Bcl-xL Deamidation in Doxycycline- and Minocycline-Induced Cell Death in the K562 Leukemic Cell Line. Biochem. Biophys. Res. Commun. 2015, 463, 268–274. [Google Scholar] [CrossRef] [PubMed][Green Version]
- Labrie, M.; Brugge, J.S.; Mills, G.B.; Zervantonakis, I.K. Therapy Resistance: Opportunities Created by Adaptive Responses to Targeted Therapies in Cancer. Nat. Rev. Cancer 2022, 22, 323–339. [Google Scholar] [CrossRef]
- Jacquemin, V.; Antoine, M.; Dom, G.; Detours, V.; Maenhaut, C.; Dumont, J.E. Dynamic Cancer Cell Heterogeneity: Diagnostic and Therapeutic Implications. Cancers 2022, 14, 280. [Google Scholar] [CrossRef] [PubMed]
- Majeed, N.S.; Salam, A.A.; Farhan, S.R.; Abdulrazzaq, S.A.; Menon, S.V.; Kaur, M.; Singh, M.; Husseen, B.; Jawad, M.A.; Abedi-Firouzjah, R. Multifaceted Roles of Bcl-2 Family Proteins: Regulatory Roles in Apoptosis, Physiological Functions, and Therapeutic Potential. Curr. Med. Sci. 2025, 45, 1319–1335. [Google Scholar] [CrossRef]
- Kaloni, D.; Diepstraten, S.T.; Strasser, A.; Kelly, G.L. BCL-2 Protein Family: Attractive Targets for Cancer Therapy. Apoptosis 2023, 28, 20–38. [Google Scholar] [CrossRef]
- Agwuh, K.N.; MacGowan, A. Pharmacokinetics and pharmacodynamics of the tetracyclines including glycylcyclines. J. Antimicrob. Chemother. 2006, 58, 256–265. [Google Scholar] [CrossRef] [PubMed]
- Saivin, S.; Houin, G. Clinical pharmacokinetics of doxycycline and minocycline. Clin. Pharmacokinet. 1988, 15, 355–366. [Google Scholar] [CrossRef]
- Rudek, M.A.; New, P.; Mikkelsen, T.; Phuphanich, S.; Alavi, J.B.; Nabors, L.B.; Piantadosi, S.; Fisher, J.D.; Grossman, S.A. Phase I and pharmacokinetic study of COL-3 in patients with recurrent high-grade gliomas. J. Neuro-Oncol. 2011, 105, 375–381. [Google Scholar] [CrossRef]







Disclaimer/Publisher’s Note: The statements, opinions and data contained in all publications are solely those of the individual author(s) and contributor(s) and not of MDPI and/or the editor(s). MDPI and/or the editor(s) disclaim responsibility for any injury to people or property resulting from any ideas, methods, instructions or products referred to in the content. |
© 2026 by the authors. Licensee MDPI, Basel, Switzerland. This article is an open access article distributed under the terms and conditions of the Creative Commons Attribution (CC BY) license.
Share and Cite
Hassan, Z.M.; Mamand, D.R.; El-Gawly, H.W.; El-Sherbeeny, N.A.; Mohammad, H.M.F.; Elkherbetawy, M.K.; Wiklander, O.P.B.; Hassan, M. Differential Modulation of JAK/STAT3 Signaling and BCL-2 Family Proteins by Tetracycline Analogues in Leukemia Models. Pharmaceutics 2026, 18, 415. https://doi.org/10.3390/pharmaceutics18040415
Hassan ZM, Mamand DR, El-Gawly HW, El-Sherbeeny NA, Mohammad HMF, Elkherbetawy MK, Wiklander OPB, Hassan M. Differential Modulation of JAK/STAT3 Signaling and BCL-2 Family Proteins by Tetracycline Analogues in Leukemia Models. Pharmaceutics. 2026; 18(4):415. https://doi.org/10.3390/pharmaceutics18040415
Chicago/Turabian StyleHassan, Zienab M., Doste R. Mamand, Hoda W. El-Gawly, Nagla A. El-Sherbeeny, Hala M. F. Mohammad, Mohamed K. Elkherbetawy, Oscar P. B. Wiklander, and Moustapha Hassan. 2026. "Differential Modulation of JAK/STAT3 Signaling and BCL-2 Family Proteins by Tetracycline Analogues in Leukemia Models" Pharmaceutics 18, no. 4: 415. https://doi.org/10.3390/pharmaceutics18040415
APA StyleHassan, Z. M., Mamand, D. R., El-Gawly, H. W., El-Sherbeeny, N. A., Mohammad, H. M. F., Elkherbetawy, M. K., Wiklander, O. P. B., & Hassan, M. (2026). Differential Modulation of JAK/STAT3 Signaling and BCL-2 Family Proteins by Tetracycline Analogues in Leukemia Models. Pharmaceutics, 18(4), 415. https://doi.org/10.3390/pharmaceutics18040415

