Exploring Key Factors Affecting the Encapsulation Efficiency of Ligusticum Chuanxiong–Vinegar Cyperus Rotundus Essential Oil Based on QbD Principles
Abstract
1. Introduction
2. Materials and Methods
2.1. Materials
2.1.1. Instruments
2.1.2. Reagent
2.2. Methods
2.2.1. Preparation of Inclusion Complexes
2.2.2. Liquid Chromatography–Mass Spectrometry Conditions
2.2.3. Inclusion Complex Evaluation Method
2.2.4. The Determination of Critical Quality Attribute (CQAs)
2.2.5. Screening of Critical Process Parameters (CPPs)
2.2.6. Study on the Preparation Process of Incorporated Compounds
Investigation of Stirring Speed
Factorial Design Experiment to Investigate CPPs
2.2.7. Characterization of the Inclusion Compound
Appearance
Microscopic Analysis
Fourier-Transform Infrared Spectroscopy (FT-IR) Analysis
X-Ray Diffraction (XRD) Analysis
Differential Scanning Calorimetry (DSC)
Phase-Solubility Studies
Molecular Docking
3. Result
3.1. Essential Oil Component Analysis
3.2. Investigation of Combined Rotational Speed
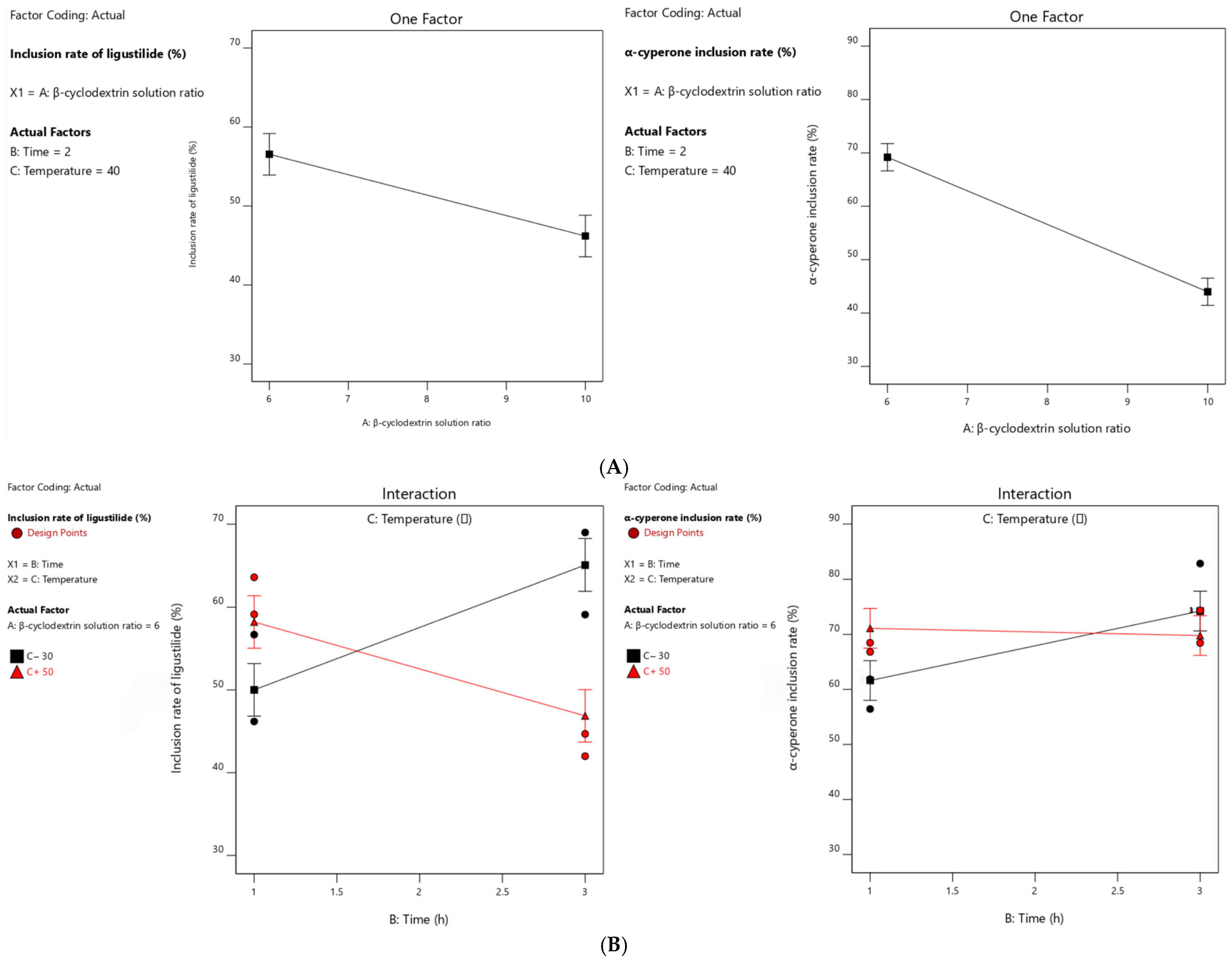
3.3. Optimization of Inclusion Process via Factorial Design Experiment
3.4. Validation of Design Space and Inclusion Rate Determination
3.4.1. Appearance
3.4.2. Microscopic Analysis
3.4.3. Fourier-Transform Infrared Spectroscopy (FT-IR) Analysis
3.4.4. X-Ray Diffraction (XRD) Analysis
3.4.5. Differential Scanning Calorimetry (DSC)
3.4.6. Phase-Solubility Studies
3.4.7. Molecular Docking
4. Discussion
5. Conclusions
- Ligustilide and α-cyperone may serve as the initial indicator components in the encapsulation process of the mixed volatile oil of Ligusticum Chuanxiong–Vinegar cyperus Rotundus, but their representativeness in terms of encapsulation quality still requires further pharmacological evaluation;
- Due to its excellent solubility, stability, and the ability to control the hygroscopicity in subsequent formulations, β-cyclodextrin was selected as the preferred encapsulation material;
- The combination of single-factor and factorial design with the QbD principle can effectively optimize the encapsulation process, determine the key factors, and reduce the experimental workload. It also demonstrates the feasibility and practicality of this concept in process optimization;
- The formation of inclusion complexes generally leads to a series of changes in physical and chemical properties. These changes can be demonstrated by methods such as Fourier-transform infrared spectroscopy (FT-IR), X-ray diffraction (XRD), and differential scanning calorimetry (DSC), and thus can be used as evaluation indicators for the inclusion process.
Author Contributions
Funding
Institutional Review Board Statement
Informed Consent Statement
Data Availability Statement
Conflicts of Interest
Abbreviations
| QbD | Quality by Design |
| HPLC-MS | High-performance liquid chromatography–tandem mass spectrometry |
| FT-IR | Fourier-transform infrared spectroscopy |
| FDA | Food and Drug Administration |
| UPLC-Q-TOF/MS | Ultra-performance liquid chromatography–quadrupole time-of-flight mass spectrometry |
| CQAs | Critical quality attributes |
| CMPs | Critical monitoring parameters |
| SMPs | Secondary monitoring parameters |
| MODR | Operable design region |
| DSC | Differential scanning calorimetry |
| TGA | Thermogravimetric analysis |
| XRD | X-ray diffraction |
| BPI | Base peak ionization spectra |
References
- Wei, X.C.; Yang, S.T.; Zhang, Y.; Pan, M.; Pan, X.H.; Cheng, J.M. GC-MS analysis of two assistant methods on extracting volatile oil from Chuanxiong Rhizoma. Chin. Tradit. Pat. Med. 2019, 41, 129–134. [Google Scholar]
- Zhang, L.; Zhou, X.; Lu, T.T.; Mu, C.L.; Wang, X.L.; Tang, L.J.; Yang, R.P. Optimization of extraction process of volatile oil from Ligusticum chuanxiong and GC-MS analysis of its overground part. J. Chin. Med. Mater. 2019, 42, 607–611. [Google Scholar]
- Wu, Q.; Yang, X.W. GC-MS analysis of essential oil from rhizomes of Ligusticum chuanxiong cultivated in GAP base for chinese medicinal materials of China. China J. Chin. Mater. Medica 2008, 33, 276–280. [Google Scholar]
- Lu, J.R.; Xu, N.; Mou, Y.Z.; Fu, C.M.; Chen, H.L.; Wang, S.Y. Comparative Study on Chemical Components of Volatile Oil of Xiangfu (Cyperi Rhizoma) from Different Origins Based on GC-MS Fingerprint Combining with Chemometric Method. Chin. Arch. Tradit. Chin. Med. 2021, 39, 106–110. [Google Scholar]
- Hu, C.Y.; Cao, X.X.; Wang, X.L.; Zhou, Y.; Cui, Y.; Zhang, H.; Li, L.; Zhang, P. Research Progress of Chemical Constituents, Preparations and Pharmacological Effect of Essential Oil of Chuanxiong (Chuanxiong Rhizoma). J. Liaoning Univ. Tradit. Chin. Med. 2024, 26, 124–130. [Google Scholar]
- Xu, N.; Liang, Y.Y.; Li, W.B.; Fu, C.M.; Chen, H.L.; Lu, J.R.; Wang, S.Y. Research Progress on the Volatile Oil of Cyperus rotundus. Chin. Tradit. Pat. Med. 2022, 44, 1882–1888. [Google Scholar]
- Fu, L.; Wang, W.L. Research Progress on Chemical Constituents and Pharmacological Effects of Rhizoma Cyperi. Acta Chin. Med. Pharmacol. 2025, 53, 120–124. [Google Scholar]
- Zhu, L.; Peng, G.P.; Li, C.Y.; Zhang, Y.F.; Li, H.Y.; Chen, N.; Wang, Y. Investigation of Stability of Lactones in Volatile Oil from Chuanxiong Rhizoma. Chin. J. Exp. Tradit. Med. Formulae 2013, 19, 14–17. [Google Scholar]
- Lv, X.; Li, J.L.; Li, J.G.; Huang, J.; Liu, Q. Study on Volatile Oil Extraction and Inclusion Processes of Chuanxiong and Cyperus Rotundus. Northwest Pharm. J. 2011, 26, 51–54. [Google Scholar]
- A Gu, L.; Zhang, Z.W.; Sun, X.M. Study on CO2 Supercritical Fluid Extraction of Volatile oil in Radix Angelica Sinensis, Rhizoma Chuanxiong and Rhizoma Cyperi through Homogeneous Design and β-Cyclodextrin Inclusion Compound. Res. Pract. Chin. Med. 2005, 19, 57–58+64. [Google Scholar] [CrossRef]
- Juran, J.M. Juran on Quality by Design: The New Steps for Planning Quality into Goods and Services; Free Press: New York, NY, USA, 1992. [Google Scholar]
- Liu, Y.J.; Wang, Y.J.; Deng, L.L.; Zhao, X.Y.; Guo, Z.Y.; Wu, Q. Research on Chinese Medicine Preparation Process Based on Quality by Design Concept: A Review. Mod. Chin. Med. 2022, 24, 523–528. [Google Scholar]
- Waghule, T.; Dabholkar, N.; Gorantla, S.; Rapalli, V.K.; Saha, R.N.; Singhvi, G. Quality by design (QbD) in the formulation and optimization of liquid crystalline nanoparticles (LCNPs): A risk based industrial approach. Biomed. Pharmacother. 2021, 141, 111940. [Google Scholar] [CrossRef]
- Tavares Luiz, M.; Santos Rosa Viegas, J.; Palma Abriata, J.; Viegas, F.; Testa Moura de Carvalho Vicentini, F.; Lopes Badra Bentley, M.V.; Chorilli, M.; Maldonado Marchetti, J.; Tapia-Blácido, D.R. Design of experiments (DoE) to develop and to optimize nanoparticles as drug delivery systems. Eur. J. Pharm. Biopharm. 2021, 165, 127–148. [Google Scholar] [CrossRef]
- Correia, A.C.; Moreira, J.N.; Sousa Lobo, J.M.; Silva, A.C. Design of experiment (DoE) as a quality by design (QbD) tool to optimise formulations of lipid nanoparticles for nose-to-brain drug delivery. Expert. Opin. Drug Deliv. 2023, 20, 1731–1748. [Google Scholar] [CrossRef]
- Liu, H.Y.; Zhang, J.W.; Deng, L.F.; Luo, H.; Lv, H.Y.; Liu, L. Optimization of the Prescription and Manufacturing Process for Xiangfu Di Mai Active Polysaccharide Granules. Chin. Tradit. Pat. Med. 2022, 44, 3286–3289. [Google Scholar]
- Xia, X.F.; Zhang, T.Y.; Hu, J.L.; Wang, Y.J.; Wu, F.; Lin, X.; Feng, Y. Research progress in experimental design of TCM preparation technology based on sensory evaluation. Chin. J. New Drugs 2021, 30, 1687–1691. [Google Scholar]
- Lv, S.F.; Gong, M.; Lou, X.J.; Wei, H.Z.; Chen, X.T.; Wu, D.; Li, M.C.; Gong, J.P. Optimization of spray drying parameters for cyclocaryapaliurus compound extract using a quality by design approach. Chin. J. New Drugs 2018, 27, 1410–1416. [Google Scholar]
- Yang, L.; Huang, X.G.; Lu, Z.Z.; Lu, J.H.; Jang, Z.Y.; Yang, J.; Wu, Z.S. Study on famous prescription of prestigious traditional Chinese medicine master Lu Zhizheng based on QbD concept: Optimization of extraction process and granule forming process of Meiyan Shuqi Prescription. China J. Chin. Mater. Medica 2019, 44, 4336–4341. [Google Scholar]
- Wang, J.; Gao, Y.; Zha, Q.; Zhang, Y.D.; Chen, W.Y.; Chen, X.L. Optimization of extraction process of Gastrodia elata Blume-Tartary buckwheat based on quality by design concept and entropy weight method. Cereals Oils 2025, 38, 140–145. [Google Scholar]
- Zhang, P.P.; Yao, S.C.; Li, J.; Zhang, X.; Zou, W.B.; Xu, M.Z.; Wang, Y.; Ning, B.M. Development of the detection method for exogenous DNA of neomycin sulfate based on QbD concept. Chin. J. New Drugs 2023, 32, 947–954. [Google Scholar]
- Li, J.H.; Zhou, Y.Q.; Xie, J.L.; Wang, Y.Y.; Gong, X.C. Analysis Method of Organic Acids Content in Ginkgo Biloba Extract Based on the Analytical Quality by Design. J. Instrum. Anal. 2024, 43, 1735–1744. [Google Scholar]
- Tian, T.; Wang, X.Y.; Nie, F.L.; Li, J.H.; Wang, J.; Gong, X.C. Quantitative Study of Seven Chemical Constituents in the Aqueous Concentrate of Yuxingcao Qinlan Mixture Based on the Analytical Quality by Design Concept. J. Instrum. Anal. 2024, 43, 1687–1696. [Google Scholar]
- Mukharya, A.; Mutalik, S. Quality-by-design based RP-HPLC analytical method for the estimation of quercetin in silver-metal organic frameworks (AgMOF): A Box-Behnken optimization approach. Sci. Rep. 2025, 16, 2. [Google Scholar] [CrossRef] [PubMed]
- Bi, Y.Y.; Li, J.J.; Li, J.W.; Yan, Z.P.; Zhang, Z.R.; Li, X.X. Study on preparation technology and physical fingerprint of Quhan Study on preparation technology and physical fingerprint of Quhan. Chin. Tradit. Herb. Drugs 2021, 52, 5891–5898. [Google Scholar]
- Xie, J.L.; Tai, Y.N.; Qiu, P.; Ding, F.; Long, X.J.; Gong, X.C. Developing fingerprint analysis methods simultaneously for three materials in pharmaceutical process of sinomenine hydrochloride based on analytical quality by design. Chin. Tradit. Herb. Drugs 2024, 55, 6154–6166. [Google Scholar]
- Yuan, Y.; Ruan, J.; Zhan, Y.; Xu, C.Q. Preparation Technology and Quality Control of Erdong Decoction Granules Based on QbD. Chin. J. Mod. Appl. Pharm. 2024, 41, 1075–1083. [Google Scholar]
- Wang, B.Q.; Li, G.W.; Zhou, Z.H.; Xie, Y. Preparation of β-cyclodextrin inclusion complexes of volatile oil in Qizhu granules and its characterization. Chin. J. New Drugs 2023, 32, 1690–1696. [Google Scholar]
- Yuan, H.F.; Xiao, J.C.; Zou, J.H.; Huang, Y.; Li, Y.T.; Chi, M.Y.; Zheng, L. Process research on the formula granules of Cinnamomum migao. Chin. J. New Drugs 2025, 34, 80–88. [Google Scholar]
- Wang, Y.; Wang, G.H. Experimental Study on β-Cyclodextrin Inclusion of Volatile Oils from Chuanxiong, Xiangfu, and Bai Zhi. Chin. Arch. Tradit. Chin. Med. 2005, 23, 157–158. [Google Scholar]
- Liu, H.N.; Jiang, X.X.; Naeem, A.; Chen, F.C.; Wang, L.; Liu, Y.X.; Li, Z.; Ming, L.S. Fabrication and Characterization of β-Cyclodextrin/Mosla Chinensis Essential Oil Inclusion Complexes: Experimental Design and Molecular Modeling. Molecules 2022, 28, 37. [Google Scholar] [CrossRef]
- Li, Y.H. Preparation of Hydroxypropyl-β-Cyclodextrin and Study on Its Inclusion Complex with Allethrin. Master’s Thesis, Jiangnan University, Wuxi, China, 2013. [Google Scholar]
- Tao, L.; Li, Z.Y.; Shen, W.; Xie, W.; Li, W.; Zhang, W.; Li, J.S. Study on Preparation, Characterization and Inclusion Behavior of β-Cyclodextrin and Its Derivatives Inclusion Complex of Wenjing Decoction Multi-Component Volatile Oil. J. Nanjing Univ. Tradit. Chin. Med. 2025, 41, 513–521. [Google Scholar]
- He, J.C.; Xu, H.L.; Shi, Q.X.; Zhao, X.Y.; Li, Y.P.; Guo, M.L.; Song, C.G.; Zou, F. Analysis of Chemical Constituents in Chuanxiong Xiaozhong Zhitong Plaster Based on UPLC-QTOF-MS/MS. Asia-Pac. Tradit. Med. 2024, 20, 60–64. [Google Scholar]
- Shen, C.Y.; Wang, X.H.; Dai, B.; Wu, Y.; Shen, B.D.; Liu, X.; Li, X.F.; Yuan, H.L. The optimization of crushing process of the raw materials of Qingre Zhiyang Granules based on the factorial design. J. Int. Pharm. Res. 2019, 46, 226–231. [Google Scholar]
- National Pharmacopoeia Commission. Pharmacopoeia of the People’s Republic of China 2025, Volume I; China Medical Science Press: Beijing, China, 2025; Volume 43, p. 278. [Google Scholar]
- Dong, J.; Gu, Y.; Liu, J.; Song, W.; Li, J.; Zhang, X.; Wang, Z.; Cao, L.; Jiang, S.; Xiao, W. Integrated analysis of blood-absorbed components, metabolomics, and transcriptomics reveals Tianshu Capsule’s effective components and mechanisms. Phytomedicine 2025, 150, 157618. [Google Scholar] [CrossRef]
- Wang, M.; Wu, S.; Guo, L.; Wang, J.; Li, M.C.; Liu, R.; Liu, P.T.; Xiao, H.; Luo, S.Y. Study on Quality Standards and Anti-Migraine Effect of Xiongfu Dripping Pills. World Chin. Med. 2021, 16, 2680–2685. [Google Scholar]
- Boczar, D.; Bocian, W.; Małek, K.; Milczarek, M.; Laudy, A.E.; Michalska, K. Physicochemical Characterisation of Ceftobiprole and Investigation of the Biological Properties of Its Cyclodextrin-Based Delivery System. Int. J. Mol. Sci. 2025, 26, 12108. [Google Scholar] [CrossRef] [PubMed]
- Yang, Y.T.; Liu, Y.H.; Huang, Z.F.; Liu, Y.H.; Chen, Y.; Yi, J.H. Preparation and property study of hydroxypropyl-β-cyclodextrin inclusion complex of Chuanxiong Rhizoma volatile oil. Nat. Prod. Res. Dev. 2021, 33, 734–742. [Google Scholar]
- Yang, Y.T.; Liu, Y.H.; Huang, Z.F.; Liu, Y.H.; Chen, Y.; Yi, J.H. Difference in inclusion behavior of β-cyclodextrin and hydroxypropyl-β-cyclodextrin with Chuanxiong volatile oil. Pharm. Clin. Chin. Mater. Medica 2021, 12, 14–17. [Google Scholar]











| Category | Method Parameters | S | O | D | RPN | RPN Level | Explanation |
|---|---|---|---|---|---|---|---|
| Inclusion material | β-cyclodextrin | 5 | 8 | 7 | 280 | High | The risk of affecting the inclusion rate is relatively high. |
| Hydroxypropyl-β-cyclodextrin | 5 | 8 | 7 | 280 | High | ||
| Environment | Temperature | 6 | 8 | 3 | 144 | High | The inclusion temperature has a significant impact on the volatile components. |
| Environmental humidity | 3 | 1 | 4 | 12 | Low | ||
| Equipment | Stirring speed | 5 | 6 | 3 | 90 | Middle | The method of stirring may affect the degree of uniform mixing. |
| Stirring method | 5 | 2 | 3 | 30 | Low | ||
| Process | Inclusion temperature | 9 | 9 | 3 | 243 | High | It directly affects the encapsulation effect and poses a high risk. |
| The ratio of volatile oil to inclusion materials | 9 | 9 | 5 | 405 | High | ||
| Other factors | Operator | 2 | 2 | 6 | 24 | Low | The experimental equipment is of high precision, and all the reagents are of qualified quality, with relatively low risks. |
| Batch of materials | 4 | 2 | 3 | 24 | Low | ||
| Precision of analytical instruments | 7 | 1 | 2 | 14 | Low |
| Group | Doubled Concentration of β-Cyclodextrin Solution | Inclusion Time/h | Temperature/°C | Stirring Speed/rpm |
|---|---|---|---|---|
| 1 | 6 | 1 | Room Temperature | 300 |
| 2 | 6 | 1 | Room Temperature | 800 |
| Factor | Level | |
|---|---|---|
| −1 | +1 | |
| A: β-Cyclodextrin solution ratio | 6 | 10 |
| B: Inclusion time/h | 1 | 3 |
| C: Temperature/°C | 30 | 50 |
| Std 1 | Block | Run | β-Cyclodextrin Solution Ratio | Inclusion Time/h | Temperature/°C |
|---|---|---|---|---|---|
| 1 | Block1 | 4 | 6 | 1 | 30 |
| 2 | Block1 | 5 | 10 | 1 | 30 |
| 3 | Block1 | 6 | 6 | 3 | 30 |
| 4 | Block1 | 1 | 10 | 3 | 30 |
| 5 | Block1 | 8 | 6 | 1 | 50 |
| 6 | Block1 | 2 | 10 | 1 | 50 |
| 7 | Block1 | 3 | 6 | 3 | 50 |
| 8 | Block1 | 7 | 10 | 3 | 50 |
| 9 | Block2 | 10 | 6 | 1 | 30 |
| 10 | Block2 | 12 | 10 | 1 | 30 |
| 11 | Block2 | 14 | 6 | 3 | 30 |
| 12 | Block2 | 15 | 10 | 3 | 30 |
| 13 | Block2 | 16 | 6 | 1 | 50 |
| 14 | Block2 | 9 | 10 | 1 | 50 |
| 15 | Block2 | 3 | 6 | 3 | 50 |
| 16 | Block2 | 11 | 10 | 3 | 50 |
| Number | Observed RT (min) | Component Name | Parent Ion | Mass Error (ppm) |
|---|---|---|---|---|
| 1 | 9.31 | (1R,5R)-2-methyl-5-prop-1-en-2-ylcyclohex-2-en-1-ol | [M+H] + 153.1261 | −8.4 |
| 2 | 21.43 | (-)-Cyperenoic acid | [M+H] + 249.1839 | −4 |
| 3 | 16.11 | 1-(2,4-dimethylphenyl)propan-1-one | [M+H] + 163.1107 | −6.3 |
| 4 | 7.3 | 2-(butyn-2-ylidene)-delta3-dihydrofuran [5-spiro-2′]tetrahydrofuran | [M+H] + 179.1057 | −5.3 |
| 5 | 12.58 | 5,7-diethyldeca-5,6-dien-3-yne | [M+H] + 191.1796 | 1.2 |
| 6 | 7.5 | prop-2-en-1-yl 2-phenoxyacetate | [M+H] + 193.085 | −4.6 |
| 7 | 19.16 | (2′Z,3S,8′R)-2′-butylidene-8′-propylspiro [2-benzofuran-3,9′-3-oxatricyclo [5.2.2.01,5]undec-5-ene]-1,4′-dione | [M+H] + 379.1903 | −0.2 |
| 8 | 13.07 | (4aR,6R,8aS)-4a-hydroxy-4,8a-dimethyl-6-prop-1-en-2-yl-5,6,7,8-tetrahydro-1H-naphthalen-2-one | [M+H] + 235.1682 | −4.4 |
| 9 | 15.36 | 2,4-Di-tert-butylphenol | [M+H] + 207.1732 | −5.4 |
| 10 | 11.49 | 1,1-diphenylpentan-1-ol | [M+H] + 165.1262 | −7 |
| 11 | 14.43 | Isocurcumenol | [M+H] + 235.1684 | −3.8 |
| 12 | 16.55 | Isokobusone | [M+H] + 223.1682 | −4.6 |
| 13 | 5.65 | (3E)-3-butylidene-6,7-dihydroxy-4,5,6,7-tetrahydro-2-benzofuran-1-one | [M+H] + 225.111 | −5 |
| 14 | 17.82 | (16Z)-6-butyl-16-butylidene-5,15-dioxapentacyclo [9.5.2.01,13.02,10.03,7]octadeca-3(7),12-diene-4,14-dione | [M+H] + 383.221 | −1.8 |
| 15 | 16.87 | (Z)-6,8,7,3-Diligustilide | [M+H] + 353.1753 | 1.5 |
| 16 | 15.35 | (S)-4-isopropenylcyclohex-1-enecarbaldehyde | [M+H] + 151.1103 | −9.2 |
| 17 | 9.18 | 3-butylidene-4,5-dihydro-2-benzofuran-1-one | [M+H] + 207.1008 | −3.6 |
| 18 | 7.69 | Senkyunolide K | [M+H] + 209.1165 | −3.6 |
| 19 | 23.43 | Senkyunolide P | [M+H] + 383.2212 | −1.3 |
| 20 | 27.69 | Senkyunone | [M+H] + 327.2311 | −2.2 |
| 21 | 14.17 | (4aS,7R)-7-isopropenyl-1,4a-dimethyl-4,4a,5,6,7,8-hexahydronaphthalen-2(3H)-one | [M+H] + 219.1733 | −4.6 |
| 22 | 11.59 | [(1R,2S,4R)-1,7,7-trimethyl-2-bicyclo [2.2.1]heptanyl] acetate | [M-H]-195.138 | −5.4 |
| 23 | 5.63 | (3E,6R,7R)-3-butylidene-6,7-dihydroxy-4,5,6,7-tetrahydro-2-benzofuran-1-one | [M-H]-223.0965 | −4.8 |
| 24 | 9.9 | (Z)-3-butylidene-5-hydroxy-2-benzofuran-1-one | [M-H]-203.0702 | −6 |
| 25 | 16.87 | (Z)-6,8′7,3′-Diligustilide | [M-H]-379.1912 | −0.7 |
| 26 | 19.29 | (Z,Z′)-Diligustilide | [M-H]-379.1918 | 0.7 |
| 27 | 27.06 | 13-methylpentadecanoic acid | [M-H]-255.232 | −3.6 |
| 28 | 29.22 | 14-methylhexadecanoic acid | [M-H]-269.2479 | −2.6 |
| 29 | 12.52 | 3-butyl-4,7-dihydroxy-2-benzofuran-1(3H)-one | [M-H]-221.0812 | −3.2 |
| 30 | 6.11 | 3-n-Butyl-3-hydroxy-4,5,6,7-tetrahydro-6,7-dihydroxy phthalide | [M-H]-241.1068 | −5.4 |
| 31 | 9.05 | 3-butyl-4-hydroxy-2-benzofuran-1(3H)-one | [M-H]-205.0863 | −3.7 |
| 32 | 26.52 | methyl (9Z,12Z)-octadeca-9,12-dienoate | [M-H]-293.2477 | −2.9 |
| 33 | 12.77 | (4aR,7R)-7-isopropenyl-1,4a-dimethyl-4,4a,5,6,7,8-hexahydronaphthalen-2(3H)-one | [M-H]-217.1596 | −1 |
| 34 | 9.28 | 4-ethyl-2-methoxyphenol | [M-H]-165.0911 | −5.8 |
| 35 | 16.53 | Cyperolone | [M-H]-235.1693 | −4.3 |
| 36 | 13.48 | Epoxydihydrolinalool | [M-H]-171.1379 | −7 |
| 37 | 34.83 | Ethylisooctadecanoate | [M-H]-311.2948 | −2.3 |
| 38 | 12.51 | 1,2-dimethoxy-4-prop-2-enylbenzene | [M-H]-177.0911 | −5.8 |
| 39 | 6.99 | 2-methyl-1-phenylpropan-1-one | [M-H]-147.0801 | −9.6 |
| 40 | 16.7 | (Z)-3-butylidene-4,5-dihydro-2-benzofuran-1-one | [M-H]-189.0911 | −5.5 |
| 41 | 16.68 | Ligustilide dimer, E-232 | [M-H]-379.1912 | −0.8 |
| 42 | 25.06 | (9Z,12Z)-octadeca-9,12-dienoic acid | [M-H]-279.232 | −3.4 |
| 43 | 11.06 | methyl 2-pentanoylbenzoate | [M-H]-219.1014 | −5.9 |
| 44 | 27.02 | Myricanone | [M-H]-355.1578 | 7.5 |
| 45 | 11.48 | nonanoic acid | [M-H]-157.1223 | −7.1 |
| 46 | 27.99 | (9Z)-octadec-9-enoic acid | [M-H]-281.2479 | −2.7 |
| 47 | 7.24 | 4-isopropenylcyclohex-1-enecarbaldehyde | [M-H]-149.096 | −7.9 |
| 48 | 12.57 | Senkyunolide G | [M-H]-207.1008 | −8.8 |
| 49 | 5.33 | Senkyunolide J | [M-H]-225.1122 | −4.5 |
| 50 | 5.33 | Senkyunolide R | [M-H]-239.0916 | −3.8 |
| 51 | 31.24 | octadecanoic acid | [M-H]-283.2634 | −2.9 |
| 52 | 16.08 | Sugebiol | [M-H]-235.1691 | −5.2 |
| 53 | 10.94 | Sugetriol | [M-H]-251.1639 | −5.4 |
| 54 | 15.62 | undecanoic acid | [M-H]-185.1533 | −7.8 |
| 55 | 3.93 | 4-hydroxy-3-methoxybenzoic acid | [M-H]-167.0339 | −6.4 |
| Group | Combined Rotational Speed/rpm | Sample Weight/g | Ligustilide Content/mg | α-Cyperone Content/mg |
|---|---|---|---|---|
| 1 | 300 | 3.00012 | 11.53124 | 0.04369 |
| 2 | 300 | 3.00012 | 11.52805 | 0.04370 |
| 3 | 300 | 3.00023 | 11.57773 | 0.04397 |
| 4 | 800 | 3.00023 | 11.59214 | 0.04441 |
| 5 | 800 | 3.00015 | 11.50806 | 0.04391 |
| 6 | 800 | 3.00015 | 11.48639 | 0.04395 |
| Std | Run | A: β-Cyclodextrin Solution Ratio | B: Inclusion Time/h | C: Temperature/°C | Ligustilide Inclusion Rate/% | α-Cyperone Inclusion Rate/% |
|---|---|---|---|---|---|---|
| 1 | 4 | 6 | 1 | 30 | 56.68 | 56.44 |
| 2 | 5 | 10 | 1 | 30 | 42.29 | 38.12 |
| 3 | 6 | 6 | 3 | 30 | 68.99 | 74.28 |
| 4 | 1 | 10 | 3 | 30 | 55.93 | 43.92 |
| 5 | 8 | 6 | 1 | 50 | 63.61 | 68.47 |
| 6 | 2 | 10 | 1 | 50 | 49.13 | 44.59 |
| 7 | 3 | 6 | 3 | 50 | 44.69 | 68.43 |
| 8 | 7 | 10 | 3 | 50 | 44.36 | 41.86 |
| 9 | 10 | 6 | 1 | 30 | 58.19 | 61.83 |
| 10 | 12 | 10 | 1 | 30 | 37.19 | 39.66 |
| 11 | 14 | 6 | 3 | 30 | 59.1 | 82.87 |
| 12 | 15 | 10 | 3 | 30 | 58.66 | 45.49 |
| 13 | 16 | 6 | 1 | 50 | 59.13 | 66.81 |
| 14 | 9 | 10 | 1 | 50 | 43.3 | 54.13 |
| 15 | 3 | 6 | 3 | 50 | 41.99 | 74.36 |
| 16 | 11 | 10 | 3 | 50 | 38.75 | 44.09 |
| Source of Variation | Sum of Squares | Degrees of Freedom | Mean Square | F-Value | p-Value |
|---|---|---|---|---|---|
| Block | 53.91 | 1 | 53.91 | ||
| Model | 1147.03 | 4 | 286.76 | 12.88 | 0.0006 |
| A: β-Cyclodextrin solution ratio | 428.18 | 1 | 428.18 | 19.23 | 0.0014 |
| B: Inclusiontime/h | 0.5439 | 1 | 0.5439 | 0.0244 | 0.8789 |
| C: Inclusiontemperature/°C | 169.46 | 1 | 169.46 | 7.61 | 0.0202 |
| BC | 548.85 | 1 | 548.85 | 24.65 | 0.0006 |
| Residual | 222.63 | 10 | 22.26 | ||
| Cor total | 1423.57 | 15 |
| Source of Variance | Sum of Squares | Degrees of Freedom | Mean Square | F-Value | p-Value |
|---|---|---|---|---|---|
| Block | 68.6 | 1 | 68.6 | ||
| Model | 2888.61 | 4 | 722.15 | 34.36 | <0.0001 |
| A: β-Cyclodextrin solution ratio | 2540.92 | 1 | 2540.92 | 120.9 | <0.0001 |
| B: Inclusiontime/h | 127.97 | 1 | 127.97 | 6.09 | 0.0332 |
| C: Inclusiontemperature/°C | 25.33 | 1 | 25.33 | 1.21 | 0.298 |
| BC | 194.39 | 1 | 194.39 | 9.25 | 0.0124 |
| Residual | 210.17 | 10 | 21.02 | ||
| Cor total | 3167.37 | 15 |
| Factor | W | p-Value | Passed Normality Test (alpha = 0.05) |
|---|---|---|---|
| Ligustilide inclusion rate | 0.9256 | 0.2076 | Yes |
| α-Cyperone inclusion rate | 0.9120 | 0.1225 | Yes |
| Group | β-Cyclodextrin Multiplication | Inclusion Time/h | Inclusion Temperature/°C | Ligustilide Inclusion Rate/% | 95% Confidence Interval for Ligustilide | α-Cyperone Inclusion Rate/% | 95% Confidence Interval for α-Cyperone |
|---|---|---|---|---|---|---|---|
| 1 | 6 | 3 | 30 | 64.74 | 57.39~74.29 | 75.18 | 66.03~82.45 |
| 2 | 6 | 2 | 35 | 63.18 | 49.76~66.59 | 73.32 | 60.38~76.73 |
| 3 | 6 | 2.6 | 33 | 63.15 | 52.67~70.12 | 72.97 | 62.99~79.95 |
| 4 | 6 | 2.5 | 30 | 64.24 | 53.91~71.74 | 71.33 | 62.43~79.74 |
| 5 | 6 | 2.75 | 32 | 63.49 | 53.87~71.74 | 76.89 | 63.71~81.08 |
| Temperature/°C | Regression Equation | Kc/L·mmol−1 | ΔH/KJ·mol−1 | ΔG/KJ·mol−1 | ΔS/J·mol−1·K−1 |
|---|---|---|---|---|---|
| 25 | y = 0.0003x + 0.012 R2 = 0.9920 | 0.0475 | 39.18 | 7.54 | 106.00 |
| 35 | y = 0.0009x + 0.0103 R2 = 0.9782 | 0.1661 | 4.59 | ||
| 45 | y = 0.0009x + 0.0115 R2 = 0.9827 | 0.1488 | 5.04 |
| Component | Binding Energy |
|---|---|
| Ligustilide | −4.09 |
| α-Cyperone | −4.18 |
Disclaimer/Publisher’s Note: The statements, opinions and data contained in all publications are solely those of the individual author(s) and contributor(s) and not of MDPI and/or the editor(s). MDPI and/or the editor(s) disclaim responsibility for any injury to people or property resulting from any ideas, methods, instructions or products referred to in the content. |
© 2026 by the authors. Licensee MDPI, Basel, Switzerland. This article is an open access article distributed under the terms and conditions of the Creative Commons Attribution (CC BY) license.
Share and Cite
Tang, Z.; Chen, W.; Zhang, T.; He, Y.; Wan, H. Exploring Key Factors Affecting the Encapsulation Efficiency of Ligusticum Chuanxiong–Vinegar Cyperus Rotundus Essential Oil Based on QbD Principles. Pharmaceutics 2026, 18, 393. https://doi.org/10.3390/pharmaceutics18030393
Tang Z, Chen W, Zhang T, He Y, Wan H. Exploring Key Factors Affecting the Encapsulation Efficiency of Ligusticum Chuanxiong–Vinegar Cyperus Rotundus Essential Oil Based on QbD Principles. Pharmaceutics. 2026; 18(3):393. https://doi.org/10.3390/pharmaceutics18030393
Chicago/Turabian StyleTang, Zhongcheng, Wenting Chen, Ting Zhang, Yu He, and Haitong Wan. 2026. "Exploring Key Factors Affecting the Encapsulation Efficiency of Ligusticum Chuanxiong–Vinegar Cyperus Rotundus Essential Oil Based on QbD Principles" Pharmaceutics 18, no. 3: 393. https://doi.org/10.3390/pharmaceutics18030393
APA StyleTang, Z., Chen, W., Zhang, T., He, Y., & Wan, H. (2026). Exploring Key Factors Affecting the Encapsulation Efficiency of Ligusticum Chuanxiong–Vinegar Cyperus Rotundus Essential Oil Based on QbD Principles. Pharmaceutics, 18(3), 393. https://doi.org/10.3390/pharmaceutics18030393
