Fe/57Fe-Metallacarboranes with Radiosensitizing Potential in Breast Cancer Cell Models: Comparative Study Between High- (60Co) and Low-Energy (57Co) Gamma Radiation Sources
Abstract
1. Introduction
2. Materials and Methods
2.1. Gamma Ray Irradiation Experiments
2.2. Mössbauer Effect Absorption Irradiation Experiments
2.3. Cell Line Selection, Culture Protocols, and FESAN Stock Preparation
2.4. Cellular Uptake by PIXE
2.5. Post-Irradiation Viability and Survival Evaluation
2.6. Intracellular ROS Levels
2.7. Apoptosis (Caspase-3/7 Assay)
2.8. Morphological Assessment Using TEM
2.9. Morphological Features by SEM
3. Results and Discussion
3.1. Cellular Uptake Analysis
3.2. Fourier-Transform Infrared Spectroscopy (FT-IR) and Magnetic Studies of Breast Cancer Cells
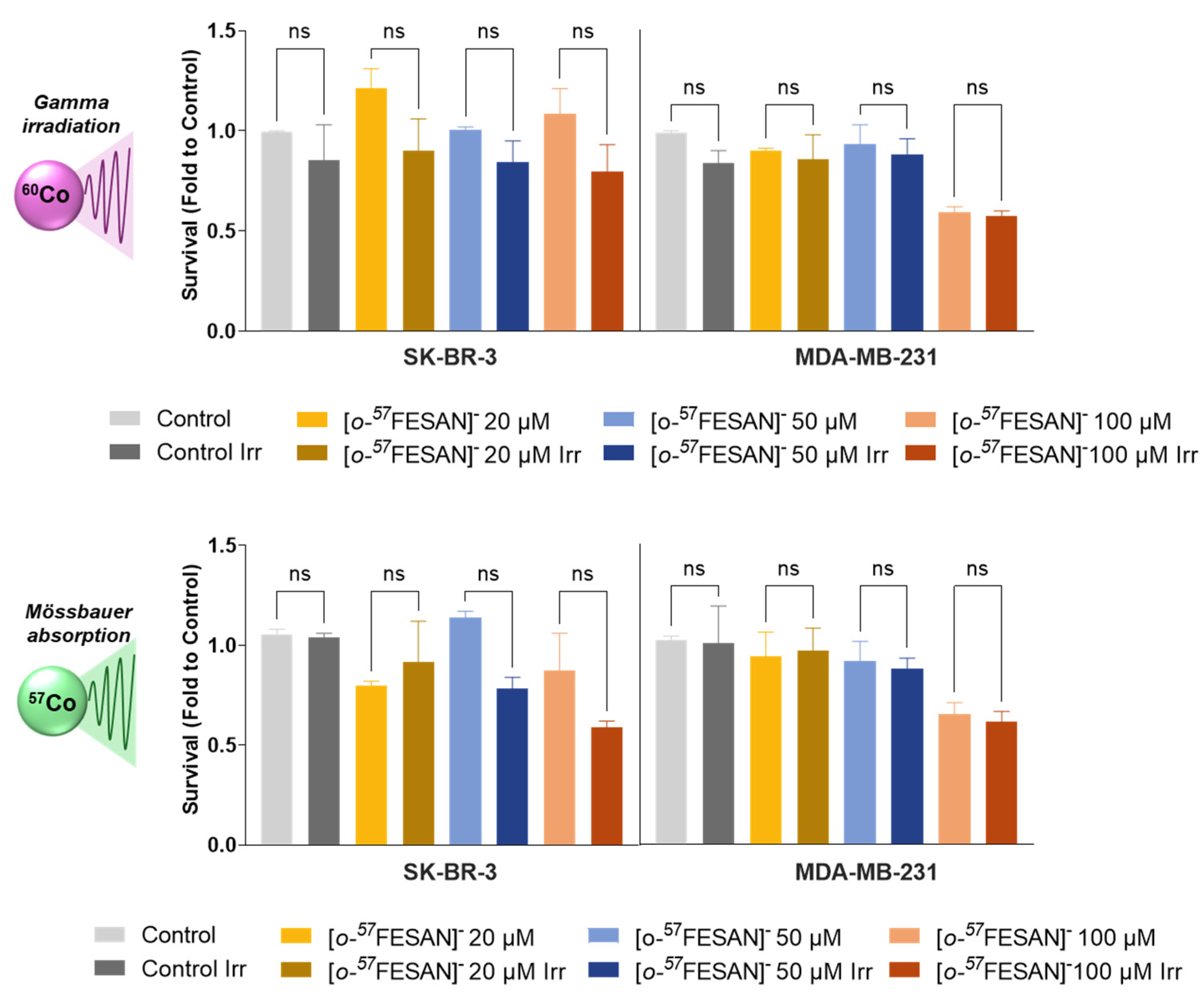
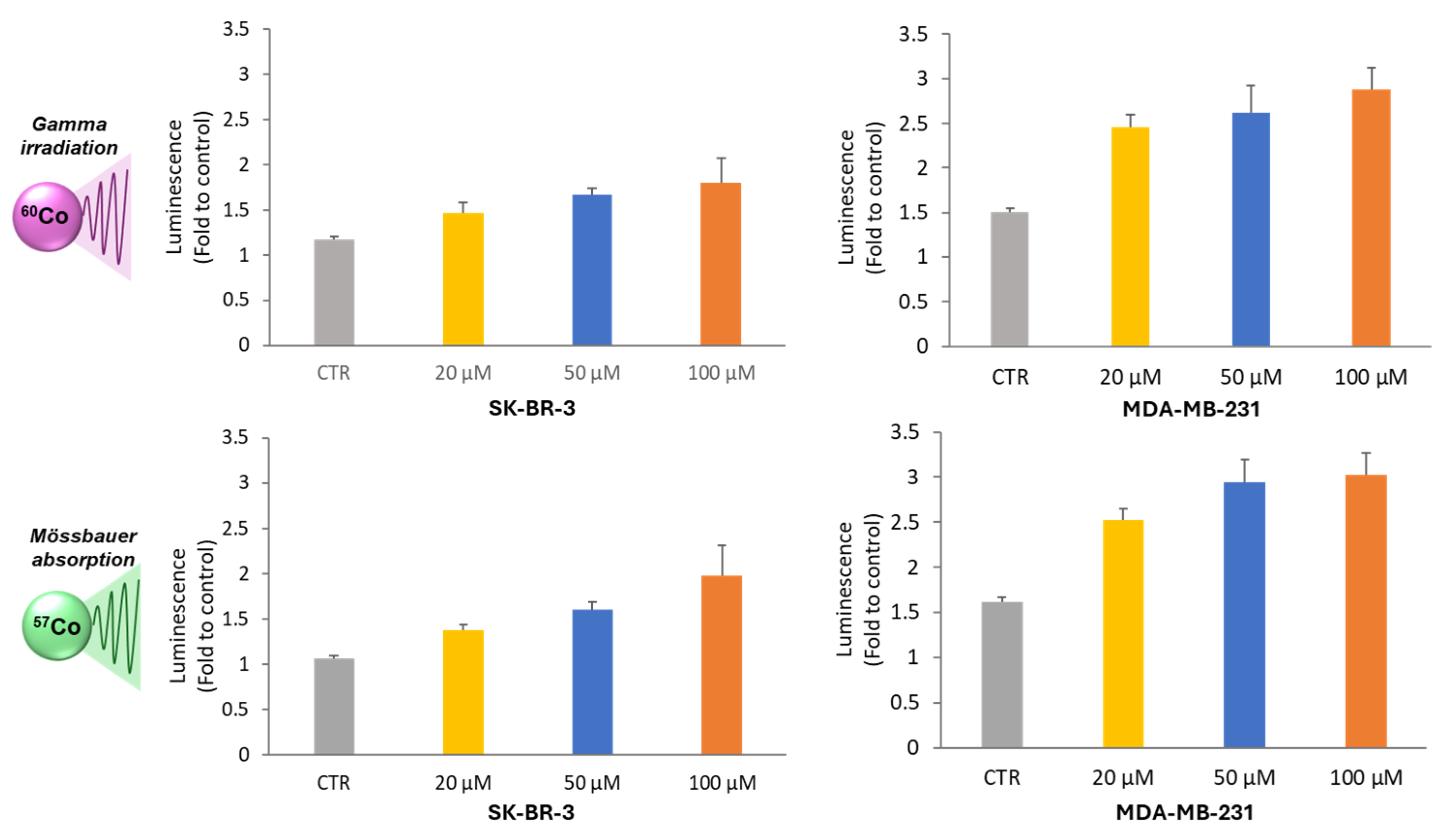
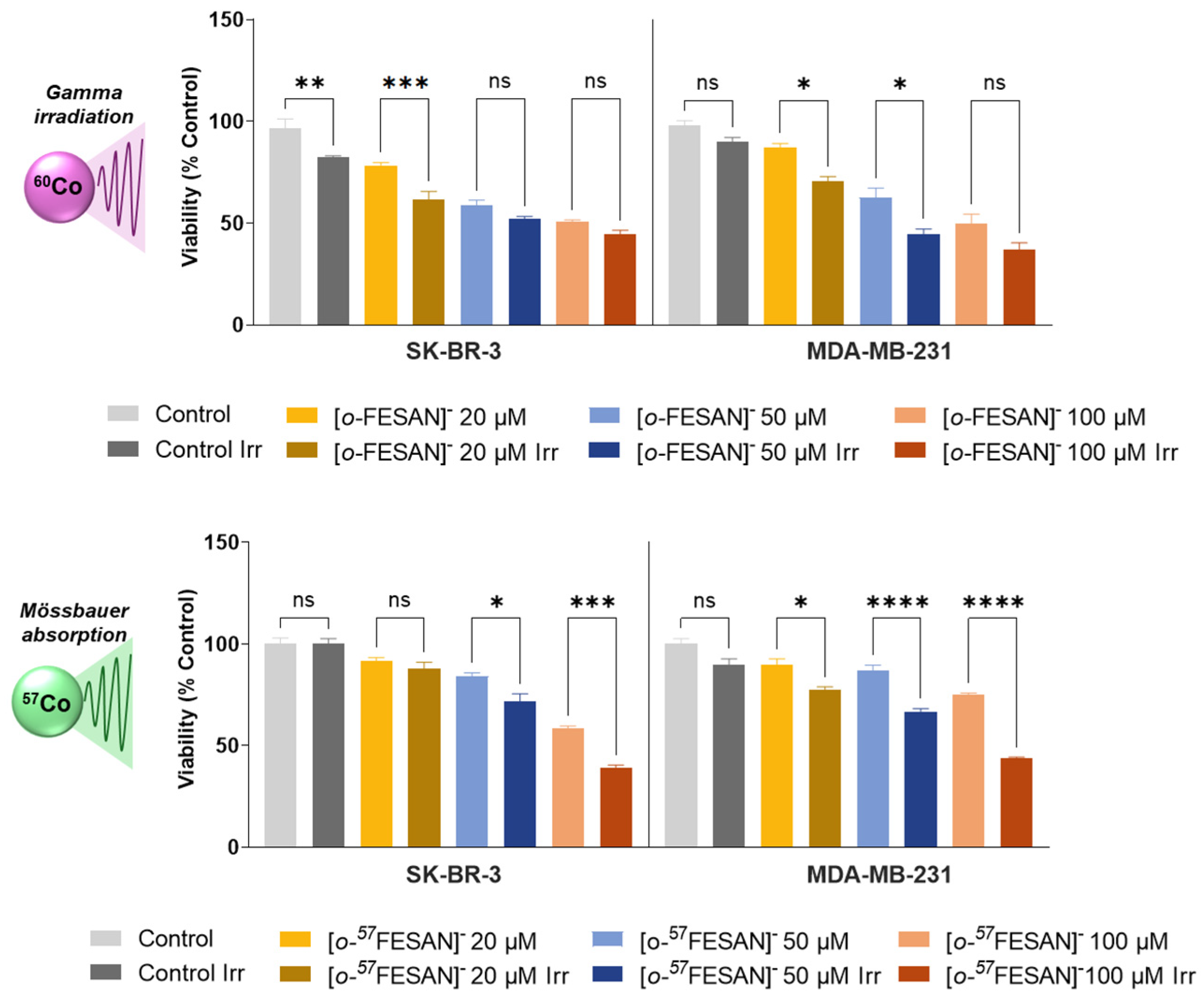
3.3. Gamma Irradiation and Mössbauer Resonant Absorption Studies
3.4. Mechanisms of Cell Death
3.4.1. Reactive Oxygen Species (ROS)
3.4.2. Apoptosis via Caspase-3/7 Activation
3.4.3. Transmission Electron Microscopy (TEM) Studies
3.4.4. Scanning Electron Microscopy (SEM)
3.5. Comparative Dosimetry Studies
4. Conclusions
Supplementary Materials
Author Contributions
Funding
Institutional Review Board Statement
Informed Consent Statement
Data Availability Statement
Acknowledgments
Conflicts of Interest
Abbreviations
| ROS | Reactive Oxygen Species |
| LET | Linear Energy Transfer |
| DVH | Dose-Volume Histogram |
| [o-FESAN]− | [3,3′-Fe(1,2-C2B9H11)2]− |
| [o-57FESAN]− | [3,3′-57Fe(1,2-C2B9H11)2]− |
| TEM | Transmission Electron Microscopy |
| SEM | Scanning Electron Microscopy |
| ATCC | American Type Culture Collection |
| DMEM | Dulbecco’s Modified Eagle’s Medium |
| FBS | Fetal Bovine Serum |
| PIXE | Particle-Induced X-ray Emission |
| Tm | Melting Temperature |
| H2DCF-DA | 2′,7′-dichlorodihydrofluorescein diacetate |
| DCF | 2′,7′-dichlorofluorescein |
| ER | Estrogen |
| PR | Progesterone |
| HER2 | Human Epidermal Growth Factor 2 |
| TNBC | Triple-Negative Breast Cancer |
| FT-IR | Fourier-Transform Infrared Spectroscopy |
| ICP-MS | Inductively Coupled Plasma Mass Spectrometry |
| MC | Monte Carlo |
References
- Arruebo, M.; Vilaboa, N.; Sáez-Gutierrez, B.; Lambea, J.; Tres, A.; Valladares, M.; González-Fernández, Á. Assessment of the Evolution of Cancer Treatment Therapies. Cancers 2011, 3, 3279–3330. [Google Scholar] [CrossRef]
- Bray, F.; Laversanne, M.; Sung, H.; Ferlay, J.; Siegel, R.L.; Soerjomataram, I.; Jemal, A. Global Cancer Statistics 2022: GLOBOCAN Estimates of Incidence and Mortality Worldwide for 36 Cancers in 185 Countries. CA Cancer J. Clin. 2024, 74, 229–263. [Google Scholar] [CrossRef]
- Miller, K.D.; Nogueira, L.; Devasia, T.; Mariotto, A.B.; Yabroff, K.R.; Jemal, A.; Kramer, J.; Siegel, R.L. Cancer Treatment and Survivorship Statistics, 2022. CA Cancer J. Clin. 2022, 72, 409–436. [Google Scholar] [CrossRef]
- Baskar, R.; Lee, K.A.; Yeo, R.; Yeoh, K.-W. Cancer and Radiation Therapy: Current Advances and Future Directions. Int. J. Med. Sci. 2012, 9, 193–199. [Google Scholar] [CrossRef] [PubMed]
- Olivares-Urbano, M.A.; Griñán-Lisón, C.; Marchal, J.A.; Núñez, M.I. CSC Radioresistance: A Therapeutic Challenge to Improve Radiotherapy Effectiveness in Cancer. Cells 2020, 9, 1651. [Google Scholar] [CrossRef]
- Schaue, D.; McBride, W.H. Opportunities and Challenges of Radiotherapy for Treating Cancer. Nat. Rev. Clin. Oncol. 2015, 12, 527–540. [Google Scholar] [CrossRef]
- Chen, H.H.W.; Kuo, M.T. Improving Radiotherapy in Cancer Treatment: Promises and Challenges. Oncotarget 2017, 8, 62742–62758. [Google Scholar] [CrossRef] [PubMed]
- Komorowska, D.; Radzik, T.; Kalenik, S.; Rodacka, A. Natural Radiosensitizers in Radiotherapy: Cancer Treatment by Combining Ionizing Radiation with Resveratrol. Int. J. Mol. Sci. 2022, 23, 10627. [Google Scholar] [CrossRef]
- Wang, H.; Mu, X.; He, H.; Zhang, X.-D. Cancer Radiosensitizers. Trends Pharmacol. Sci. 2018, 39, 24–48. [Google Scholar] [CrossRef] [PubMed]
- Gong, L.; Zhang, Y.; Liu, C.; Zhang, M.; Han, S. Application of Radiosensitizers in Cancer Radiotherapy. Int. J. Nanomed. 2021, 16, 1083–1102. [Google Scholar] [CrossRef]
- Neufeld, M.J.; Lutzke, A.; Pratx, G.; Sun, C. High-Z Metal–Organic Frameworks for X-ray Radiation-Based Cancer Theranostics. Chem. A Eur. J. 2021, 27, 3229–3237. [Google Scholar] [CrossRef] [PubMed]
- Sharma, V.K.; Klingelhöfer, G.; Nishida, T. (Eds.) Mössbauer Spectroscopy; Wiley: Hoboken, NJ, USA, 2013. [Google Scholar]
- Kamnev, A.A.; Tugarova, A.V. Bioanalytical Applications of Mössbauer Spectroscopy. Russ. Chem. Rev. 2021, 90, 1415–1453. [Google Scholar] [CrossRef]
- Kamnev, A.A.; Tugarova, A.V. Sample Treatment in Mössbauer Spectroscopy for Protein-Related Analyses: Nondestructive Possibilities to Look inside Metal-Containing Biosystems. Talanta 2017, 174, 819–837. [Google Scholar] [CrossRef] [PubMed]
- Mills, R.L.; Walter, C.W.; Venkataraman, L.; Pang, K.; Farrell, J.J. A Novel Cancer Therapy Using a Mössbauer-Isotope Compound. Nature 1988, 336, 787–789. [Google Scholar] [CrossRef] [PubMed]
- Buades, A.B.; Pereira, L.C.J.; Vieira, B.J.C.; Cerdeira, A.C.; Waerenborgh, J.C.; Pinheiro, T.; Matos, A.P.A.; Pinto, C.G.; Guerreiro, J.F.; Mendes, F.; et al. The Mössbauer Effect Using 57Fe-Ferrabisdicarbollide ([o-57FESAN]−): A Glance into the Potential of a Low-Dose Approach for Glioblastoma Radiotherapy. Inorg. Chem. Front. 2022, 9, 1490–1503. [Google Scholar] [CrossRef]
- Kron, T.; Lehmann, J.; Greer, P.B. Dosimetry of Ionising Radiation in Modern Radiation Oncology. Phys. Med. Biol. 2016, 61, R167–R205. [Google Scholar] [CrossRef]
- Cheng, L.; Hobbs, R.F.; Segars, P.W.; Sgouros, G.; Frey, E.C. Improved Dose–Volume Histogram Estimates for Radiopharmaceutical Therapy by Optimizing Quantitative SPECT Reconstruction Parameters. Phys. Med. Biol. 2013, 58, 3631–3647. [Google Scholar] [CrossRef]
- Chiesa, C.; Bardiès, M.; Zaidi, H. Voxel-based Dosimetry Is Superior to Mean Absorbed Dose Approach for Establishing Dose-effect Relationship in Targeted Radionuclide Therapy. Med. Phys. 2019, 46, 5403–5406. [Google Scholar] [CrossRef]
- McMahon, S.J.; Paganetti, H.; Prise, K.M. Optimising Element Choice for Nanoparticle Radiosensitisers. Nanoscale 2016, 8, 581–589. [Google Scholar] [CrossRef]
- Butterworth, K.T.; McMahon, S.J.; Currell, F.J.; Prise, K.M. Physical Basis and Biological Mechanisms of Gold Nanoparticle Radiosensitization. Nanoscale 2012, 4, 4830. [Google Scholar] [CrossRef]
- Skoupilova, H.; Bartosik, M.; Sommerova, L.; Pinkas, J.; Vaculovic, T.; Kanicky, V.; Karban, J.; Hrstka, R. Ferrocenes as New Anticancer Drug Candidates: Determination of the Mechanism of Action. Eur. J. Pharmacol. 2020, 867, 172825. [Google Scholar] [CrossRef] [PubMed]
- Gill, M.R.; Vallis, K.A. Transition Metal Compounds as Cancer Radiosensitizers. Chem. Soc. Rev. 2019, 48, 540–557. [Google Scholar] [CrossRef]
- Gutiérrez-Gálvez, L.; García-Mendiola, T.; Lorenzo, E.; Nuez-Martinez, M.; Ocal, C.; Yan, S.; Teixidor, F.; Pinheiro, T.; Marques, F.; Viñas, C. Compelling DNA Intercalation through ‘Anion–Anion’ Anti-Coulombic Interactions: Boron Cluster Self-Vehicles as Promising Anticancer Agents. J. Mater. Chem. B 2024, 12, 9550–9565. [Google Scholar] [CrossRef]
- Citrin, D.E. Recent Developments in Radiotherapy. N. Engl. J. Med. 2017, 377, 1065–1075. [Google Scholar] [CrossRef] [PubMed]
- Ribeiro, N.; Roy, S.; Butenko, N.; Cavaco, I.; Pinheiro, T.; Alho, I.; Marques, F.; Avecilla, F.; Costa Pessoa, J.; Correia, I. New Cu(II) Complexes with Pyrazolyl Derived Schiff Base Ligands: Synthesis and Biological Evaluation. J. Inorg. Biochem. 2017, 174, 63–75. [Google Scholar] [CrossRef] [PubMed]
- Nuez-Martínez, M.; Queralt-Martín, M.; Muñoz-Juan, A.; Aguilella, V.M.; Laromaine, A.; Teixidor, F.; Viñas, C.; Pinto, C.G.; Pinheiro, T.; Guerreiro, J.F.; et al. Boron Clusters (Ferrabisdicarbollides) Shaping the Future as Radiosensitizers for Multimodal (Chemo/Radio/PBFR) Therapy of Glioblastoma. J. Mater. Chem. B 2022, 10, 9794–9815. [Google Scholar] [CrossRef]
- Costa, J.P.; Pinheiro, T.; Martins, M.S.; Carvalho, M.F.N.N.; Feliciano, J.R.; Leitão, J.H.; Silva, R.A.L.; Guerreiro, J.F.; Alves, L.M.C.; Custódio, I.; et al. Tuning the Biological Activity of Camphorimine Complexes through Metal Selection. Antibiotics 2022, 11, 1010. [Google Scholar] [CrossRef]
- Hachem, H.; Le Gal, Y.; Jeannin, O.; Lorcy, D.; Scalese, G.; Pérez-Díaz, L.; Gambino, D.; Matos, A.P.; Marques, F. Metal (Au, Pt, Pd, Ni) Bis(Dithiolene) Complexes as Dual-Action Agents Combating Cancer and Trypanosomatid Infections. J. Inorg. Biochem. 2025, 264, 112788. [Google Scholar] [CrossRef]
- Waks, A.G.; Winer, E.P. Breast Cancer Treatment. JAMA 2019, 321, 288. [Google Scholar] [CrossRef]
- Agostinetto, E.; Gligorov, J.; Piccart, M. Systemic Therapy for Early-Stage Breast Cancer: Learning from the Past to Build the Future. Nat. Rev. Clin. Oncol. 2022, 19, 763–774. [Google Scholar] [CrossRef]
- Tagliazucchi, M.; Peleg, O.; Kröger, M.; Rabin, Y.; Szleifer, I. Effect of Charge, Hydrophobicity, and Sequence of Nucleoporins on the Translocation of Model Particles through the Nuclear Pore Complex. Proc. Natl. Acad. Sci. USA 2013, 110, 3363–3368. [Google Scholar] [CrossRef]
- García-Mendiola, T.; Bayon-Pizarro, V.; Zaulet, A.; Fuentes, I.; Pariente, F.; Teixidor, F.; Viñas, C.; Lorenzo, E. Metallacarboranes as Tunable Redox Potential Electrochemical Indicators for Screening of Gene Mutation. Chem. Sci. 2016, 7, 5786–5797. [Google Scholar] [CrossRef]
- Froehlich, K.; Haeger, J.-D.; Heger, J.; Pastuschek, J.; Photini, S.M.; Yan, Y.; Lupp, A.; Pfarrer, C.; Mrowka, R.; Schleußner, E.; et al. Generation of Multicellular Breast Cancer Tumor Spheroids: Comparison of Different Protocols. J. Mammary Gland Biol. Neoplasia 2016, 21, 89–98. [Google Scholar] [CrossRef]
- Souza, A.G.; Silva, I.B.B.; Campos-Fernandez, E.; Barcelos, L.S.; Souza, J.B.; Marangoni, K.; Goulart, L.R.; Alonso-Goulart, V. Comparative Assay of 2D and 3D Cell Culture Models: Proliferation, Gene Expression and Anticancer Drug Response. Curr. Pharm. Des. 2018, 24, 1689–1694. [Google Scholar] [CrossRef] [PubMed]
- Theiner, S.; Schreiber-Brynzak, E.; Jakupec, M.A.; Galanski, M.S.; Koellensperger, G.; Keppler, B.K. LA-ICP-MS Imaging in Multicellular Tumor Spheroids—A Novel Tool in the Preclinical Development of Metal-Based Anticancer Drugs. Metallomics 2016, 8, 398–402. [Google Scholar] [CrossRef] [PubMed]
- Grantab, R.H.; Tannock, I.F. Penetration of Anticancer Drugs through Tumour Tissue as a Function of Cellular Packing Density and Interstitial Fluid Pressure and Its Modification by Bortezomib. BMC Cancer 2012, 12, 214. [Google Scholar] [CrossRef]
- Raitanen, J.; Barta, B.; Hacker, M.; Georg, D.; Balber, T.; Mitterhauser, M. Comparison of Radiation Response between 2D and 3D Cell Culture Models of Different Human Cancer Cell Lines. Cells 2023, 12, 360. [Google Scholar] [CrossRef]
- Desouky, O.; Ding, N.; Zhou, G. Targeted and Non-Targeted Effects of Ionizing Radiation. J. Radiat. Res. Appl. Sci. 2015, 8, 247–254. [Google Scholar] [CrossRef]
- Klein, S.; Sommer, A.; Distel, L.V.R.; Neuhuber, W.; Kryschi, C. Superparamagnetic Iron Oxide Nanoparticles as Radiosensitizer via Enhanced Reactive Oxygen Species Formation. Biochem. Biophys. Res. Commun. 2012, 425, 393–397. [Google Scholar] [CrossRef]
- Rahmanian, N.; Hosseinimehr, S.J.; Khalaj, A. The Paradox Role of Caspase Cascade in Ionizing Radiation Therapy. J. Biomed. Sci. 2016, 23, 88. [Google Scholar] [CrossRef] [PubMed]
- Jiao, Y.; Cao, F.; Liu, H. Radiation-Induced Cell Death and Its Mechanisms. Health Phys. 2022, 123, 376–386. [Google Scholar] [CrossRef]
- Adjemian, S.; Oltean, T.; Martens, S.; Wiernicki, B.; Goossens, V.; Vanden Berghe, T.; Cappe, B.; Ladik, M.; Riquet, F.B.; Heyndrickx, L.; et al. Ionizing Radiation Results in a Mixture of Cellular Outcomes Including Mitotic Catastrophe, Senescence, Methuosis, and Iron-Dependent Cell Death. Cell Death Dis. 2020, 11, 1003. [Google Scholar] [CrossRef]
- Boren, J.; Brindle, K.M. Apoptosis-Induced Mitochondrial Dysfunction Causes Cytoplasmic Lipid Droplet Formation. Cell Death Differ. 2012, 19, 1561–1570. [Google Scholar] [CrossRef] [PubMed]
- McMahon, S.J.; Prise, K.M. A Mechanistic DNA Repair and Survival Model (Medras): Applications to Intrinsic Radiosensitivity, Relative Biological Effectiveness and Dose-Rate. Front. Oncol. 2021, 11, 689112. [Google Scholar] [CrossRef] [PubMed]
- Di Maria, S.; Belchior, A.; Romanets, Y.; Paulo, A.; Vaz, P. Monte Carlo Dose Distribution Calculation at Nuclear Level for Auger-Emitting Radionuclide Energies. Appl. Radiat. Isot. 2018, 135, 72–77. [Google Scholar] [CrossRef]
- Villagrasa, C.; Baiocco, G.; Chaoui, Z.-E.-A.; Dingfelder, M.; Incerti, S.; Kundrát, P.; Kyriakou, I.; Matsuya, Y.; Kai, T.; Parisi, A.; et al. Evaluation of the Uncertainty in Calculating Nanodosimetric Quantities Due to the Use of Different Interaction Cross Sections in Monte Carlo Track Structure Codes. PLoS ONE 2026, 21, e0340500. [Google Scholar] [CrossRef]
- Perkins, S.T.; Cullen, D.E.; Seltzer, S.M. Tables and Graphs of Electron-Interaction Cross Sections from 10 EV to 100 GeV Derived from the LLNL Evaluated Electron Data Library (EEDL), Z = 1–100; University of California: Livermore, CA, USA, 1991. [Google Scholar]
- Viñas, C.; Pedrajas, J.; Bertran, J.; Teixidor, F.; Kivekäs, R.; Sillanpää, R. Synthesis of Cobaltabis(Dicarbollyl) Complexes Incorporating Exocluster SR Substituents and the Improved Synthesis of [3,3′-Co(1-R-2-R′-1,2-C2B9H9)2]—Derivatives. Inorg. Chem. 1997, 36, 2482–2486. [Google Scholar] [CrossRef]
- Hawthorne, M.F.; Andrews, T.D. Carborane Analogues of Cobalticinium Ion. Chem. Commun. 1965, 19, 443. [Google Scholar] [CrossRef]
- Goorley, J.; James, M.; Booth, T.; Brown, F.; Bull, J.; Cox, L.; Durkee, J., Jr.; Elson, J.; Fensin, M.; Forster, R., III; et al. Initial MCNP6 Release Overview—MCNP6 Version 1.0; National Laboratory, New Mexico: Los Alamos, NM, USA, 2013; Volume 180. [Google Scholar]
- Goddu, S.M.; Howell, R.W.; Rao, D. V Cellular Dosimetry: Absorbed Fractions for Monoenergetic Electron and Alpha Particle Sources and S-Values for Radionuclides Uniformly Distributed in Different Cell Compartments. J. Nucl. Med. 1994, 35, 303–316. [Google Scholar]
- Borbinha, J.; Ferreira, P.; Costa, D.; Vaz, P.; Di Maria, S. Targeted Radionuclide Therapy Directed to the Tumor Phenotypes: A Dosimetric Approach Using MC Simulations. Appl. Radiat. Isot. 2023, 192, 110569. [Google Scholar] [CrossRef] [PubMed]
- Cook, D.C. In-Situ Identification of Iron--Zinc Intermetallics in Galvannealed Steel Coatings and Iron Oxides on Exposed Steel. Hyperfine Interact. 1998, 111, 71–82. [Google Scholar] [CrossRef]
- Gabbasov, R.; Polikarpov, M.; Safronov, V.; Sozontov, E.; Yurenya, A.; Panchenko, V. Monte Carlo Simulation of Dose Distribution in Water around 57Fe3O4 Magnetite Nanoparticle in the Nuclear Gamma Resonance Condition. Hyperfine Interact. 2016, 237, 34. [Google Scholar] [CrossRef]










| Irradiation Type | Contribution Type ID | Irradiation Time Duration (s) | Average Absorbed Dose per Cell (Gy) |
|---|---|---|---|
| Mössbauer (14.41 keV with 57Co decay) | C1 | 7200 (starting activity 0.13 GBq) | 2.7 × 10−2 (7.3 keV K-conversion electrons) |
| 7.75 × 10−3 (5.6 keV KLL Auger electrons) | |||
| 2.8 × 10−3 (6.4 keV KX-ray) | |||
| Photoelectric (photons of 14.41 keV with 57Co decay) | C2 | 7200 (starting activity 0.13 GBq) | 1.4 × 10−5 |
| Photons of 122 keV (57Co decay) | C3 | 7200 (starting activity 0.13 GBq) | 1.3 × 10−5 |
| Photon of 136 keV (57Co decay) | C4 | 7200 (starting activity 0.13 GBq) | 1.6 × 10−6 |
| Electrons of 130 keV (57Co decay) | C5 | 7200 (starting activity 0.13 GBq) | 3.6 × 10−4 |
| Electrons of 115 keV (57Co decay) | C6 | 7200 (starting activity 0.13 GBq) | 6.1 × 10−4 |
| Gamma-rays (60Co decay, 1.33 MeV) | C7 | 120 (starting activity 52 TBq) | 2.08 |
Disclaimer/Publisher’s Note: The statements, opinions and data contained in all publications are solely those of the individual author(s) and contributor(s) and not of MDPI and/or the editor(s). MDPI and/or the editor(s) disclaim responsibility for any injury to people or property resulting from any ideas, methods, instructions or products referred to in the content. |
© 2026 by the authors. Licensee MDPI, Basel, Switzerland. This article is an open access article distributed under the terms and conditions of the Creative Commons Attribution (CC BY) license.
Share and Cite
Di Maria, S.; Engrácia, D.M.; Pinto, C.I.G.; Waerenborgh, J.C.; Vieira, B.J.C.; Santos, P.; Pinheiro, T.; Nuez-Martínez, M.; Matos, A.P.; Mendes, F.; et al. Fe/57Fe-Metallacarboranes with Radiosensitizing Potential in Breast Cancer Cell Models: Comparative Study Between High- (60Co) and Low-Energy (57Co) Gamma Radiation Sources. Pharmaceutics 2026, 18, 214. https://doi.org/10.3390/pharmaceutics18020214
Di Maria S, Engrácia DM, Pinto CIG, Waerenborgh JC, Vieira BJC, Santos P, Pinheiro T, Nuez-Martínez M, Matos AP, Mendes F, et al. Fe/57Fe-Metallacarboranes with Radiosensitizing Potential in Breast Cancer Cell Models: Comparative Study Between High- (60Co) and Low-Energy (57Co) Gamma Radiation Sources. Pharmaceutics. 2026; 18(2):214. https://doi.org/10.3390/pharmaceutics18020214
Chicago/Turabian StyleDi Maria, Salvatore, Diogo M. Engrácia, Catarina I. G. Pinto, João C. Waerenborgh, Bruno J. C. Vieira, Pedro Santos, Teresa Pinheiro, Miquel Nuez-Martínez, António P. Matos, Filipa Mendes, and et al. 2026. "Fe/57Fe-Metallacarboranes with Radiosensitizing Potential in Breast Cancer Cell Models: Comparative Study Between High- (60Co) and Low-Energy (57Co) Gamma Radiation Sources" Pharmaceutics 18, no. 2: 214. https://doi.org/10.3390/pharmaceutics18020214
APA StyleDi Maria, S., Engrácia, D. M., Pinto, C. I. G., Waerenborgh, J. C., Vieira, B. J. C., Santos, P., Pinheiro, T., Nuez-Martínez, M., Matos, A. P., Mendes, F., Teixidor, F., Viñas, C., & Marques, F. (2026). Fe/57Fe-Metallacarboranes with Radiosensitizing Potential in Breast Cancer Cell Models: Comparative Study Between High- (60Co) and Low-Energy (57Co) Gamma Radiation Sources. Pharmaceutics, 18(2), 214. https://doi.org/10.3390/pharmaceutics18020214

