Biological and Biosimilar Medicines in Contemporary Pharmacotherapy for Metabolic Syndrome
Abstract
1. Introduction
2. Antidiabetic Drugs
2.1. Insulin
2.1.1. Insulin Structure and Its Modifications
2.1.2. Mechanism of Action
2.1.3. Pharmacokinetics of Insulins
Basal Insulins
Mealtime Insulins
Pre-Mixed Insulins
2.2. Glucagon-like Peptide-1 Analogues
2.2.1. Drug Manufacturing
2.2.2. Mechanism of Action and Pharmacological Effects
2.2.3. Pharmacokinetics of GLP-1 Analogues
2.2.4. Summary of Clinical Trials Comparing GLP-1 Analogues with Other Classes of Compounds Used in T2D Therapy
2.3. Dipeptidyl Peptidase-4 Inhibitors
2.3.1. Drug Manufacturing
2.3.2. Mechanism of Action and Pharmacological Effects
2.3.3. Pharmacokinetics of DPP-4 Inhibitors
2.3.4. Summary of Clinical Trials Comparing Dpp4 Inhibitors with Other Classes of Compounds Used in T2d Therapy
2.4. Sodium Glucose Transporter-2 Inhibitors
2.4.1. Drug Manufacturing
2.4.2. Mechanism of Action and Pharmacological Effects
2.4.3. Pharmacokinetics of SGLT-2 Inhibitors
2.4.4. Summary of Clinical Trials Comparing SGLT-2 Inhibitors with Other Classes of Compounds Used in T2D Therapy
3. Antilipemic Drugs
3.1. PCSK9 Inhibitors
3.1.1. Drug Manufacturing
3.1.2. Mechanism of Action and Pharmacological Effects
3.1.3. Pharmacokinetics of PCSK9 Inhibitors
3.1.4. Summary of Clinical Trials Comparing PCSK9 Inhibitors and Statins
3.2. Antisense Oligonucleotides
3.2.1. Drug Manufacturing
3.2.2. Mechanism of Action and Pharmacological Effects
3.2.3. Pharmacokinetics of ASO
Pelacarsen
Volanesorsen
3.2.4. Summary of Clinical Trials Comparing ASO Drugs with Other Classes of Lipid-Lowering Drugs
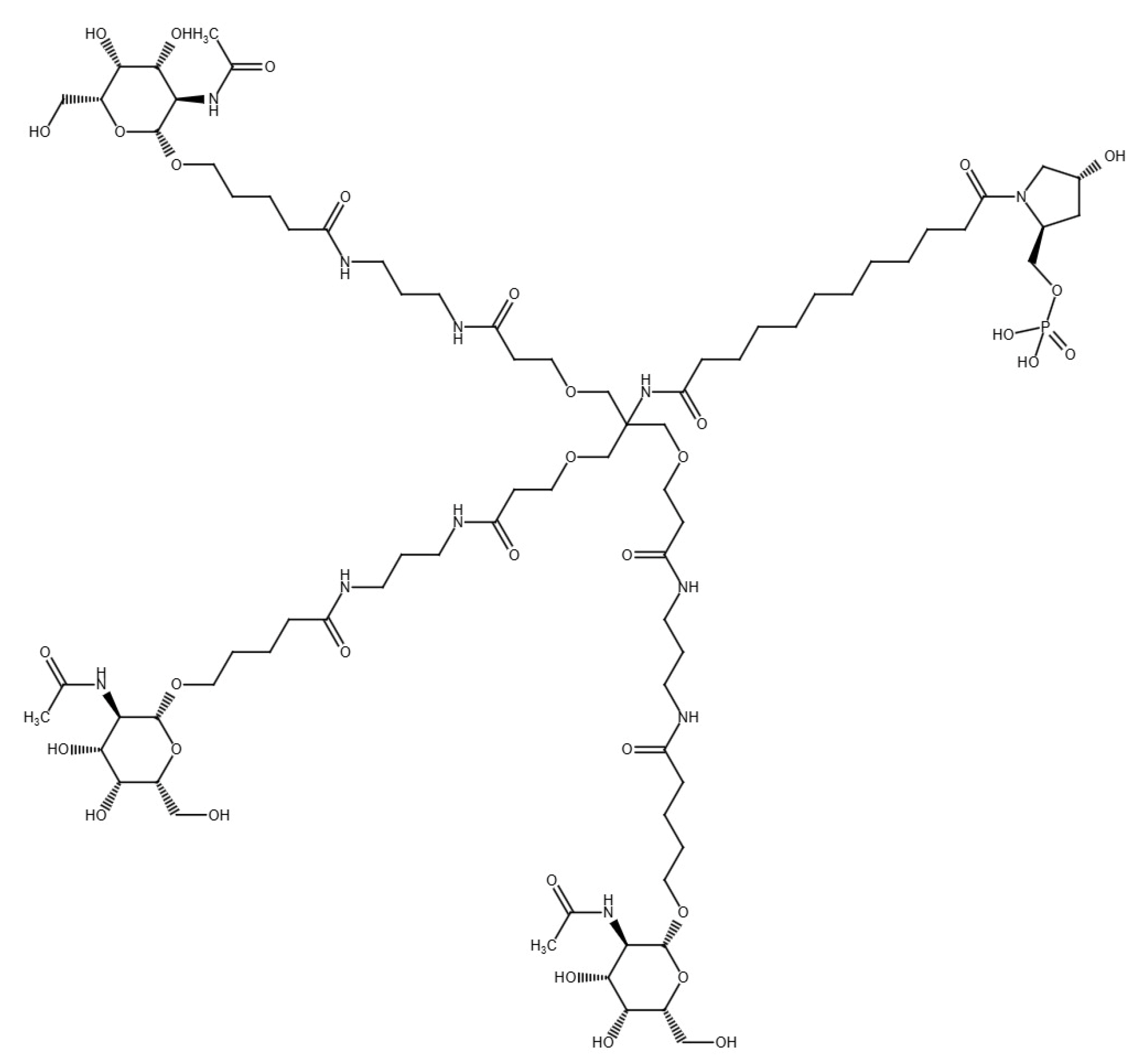
3.3. Small Interfering RNA Drugs
3.3.1. Drug Manufacturing
3.3.2. Mechanism of Action and Pharmacological Effects
3.3.3. Pharmacokinetics of siRNA Drugs
Inclisiran
Olpasiran
Zerlasiran
Lepodisiran
3.3.4. Summary of Clinical Trials Comparing siRNA-Based Drugs with Other Classes of Lipid-Lowering Drugs
4. Safety of Antidiabetic and Antilipemic Drugs
5. Discussion
6. Future Perspective
7. Conclusions
Author Contributions
Funding
Institutional Review Board Statement
Informed Consent Statement
Data Availability Statement
Conflicts of Interest
References
- Farmanfarma, K.; Ansari-Moghaddam, A.; Kaykhaei, M.; Mohammadi, M.; Adineh, H.; Aliabd, H. Incidence of and factors associated with metabolic syndrome, south-east Islamic Republic of Iran. East. Mediterr. Health J. 2021, 27, 1084–1091. [Google Scholar] [CrossRef] [PubMed]
- Visseren, F.L.J.; Mach, F.; Smulders, Y.M.; Carballo, D.; Koskinas, K.C.; Bäck, M.; Benetos, A.; Biffi, A.; Boavida, J.-M.; Capodanno, D.; et al. 2021 ESC Guidelines on cardiovascular disease prevention in clinical practice: Developed by the Task Force for cardiovascular disease prevention in clinical practice with representatives of the European Society of Cardiology and 12 medical societies with the special contribution of the European Association of Preventive Cardiology (EAPC). Eur. Heart J. 2021, 42, 3227–3337. [Google Scholar] [CrossRef] [PubMed]
- Jastreboff, A.M.; Kotz, C.M.; Kahan, S.; Kelly, A.S.; Heymsfield, S.B. Obesity as a Disease: The Obesity Society 2018 Position Statement. Obesity 2019, 27, 7–9. [Google Scholar] [CrossRef] [PubMed]
- American Diabetes Association Professional Practice Committee. 2. Diagnosis and Classification of Diabetes: Standards of Care in Diabetes—2025. Diabetes Care 2024, 48, S27–S49. [Google Scholar] [CrossRef]
- Harrigan, R.A.; Nathan, M.S.; Beattie, P. Oral agents for the treatment of type 2 diabetes mellitus: Pharmacology, toxicity, and treatment. Ann. Emerg. Med. 2001, 38, 68–78. [Google Scholar] [CrossRef]
- Wang, S.; Du, Y.; Zhang, B.; Meng, G.; Liu, Z.; Liew, S.Y.; Liang, R.; Zhang, Z.; Cai, X.; Wu, S.; et al. Transplantation of chemically induced pluripotent stem-cell-derived islets under abdominal anterior rectus sheath in a type 1 diabetes patient. Cell 2024, 187, 6152–6164.e18. [Google Scholar] [CrossRef]
- National Cancer Institute at the National Institutes of Health. Definition of Biological Drug—NCI Dictionary of Cancer Terms. Available online: https://www.cancer.gov/publications/dictionaries/cancer-terms/def/biological-drug (accessed on 16 March 2025).
- Sosnowska, B.; Surma, S.; Banach, M. Targeted Treatment against Lipoprotein (a): The Coming Breakthrough in Lipid Lowering Therapy. Pharmaceuticals 2022, 15, 1573. [Google Scholar] [CrossRef]
- Lamanna, C.; Monami, M.; Marchionni, N.; Mannucci, E. Effect of metformin on cardiovascular events and mortality: A meta-analysis of randomized clinical trials. Diabetes Obes. Metab. 2011, 13, 221–228. [Google Scholar] [CrossRef]
- Hegele, R.A.; Maltman, G.M. Insulin’s centenary: The birth of an idea. Lancet Diabetes Endocrinol. 2020, 8, 971–977. [Google Scholar] [CrossRef]
- Sapra, A.; Bhandari, P. Diabetes. In StatPearls; StatPearls Publishing LLC.: Treasure Island, FL, USA, 2025. [Google Scholar]
- Ruttenberg, M.A. Human Insulin: Facile Synthesis by Modification of Porcine Insulin. Science 1972, 177, 623–626. [Google Scholar] [CrossRef]
- U.S. Food and Drug Administration. 100 Years of Insulin. Available online: https://www.fda.gov/about-fda/fda-history-exhibits/100-years-insulin (accessed on 16 January 2025).
- Riggs, A.D. Making, Cloning, and the Expression of Human Insulin Genes in Bacteria: The Path to Humulin. Endocr. Rev. 2021, 42, 374–380. [Google Scholar] [CrossRef] [PubMed]
- Venugopal, S.K.; Mowery, M.L.; Jialal, I.; Biochemistry, C. Peptide. In StatPearls; StatPearls Publishing LLC.: Treasure Island, FL, USA, 2025. [Google Scholar]
- Jonassen, I.; Havelund, S.; Hoeg-Jensen, T.; Steensgaard, D.B.; Wahlund, P.O.; Ribel, U. Design of the novel protraction mechanism of insulin degludec, an ultra-long-acting basal insulin. Pharm. Res. 2012, 29, 2104–2114. [Google Scholar] [CrossRef] [PubMed]
- Protein Data Bank. Available online: https://www.rcsb.org/ (accessed on 16 March 2025).
- Heinemann, L.; Richter, B. Clinical pharmacology of human insulin. Diabetes Care 1993, 16 (Suppl. S3), 90–100. [Google Scholar] [CrossRef] [PubMed]
- European Medicines Agency. Biosimilars in the EU—Information Guide for Healthcare Professionals; European Medicines Agency: Amsterdam, The Netherlands, 2023.
- European Medicines Agency. ICH: Q5D: Derivation and Characterisation of Cell Substrates Used for Production of Biotechnological/Biological Products—Step 5. Available online: https://www.ema.europa.eu/en/ich-q5d-derivation-characterisation-cell-substrates-used-production-biotechnological-biological-products-scientific-guideline (accessed on 16 March 2025).
- Nagel, N.; Graewert, M.A.; Gao, M.; Heyse, W.; Jeffries, C.M.; Svergun, D.; Berchtold, H. The quaternary structure of insulin glargine and glulisine under formulation conditions. Biophys. Chem. 2019, 253, 106226. [Google Scholar] [CrossRef]
- van Golen, L.W.; Veltman, D.J.; Ijzerman, R.G.; Deijen, J.B.; Heijboer, A.C.; Barkhof, F.; Drent, M.L.; Diamant, M. Effects of insulin detemir and NPH insulin on body weight and appetite-regulating brain regions in human type 1 diabetes: A randomized controlled trial. PLoS ONE 2014, 9, e94483. [Google Scholar] [CrossRef]
- Heise, T.; Hövelmann, U.; Brøndsted, L.; Adrian, C.L.; Nosek, L.; Haahr, H. Faster-acting insulin aspart: Earlier onset of appearance and greater early pharmacokinetic and pharmacodynamic effects than insulin aspart. Diabetes Obes. Metab. 2015, 17, 682–688. [Google Scholar] [CrossRef]
- Hu, Y.; Xu, J.; Wang, J.; Zhu, L.; Wang, J.; Zhang, Q. DPP-4 Inhibitors Suppress Tau Phosphorylation and Promote Neuron Autophagy through the AMPK/mTOR Pathway to Ameliorate Cognitive Dysfunction in Diabetic Mellitus. ACS Chem. Neurosci. 2023, 14, 3335–3346. [Google Scholar] [CrossRef]
- Plank, J.; Wutte, A.; Brunner, G.; Siebenhofer, A.; Semlitsch, B.; Sommer, R.; Hirschberger, S.; Pieber, T.R. A Direct Comparison of Insulin Aspart and Insulin Lispro in Patients with Type 1 Diabetes. Diabetes Care 2002, 25, 2053–2057. [Google Scholar] [CrossRef]
- European Medicines Agency. Insulin lispro Sanofi: EPAR—Product Information. Available online: https://www.ema.europa.eu/en/documents/product-information/insulin-lispro-sanofi-epar-product-information_en.pdf (accessed on 22 January 2025).
- European Medicines Agency. Lyumjev: EPAR—Product Information. Available online: https://www.ema.europa.eu/en/documents/product-information/lyumjev-epar-product-information_en.pdf (accessed on 22 January 2025).
- Tambascia, M.A.; Eliaschewitz, F.G. Degludec: The new ultra-long insulin analogue. Diabetol. Metab. Syndr. 2015, 7, 57. [Google Scholar] [CrossRef]
- American Diabetes Association. Insulin Basics for Diabetes. Available online: https://diabetes.org/health-wellness/medication/insulin-basics (accessed on 16 March 2025).
- Howey, D.C.; Bowsher, R.R.; Brunelle, R.L.; Woodworth, J.R. [Lys(B28), Pro(B29)]-Human Insulin: A Rapidly Absorbed Analogue of Human Insulin. Diabetes 1994, 43, 396–402. [Google Scholar] [CrossRef]
- Mudaliar, S.R.; Lindberg, F.A.; Joyce, M.; Beerdsen, P.; Strange, P.; Lin, A.; Henry, R.R. Insulin aspart (B28 asp-insulin): A fast-acting analog of human insulin: Absorption kinetics and action profile compared with regular human insulin in healthy nondiabetic subjects. Diabetes Care 1999, 22, 1501–1506. [Google Scholar] [CrossRef] [PubMed]
- Gillis, R.B.; Solomon, H.V.; Govada, L.; Oldham, N.J.; Dinu, V.; Jiwani, S.I.; Gyasi-Antwi, P.; Coffey, F.; Meal, A.; Morgan, P.S.; et al. Analysis of insulin glulisine at the molecular level by X-ray crystallography and biophysical techniques. Sci. Rep. 2021, 11, 1737. [Google Scholar] [CrossRef] [PubMed]
- Linnebjerg, H.; Zhang, Q.; LaBell, E.; Dellva, M.A.; Coutant, D.E.; Hövelmann, U.; Plum-Mörschel, L.; Herbrand, T.; Leohr, J. Pharmacokinetics and Glucodynamics of Ultra Rapid Lispro (URLi) versus Humalog® (Lispro) in Younger Adults and Elderly Patients with Type 1 Diabetes Mellitus: A Randomised Controlled Trial. Clin. Pharmacokinet. 2020, 59, 1589–1599. [Google Scholar] [CrossRef]
- Owens, D.R.; Zinman, B.; Bolli, G.B. Insulins today and beyond. Lancet 2001, 358, 739–746. [Google Scholar] [CrossRef]
- Rubin, R.; Khanna, N.R.; McIver, L.A. Aspart Insulin. In StatPearls; StatPearls Publishing LLC.: Treasure Island, FL, USA, 2025. [Google Scholar]
- Cheng, A.Y.Y.; Patel, D.K.; Reid, T.S.; Wyne, K. Differentiating Basal Insulin Preparations: Understanding How They Work Explains Why They Are Different. Adv. Ther. 2019, 36, 1018–1030. [Google Scholar] [CrossRef]
- Norrman, M.; Hubálek, F.; Schluckebier, G. Structural characterization of insulin NPH formulations. Eur. J. Pharm. Sci. 2007, 30, 414–423. [Google Scholar] [CrossRef]
- Centers for Disease Control and Prevention. Types of Insulin. Available online: https://www.cdc.gov/diabetes/about/how-to-use-insulin.html (accessed on 16 January 2025).
- Heise, T.; Nosek, L.; Rønn, B.B.; Endahl, L.; Heinemann, L.; Kapitza, C.; Draeger, E. Lower Within-Subject Variability of Insulin Detemir in Comparison to NPH Insulin and Insulin Glargine in People with Type 1 Diabetes. Diabetes 2004, 53, 1614–1620. [Google Scholar] [CrossRef]
- Porcellati, F.; Rossetti, P.; Busciantella, N.R.; Marzotti, S.; Lucidi, P.; Luzio, S.; Owens, D.R.; Bolli, G.B.; Fanelli, C.G. Comparison of Pharmacokinetics and Dynamics of the Long-Acting Insulin Analogs Glargine and Detemir at Steady State in Type 1 Diabetes: A double-blind, randomized, crossover study. Diabetes Care 2007, 30, 2447–2452. [Google Scholar] [CrossRef]
- Heinemann, L.; Linkeschova, R.; Rave, K.; Hompesch, B.; Sedlak, M.; Heise, T. Time-action profile of the long-acting insulin analog insulin glargine (HOE901) in comparison with those of NPH insulin and placebo. Diabetes Care 2000, 23, 644–649. [Google Scholar] [CrossRef]
- Rosenstock, J.; Fonseca, V.; Schinzel, S.; Dain, M.P.; Mullins, P.; Riddle, M. Reduced risk of hypoglycemia with once-daily glargine versus twice-daily NPH and number needed to harm with NPH to demonstrate the risk of one additional hypoglycemic event in type 2 diabetes: Evidence from a long-term controlled trial. J. Diabetes Complicat. 2014, 28, 742–749. [Google Scholar] [CrossRef]
- Becker, R.H.A.; Dahmen, R.; Bergmann, K.; Lehmann, A.; Jax, T.; Heise, T. New Insulin Glargine 300 Units·mL−1 Provides a More Even Activity Profile and Prolonged Glycemic Control at Steady State Compared with Insulin Glargine 100 Units·mL−1. Diabetes Care 2014, 38, 637–643. [Google Scholar] [CrossRef] [PubMed]
- Pearson, S.M.; Trujillo, J.M. Conversion from insulin glargine U-100 to insulin glargine U-300 or insulin degludec and the impact on dosage requirements. Ther. Adv. Endocrinol. Metab. 2018, 9, 113–121. [Google Scholar] [CrossRef] [PubMed]
- Plank, J.; Bodenlenz, M.; Sinner, F.; Magnes, C.; Görzer, E.; Regittnig, W.; Endahl, L.A.; Draeger, E.; Zdravkovic, M.; Pieber, T.R. A Double-Blind, Randomized, Dose-Response Study Investigating the Pharmacodynamic and Pharmacokinetic Properties of the Long-Acting Insulin Analog Detemir. Diabetes Care 2005, 28, 1107–1112. [Google Scholar] [CrossRef]
- Heller, S.; Buse, J.; Fisher, M.; Garg, S.; Marre, M.; Merker, L.; Renard, E.; Russell-Jones, D.; Philotheou, A.; Francisco, A.M.; et al. Insulin degludec, an ultra-longacting basal insulin, versus insulin glargine in basal-bolus treatment with mealtime insulin aspart in type 1 diabetes (BEGIN Basal-Bolus Type 1): A phase 3, randomised, open-label, treat-to-target non-inferiority trial. Lancet 2012, 379, 1489–1497. [Google Scholar] [CrossRef]
- Heise, T.; Hermanski, L.; Nosek, L.; Feldman, A.; Rasmussen, S.; Haahr, H. Insulin degludec: Four times lower pharmacodynamic variability than insulin glargine under steady-state conditions in type 1 diabetes. Diabetes Obes. Metab. 2012, 14, 859–864. [Google Scholar] [CrossRef]
- Nosek, L.; Roggen, K.; Heinemann, L.; Gottschalk, C.; Kaiser, M.; Arnolds, S.; Heise, T. Insulin aspart has a shorter duration of action than human insulin over a wide dose-range. Diabetes Obes. Metab. 2013, 15, 77–83. [Google Scholar] [CrossRef]
- Popa Ilie, I.R.; Vonica-Tincu, A.L.; Dobrea, C.M.; Butuca, A.; Frum, A.; Morgovan, C.; Gligor, F.G.; Ghibu, S. Safety Profiles Related to Dosing Errors of Rapid-Acting Insulin Analogs: A Comparative Analysis Using the EudraVigilance Database. Biomedicines 2024, 12, 2273. [Google Scholar] [CrossRef]
- Silver, B.; Ramaiya, K.; Andrew, S.B.; Fredrick, O.; Bajaj, S.; Kalra, S.; Charlotte, B.M.; Claudine, K.; Makhoba, A. EADSG Guidelines: Insulin Therapy in Diabetes. Diabetes Ther. 2018, 9, 449–492. [Google Scholar] [CrossRef]
- National Institute of Diabetes and Digestive and Kidney Diseases. Insulin, Medicines, & Other Diabetes Treatments. Available online: https://www.niddk.nih.gov/health-information/diabetes/overview/insulin-medicines-treatments (accessed on 24 January 2025).
- Latif, W.; Lambrinos, K.J.; Patel, P.; Rodriguez, R. Compare and Contrast the Glucagon-Like Peptide-1 Receptor Agonists (GLP1RAs). In StatPearls; StatPearls Publishing LLC.: Treasure Island, FL, USA, 2024. [Google Scholar]
- McGrath, R.T.; Hocking, S.L.; Priglinger, M.; Day, S.; Herkes, G.K.; Krause, M.; Fulcher, G.R. Rationale and design of Short-Term EXenatide therapy in Acute ischaemic Stroke (STEXAS): A randomised, open-label, parallel-group study. BMJ Open 2016, 6, e008203. [Google Scholar] [CrossRef]
- Blundell, J.; Finlayson, G.; Axelsen, M.; Flint, A.; Gibbons, C.; Kvist, T.; Hjerpsted, J.B. Effects of once-weekly semaglutide on appetite, energy intake, control of eating, food preference and body weight in subjects with obesity. Diabetes Obes. Metab. 2017, 19, 1242–1251. [Google Scholar] [CrossRef]
- American Diabetes Association. Standards of Medical Care in Diabetes—2022 Abridged for Primary Care Providers. Clin. Diabetes 2022, 40, 10–38. [Google Scholar] [CrossRef] [PubMed]
- Jung, S.J.; Nguyen, N.T.; Lee, S.A.; Seo, S.H.; Choi, E.S.; Lee, H.W.; Seong, G.H.; Bae, O.N.; Lee, E.K. In-vivo half-life and hypoglycemic bioactivity of a fusion protein of exenatide and elastin-based polypeptide from recombinant Saccharomyces cerevisiae. J. Biotechnol. 2019, 303, 16–24. [Google Scholar] [CrossRef] [PubMed]
- European Medicines Agency. Victoza: EPAR—Product Information. Available online: https://www.ema.europa.eu/en/documents/product-information/victoza-epar-product-information_en.pdf (accessed on 12 January 2025).
- European Medicines Agency. Lyxumia: EPAR—Product Information. Available online: https://www.ema.europa.eu/en/documents/product-information/lyxumia-epar-product-information_en.pdf (accessed on 12 January 2025).
- European Medicines Agency. Bydureon: EPAR—Product Information. Available online: https://www.ema.europa.eu/en/documents/product-information/bydureon-epar-product-information_en.pdf (accessed on 12 January 2025).
- European Medicines Agency. Eperzan: EPAR—Product Information. Available online: https://www.ema.europa.eu/en/medicines/human/EPAR/eperzan (accessed on 23 January 2025).
- European Medicines Agency. Trulicity: EPAR—Product Information. Available online: https://www.ema.europa.eu/en/documents/product-information/trulicity-epar-product-information_en.pdf (accessed on 12 January 2025).
- European Medicines Agency. Ozempic: EPAR—Product Information. Available online: https://www.ema.europa.eu/en/documents/product-information/ozempic-epar-product-information_en.pdf (accessed on 12 January 2025).
- Lau, J.; Bloch, P.; Schäffer, L.; Pettersson, I.; Spetzler, J.; Kofoed, J.; Madsen, K.; Knudsen, L.B.; McGuire, J.; Steensgaard, D.B.; et al. Discovery of the Once-Weekly Glucagon-Like Peptide-1 (GLP-1) Analogue Semaglutide. J. Med. Chem. 2015, 58, 7370–7380. [Google Scholar] [CrossRef] [PubMed]
- Bai, J.; Zhang, G.; Zhang, R. Method for Preparing Exenatide. Available online: https://patents.google.com/patent/US20130289241A1/en (accessed on 23 January 2025).
- Zhang, W.; Liu, J.; Ma, Y.; Yuan, J. Lixisenatide Preparation Method. Available online: https://patents.google.com/patent/CN103709243A/en (accessed on 23 January 2025).
- Glaesner, W.; Vick, A.M.; Millican, R.; Ellis, B.; Tschang, S.H.; Tian, Y.; Bokvist, K.; Brenner, M.; Koester, A.; Porksen, N.; et al. Engineering and characterization of the long-acting glucagon-like peptide-1 analogue LY2189265, an Fc fusion protein. Diabetes Metab. Res. Rev. 2010, 26, 287–296. [Google Scholar] [CrossRef]
- Ganga, R.V.; Patil, N.; Charyulu, P.V.R.; Roopa, C.; Jasmine, C.R.; Machani, R.; Suvarna, D.S. Synthesis of liraglutide. Available online: https://patents.google.com/patent/US11066439B2/en (accessed on 8 June 2025).
- Coskun, T.; Sloop, K.W.; Loghin, C.; Alsina-Fernandez, J.; Urva, S.; Bokvist, K.B.; Cui, X.; Briere, D.A.; Cabrera, O.; Roell, W.C.; et al. LY3298176, a novel dual GIP and GLP-1 receptor agonist for the treatment of type 2 diabetes mellitus: From discovery to clinical proof of concept. Mol. Metab. 2018, 18, 3–14. [Google Scholar] [CrossRef]
- Halawi, H.; Khemani, D.; Eckert, D.; O’Neill, J.; Kadouh, H.; Grothe, K.; Clark, M.M.; Burton, D.D.; Vella, A.; Acosta, A.; et al. Effects of liraglutide on weight, satiation, and gastric functions in obesity: A randomised, placebo-controlled pilot trial. Lancet Gastroenterol. Hepatol. 2017, 2, 890–899. [Google Scholar] [CrossRef]
- Gerstein, H.C.; Colhoun, H.M.; Dagenais, G.R.; Diaz, R.; Lakshmanan, M.; Pais, P.; Probstfield, J.; Riesmeyer, J.S.; Riddle, M.C.; Rydén, L.; et al. Dulaglutide and cardiovascular outcomes in type 2 diabetes (REWIND): A double-blind, randomised placebo-controlled trial. Lancet 2019, 394, 121–130. [Google Scholar] [CrossRef]
- Armstrong, M.J.; Hull, D.; Guo, K.; Barton, D.; Hazlehurst, J.M.; Gathercole, L.L.; Nasiri, M.; Yu, J.; Gough, S.C.; Newsome, P.N.; et al. Glucagon-like peptide 1 decreases lipotoxicity in non-alcoholic steatohepatitis. J. Hepatol. 2016, 64, 399–408. [Google Scholar] [CrossRef]
- Pi-Sunyer, X.; Astrup, A.; Fujioka, K.; Greenway, F.; Halpern, A.; Krempf, M.; Lau, D.C.; le Roux, C.W.; Violante Ortiz, R.; Jensen, C.B.; et al. A Randomized, Controlled Trial of 3.0 mg of Liraglutide in Weight Management. N. Engl. J. Med. 2015, 373, 11–22. [Google Scholar] [CrossRef]
- Holman, R.R.; Bethel, M.A.; Mentz, R.J.; Thompson, V.P.; Lokhnygina, Y.; Buse, J.B.; Chan, J.C.; Choi, J.; Gustavson, S.M.; Iqbal, N.; et al. Effects of Once-Weekly Exenatide on Cardiovascular Outcomes in Type 2 Diabetes. N. Engl. J. Med. 2017, 377, 1228–1239. [Google Scholar] [CrossRef]
- Marso, S.P.; Daniels, G.H.; Brown-Frandsen, K.; Kristensen, P.; Mann, J.F.; Nauck, M.A.; Nissen, S.E.; Pocock, S.; Poulter, N.R.; Ravn, L.S.; et al. Liraglutide and Cardiovascular Outcomes in Type 2 Diabetes. N. Engl. J. Med. 2016, 375, 311–322. [Google Scholar] [CrossRef] [PubMed]
- Marso, S.P.; Bain, S.C.; Consoli, A.; Eliaschewitz, F.G.; Jódar, E.; Leiter, L.A.; Lingvay, I.; Rosenstock, J.; Seufert, J.; Warren, M.L.; et al. Semaglutide and Cardiovascular Outcomes in Patients with Type 2 Diabetes. N. Engl. J. Med. 2016, 375, 1834–1844. [Google Scholar] [CrossRef] [PubMed]
- Pfeffer, M.A.; Claggett, B.; Diaz, R.; Dickstein, K.; Gerstein, H.C.; Køber, L.V.; Lawson, F.C.; Ping, L.; Wei, X.; Lewis, E.F.; et al. Lixisenatide in Patients with Type 2 Diabetes and Acute Coronary Syndrome. N. Engl. J. Med. 2015, 373, 2247–2257. [Google Scholar] [CrossRef] [PubMed]
- Kapitza, C.; Dahl, K.; Jacobsen, J.B.; Axelsen, M.B.; Flint, A. Effects of semaglutide on beta cell function and glycaemic control in participants with type 2 diabetes: A randomised, double-blind, placebo-controlled trial. Diabetologia 2017, 60, 1390–1399. [Google Scholar] [CrossRef]
- White, W.B.; Cannon, C.P.; Heller, S.R.; Nissen, S.E.; Bergenstal, R.M.; Bakris, G.L.; Perez, A.T.; Fleck, P.R.; Mehta, C.R.; Kupfer, S.; et al. Alogliptin after Acute Coronary Syndrome in Patients with Type 2 Diabetes. N. Engl. J. Med. 2013, 369, 1327–1335. [Google Scholar] [CrossRef]
- Rosenstock, J.; Kahn, S.E.; Johansen, O.E.; Zinman, B.; Espeland, M.A.; Woerle, H.J.; Pfarr, E.; Keller, A.; Mattheus, M.; Baanstra, D.; et al. Effect of Linagliptin vs Glimepiride on Major Adverse Cardiovascular Outcomes in Patients with Type 2 Diabetes: The CAROLINA Randomized Clinical Trial. JAMA 2019, 322, 1155–1166. [Google Scholar] [CrossRef]
- Scirica, B.M.; Bhatt, D.L.; Braunwald, E.; Steg, P.G.; Davidson, J.; Hirshberg, B.; Ohman, P.; Frederich, R.; Wiviott, S.D.; Hoffman, E.B.; et al. Saxagliptin and cardiovascular outcomes in patients with type 2 diabetes mellitus. N. Engl. J. Med. 2013, 369, 1317–1326. [Google Scholar] [CrossRef]
- Green, J.B.; Bethel, M.A.; Armstrong, P.W.; Buse, J.B.; Engel, S.S.; Garg, J.; Josse, R.; Kaufman, K.D.; Koglin, J.; Korn, S.; et al. Effect of Sitagliptin on Cardiovascular Outcomes in Type 2 Diabetes. N. Engl. J. Med. 2015, 373, 232–242. [Google Scholar] [CrossRef]
- Chen, D.Y.; Li, Y.R.; Mao, C.T.; Tseng, C.N.; Hsieh, I.C.; Hung, M.J.; Chu, P.H.; Wang, C.H.; Wen, M.S.; Cherng, W.J.; et al. Cardiovascular outcomes of vildagliptin in patients with type 2 diabetes mellitus after acute coronary syndrome or acute ischemic stroke. J. Diabetes Investig. 2020, 11, 110–124. [Google Scholar] [CrossRef]
- Neal, B.; Perkovic, V.; Mahaffey, K.W.; Zeeuw, D.d.; Fulcher, G.; Erondu, N.; Shaw, W.; Law, G.; Desai, M.; Matthews, D.R. Canagliflozin and Cardiovascular and Renal Events in Type 2 Diabetes. N. Engl. J. Med. 2017, 377, 644–657. [Google Scholar] [CrossRef]
- Perkovic, V.; Jardine, M.J.; Neal, B.; Bompoint, S.; Heerspink, H.J.L.; Charytan, D.M.; Edwards, R.; Agarwal, R.; Bakris, G.; Bull, S.; et al. Canagliflozin and Renal Outcomes in Type 2 Diabetes and Nephropathy. N. Engl. J. Med. 2019, 380, 2295–2306. [Google Scholar] [CrossRef] [PubMed]
- Cinti, F.; Leccisotti, L.; Sorice, G.P.; Capece, U.; D’Amario, D.; Lorusso, M.; Gugliandolo, S.; Morciano, C.; Guarneri, A.; Guzzardi, M.A.; et al. Dapagliflozin treatment is associated with a reduction of epicardial adipose tissue thickness and epicardial glucose uptake in human type 2 diabetes. Cardiovasc. Diabetol. 2023, 22, 349. [Google Scholar] [CrossRef] [PubMed]
- Heerspink, H.J.L.; Jongs, N.; Chertow, G.M.; Langkilde, A.M.; McMurray, J.J.V.; Correa-Rotter, R.; Rossing, P.; Sjöström, C.D.; Stefansson, B.V.; Toto, R.D.; et al. Effect of dapagliflozin on the rate of decline in kidney function in patients with chronic kidney disease with and without type 2 diabetes: A prespecified analysis from the DAPA-CKD trial. Lancet Diabetes Endocrinol. 2021, 9, 743–754. [Google Scholar] [CrossRef] [PubMed]
- Zinman, B.; Wanner, C.; Lachin, J.M.; Fitchett, D.; Bluhmki, E.; Hantel, S.; Mattheus, M.; Devins, T.; Johansen, O.E.; Woerle, H.J.; et al. Empagliflozin, Cardiovascular Outcomes, and Mortality in Type 2 Diabetes. N. Engl. J. Med. 2015, 373, 2117–2128. [Google Scholar] [CrossRef]
- Wanner, C.; Inzucchi, S.E.; Lachin, J.M.; Fitchett, D.; Eynatten, M.v.; Mattheus, M.; Johansen, O.E.; Woerle, H.J.; Broedl, U.C.; Zinman, B. Empagliflozin and Progression of Kidney Disease in Type 2 Diabetes. N. Engl. J. Med. 2016, 375, 323–334. [Google Scholar] [CrossRef]
- European Medicines Agency. Byetta: EPAR—Product Information. Available online: https://www.ema.europa.eu/en/documents/product-information/byetta-epar-product-information_en.pdf (accessed on 12 January 2025).
- European Medicines Agency. Saxenda: EPAR—Product Information. Available online: https://www.ema.europa.eu/en/documents/product-information/saxenda-epar-product-information_en.pdf (accessed on 12 January 2025).
- European Medicines Agency. Wegovy: EPAR—Product Information. Available online: https://www.ema.europa.eu/en/documents/product-information/wegovy-epar-product-information_en.pdf (accessed on 12 January 2025).
- European Medicines Agency. Vipidia: EPAR—Product Information. Available online: https://www.ema.europa.eu/en/documents/product-information/vipidia-epar-product-information_en.pdf (accessed on 12 January 2025).
- European Medicines Agency. Trajenta: EPAR—Product Information. Available online: https://www.ema.europa.eu/en/documents/product-information/trajenta-epar-product-information_en.pdf (accessed on 12 January 2025).
- European Medicines Agency. Onglyza: EPAR—Product Information. Available online: https://www.ema.europa.eu/en/documents/product-information/onglyza-epar-product-information_en.pdf (accessed on 12 January 2025).
- European Medicines Agency. Januvia: EPAR—Product Information. Available online: https://www.ema.europa.eu/en/documents/product-information/januvia-epar-product-information_en.pdf (accessed on 12 January 2025).
- European Medicines Agency. Galvus: EPAR—Product Information. Available online: https://www.ema.europa.eu/en/documents/product-information/galvus-epar-product-information_en.pdf (accessed on 12 January 2025).
- European Medicines Agency. Invokana: EPAR—Product Information. Available online: https://www.ema.europa.eu/en/documents/product-information/invokana-epar-product-information_en.pdf (accessed on 12 January 2025).
- European Medicines Agency. Assessment Report Canagliflozin. Available online: https://www.ema.europa.eu/en/documents/assessment-report/invokana-epar-public-assessment-report_en.pdf (accessed on 12 January 2025).
- European Medicines Agency. Forxiga: EPAR—Product Information. Available online: https://www.ema.europa.eu/en/documents/product-information/forxiga-epar-product-information_en.pdf (accessed on 12 January 2025).
- European Medicines Agency. Jardiance: EPAR—Product Information. Available online: https://www.ema.europa.eu/en/documents/product-information/jardiance-epar-product-information_en.pdf (accessed on 12 January 2025).
- Wong, M.C.; Wang, H.H.; Kwan, M.W.; Zhang, D.D.; Liu, K.Q.; Chan, S.W.; Fan, C.K.; Fong, B.C.; Li, S.T.; Griffiths, S.M. Comparative effectiveness of dipeptidyl peptidase-4 (DPP-4) inhibitors and human glucagon-like peptide-1 (GLP-1) analogue as add-on therapies to sulphonylurea among diabetes patients in the Asia-Pacific region: A systematic review. PLoS ONE 2014, 9, e90963. [Google Scholar] [CrossRef]
- Sørensen, K.K.; Gerds, T.A.; Køber, L.; Loldrup Fosbøl, E.; Poulsen, H.E.; Møller, A.L.; Andersen, M.P.; Pedersen-Bjergaard, U.; Torp-Pedersen, C.; Zareini, B. Comparing Glucagon-like peptide-1 receptor agonists versus metformin in drug-naive patients: A nationwide cohort study. J. Diabetes 2024, 16, e70000. [Google Scholar] [CrossRef]
- Siriyotha, S.; Anothaisintawee, T.; Looareesuwan, P.; Nimitphong, H.; McKay, G.J.; Attia, J.; Thakkinstian, A. Effectiveness of glucagon-like peptide-1 receptor agonists for reduction of body mass index and blood glucose control in patients with type 2 diabetes mellitus and obesity: A retrospective cohort study and difference-in-difference analysis. BMJ Open 2024, 14, e086424. [Google Scholar] [CrossRef]
- Seino, Y.; Rasmussen, M.F.; Nishida, T.; Kaku, K. Efficacy and safety of the once-daily human GLP-1 analogue, liraglutide, vs glibenclamide monotherapy in Japanese patients with type 2 diabetes. Curr. Med. Res. Opin. 2010, 26, 1013–1022. [Google Scholar] [CrossRef]
- Palmer, S.C.; Tendal, B.; Mustafa, R.A.; Vandvik, P.O.; Li, S.; Hao, Q.; Tunnicliffe, D.; Ruospo, M.; Natale, P.; Saglimbene, V.; et al. Sodium-glucose cotransporter protein-2 (SGLT-2) inhibitors and glucagon-like peptide-1 (GLP-1) receptor agonists for type 2 diabetes: Systematic review and network meta-analysis of randomised controlled trials. BMJ 2021, 372, m4573. [Google Scholar] [CrossRef]
- Palmer, S.C.; Tendal, B.; Mustafa, R.A.; Vandvik, P.O.; Li, S.; Hao, Q.; Tunnicliffe, D.; Ruospo, M.; Natale, P.; Saglimbene, V.; et al. Sodium-glucose cotransporter protein-2 (SGLT-2) inhibitors and glucagon-like peptide-1 (GLP-1) receptor agonists for type 2 diabetes: Systematic review and network meta-analysis of randomised controlled trials (correction). BMJ 2022, 376, o109. [Google Scholar] [CrossRef] [PubMed]
- Brønden, A.; Christensen, M.B.; Glintborg, D.; Snorgaard, O.; Kofoed-Enevoldsen, A.; Madsen, G.K.; Toft, K.; Kristensen, J.K.; Højlund, K.; Hansen, T.K.; et al. Effects of DPP-4 inhibitors, GLP-1 receptor agonists, SGLT-2 inhibitors and sulphonylureas on mortality, cardiovascular and renal outcomes in type 2 diabetes: A network meta-analyses-driven approach. Diabet. Med. 2023, 40, e15157. [Google Scholar] [CrossRef] [PubMed]
- McGovern, A.; Tippu, Z.; Hinton, W.; Munro, N.; Whyte, M.; de Lusignan, S. Comparison of medication adherence and persistence in type 2 diabetes: A systematic review and meta-analysis. Diabetes Obes. Metab. 2018, 20, 1040–1043. [Google Scholar] [CrossRef] [PubMed]
- U.S. Food & Drug Administration. Information on Dipeptidyl Peptidase-4 (DPP-4) Inhibitors. Available online: https://www.fda.gov/drugs/information-drug-class/information-dipeptidyl-peptidase-4-dpp-4-inhibitors (accessed on 29 December 2024).
- D’Alessio, D.A.; Denney, A.M.; Hermiller, L.M.; Prigeon, R.L.; Martin, J.M.; Tharp, W.G.; Saylan, M.L.; He, Y.; Dunning, B.E.; Foley, J.E.; et al. Treatment with the dipeptidyl peptidase-4 inhibitor vildagliptin improves fasting islet-cell function in subjects with type 2 diabetes. J. Clin. Endocrinol. Metab. 2009, 94, 81–88. [Google Scholar] [CrossRef]
- U.S. Food and Drug Administration. Drug Approval Package, Januvia (Sitagliptin Phosphate) Tablets. Available online: https://www.accessdata.fda.gov/drugsatfda_docs/nda/2006/021995s000TOC.cfm (accessed on 29 December 2024).
- European Medicines Agency. Other Information About Januvia. Available online: https://www.ema.europa.eu/en/medicines/human/EPAR/januvia (accessed on 29 December 2024).
- U.S. Food and Drug Administration. Drug Approval Package, Onglyza (saxagliptin) Tablets. Available online: https://www.accessdata.fda.gov/drugsatfda_docs/nda/2009/022350s000TOC.cfm (accessed on 29 December 2024).
- U.S. Food and Drug Administration. Drug Approval Package, Tradjenta (linagliptin) Tablets. Available online: https://www.accessdata.fda.gov/drugsatfda_docs/nda/2011/201280Orig1s000TOC.cfm (accessed on 29 December 2024).
- U.S. Food and Drug Administration. Drug Approval Package, Nesina (alogliptin) Tablets. Available online: https://www.accessdata.fda.gov/drugsatfda_docs/nda/2013/022271Orig1s000TOC.cfm (accessed on 29 December 2024).
- European Medicines Agency. Other Information About Galvus. Available online: https://www.ema.europa.eu/en/medicines/human/EPAR/galvus (accessed on 29 December 2024).
- Pellegatti, L.; Sedelmeier, J. Synthesis of Vildagliptin Utilizing Continuous Flow and Batch Technologies. Org. Process Res. Dev. 2015, 19, 551–554. [Google Scholar] [CrossRef]
- Augeri, D.J.; Robl, J.A.; Betebenner, D.A.; Magnin, D.R.; Khanna, A.; Robertson, J.G.; Wang, A.; Simpkins, L.M.; Taunk, P.; Huang, Q.; et al. Discovery and preclinical profile of Saxagliptin (BMS-477118): A highly potent, long-acting, orally active dipeptidyl peptidase IV inhibitor for the treatment of type 2 diabetes. J. Med. Chem. 2005, 48, 5025–5037. [Google Scholar] [CrossRef]
- Thornberry, N.A.; Weber, A.E. Discovery of JANUVIA (Sitagliptin), a selective dipeptidyl peptidase IV inhibitor for the treatment of type 2 diabetes. Curr. Top. Med. Chem. 2007, 7, 557–568. [Google Scholar] [CrossRef]
- Feng, J.; Zhang, Z.; Wallace, M.B.; Stafford, J.A.; Kaldor, S.W.; Kassel, D.B.; Navre, M.; Shi, L.; Skene, R.J.; Asakawa, T.; et al. Discovery of alogliptin: A potent, selective, bioavailable, and efficacious inhibitor of dipeptidyl peptidase IV. J. Med. Chem. 2007, 50, 2297–2300. [Google Scholar] [CrossRef]
- Eckhardt, M.; Klein, T.; Nar, H.; Thiemann, S. Discovery of Linagliptin for the Treatment of Type 2 Diabetes Mellitus. In Successful Drug Discovery; John Wiley & Sons: Hoboken, NJ, USA, 2015; pp. 129–156. [Google Scholar]
- Bidulka, P.; Lugo-Palacios, D.G.; Carroll, O.; O’Neill, S.; Adler, A.I.; Basu, A.; Silverwood, R.J.; Bartlett, J.W.; Nitsch, D.; Charlton, P.; et al. Comparative effectiveness of second line oral antidiabetic treatments among people with type 2 diabetes mellitus: Emulation of a target trial using routinely collected health data. BMJ 2024, 385, e077097. [Google Scholar] [CrossRef]
- Wu, D.; Li, L.; Liu, C. Efficacy and safety of dipeptidyl peptidase-4 inhibitors and metformin as initial combination therapy and as monotherapy in patients with type 2 diabetes mellitus: A meta-analysis. Diabetes Obes. Metab. 2014, 16, 30–37. [Google Scholar] [CrossRef]
- Maruthur, N.M.; Tseng, E.; Hutfless, S.; Wilson, L.M.; Suarez-Cuervo, C.; Berger, Z.; Chu, Y.; Iyoha, E.; Segal, J.B.; Bolen, S. Diabetes Medications as Monotherapy or Metformin-Based Combination Therapy for Type 2 Diabetes: A Systematic Review and Meta-analysis. Ann. Intern. Med. 2016, 164, 740–751. [Google Scholar] [CrossRef] [PubMed]
- U.S. Food and Drug Administration. Sodium-Glucose Cotransporter-2 (SGLT2) Inhibitors. Available online: https://www.fda.gov/drugs/postmarket-drug-safety-information-patients-and-providers/sodium-glucose-cotransporter-2-sglt2-inhibitors (accessed on 23 January 2025).
- National Institute of Diabetes and Digestive and Kidney Diseases. Story of Discovery: SGLT2 inhibitors: Harnessing the Kidneys to Help Treat Diabetes. Available online: https://www.niddk.nih.gov/news/archive/2016/story-discovery-sglt2-inhibitors-harnessing-kidneys-help-treat-diabetes (accessed on 23 January 2025).
- Inzucchi, S.E.; Zinman, B.; Wanner, C.; Ferrari, R.; Fitchett, D.; Hantel, S.; Espadero, R.M.; Woerle, H.J.; Broedl, U.C.; Johansen, O.E. SGLT-2 inhibitors and cardiovascular risk: Proposed pathways and review of ongoing outcome trials. Diab Vasc. Dis. Res. 2015, 12, 90–100. [Google Scholar] [CrossRef] [PubMed]
- Wright, E.M.; Loo, D.D.; Hirayama, B.A. Biology of human sodium glucose transporters. Physiol. Rev. 2011, 91, 733–794. [Google Scholar] [CrossRef]
- Oku, A.; Ueta, K.; Arakawa, K.; Ishihara, T.; Nawano, M.; Kuronuma, Y.; Matsumoto, M.; Saito, A.; Tsujihara, K.; Anai, M.; et al. T-1095, an inhibitor of renal Na+-glucose cotransporters, may provide a novel approach to treating diabetes. Diabetes 1999, 48, 1794–1800. [Google Scholar] [CrossRef] [PubMed]
- Katsuno, K.; Fujimori, Y.; Takemura, Y.; Hiratochi, M.; Itoh, F.; Komatsu, Y.; Fujikura, H.; Isaji, M. Sergliflozin, a novel selective inhibitor of low-affinity sodium glucose cotransporter (SGLT2), validates the critical role of SGLT2 in renal glucose reabsorption and modulates plasma glucose level. J. Pharmacol. Exp. Ther. 2007, 320, 323–330. [Google Scholar] [CrossRef]
- Fujimori, Y.; Katsuno, K.; Nakashima, I.; Ishikawa-Takemura, Y.; Fujikura, H.; Isaji, M. Remogliflozin etabonate, in a novel category of selective low-affinity sodium glucose cotransporter (SGLT2) inhibitors, exhibits antidiabetic efficacy in rodent models. J. Pharmacol. Exp. Ther. 2008, 327, 268–276. [Google Scholar] [CrossRef]
- Bickel, M.; Brummerhop, H.; Frick, W.; Glombik, H.; Herling, A.W.; Heuer, H.O.; Plettenburg, O.; Theis, S.; Werner, U.; Kramer, W. Effects of AVE2268, a substituted glycopyranoside, on urinary glucose excretion and blood glucose in mice and rats. Arzneimittelforschung 2008, 58, 574–580. [Google Scholar] [CrossRef]
- Grempler, R.; Thomas, L.; Eckhardt, M.; Himmelsbach, F.; Sauer, A.; Sharp, D.E.; Bakker, R.A.; Mark, M.; Klein, T.; Eickelmann, P. Empagliflozin, a novel selective sodium glucose cotransporter-2 (SGLT-2) inhibitor: Characterisation and comparison with other SGLT-2 inhibitors. Diabetes Obes. Metab. 2012, 14, 83–90. [Google Scholar] [CrossRef]
- Meng, W.; Ellsworth, B.A.; Nirschl, A.A.; McCann, P.J.; Patel, M.; Girotra, R.N.; Wu, G.; Sher, P.M.; Morrison, E.P.; Biller, S.A.; et al. Discovery of dapagliflozin: A potent, selective renal sodium-dependent glucose cotransporter 2 (SGLT2) inhibitor for the treatment of type 2 diabetes. J. Med. Chem. 2008, 51, 1145–1149. [Google Scholar] [CrossRef]
- Nomura, S.; Sakamaki, S.; Hongu, M.; Kawanishi, E.; Koga, Y.; Sakamoto, T.; Yamamoto, Y.; Ueta, K.; Kimata, H.; Nakayama, K.; et al. Discovery of canagliflozin, a novel C-glucoside with thiophene ring, as sodium-dependent glucose cotransporter 2 inhibitor for the treatment of type 2 diabetes mellitus. J. Med. Chem. 2010, 53, 6355–6360. [Google Scholar] [CrossRef]
- Wang, X.-J.; Zhang, L.; Byrne, D.; Nummy, L.; Weber, D.; Krishnamurthy, D.; Yee, N.; Senanayake, C.H. Efficient Synthesis of Empagliflozin, an Inhibitor of SGLT-2, Utilizing an AlCl3-Promoted Silane Reduction of a β-Glycopyranoside. Org. Lett. 2014, 16, 4090–4093. [Google Scholar] [CrossRef] [PubMed]
- Takebayashi, K.; Hara, K.; Terasawa, T.; Naruse, R.; Suetsugu, M.; Tsuchiya, T.; Inukai, T. Effect of canagliflozin on circulating active GLP-1 levels in patients with type 2 diabetes: A randomized trial. Endocr. J. 2017, 64, 923–931. [Google Scholar] [CrossRef] [PubMed]
- Ferrannini, E.; Mark, M.; Mayoux, E. CV Protection in the EMPA-REG OUTCOME Trial: A “Thrifty Substrate” Hypothesis. Diabetes Care 2016, 39, 1108–1114. [Google Scholar] [CrossRef]
- Herrington, W.G.; Staplin, N.; Agrawal, N.; Wanner, C.; Green, J.B.; Hauske, S.J.; Emberson, J.R.; Preiss, D.; Judge, P.; Zhu, D.; et al. Long-Term Effects of Empagliflozin in Patients with Chronic Kidney Disease. N. Engl. J. Med. 2024, 392, 777–787. [Google Scholar] [CrossRef]
- Ang, L.; Kidwell, K.M.; Dillon, B.; Reiss, J.; Fang, F.; Leone, V.; Mizokami-Stout, K.; Pop-Busui, R. Dapagliflozin and measures of cardiovascular autonomic function in patients with type 2 diabetes (T2D). J. Diabetes Complicat. 2021, 35, 107949. [Google Scholar] [CrossRef]
- Wu, J.; Liu, T.; Shi, S.; Fan, Z.; Hiram, R.; Xiong, F.; Cui, B.; Su, X.; Chang, R.; Zhang, W.; et al. Dapagliflozin reduces the vulnerability of rats with pulmonary arterial hypertension-induced right heart failure to ventricular arrhythmia by restoring calcium handling. Cardiovasc. Diabetol. 2022, 21, 197. [Google Scholar] [CrossRef]
- Baker, W.L.; Buckley, L.F.; Kelly, M.S.; Bucheit, J.D.; Parod, E.D.; Brown, R.; Carbone, S.; Abbate, A.; Dixon, D.L. Effects of Sodium-Glucose Cotransporter 2 Inhibitors on 24-Hour Ambulatory Blood Pressure: A Systematic Review and Meta-Analysis. J. Am. Heart Assoc. 2017, 6, e005686. [Google Scholar] [CrossRef]
- Neuwirt, H.; Burtscher, A.; Cherney, D.; Mayer, G.; Ebenbichler, C. Tubuloglomerular Feedback in Renal Glucosuria: Mimicking Long-term SGLT-2 Inhibitor Therapy. Kidney Med. 2020, 2, 76–79. [Google Scholar] [CrossRef]
- Mantovani, A.; Petracca, G.; Csermely, A.; Beatrice, G.; Targher, G. Sodium-Glucose Cotransporter-2 Inhibitors for Treatment of Nonalcoholic Fatty Liver Disease: A Meta-Analysis of Randomized Controlled Trials. Metabolites 2020, 11, 22. [Google Scholar] [CrossRef]
- Nallathambi, N.; Pratheep, V.; Adithyan, C.; Subramanian, Y.; Balamanikandan, P. A study of SGLT2 inhibitors on levels of plasma atherogenesis biomarkers in diabetes. J. Fam. Med. Prim. Care 2024, 13, 5278–5281. [Google Scholar] [CrossRef]
- Chang, H.C.; Chen, Y.Y.; Kuo, T.T.; Lin, Y.J.; Chien, K.L.; Chang, H.Y.; Hung, C.L.; Chung, F.P. Sodium Glucose Transporter 2 Inhibitors Versus Metformin on Cardiovascular and Renal Outcomes in Patients with Diabetes with Low Cardiovascular Risk: A Nationwide Cohort Study. J. Am. Heart Assoc. 2024, 13, e032397. [Google Scholar] [CrossRef] [PubMed]
- Palmer, S.C.; Mavridis, D.; Nicolucci, A.; Johnson, D.W.; Tonelli, M.; Craig, J.C.; Maggo, J.; Gray, V.; De Berardis, G.; Ruospo, M.; et al. Comparison of Clinical Outcomes and Adverse Events Associated with Glucose-Lowering Drugs in Patients with Type 2 Diabetes: A Meta-analysis. JAMA 2016, 316, 313–324. [Google Scholar] [CrossRef] [PubMed]
- Natale, P.; Tunnicliffe, D.J.; Toyama, T.; Palmer, S.C.; Saglimbene, V.M.; Ruospo, M.; Gargano, L.; Stallone, G.; Gesualdo, L.; Strippoli, G.F.M. Sodium-glucose co-transporter protein 2 (SGLT2) inhibitors for people with chronic kidney disease and diabetes. Cochrane Database Syst. Rev. 2024, CD015588. [Google Scholar] [CrossRef]
- Newer Pharmacologic Treatments in Adults with Type 2 Diabetes: A Systematic Review and Network Meta-analysis for the American College of Physicians. Ann. Intern. Med. 2024, 177, 618–632. [CrossRef]
- Jang, H.; Kim, Y.; Lee, D.H.; Joo, S.K.; Koo, B.K.; Lim, S.; Lee, W.; Kim, W. Outcomes of Various Classes of Oral Antidiabetic Drugs on Nonalcoholic Fatty Liver Disease. JAMA Intern. Med. 2024, 184, 375–383. [Google Scholar] [CrossRef]
- Abifadel, M.; Varret, M.; Rabès, J.P.; Allard, D.; Ouguerram, K.; Devillers, M.; Cruaud, C.; Benjannet, S.; Wickham, L.; Erlich, D.; et al. Mutations in PCSK9 cause autosomal dominant hypercholesterolemia. Nat. Genet. 2003, 34, 154–156. [Google Scholar] [CrossRef]
- Leren, T.P. Mutations in the PCSK9 gene in Norwegian subjects with autosomal dominant hypercholesterolemia. Clin. Genet. 2004, 65, 419–422. [Google Scholar] [CrossRef]
- European Medicines Agency. Praluent: EPAR—Product Information. Available online: https://www.ema.europa.eu/en/documents/product-information/praluent-epar-product-information_en.pdf (accessed on 15 February 2025).
- U.S. Food & Drug Administration. FDA Approves Add-On Therapy for Patients with Genetic Form of Severely High Cholesterol. Available online: https://www.fda.gov/drugs/news-events-human-drugs/fda-approves-add-therapy-patients-genetic-form-severely-high-cholesterol (accessed on 15 February 2025).
- Fala, L. Repatha (Evolocumab): Second PCSK9 Inhibitor Approved by the FDA for Patients with Familial Hypercholesterolemia. Am. Health Drug Benefits 2016, 9, 136–139. [Google Scholar]
- European Medicines Agency. Repatha: EPAR—Product Information. Available online: https://www.ema.europa.eu/en/documents/product-information/repatha-epar-product-information_en.pdf (accessed on 15 February 2025).
- Behera, B.K.; Prasad, R.; Behera, S. Competitive Strategies in Life Sciences; New Paradigms of Living Systems 1; Springer Singapore: Singapore, 2020. [Google Scholar] [CrossRef]
- Shen, Y.; Li, H.; Zhao, L.; Li, G.; Chen, B.; Guo, Q.; Gao, B.; Wu, J.; Yang, T.; Jin, L.; et al. Increased half-life and enhanced potency of Fc-modified human PCSK9 monoclonal antibodies in primates. PLoS ONE 2017, 12, e0183326. [Google Scholar] [CrossRef]
- Lagace, T.A. PCSK9 and LDLR degradation: Regulatory mechanisms in circulation and in cells. Curr. Opin. Lipidol. 2014, 25, 387–393. [Google Scholar] [CrossRef]
- O’Donoghue, M.L.; Fazio, S.; Giugliano, R.P.; Stroes, E.S.G.; Kanevsky, E.; Gouni-Berthold, I.; Im, K.; Lira Pineda, A.; Wasserman, S.M.; Češka, R.; et al. Lipoprotein(a), PCSK9 Inhibition, and Cardiovascular Risk. Circulation 2019, 139, 1483–1492. [Google Scholar] [CrossRef]
- Szarek, M.; Bittner, V.A.; Aylward, P.; Baccara-Dinet, M.; Bhatt, D.L.; Diaz, R.; Fras, Z.; Goodman, S.G.; Halvorsen, S.; Harrington, R.A.; et al. Lipoprotein(a) lowering by alirocumab reduces the total burden of cardiovascular events independent of low-density lipoprotein cholesterol lowering: ODYSSEY OUTCOMES trial. Eur. Heart J. 2020, 41, 4245–4255. [Google Scholar] [CrossRef] [PubMed]
- Zhang, S.; Sun, L.; Xu, X.; Zhang, Y.; Chen, Q. Efficacy and safety of inclisiran versus PCSK9 inhibitor versus statin plus ezetimibe therapy in hyperlipidemia: A systematic review and network meta-analysis. BMC Cardiovasc. Disord. 2024, 24, 629. [Google Scholar] [CrossRef] [PubMed]
- Zhao, Z.; Du, S.; Shen, S.; Luo, P.; Ding, S.; Wang, G.; Wang, L. Comparative efficacy and safety of lipid-lowering agents in patients with hypercholesterolemia: A frequentist network meta-analysis. Medicine 2019, 98, e14400. [Google Scholar] [CrossRef] [PubMed]
- Stephenson, M.L.; Zamecnik, P.C. Inhibition of Rous sarcoma viral RNA translation by a specific oligodeoxyribonucleotide. Proc. Natl. Acad. Sci. USA 1978, 75, 285–288. [Google Scholar] [CrossRef]
- Stein, C.A.; Castanotto, D. FDA-Approved Oligonucleotide Therapies in 2017. Mol. Ther. 2017, 25, 1069–1075. [Google Scholar] [CrossRef]
- Hamada, M.; Farzam, K. Mipomersen. In StatPearls; StatPearls Publishing LLC.: Treasure Island, FL, USA, 2025. [Google Scholar]
- National Library of Medicine; National Center for Biotechnology Information. Clinical Trial NCT04023552. Available online: https://clinicaltrials.gov/study/NCT04023552 (accessed on 3 March 2025).
- European Medicines Agency. Waylivra: EPAR—Product Information. Available online: https://www.ema.europa.eu/en/medicines/human/EPAR/waylivra (accessed on 15 March 2025).
- Tsimikas, S.; Karwatowska-Prokopczuk, E.; Gouni-Berthold, I.; Tardif, J.-C.; Baum, S.J.; Steinhagen-Thiessen, E.; Shapiro, M.D.; Stroes, E.S.; Moriarty, P.M.; Nordestgaard, B.G.; et al. Lipoprotein(a) Reduction in Persons with Cardiovascular Disease. N. Engl. J. Med. 2020, 382, 244–255. [Google Scholar] [CrossRef]
- Viney, N.J.; van Capelleveen, J.C.; Geary, R.S.; Xia, S.; Tami, J.A.; Yu, R.Z.; Marcovina, S.M.; Hughes, S.G.; Graham, M.J.; Crooke, R.M.; et al. Antisense oligonucleotides targeting apolipoprotein(a) in people with raised lipoprotein(a): Two randomised, double-blind, placebo-controlled, dose-ranging trials. Lancet 2016, 388, 2239–2253. [Google Scholar] [CrossRef]
- Watts, L.M.; Karwatowska-Prokopczuk, E.; Hurh, E.; Alexander, V.J.; Balogh, K.; O’Dea, L.; Geary, R.S.; Tsimikas, S. Treatment with Volanesorsen, a 2′-O-Methoxyethyl-Modified Antisense Oligonucleotide Targeting APOC3 mRNA, Does Not Affect the QTc Interval in Healthy Volunteers. Nucleic Acid. Ther. 2020, 30, 198–206. [Google Scholar] [CrossRef]
- Watts, J.K.; Corey, D.R. Silencing disease genes in the laboratory and the clinic. J. Pathol. 2012, 226, 365–379. [Google Scholar] [CrossRef]
- Swerdlow, D.I.; Rider, D.A.; Yavari, A.; Wikström Lindholm, M.; Campion, G.V.; Nissen, S.E. Treatment and prevention of lipoprotein(a)-mediated cardiovascular disease: The emerging potential of RNA interference therapeutics. Cardiovasc. Res. 2021, 118, 1218–1231. [Google Scholar] [CrossRef] [PubMed]
- Gouni-Berthold, I.; Alexander, V.J.; Yang, Q.; Hurh, E.; Steinhagen-Thiessen, E.; Moriarty, P.M.; Hughes, S.G.; Gaudet, D.; Hegele, R.A.; O’Dea, L.S.L.; et al. Efficacy and safety of volanesorsen in patients with multifactorial chylomicronaemia (COMPASS): A multicentre, double-blind, randomised, placebo-controlled, phase 3 trial. Lancet Diabetes Endocrinol. 2021, 9, 264–275. [Google Scholar] [CrossRef] [PubMed]
- Witztum, J.L.; Gaudet, D.; Freedman, S.D.; Alexander, V.J.; Digenio, A.; Williams, K.R.; Yang, Q.; Hughes, S.G.; Geary, R.S.; Arca, M.; et al. Volanesorsen and Triglyceride Levels in Familial Chylomicronemia Syndrome. N. Engl. J. Med. 2019, 381, 531–542. [Google Scholar] [CrossRef] [PubMed]
- Akdim, F.; Stroes, E.S.; Sijbrands, E.J.; Tribble, D.L.; Trip, M.D.; Jukema, J.W.; Flaim, J.D.; Su, J.; Yu, R.; Baker, B.F.; et al. Efficacy and safety of mipomersen, an antisense inhibitor of apolipoprotein B, in hypercholesterolemic subjects receiving stable statin therapy. J. Am. Coll. Cardiol. 2010, 55, 1611–1618. [Google Scholar] [CrossRef]
- Visser, M.E.; Wagener, G.; Baker, B.F.; Geary, R.S.; Donovan, J.M.; Beuers, U.H.; Nederveen, A.J.; Verheij, J.; Trip, M.D.; Basart, D.C.; et al. Mipomersen, an apolipoprotein B synthesis inhibitor, lowers low-density lipoprotein cholesterol in high-risk statin-intolerant patients: A randomized, double-blind, placebo-controlled trial. Eur. Heart J. 2012, 33, 1142–1149. [Google Scholar] [CrossRef]
- Padda, I.S.; Mahtani, A.U.; Patel, P.; Parmar, M. Small Interfering RNA (siRNA) Therapy. In StatPearls; StatPearls Publishing LLC.: Treasure Island, FL, USA, 2025. [Google Scholar]
- European Medicines Agency. Leqvio: EPAR—Product Information. Available online: https://www.ema.europa.eu/en/documents/product-information/leqvio-epar-product-information_en.pdf (accessed on 18 February 2025).
- U.S. Food & Drug Administration. FDA Approves Add-On Therapy to Lower Cholesterol Among Certain High-Risk Adults. Available online: https://www.fda.gov/drugs/news-events-human-drugs/fda-approves-add-therapy-lower-cholesterol-among-certain-high-risk-adults (accessed on 25 February 2025).
- National Library of Medicine; National Center for Biotechnology Information. Clinical Trial NCT05581303. Available online: https://clinicaltrials.gov/study/NCT05581303 (accessed on 3 March 2025).
- National Library of Medicine; National Center for Biotechnology Information. Clinical Trial NCT05537571. Available online: https://clinicaltrials.gov/study/NCT05537571 (accessed on 9 March 2025).
- National Library of Medicine; National Center for Biotechnology Information. Clinical Trial NCT06292013. Available online: https://clinicaltrials.gov/study/NCT06292013 (accessed on 8 March 2025).
- Migliorati, J.M.; Jin, J.; Zhong, X.B. siRNA drug Leqvio (inclisiran) to lower cholesterol. Trends Pharmacol. Sci. 2022, 43, 455–456. [Google Scholar] [CrossRef]
- Nissen, S.E.; Wolski, K.; Balog, C.; Swerdlow, D.I.; Scrimgeour, A.C.; Rambaran, C.; Wilson, R.J.; Boyce, M.; Ray, K.K.; Cho, L.; et al. Single Ascending Dose Study of a Short Interfering RNA Targeting Lipoprotein(a) Production in Individuals with Elevated Plasma Lipoprotein(a) Levels. JAMA 2022, 327, 1679–1687. [Google Scholar] [CrossRef]
- Nissen, S.E.; Linnebjerg, H.; Shen, X.; Wolski, K.; Ma, X.; Lim, S.; Michael, L.F.; Ruotolo, G.; Gribble, G.; Navar, A.M.; et al. Lepodisiran, an Extended-Duration Short Interfering RNA Targeting Lipoprotein(a): A Randomized Dose-Ascending Clinical Trial. JAMA 2023, 330, 2075–2083. [Google Scholar] [CrossRef]
- Sheridan, C. RNA drugs lower lipoprotein(a) and genetically driven cholesterol. Nat. Biotechnol. 2022, 40, 983–985. [Google Scholar] [CrossRef]
- Leiter, L.A.; Teoh, H.; Kallend, D.; Wright, R.S.; Landmesser, U.; Wijngaard, P.L.J.; Kastelein, J.J.P.; Ray, K.K. Inclisiran Lowers LDL-C and PCSK9 Irrespective of Diabetes Status: The ORION-1 Randomized Clinical Trial. Diabetes Care 2019, 42, 173–176. [Google Scholar] [CrossRef]
- Ray, K.K.; Wright, R.S.; Kallend, D.; Koenig, W.; Leiter, L.A.; Raal, F.J.; Bisch, J.A.; Richardson, T.; Jaros, M.; Wijngaard, P.L.J.; et al. Two Phase 3 Trials of Inclisiran in Patients with Elevated LDL Cholesterol. N. Engl. J. Med. 2020, 382, 1507–1519. [Google Scholar] [CrossRef] [PubMed]
- National Library of Medicine; National Center for Biotechnology Information. Clinical Trial NCT04987320. Available online: https://clinicaltrials.gov/study/NCT04987320 (accessed on 2 March 2025).
- O’Donoghue, M.L.; Rosenson, R.S.; Gencer, B.; López, J.A.G.; Lepor, N.E.; Baum, S.J.; Stout, E.; Gaudet, D.; Knusel, B.; Kuder, J.F.; et al. Small Interfering RNA to Reduce Lipoprotein(a) in Cardiovascular Disease. N. Engl. J. Med. 2022, 387, 1855–1864. [Google Scholar] [CrossRef] [PubMed]
- Imran, T.F.; Khan, A.A.; Has, P.; Jacobson, A.; Bogin, S.; Khalid, M.; Khan, A.; Kim, S.; Erqou, S.; Choudhary, G.; et al. Proprotein convertase subtilisn/kexin type 9 inhibitors and small interfering RNA therapy for cardiovascular risk reduction: A systematic review and meta-analysis. PLoS ONE 2023, 18, e0295359. [Google Scholar] [CrossRef]
- Ludvigsson, J. Insulin Adverse Events. Pediatr. Endocrinol. Rev. 2020, 17, 183–190. [Google Scholar] [CrossRef]
- Xiong, S.; Gou, R.; Liang, X.; Wu, H.; Qin, S.; Li, B.; Luo, C.; Chen, J. Adverse Events of Oral GLP-1 Receptor Agonist (Semaglutide Tablets): A Real-World Study Based on FAERS from 2019 to 2023. Diabetes Ther. 2024, 15, 1717–1733. [Google Scholar] [CrossRef]
- Richard, K.R.; Shelburne, J.S.; Kirk, J.K. Tolerability of dipeptidyl peptidase-4 inhibitors: A review. Clin. Ther. 2011, 33, 1609–1629. [Google Scholar] [CrossRef]
- Dicker, D. DPP-4 inhibitors: Impact on glycemic control and cardiovascular risk factors. Diabetes Care 2011, 34 (Suppl. S2), S276–S278. [Google Scholar] [CrossRef]
- Nissen, S.E.; Wang, Q.; Nicholls, S.J.; Navar, A.M.; Ray, K.K.; Schwartz, G.G.; Szarek, M.; Stroes, E.S.G.; Troquay, R.; Dorresteijn, J.A.N.; et al. Zerlasiran—A Small-Interfering RNA Targeting Lipoprotein(a): A Phase 2 Randomized Clinical Trial. JAMA 2024, 332, 1992–2002. [Google Scholar] [CrossRef]
- European Medicines Agency. Biosimilar Medicines: Overview. Available online: https://www.ema.europa.eu/en/human-regulatory-overview/biosimilar-medicines-overview (accessed on 2 March 2025).
- Mishra, B. Tackling diabetes through translation. Indian J. Community Med. 2010, 35, 207–208. [Google Scholar] [CrossRef]
- Plichta, J.; Kuna, P.; Panek, M. Biologic drugs in the treatment of chronic inflammatory pulmonary diseases: Recent developments and future perspectives. Front. Immunol. 2023, 14, 1207641. [Google Scholar] [CrossRef]
- Yoshida, T.; Naito, Y.; Sasaki, K.; Uchida, E.; Sato, Y.; Naito, M.; Kawanishi, T.; Obika, S.; Inoue, T. Estimated number of off-target candidate sites for antisense oligonucleotides in human mRNA sequences. Genes Cells 2018, 23, 448–455. [Google Scholar] [CrossRef] [PubMed]
- Khvorova, A.; Watts, J.K. The chemical evolution of oligonucleotide therapies of clinical utility. Nat. Biotechnol. 2017, 35, 238–248. [Google Scholar] [CrossRef]
- Pawar, R. Metabolic Syndrome Market Size & Share, By Treatment (Pharmaceuticals, Surgery, Lifestyle Management); Type of Metabolic Syndrome; Risk Factors—SWOT Analysis, Competitive Strategic Insights, Regional Trends 2025–2037. Available online: https://www.researchnester.com/reports/metabolic-syndrome-market/6696 (accessed on 22 April 2025).
- Grand View Research. Metabolic Disorder Therapeutics Market Size, Share & Trends Analysis Report by Disease, by Therapy, By Route of Administration (Oral, Parenteral), By Distribution Channel, By Region, And Segment Forecasts, 2025–2030. Available online: https://www.grandviewresearch.com/industry-analysis/metabolic-disorder-therapeutics-market (accessed on 22 April 2025).





| Insulin Type * | Preparation | Action Onset | Tmax | Time Range |
|---|---|---|---|---|
| rapid-acting insulin | aspart (NovoLog) | 15 min | 1–3 h | 3–5 h |
| glulisine (Apidra) | 12–30 min | 1.5 h | 5–6 h | |
| lispro (Admelog, Humalog, Lyumjev) | 15–30 min | 0.5–2 h | 2–5 h | |
| ultra-rapid acting insulin | aspart (Fiasp) | 5 min | 0.5 h | 3–5 h |
| regular or short-acting insulin | human regular (Humulin R, Novolin R, Velosulin R) | 0.5–1 h | 2–4 h | 5–8 h |
| intermediate-acting insulin | isophane/NPH (Humulin N, Novolin N, ReliOn) | 2–4 h | 4–10 h | 8–16 h |
| long-acting insulin analogue | detemir (Levemir) | 1–2 h | 6–12 h | 20–24 h |
| glargine (Basaglar, Lantus) | 2–4 h | peakless | 24 h | |
| degludec (Tresiba) | 0.5–1.5 h | peakless | 42 h |
| Insulin Type in the Mixture | The Content of Insulin, Long- or Short-Acting |
|---|---|
| insulin aspart with protamine suspension of insulin aspart (analogue mixture) | 30% or 50% |
| insulin aspart with insulin degludec (dual analogue mixture) | 30% |
| insulin lispro with protamine insulin lispro (analogue mixture) | 25% or 50% |
| biphasic insulin, human | 20%, 25%, 30%, 40%, 50% |
| Drug | Study Acronym | Pharmacological Effects | References |
|---|---|---|---|
| GLP-1 analogues | |||
| Dulaglutide | REWIND | lowering systolic BP 1 (−1.7 mmHg) compared to placebo; mean reduction in HbA1c 2 −0.61% vs. placebo | [70] |
| Exenatide | - | lowering systolic BP (−1.57 mmHg) compared to placebo; increased diastolic BP (+0.25 mmHg) | [73] |
| Lixisenatide | ELIXA | moderate and persistent difference in systolic BP between the lixisenatide-treated and the placebo groups (−0.8 mmHg in favor of lixisenatide); HbA1c 2 −0.6% vs. placebo −0.2% | [76] |
| Liraglutide | SCALE Obesity and Prediabetes | weight loss (−8.4 ± 7.3 kg); weight loss of at least 5% (63.2% vs. 27.1%), more than 10% (33.1% vs. 10.6%), and more than 15% (14.4% vs. 3.5%) compared to the placebo; lowering systolic BP (−4.2 ± 12.2 mm Hg study group vs. −1.5 ± 12.4 placebo group) and diastolic BP (−2.6 ± 8.7 mm Hg study group vs. −1.9 ± 8.7 placebo group); lowering HbA1c (−0.30 ± 0.28% vs. placebo −0.06 ± 0.30%), glucose (−7.1 ± 10.8 mg/dL vs. placebo + 0.1 ± 10.4 mg/dL), and fasting insulin (−12.6% vs. placebo −4.4%) levels | [72] |
| LEADER | lowering systolic BP (−1.2 mmHg) after 36 months compared to placebo; increased diastolic BP (+0.6 mmHg) compared to placebo | [74] | |
| LEAN | improved liver and adipose insulin sensitivity by augmenting insulin-mediated inhibition of lipolysis; reduction in lipotoxic metabolites and pro-inflammatory mediators; reduced lipogenesis in the liver (−1.26% vs. placebo + 1.30%) | [71] | |
| Semaglutide | reduction in caloric intake (24%, −3036 kJ) and better control of eating weight loss (12-week semaglutide therapy: −5.0 kg vs. placebo: +1.0 kg) appetite and fat reduction | [54] | |
| SUSTAIN-6 | 0.5 mg dose: decreased systolic BP (−3.4 mmHg vs. −2.2 mmHg placebo); HbA1c −1.1% vs. placebo −0.4%; 1.0 mg dose: decreased systolic BP (−5.4 mmHg vs. −2.8 mmHg placebo), HbA1c −1.4% vs. placebo −0.4%; comparable diastolic BP | [75] | |
| enhanced glucose-dependent insulin secretion; increased the sensitivity of pancreatic β-cells to glucose; more efficient insulin secretion in response to elevated blood glucose levels; reduction in glucagon levels; reduced fasting and postprandial blood sugar levels | [77] | ||
| DPP-4 inhibitors | |||
| Alogliptin | EXAMINE | lowered HbA1c vs. placebo; no increased risk of cardiovascular incidents | [78] |
| Linagliptin | CAROLINA | increased risk of cardiovascular incidents | [79] |
| Saxagliptin | SAVOR-TIMI 53 | lowered fasting glucose levels vs. placebo after 2 years and at the end of therapy (p < 0.001); lowered HbA1c vs. placebo; a higher proportion of patients in the saxagliptin group achieved HbA1c < 7% at the end of the treatment period (36.2% vs. placebo 27.9%); no effect on ischemic events | [80] |
| Sitagliptin | TECOS | after 4 months of treatment, HbA1c −0.4% vs. placebo; no effect on cardiovascular risk | [81] |
| Vildagliptin | - | no increased risks of hospitalization for heart failure, non-fatal stroke, non-fatal myocardial infarction, and cardiovascular death | [82] |
| SGLT-2 inhibitors | |||
| Canagliflozin | CANVAS | slowed eGFR 3 decline in patients with various causes of CKD, including those without diabetes | [83] |
| CREDENCE | 34% reduction in the risk of death from renal causes and a 32% decrease in the risk of ESRD 4 | [84] | |
| Dapagliflozin | - | 19% reduction in EAT 5 thickness; inhibition of glucose uptake (21.6% inhibition of 2-deoxy-2-[18F]fluoro-D-glucose (FDG)) | [85] |
| DAPA-CKD | slowed eGFR decline in patients with various causes of CKD, including those without diabetes | [86] | |
| Empagliflozin | EMPA-REG OUTCOME | reduction in the primary composite cardiovascular outcome and all-cause mortality | [87] |
| EMPA-REG OUTCOME | an initial transient decrease in eGFR is commonly observed; with long-term therapy eGFR values tend to increase after treatment discontinuation | [88] | |
| Drug | t1/2 | Tmax | Cmax | Vd | References |
|---|---|---|---|---|---|
| GLP-1 analogues | |||||
| Dulaglutide | 5 days | 48 h | 114 ng/mL | 3.09 a, 5.98 L b | [61] |
| Exenatide | 2.4 h | 2 h | 211 pg/mL | 28 L | [59,89] |
| Lixisenatide | 3 h | 1- 3.5 h | N/A c | 100 L | [58] |
| Liraglutide | 13 h | 8–12 h | 9.4 nmol/L (0.6 mg) | 11–17 d or 20–25 e L | [57,90] |
| Semaglutide | 7 days | 1–3 days | N/A | 12.4 L | [62,91] |
| DPP-4 inhibitors | |||||
| Alogliptin | 21 h | 1–2 h | N/A | 417 L | [92] |
| Linagliptin | 12 h | 1.5 h | N/A | 1110 L | [93] |
| Saxagliptin | 2.5 h | 2 h | 24 ng/mL | N/A | [94] |
| Sitagliptin | 12.4 h | 1–4 h | 950 nM | 198 L | [95] |
| Vildagliptin | 3 h (p.o.); 2 h (i.v.) | 1.7 h | N/A | 71 L | [96] |
| SGLT-2 inhibitors | |||||
| Canagliflozin | 10.6 ± 2.13 h (100 mg) | 1.059 ng/mL (100 mg) | [97,98] | ||
| 13.1 ± 3.28 h (300 mg) | 1–2 h | 2.792 ng/mL (300 mg) | 83.5 L | ||
| Dapagliflozin | 12.9 h | 2 h | 158 ng/ml | 118 L | [99] |
| Empagliflozin | 12.4 h | 1.5 h | 259 nmol/L (10 mg) 687 nmol/L (25 mg) | 73.8 L | [100] |
| Group of Drugs | Adverse Drug Reactions | References |
|---|---|---|
| Antidiabetic drugs | ||
| Insulin and insulin analogues | hypoglycemia, weight gain, lipodystrophy | [193] |
| GLP-1 analogues | nausea; vomiting; loss of appetite; thyroid cysts a; ketosis a; acute cholecystisis a | [194] |
| DPP-4 inhibitors | nausea, vomiting; loss of appetite, upper respiratory tract infections; nasopharyngitis | [195] |
| SGLT-2 inhibitors | infections of the urinary and reproductive tracts, dehydration, orthostatic hypotension; ketoacidosis | [97,99,100] |
| Antilipemic drugs | ||
| PCSK-9 inhibitors | injection site reactions; flu-like symptoms; eczema; upper respiratory tract infections | [153,156] |
| Antisense oligonucleotides | injection site reaction; trombocytopenia b; liver dysfunction a,b; kidney dysfunction a,b | [168,169,170] |
| siRNA-based drugs | injection site reactions | [179,186,191,197] |
Disclaimer/Publisher’s Note: The statements, opinions and data contained in all publications are solely those of the individual author(s) and contributor(s) and not of MDPI and/or the editor(s). MDPI and/or the editor(s) disclaim responsibility for any injury to people or property resulting from any ideas, methods, instructions or products referred to in the content. |
© 2025 by the authors. Licensee MDPI, Basel, Switzerland. This article is an open access article distributed under the terms and conditions of the Creative Commons Attribution (CC BY) license (https://creativecommons.org/licenses/by/4.0/).
Share and Cite
Górecka, W.; Berezovska, D.; Mrozińska, M.; Nowicka, G.; Czerwińska, M.E. Biological and Biosimilar Medicines in Contemporary Pharmacotherapy for Metabolic Syndrome. Pharmaceutics 2025, 17, 768. https://doi.org/10.3390/pharmaceutics17060768
Górecka W, Berezovska D, Mrozińska M, Nowicka G, Czerwińska ME. Biological and Biosimilar Medicines in Contemporary Pharmacotherapy for Metabolic Syndrome. Pharmaceutics. 2025; 17(6):768. https://doi.org/10.3390/pharmaceutics17060768
Chicago/Turabian StyleGórecka, Wiktoria, Daria Berezovska, Monika Mrozińska, Grażyna Nowicka, and Monika E. Czerwińska. 2025. "Biological and Biosimilar Medicines in Contemporary Pharmacotherapy for Metabolic Syndrome" Pharmaceutics 17, no. 6: 768. https://doi.org/10.3390/pharmaceutics17060768
APA StyleGórecka, W., Berezovska, D., Mrozińska, M., Nowicka, G., & Czerwińska, M. E. (2025). Biological and Biosimilar Medicines in Contemporary Pharmacotherapy for Metabolic Syndrome. Pharmaceutics, 17(6), 768. https://doi.org/10.3390/pharmaceutics17060768

