Development of a Liposome Nanoformulation for the Delivery of Lipoic Acid as a Potential Neuroprotective Therapy in Glaucoma
Abstract
1. Introduction
2. Materials and Methods
2.1. Synthesis of Liposomes and Incorporation of Lipoic Acid
2.2. Characterization
2.3. Quantification and Release Study of LA
2.4. Antioxidant Activity
2.5. Cytotoxicity Evaluation
2.6. Statistical Analysis
3. Results and Discussion
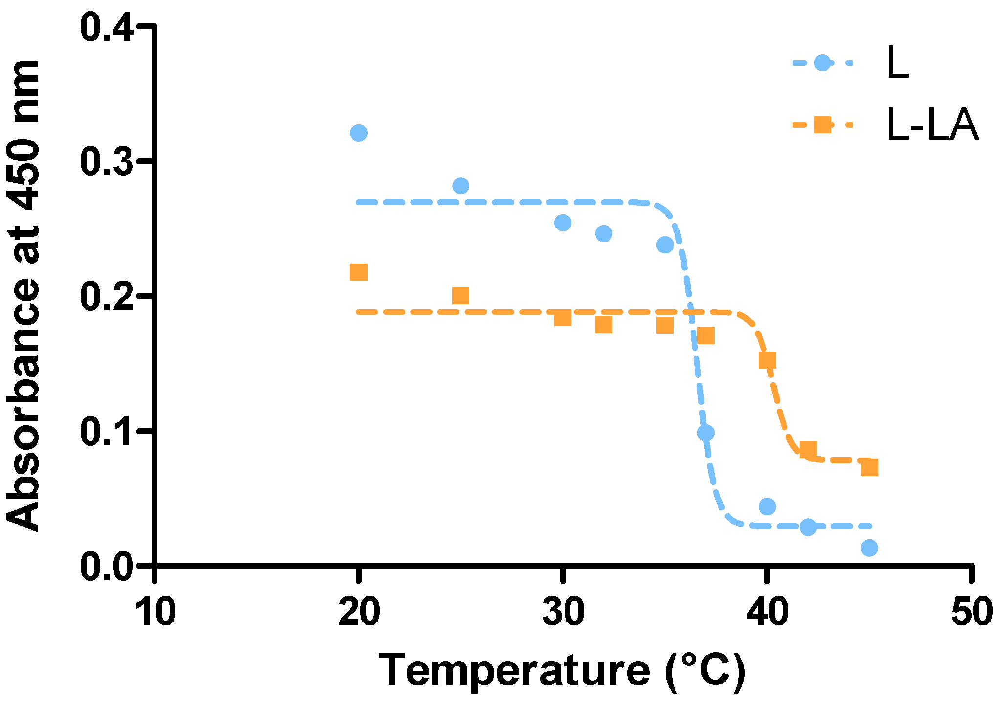
3.1. Characterization of Liposomes
3.2. Quantification and Release Study of LA
3.3. Antioxidant Activity
3.4. In Vitro Studies of Liposomes Biocompatibility
4. Conclusions
Author Contributions
Funding
Data Availability Statement
Conflicts of Interest
Abbreviations
| DPPC | 1,2-dipalmitoyl-sn-glycero-3-phosphatidylcholine |
| DPPH• | 2,2-diphenyl-1-picrylhydrazyl free radical |
| DLS | Dynamic Light Scattering |
| FTIR | Fourier transform infrared |
| L | Liposomes |
| LA | Lipoic acid |
| L-LA | Liposomes with lipoic acid |
| MTT | 3-(4,5-dimethyl-thiazol-2-yl)-2,5-diphenyl-tetrazolium bromide |
| POPC | 1-palmitoyl-2-oleoyl-sn-glycero-3-phosphatidylcholine |
| RGCs | Retinal ganglion cells |
| TEM | Transmission electron microscopy |
| Tm | Transition temperature |
References
- McMonnies, C.W. Glaucoma history and risk factors. J. Optom. 2017, 10, 71–78. [Google Scholar] [CrossRef] [PubMed]
- Harwerth, R.S.; Quigley, H.A. Visual field defects and retinal ganglion cell losses in patients with glaucoma. Arch. Ophthalmol. 2006, 124, 853–859. [Google Scholar] [CrossRef]
- Tham, Y.-C.; Li, X.; Wong, T.Y.; Quigley, H.A.; Aung, T.; Cheng, C.-Y. Global Prevalence of Glaucoma and Projections of Glaucoma Burden through 2040. Ophthalmology 2014, 121, 2081–2090. [Google Scholar] [CrossRef]
- Calkins, D.J.; Horne, P.J. The cell and molecular biology of glaucoma: Axonopathy and the brain. Investig. Ophthalmol. Vis. Sci. 2012, 53, 2482–2484. [Google Scholar] [CrossRef]
- Gupta, N.; Ang, L.-C.; Noël de Tilly, L.; Bidaisee, L.; Yücel, Y.H. Human glaucoma and neural degeneration in intracranial optic nerve, lateral geniculate nucleus, and visual cortex. Br. J. Ophthalmol. 2006, 90, 674–678. [Google Scholar] [CrossRef] [PubMed]
- Weber, A.J.; Chen, H.; Hubbard, W.C.; Kaufman, P.L. Experimental glaucoma and cell size, density, and number in the primate lateral geniculate nucleus. Investig. Ophthalmol. Vis. Sci. 2000, 41, 1370–1379. [Google Scholar]
- Gupta, N.; Yücel, Y.H. Glaucoma and the brain. J. Glaucoma 2001, 10, s28–s29. [Google Scholar] [CrossRef]
- Sies, H.; Jones, D.P. Reactive oxygen species (ROS) as pleiotropic physiological signalling agents. Nat. Rev. Mol. Cell Biol. 2020, 21, 363–383. [Google Scholar] [CrossRef]
- Ferreira, S.M.; Lerner, S.F.; Brunzini, R.; Evelson, P.A.; Llesuy, S.F. Oxidative stress markers in aqueous humor of glaucoma patients. Am. J. Ophthalmol. 2004, 137, 62–69. [Google Scholar] [CrossRef]
- Ferreira, S.M.; Lerner, S.F.; Brunzini, R.; Reides, C.G.; Evelson, P.A.; Llesuy, S.F. Time Course Changes of Oxidative Stress Markers in a Rat Experimental Glaucoma Model. Investig. Ophthalmol. Vis. Sci. 2010, 51, 4635–4640. [Google Scholar] [CrossRef]
- Ferreira, S.M.; Lerner, S.F.; Brunzini, R.; Evelson, P.A.; Llesuy, S.F. Antioxidant status in the aqueous humour of patients with glaucoma associated with exfoliation syndrome. Eye 2009, 23, 1691–1697. [Google Scholar] [CrossRef] [PubMed]
- Hvozda Arana, A.G.; Lasagni Vitar, R.M.; Reides, C.G.; Lerner, S.F.; Ferreira, S.M. Glaucoma causes redox imbalance in the primary visual cortex by modulating NADPH oxidase-4, iNOS, and Nrf2 pathway in a rat experimental model. Exp. Eye Res. 2020, 200, 108225. [Google Scholar] [CrossRef] [PubMed]
- Hvozda Arana, A.G.; Lasagni Vitar, R.M.; Reides, C.G.; Calabró, V.; Marchini, T.; Lerner, S.F.; Evelson, P.A.; Ferreira, S.M. Mitochondrial function is impaired in the primary visual cortex in an experimental glaucoma model. Arch. Biochem. Biophys. 2021, 701, 108815. [Google Scholar] [CrossRef]
- Hvozda Arana, A.G.; Lerner, S.F.; Reides, C.G.; Contin, M.; Tripodi, V.; Lasagni Vitar, R.M.; Ferreira, S.M. Experimental glaucoma triggers a pro-oxidative and pro-inflammatory state in the rat cornea. Biochim. Biophys. Acta (BBA)—Gen. Subj. 2023, 1867, 130426. [Google Scholar] [CrossRef] [PubMed]
- Shen, Y.; Sun, J.; Sun, X. Intraocular nano-microscale drug delivery systems for glaucoma treatment: Design strategies and recent progress. J. Nanobiotechnol. 2023, 21, 84. [Google Scholar] [CrossRef]
- Gauthier, A.C.; Liu, J. Neurodegeneration and Neuroprotection in Glaucoma. Yale J. Biol. Med. 2016, 89, 73–79. [Google Scholar]
- Wang, L.; Li, X.; Men, X.; Liu, X.; Luo, J. Research progress on antioxidants and protein aggregation inhibitors in cataract prevention and therapy (Review). Mol. Med. Rep. 2025, 31, 22. [Google Scholar] [CrossRef] [PubMed]
- Attia, M.; Essa, E.A.; Zaki, R.M.; Elkordy, A.A. An overview of the antioxidant effects of ascorbic acid and alpha lipoic acid (In liposomal forms) as adjuvant in cancer treatment. Antioxidants 2020, 9, 359. [Google Scholar] [CrossRef]
- Sharma, V.K.; Agrawal, M.K. A historical perspective of liposomes-a bio nanomaterial. Mater. Today Proc. 2021, 45, 2963–2966. [Google Scholar] [CrossRef]
- Ahmed, K.S.; Hussein, S.A.; Ali, A.H.; Korma, S.A.; Lipeng, Q.; Jinghua, C. Liposome: Composition, characterisation, preparation, and recent innovation in clinical applications. J. Drug Target. 2019, 27, 742–761. [Google Scholar] [CrossRef]
- Antezana, P.E.; Municoy, S.; Bellino, M.G.; Martini, M.F.; Desimone, M.F. Nanodelivery of the Gramicidin Peptide for Enhancing Antimicrobial Activity. Eur. J. Lipid Sci. Technol. 2021, 123, 2000389. [Google Scholar] [CrossRef]
- Municoy, S.; Antezana, P.E.; Pérez, C.J.; Bellino, M.G.; Desimone, M.F. Tuning the Antimicrobial Activity of Collagen Biomaterials through a Liposomal Approach. J. Appl. Polym. Sci. 2020, 1–13. [Google Scholar] [CrossRef]
- Jumelle, C.; Gholizadeh, S.; Annabi, N.; Dana, R. Advances and limitations of drug delivery systems formulated as eye drops. J. Control. Release 2020, 321, 1–22. [Google Scholar] [CrossRef] [PubMed]
- Inman, D.M.; Lambert, W.S.; Calkins, D.J.; Horner, P.J. α-Lipoic Acid Antioxidant Treatment Limits Glaucoma-Related Retinal Ganglion Cell Death and Dysfunction. PLoS ONE 2013, 8, e65389. [Google Scholar] [CrossRef]
- Koriyama, Y.; Nakayama, Y.; Matsugo, S.; Kato, S. Protective effect of lipoic acid against oxidative stress is mediated by Keap1/Nrf2-dependent heme oxygenase-1 induction in the RGC-5 cellline. Brain Res. 2013, 1499, 145–157. [Google Scholar] [CrossRef]
- Tibullo, D.; Li Volti, G.; Giallongo, C.; Grasso, S.; Tomassoni, D.; Anfuso, C.D.; Lupo, G.; Amenta, F.; Avola, R.; Bramanti, V. Biochemical and clinical relevance of alpha lipoic acid: Antioxidant and anti-inflammatory activity, molecular pathways and therapeutic potential. Inflamm. Res. 2017, 66, 947–959. [Google Scholar] [CrossRef]
- Dutta, S.; Choudhary, P.; Moses, J.; Anandharamakrishnan, C. Liposomal Encapsulation of α-lipoic Acid as a Food Supplement. ETP Int. J. Food Eng. 2019, 5, 111–115. [Google Scholar] [CrossRef]
- Ling, L.; Ismail, M.; Du, Y.; Yao, C.; Li, X. Lipoic acid-derived cross-linked liposomes for reduction-responsive delivery of anticancer drug. Int. J. Pharm. 2019, 560, 246–260. [Google Scholar] [CrossRef]
- Halder, S.; Mibe, Y.; Rikimura, S.; Kuromi, K.; Sato, H.; Onoue, S. Strategic application of liposomal system to R-α-lipoic acid for the improvement of nutraceutical properties. Drug Dev. Ind. Pharm. 2022, 48, 239–246. [Google Scholar] [CrossRef]
- Curcio, M.; Cirillo, G.; Amato, R.; Guidotti, L.; Amantea, D.; De Luca, M.; Nicoletta, F.P.; Iemma, F.; Garcia-Gil, M. Encapsulation of Alpha-Lipoic Acid in Functional Hybrid Liposomes: Promising Tool for the Reduction of Cisplatin-Induced Ototoxicity. Pharmaceuticals 2022, 15, 394. [Google Scholar] [CrossRef]
- Maeki, M.; Kimura, N.; Okada, Y.; Shimizu, K.; Shibata, K.; Miyazaki, Y.; Ishida, A.; Yonezawa, K.; Shimizu, N.; Shinoda, W.; et al. Understanding the effects of ethanol on the liposome bilayer structure using microfluidic-based time-resolved small-angle X-ray scattering and molecular dynamics simulations. Nanoscale Adv. 2024, 6, 2166–2176. [Google Scholar] [CrossRef]
- Sharma, K.; Nilsuwan, K.; Ma, L.; Benjakul, S. Effect of Liposomal Encapsulation and Ultrasonication on Debittering of Protein Hydrolysate and Plastein from Salmon Frame. Foods 2023, 12, 761. [Google Scholar] [CrossRef]
- Antezana, P.E.; Municoy, S.; Orive, G.; Desimone, M.F. Design of a New 3D Gelatin—Alginate Scaffold Loaded with Cannabis sativa Oil. Polymers 2022, 14, 4506. [Google Scholar] [CrossRef] [PubMed]
- Antezana, P.E.; Municoy, S.; Perez, C.J.; Desimone, M.F. Collagen Hydrogels Loaded with Silver Nanoparticles and Cannabis Sativa Oil. Antibiotics 2021, 10, 1420. [Google Scholar] [CrossRef]
- Thakur, R.; Das, A.; Chakraborty, A. Interaction of human serum albumin with liposomes of saturated and unsaturated lipids with different phase transition temperatures: A spectroscopic investigation by membrane probe PRODAN. RSC Adv. 2014, 4, 14335–14347. [Google Scholar] [CrossRef]
- Avramovic-Zikic, O.; Colbow, K. Turbidity changes of lipid vesicles near the phase transition temperature as an indication of fusion. Biochim. Biophys. Acta. 1978, 512, 97–104. [Google Scholar] [CrossRef] [PubMed]
- Leshno, A.; Stern, O.; Barkana, Y.; Kapelushnik, N.; Singer, R.; Prat, D.L.; Cohen, G.; Ben-David, G.; Abrahami, D.; Huna-Baron, R.; et al. Ocular surface temperature differences in glaucoma. Eur. J. Ophthalmol. 2022, 32, 1518–1524. [Google Scholar] [CrossRef]
- Diebold, Y.; Calonge, M. Applications of nanoparticles in ophthalmology. Prog. Retin. Eye Res. 2010, 29, 596–609. [Google Scholar] [CrossRef]
- Danaei, M.; Dehghankhold, M.; Ataei, S.; Hasanzadeh Davarani, F.; Javanmard, R.; Dokhani, A.; Khorasani, S.; Mozafari, M.R. Impact of Particle Size and Polydispersity Index on the Clinical Applications of Lipidic Nanocarrier Systems. Pharmaceutics 2018, 10, 57. [Google Scholar] [CrossRef]
- Tan, G.; Yu, S.; Pan, H.; Li, J.; Liu, D.; Yuan, K.; Yang, X.; Pan, W. Bioadhesive chitosan-loaded liposomes: A more efficient and higher permeable ocular delivery platform for timolol maleate. Int. J. Biol. Macromol. 2017, 94, 355–363. [Google Scholar] [CrossRef]
- Olson, K.R.; Briggs, A.; Devireddy, M.; Xian, M.; Gao, Y. Are the beneficial effects of ‘antioxidant’ lipoic acid mediated through metabolism of reactive sulfur species? Free Radic. Biol. Med. 2020, 146, 139–149. [Google Scholar] [CrossRef] [PubMed]
- Mallick, S.; Choi, J.S. Liposomes: Versatile and biocompatible nanovesicles for efficient biomolecules delivery. J. Nanosci. Nanotechnol. 2014, 14, 755–765. [Google Scholar] [CrossRef] [PubMed]







| Sample | Scavenger Activity (%) |
|---|---|
| Liposome | 0.0 |
| Lipoic acid solution (5 mg/mL) | 5.3 ± 0.3 *** |
| Liposome with lipoic acid (4.03 mg/mL) | 31.6 ± 0.4 ***,+++ |
Disclaimer/Publisher’s Note: The statements, opinions and data contained in all publications are solely those of the individual author(s) and contributor(s) and not of MDPI and/or the editor(s). MDPI and/or the editor(s) disclaim responsibility for any injury to people or property resulting from any ideas, methods, instructions or products referred to in the content. |
© 2025 by the authors. Licensee MDPI, Basel, Switzerland. This article is an open access article distributed under the terms and conditions of the Creative Commons Attribution (CC BY) license (https://creativecommons.org/licenses/by/4.0/).
Share and Cite
Antezana, P.E.; Arana, A.G.H.; Municoy, S.; Desimone, M.F.; Evelson, P.; Ferreira, S. Development of a Liposome Nanoformulation for the Delivery of Lipoic Acid as a Potential Neuroprotective Therapy in Glaucoma. Pharmaceutics 2025, 17, 664. https://doi.org/10.3390/pharmaceutics17050664
Antezana PE, Arana AGH, Municoy S, Desimone MF, Evelson P, Ferreira S. Development of a Liposome Nanoformulation for the Delivery of Lipoic Acid as a Potential Neuroprotective Therapy in Glaucoma. Pharmaceutics. 2025; 17(5):664. https://doi.org/10.3390/pharmaceutics17050664
Chicago/Turabian StyleAntezana, Pablo Edmundo, Ailen Gala Hvozda Arana, Sofia Municoy, Martín Federico Desimone, Pablo Evelson, and Sandra Ferreira. 2025. "Development of a Liposome Nanoformulation for the Delivery of Lipoic Acid as a Potential Neuroprotective Therapy in Glaucoma" Pharmaceutics 17, no. 5: 664. https://doi.org/10.3390/pharmaceutics17050664
APA StyleAntezana, P. E., Arana, A. G. H., Municoy, S., Desimone, M. F., Evelson, P., & Ferreira, S. (2025). Development of a Liposome Nanoformulation for the Delivery of Lipoic Acid as a Potential Neuroprotective Therapy in Glaucoma. Pharmaceutics, 17(5), 664. https://doi.org/10.3390/pharmaceutics17050664

