Curcumin Microcapsule Formulations for Prolong Persistence in the Photodynamic Inactivation of Aedes aegypti Larvae
Abstract
1. Introduction
2. Materials and Methods
2.1. Spray-Drying Microencapsulation Process
2.2. Formulations Curcumin Tablets (FCT)
2.3. Release Efficiency of Microencapsulated Curcumin and Formulation
2.4. Characterization of Curcumin Microcapsule and Formulations
2.5. Photodegradation Assay of Microencapsulated Curcumin Formulations
3. Photodynamic Inactivation of Aedes aegypti Larvae
3.1. Residual Effect of Curcumin Microcapsule Formulations on Ae. aegypti Larvae
3.2. Confocal Laser Scanning Fluorescence Microscopy of Aedes aegypti Larvae
4. Results and Discussions
4.1. Spray Dryer Yield
4.2. Release Efficiency of Microencapsulated Curcumin
4.3. Scanning Electron Microscopy
4.4. Microcapsules Morphology by Confocal Microscopy
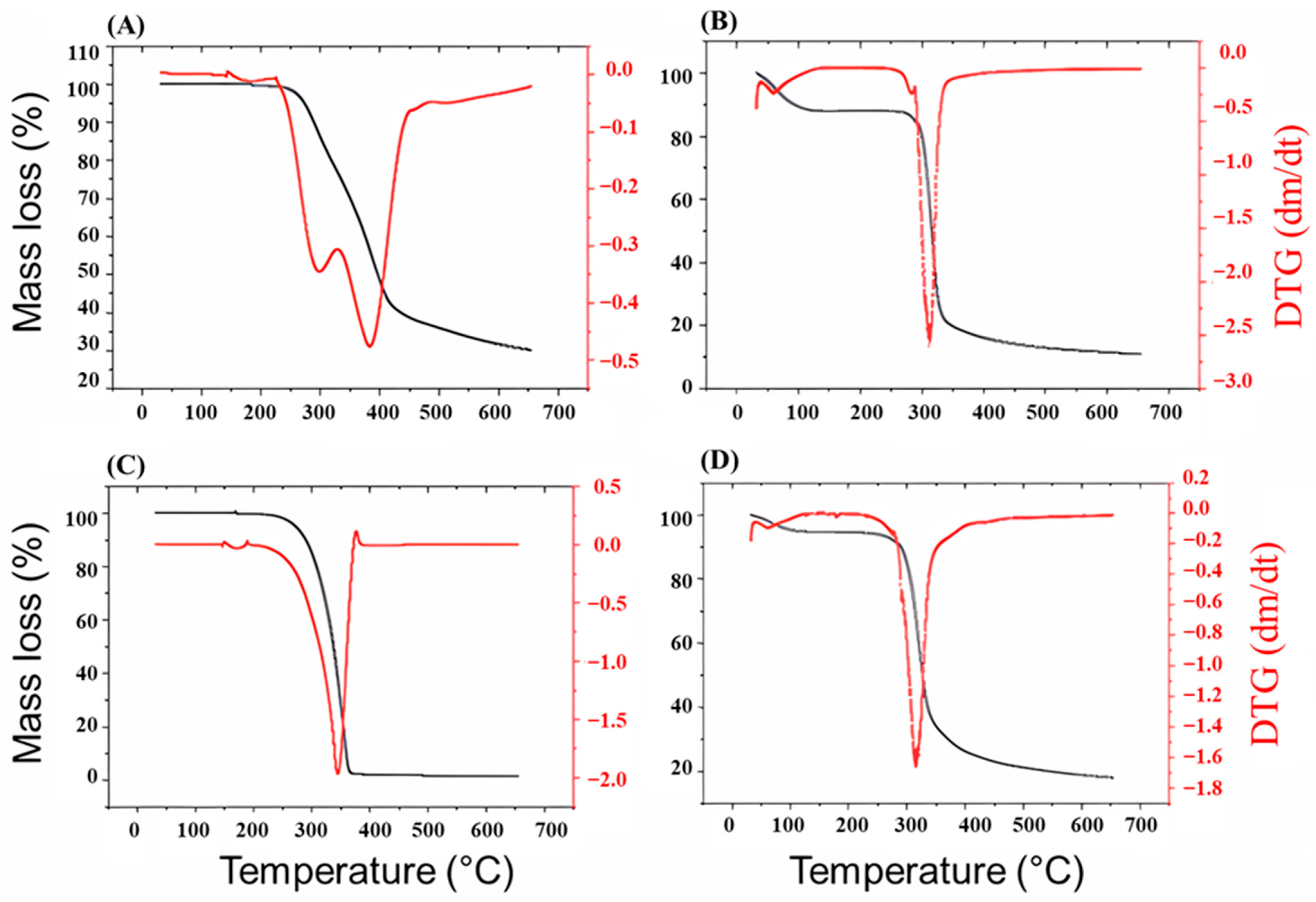
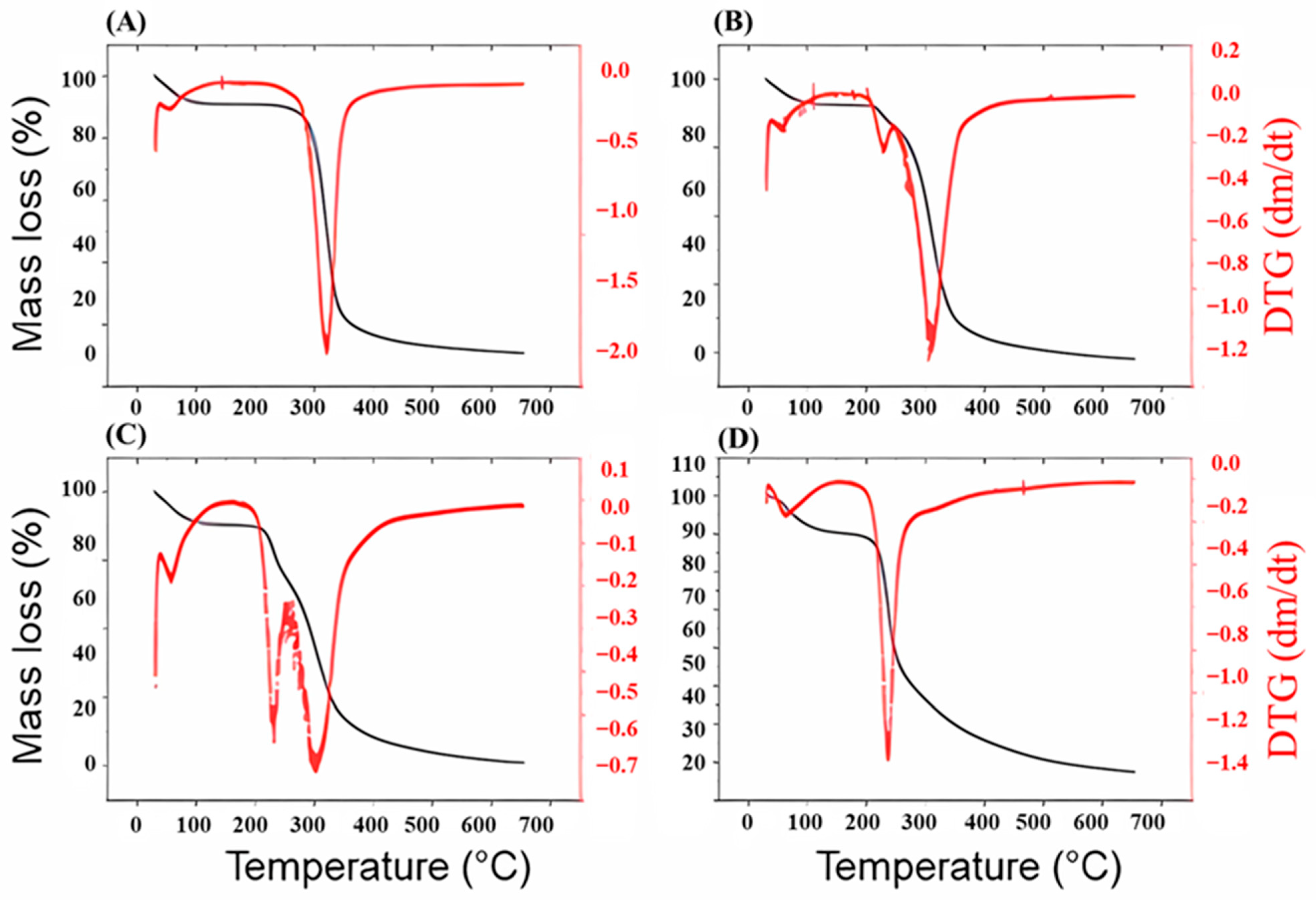
4.5. Thermogravimetric Analysis (TG-DTG)
4.6. Differential Explanatory Calorimetry (DSC)
4.7. Infrared Spectra (FTIR)
4.8. Photodynamic Inactivation of Ae. aegypti Larvae
4.8.1. PDI Analysis: Larvicidal Efficacy
4.8.2. PDI Analysis: Laboratory Persistence
4.8.3. Confocal Microscopy Larvae Ae. aegypti Formulation
4.9. Release in Static Condition of Formulated Curcumin
4.10. Photostability Analysis of Microencapsulated Curcumin Formulations
5. Conclusions
Supplementary Materials
Author Contributions
Funding
Data Availability Statement
Acknowledgments
Conflicts of Interest
References
- Donalisio, M.R.; Freitas, A.R.R.; Zuben, A.P.B.V. Arboviruses emerging in Brazil: Challenges for clinic and implications for public health. Rev. Saude Publica 2017, 51, 30. [Google Scholar] [CrossRef] [PubMed]
- Patterson, J.; Sammon, M.; Garg, M. Dengue, Zika and Chikungunya: Emerging Arboviruses in the New World. West. J. Emerg. Med. 2016, 17, 671–679. [Google Scholar] [CrossRef]
- Gan, S.J.; Leong, Y.Q.; bin Barhanuddin, M.F.H.; Wong, S.T.; Wong, S.F.; Mak, J.W.; Ahmad, R.B. Dengue fever and insecticide resistance in aedes mosquitoes in Southeast Asia: A review. Parasit. Vectors 2021, 14, 315. [Google Scholar] [CrossRef] [PubMed]
- Santos, L.L.M.; de Aquino, E.C.; Fernandes, S.M.; Ternes, Y.M.F.; Feres, V.C.d.R. Dengue, Chikungunya, and Zika virus infections in Latin America and the Caribbean: A systematic review. Rev. Panam. De Salud Pública 2023, 47, 1. [Google Scholar] [CrossRef]
- Phillips, M.L. Dengue Reborn: Widespread resurgence of a resilient vector. Environ. Health Perspect. 2008, 116, A382–A388. [Google Scholar] [CrossRef]
- Wilson, A.L.; Courtenay, O.; Kelly-Hope, L.A.; Scott, T.W.; Takken, W.; Torr, S.J.; Lindsay, S.W. The Importance of vector control for the control and elimination of vector-borne diseases. PLoS Negl. Trop. Dis. 2020, 14, e0007831. [Google Scholar] [CrossRef] [PubMed]
- Dias, Í.K.R.; Martins, R.M.G.; Sobreira, C.L.d.S.; Rocha, R.M.G.S.; Lopes, M.d.S.V. Ações educativas de enfrentamento ao Aedes aegypti: Revisão integrativa. Cien Saude Colet. 2022, 27, 231–242. [Google Scholar] [CrossRef]
- Mahmoudi, H.; Bahador, A.; Pourhajibagher, M.; Alikhani, M.Y. Antimicrobial photodynamic therapy: An effective alternative approach to control bacterial infections. J. Lasers Med. Sci. 2018, 9, 154–160. [Google Scholar] [CrossRef]
- Jao, Y.; Ding, S.-J.; Chen, C.-C. Antimicrobial photodynamic therapy for the treatment of oral infections: A systematic review. J. Dent. Sci. 2023, 18, 1453–1466. [Google Scholar] [CrossRef]
- Dias, L.D.; Bertolo, M.R.V.; Alves, F.; de Faria, C.M.G.; Rodrigues, M.Á.V.; Lopes, L.K.B.C.; de Guzzi Plepis, A.M.; Mattoso, L.H.C.; Junior, S.B.; Bagnato, V.S. Preparation and characterization of curcumin and pomegranate peel extract chitosan/gelatin-based films and their photoinactivation of bacteria. Mater. Today Commun. 2022, 31, 103791. [Google Scholar] [CrossRef]
- Dias, L.D.; Aguiar, A.S.N.; de Melo, N.J.; Inada, N.M.; Borges, L.L.; de Aquino, G.L.B.; Camargo, A.J.; Bagnato, V.S.; Napolitano, H.B. Structural basis of antibacterial photodynamic action of curcumin against S. Aureus. Photodiagnosis Photodyn. Ther. 2023, 43, 103654. [Google Scholar] [CrossRef] [PubMed]
- Lima, A.R.; Dias, L.D.; Garbuio, M.; Inada, N.M.; Bagnato, V.S. A Look at Photodynamic inactivation as a tool for pests and vector-borne diseases control. Laser Phys. Lett. 2022, 19, 025601. [Google Scholar] [CrossRef]
- Lima, A.R.; da Silva, C.M.; Caires, C.S.A.; Chaves, H.; Pancrácio, A.S.; de Arruda, E.J.; Caires, A.R.L.; Oliveira, S.L. Photoinactivation of Aedes aegypti larvae using riboflavin as photosensitizer. Photodiagnosis Photodyn. Ther. 2022, 39, 103030. [Google Scholar] [CrossRef] [PubMed]
- Meier, C.J.; Hillyer, J.F. Larvicidal Activity of the photosensitive insecticides, methylene blue and rose bengal, in Aedes aegypti and Anopheles gambiae Mosquitoes. Pest. Manag. Sci. 2024, 80, 296–306. [Google Scholar] [CrossRef]
- Lima, A.R.; Silva, C.M.; da Silva, L.M.; Machulek, A.; de Souza, A.P.; de Oliveira, K.T.; Souza, L.M.; Inada, N.M.; Bagnato, V.S.; Oliveira, S.L.; et al. Environmentally safe photodynamic control of Aedes aegypti using sunlight-activated synthetic curcumin: Photodegradation, aquatic ecotoxicity, and field trial. Molecules 2022, 27, 5699. [Google Scholar] [CrossRef]
- Dias, L.D.; Blanco, K.C.; Mfouo-Tynga, I.S.; Inada, N.M.; Bagnato, V.S. Curcumin as a photosensitizer: From molecular structure to recent advances in antimicrobial photodynamic therapy. J. Photochem. Photobiol. C Photochem. Rev. 2020, 45, 100384. [Google Scholar] [CrossRef]
- Garbuio, M.; Lima, A.R.; Silva, K.J.S.; De Souza, M.; Inada, N.M.; Dias, L.D.; Bagnato, V.S. Influence of temperature combined with photodynamic inactivation on the development of Aedes aegypti. Photodiagnosis Photodyn. Ther. 2024, 45, 103977. [Google Scholar] [CrossRef]
- Perera, K.D.C.; Weragoda, G.K.; Haputhanthri, R.; Rodrigo, S.K. Study of concentration dependent curcumin interaction with serum biomolecules using ATR-FTIR spectroscopy combined with principal component analysis (PCA) and partial least square regression (PLS-R). Vib. Spectrosc. 2021, 116, 103288. [Google Scholar] [CrossRef]
- Garbuio, M.; Dias, L.D.; de Souza, L.M.; Corrêa, T.Q.; Mezzacappo, N.F.; Blanco, K.C.; de Oliveira, K.T.; Inada, N.M.; Bagnato, V.S. Formulations of curcumin and d-mannitol as a photolarvicide against Aedes aegypti larvae: Sublethal photolarvicidal action, toxicity, residual evaluation, and small-scale field trial. Photodiagnosis Photodyn. Ther. 2022, 38, 102740. [Google Scholar] [CrossRef]
- de Souza, L.M.; Venturini, F.P.; Inada, N.M.; Iermak, I.; Garbuio, M.; Mezzacappo, N.F.; de Oliveira, K.T.; Bagnato, V.S. Curcumin in formulations against Aedes aegypti: Mode of action, photolarvicidal and ovicidal activity. Photodiagnosis Photodyn. Ther. 2020, 31, 101840. [Google Scholar] [CrossRef]
- Priyadarsini, K. The Chemistry of curcumin: From extraction to therapeutic agent. Molecules 2014, 19, 20091–20112. [Google Scholar] [CrossRef]
- Adeluola, A.; Zulfiker, A.H.M.; Brazeau, D.; Amin, A.R.M.R. Perspectives for synthetic curcumins in chemoprevention and treatment of cancer: An update with promising analogues. Eur. J. Pharmacol. 2021, 906, 174266. [Google Scholar] [CrossRef] [PubMed]
- Hegde, M.; Girisa, S.; BharathwajChetty, B.; Vishwa, R.; Kunnumakkara, A.B. Curcumin formulations for better bioavailability: What we learned from clinical trials thus far? ACS Omega 2023, 8, 10713–10746. [Google Scholar] [CrossRef] [PubMed]
- de Gomes, M.G.; Borges Filho, C.; Haas, S.E. Technological Aspects and biological application of nanocapsules loaded with curcumin. In Reviews in Studies in Natural Products Chemistry; Elsevier: Amsterdam, The Netherlands, 2023; pp. 119–134. [Google Scholar]
- Kazakova, O.; Lipkovska, N.; Barvinchenko, V. Keto-enol tautomerism of curcumin in the preparation of nanobiocomposites with fumed silica. Spectrochim. Acta A Mol. Biomol. Spectrosc. 2022, 277, 121287. [Google Scholar] [CrossRef]
- Hartini, N.; Ponrasu, T.; Wu, J.-J.; Sriariyanun, M.; Cheng, Y.-S. Microencapsulation of curcumin in crosslinked jelly fig pectin using vacuum spray drying technique for effective drug delivery. Polymers 2021, 13, 2583. [Google Scholar] [CrossRef]
- Guo, J.; Li, P.; Kong, L.; Xu, B. Microencapsulation of curcumin by spray drying and freeze drying. LWT 2020, 132, 109892. [Google Scholar] [CrossRef]
- Lucas, J.; Ralaivao, M.; Estevinho, B.N.; Rocha, F. A new approach for the microencapsulation of curcumin by a spray drying method, in order to value food products. Powder Technol. 2020, 362, 428–435. [Google Scholar] [CrossRef]
- Manadas, R.; Pina, M.E.; Veiga, F. Dissolution studies in vitro as a prognostic tool for oral absorption of modified release pharmaceutical dosage forms. Rev. Bras. De. Ciências Farm. 2002, 38, 375–399. [Google Scholar]
- Rodrigues, L.C.; Ribeiro, A.P.; Silva, S.S.; Reis, R.L. Chitosan/virgin coconut oil-based emulsions doped with photosensitive curcumin loaded capsules: A functional carrier to topical treatment. Polymers 2024, 16, 641. [Google Scholar] [CrossRef]
- Silva, L.S.; Mar, J.M.; Azevedo, S.G.; Rabelo, M.S.; Bezerra, J.A.; Campelo, P.H.; Machado, M.B.; Trovati, G.; dos Santos, A.L.; da Fonseca Filho, H.D.; et al. Encapsulation of Piper aduncum and Piper hispidinervum essential oils in gelatin nanoparticles: A possible sustainable control tool of Aedes aegypti, Tetranychus urticae and Cerataphis lataniae. J. Sci. Food Agric. 2019, 99, 685–695. [Google Scholar] [CrossRef]
- World Health Organization. World Health Organization Guidelines for Laboratory and Field Testing of Mosquito Larvicides; World Health Organization: Geneva, Switzerland, 2005; pp. 1–41. [Google Scholar]
- Vani, J.M.; Monreal, M.T.F.D.; Auharek, S.A.; Cunha-Laura, A.L.; de Arruda, E.J.; Lima, A.R.; da Silva, C.M.; Antoniolli-Silva, A.C.M.B.; de Lima, D.P.; Beatriz, A.; et al. The mixture of cashew nut shell liquid and castor oil results in an efficient larvicide against Aedes aegypti that does not alter embryo-fetal development, reproductive performance or DNA integrity. PLoS ONE 2018, 13, e0193509. [Google Scholar] [CrossRef]
- Bhandari, B.R.; Datta, N.; Howes, T. Problems associated with spray drying of sugar-rich foods. Dry. Technol. 1997, 15, 671–684. [Google Scholar] [CrossRef]
- Cano-Higuita, D.M.; Malacrida, C.R.; Telis, V.R.N. Stability of curcumin microencapsulated by spray and freeze drying in binary and ternary matrices of maltodextrin, gum arabic and modified starch. J. Food Process Preserv. 2015, 39, 2049–2060. [Google Scholar] [CrossRef]
- Estevinho, B.N.; Damas, A.M.; Martins, P.; Rocha, F. Microencapsulation of β-galactosidase with different biopolymers by a spray-drying process. Food Res. Int. 2014, 64, 134–140. [Google Scholar] [CrossRef]
- Roshan, Z.; Haddadi-Asl, V.; Ahmadi, H.; Moussaei, M. Curcumin-encapsulated poly (lactic-Co-glycolic acid) nanoparticles: A comparison of drug release kinetics from particles prepared via electrospray and nanoprecipitation. Macromol. Mater. Eng. 2024, 309, 2400040. [Google Scholar] [CrossRef]
- Müller, R.H. Colloidal Carriers for Controlled Drug Delivery and Targeting: Modification, Characterization And In Vivo Distribution; CRC Press: Boca Raton, FL, USA, 1991. [Google Scholar]
- Chow, S.F.; Shi, L.; Ng, W.W.; Leung, K.H.Y.; Nagapudi, K.; Sun, C.C.; Chow, A.H.L. Kinetic Entrapment of a hidden curcumin cocrystal with phloroglucinol. Cryst. Growth Des. 2014, 14, 5079–5089. [Google Scholar] [CrossRef]
- Sasmita, H.I.; Tu, W.C.; Bong, L.J.; Neoh, K.B. Effects of larval diets and temperature regimes on life history traits, energy reserves and temperature tolerance of male Aedes aegypti (Diptera: Culicidae): Optimizing rearing techniques for the sterile insect programmes. Parasit. Vectors 2019, 12, 578. [Google Scholar]
- Chignell, C.F.; Bilskj, P.; Reszka, K.J.; Motten, A.G.; Sik, R.H.; Dahl, T.A. Spectral and photochemical properties of curcumIN. Photochem. Photobiol. 1994, 59, 295–302. [Google Scholar] [CrossRef]
- Ali, Z.; Saleem, M.; Atta, B.M.; Khan, S.S.; Hammad, G. Determination of curcuminoid content in turmeric using fluorescence spectroscopy. Spectrochim. Acta A Mol. Biomol. Spectrosc. 2019, 213, 192–198. [Google Scholar] [CrossRef]
- Nata, I.F.; Chen, K.-J.; Lee, C.-K. Facile microencapsulation of curcumin in acetylated starch microparticles. J. Microencapsul. 2014, 31, 344–349. [Google Scholar] [CrossRef]
- Chen, Z.; Xia, Y.; Liao, S.; Huang, Y.; Li, Y.; He, Y.; Tong, Z.; Li, B. Thermal degradation kinetics study of curcumin with nonlinear methods. Food Chem. 2014, 155, 81–86. [Google Scholar] [CrossRef]
- Liu, R.; Xu, C.; Cong, X.; Wu, T.; Song, Y.; Zhang, M. Effects of oligomeric procyanidins on the retrogradation properties of maize starch with different amylose/amylopectin ratios. Food Chem. 2017, 221, 2010–2017. [Google Scholar] [CrossRef] [PubMed]
- Lv, X.; Cao, H.; Li, G.; Zhu, M.; Ji, W.; Wang, K.; Zhang, C.; Su, C.; Ren, W.; Cai, D. Spent yeast-derived 3d porous carbon skeleton as low-cost d-mannitol supporting material for medium temperature thermal energy storage. Materials 2023, 16, 2569. [Google Scholar] [CrossRef] [PubMed]
- Parize, A.L.; Stulzer, H.K.; Laranjeira, M.C.M.; Brighente, I.M.d.C.; de Souza, T.C.R. Evaluation of chitosan microparticles containing curcumin and crosslinked with sodium tripolyphosphate produced by spray drying. Quim. Nova 2012, 35, 1127–1132. [Google Scholar] [CrossRef]
- Qin, Z.; Liu, H.-M.; Cheng, X.-C.; Wang, X.-D. Effect of drying pretreatment methods on structure and properties of pectins extracted from chinese quince fruit. Int. J. Biol. Macromol. 2019, 137, 801–808. [Google Scholar] [CrossRef] [PubMed]
- Jiang, Y.; Xu, Y.; Li, F.; Li, D.; Huang, Q. Pectin extracted from persimmon peel: A physicochemical characterization and emulsifying properties evaluation. Food Hydrocoll. 2020, 101, 105561. [Google Scholar] [CrossRef]
- Otegbayo, B.O.; Tanimola, A.R.; Ricci, J.; Gibert, O. Thermal properties and dynamic rheological characterization of dioscorea starch gels. Gels 2024, 10, 51. [Google Scholar] [CrossRef]
- Liu, X.; Yu, L.; Liu, H.; Chen, L.; Li, L. In situ thermal decomposition of starch with constant moisture in a sealed system. Polym. Degrad. Stab. 2008, 93, 260–262. [Google Scholar] [CrossRef]
- Xu, T.; Chen, Q.; Huang, G.; Zhang, Z.; Gao, X.; Lu, S. Preparation and thermal energy storage properties of d-mannitol/expanded graphite composite phase change material. Sol. Energy Mater. Sol. Cells 2016, 155, 141–146. [Google Scholar] [CrossRef]
- Opustilová, K.; Lapčíková, B.; Lapčík, L.; Gautam, S.; Valenta, T.; Li, P. Physico-Chemical study of curcumin and its application in O/W/O multiple emulsion. Foods 2023, 12, 1394. [Google Scholar] [CrossRef]
- Wani, K.M.; Uppaluri, R.V.S. Efficacy of ionic gelation based encapsulation of bioactives from papaya leaf extract: Characterization and storage stability. Biomass Convers. Biorefin 2024, 14, 19911–19928. [Google Scholar] [CrossRef]
- Batool, N.; Sarfraz, R.M.; Mahmood, A.; Rehman, U.; Zaman, M.; Akbar, S.; Almasri, D.M.; Gad, H.A. Development and evaluation of cellulose derivative and pectin based swellable ph responsive hydrogel network for controlled delivery of cytarabine. Gels 2023, 9, 60. [Google Scholar] [CrossRef]
- Godeck, R.; Kunzek, H.; Kabbert, R. Thermal analysis of plant cell wall materials depending on the chemical structure and pre-treatment prior to drying. Eur. Food Res. Technol. 2001, 213, 395–404. [Google Scholar] [CrossRef]
- Kaewnopparat, N.; Kaewnopparat, S.; Jangwang, A.; Maneenaun, D.; Chuchome, T.; Panichayupakaranant, P. Increased solubility, dissolution and physicochemical studies of curcumin-polyvinylpyrrolidone K-30 solid dispersions. World Acad. Sci. Eng. Technol. 2009, 55, 229–234. [Google Scholar]
- Yang, Y.; Liu, J.; Hu, A.; Nie, T.; Cheng, Z.; Liu, W. A critical review on engineering of d-mannitol crystals: Properties, applications, and polymorphic control. Crystals 2022, 12, 1080. [Google Scholar] [CrossRef]
- Li, B.; Konecke, S.; Wegiel, L.A.; Taylor, L.S.; Edgar, K.J. Both solubility and chemical stability of curcumin are enhanced by solid dispersion in cellulose derivative matrices. Carbohydr. Polym. 2013, 98, 1108–1116. [Google Scholar] [CrossRef] [PubMed]
- Kaur, R.; Khullar, P.; Mahal, A.; Gupta, A.; Singh, N.; Ahluwalia, G.K.; Bakshi, M.S. Keto-enol tautomerism of temperature and ph sensitive hydrated curcumin nanoparticles: Their role as nanoreactors and compatibility with blood cells. J. Agric. Food Chem. 2018, 66, 11974–11980. [Google Scholar] [CrossRef]
- Angelini, G.; Pasc, A.; Gasbarri, C. Curcumin in silver nanoparticles aqueous solution: Kinetics of keto-enol tautomerism and effects on AgNPs. Colloids Surf. A Physicochem. Eng. Asp. 2020, 603, 125235. [Google Scholar] [CrossRef]
- Kizil, R.; Irudayaraj, J.; Seetharaman, K. Characterization of irradiated starches by using FT-raman and FTIR spectroscopy. J. Agric. Food Chem. 2002, 50, 3912–3918. [Google Scholar] [CrossRef]
- Warren, F.J.; Gidley, M.J.; Flanagan, B.M. Infrared spectroscopy as a tool to characterise starch ordered structure—A Joint FTIR–ATR, NMR, XRD and DSC study. Carbohydr. Polym. 2016, 139, 35–42. [Google Scholar] [CrossRef]
- Bruni, G.; Berbenni, V.; Milanese, C.; Girella, A.; Cofrancesco, P.; Bellazzi, G.; Marini, A. Physico-Chemical characterization of anhydrous d-mannitol. J. Therm. Anal. Calorim. 2009, 95, 871–876. [Google Scholar] [CrossRef]
- Lin, J.; Huang, J.; Chen, J.; Lin, Z.; Ou, Y.; Yao, L.; Zhang, X.; Kang, Q.; Pan, Y. Low cytotoxic d-mannitol isolated from the industrial wastewater of Agaricus bisporus. J. Food Nutr. Res. 2016, 4, 610–614. [Google Scholar] [CrossRef]
- Sari, A.; Karaipekli, A.; Eroğlu, R.; Biçer, A. Erythritol tetra myristate and erythritol tetra laurate as novel phase change materials for low temperature thermal energy storage. Energy Sources Part A Recovery Util. Environ. Eff. 2013, 35, 1285–1295. [Google Scholar] [CrossRef]
- Tolun, A.; Sharifuzzaman, M.; Altintas, Z. Electrospun nanofibers of curcumin/HP-Beta-CD/pullulan complex with enhanced solubility and controlled release in food and drug delivery applications. Int. J. Biol. Macromol. 2025, 300, 140064. [Google Scholar] [CrossRef]
- Liu, C.; Du, W.; Zhang, L.; Wang, J. Natural synergy: Oleanolic acid-curcumin co-assembled nanoparticles combat osteoarthritis. Colloids Surf. B Biointerfaces 2025, 245, 114286. [Google Scholar] [CrossRef]
- Sun, X.Z.; Williams, G.R.; Hou, X.X.; Zhu, L.M. Electrospun curcumin-loaded fibers with potential biomedical applications. Carbohydr. Polym. 2013, 94, 147–153. [Google Scholar] [CrossRef]
- Gnanasambandam, R. Determination of pectin degree of esterification by diffuse reflectance fourier transform infrared spectroscopy. Food Chem. 2000, 68, 327–332. [Google Scholar] [CrossRef]
- Santos, E.E.; Amaro, R.C.; Bustamante, C.C.C.; Guerra, M.H.A.; Soares, L.C.; Froes, R.E.S. Extraction of pectin from agroindustrial residue with an ecofriendly solvent: Use of ftir and chemometrics to differentiate pectins according to degree of methyl esterification. Food Hydrocoll. 2020, 107, 105921. [Google Scholar] [CrossRef]
- Mezzacappo, N.F.; Souza, L.M.; Inada, N.M.; Dias, L.D.; Garbuio, M.; Venturini, F.P.; Corrêa, T.Q.; Moura, L.; Blanco, K.C.; Oliveira, K.T.; et al. Curcumin/D–Mannitol as Photolarvicide: Induced Delay in Larval Development Time, Changes in Sex Ratio and Reduced Longevity of Aedes Aegypti. In Reviews in Pest Management Science; John and Wiley and Sons: Hoboken, NJ, USA, 2021; Volume 77, pp. 2530–2538. ISBN 0000000299. [Google Scholar]
- Melo-Santos, M.A.V.; Varjal-Melo, J.J.M.; Araújo, A.P.; Gomes, T.C.S.; Paiva, M.H.S.; Regis, L.N.; Furtado, A.F.; Magalhaes, T.; Macoris, M.L.G.; Andrighetti, M.T.M.; et al. Resistance to the organophosphate temephos: Mechanisms, evolution and Reversion in an Aedes aegypti Laboratory Strain from Brazil. Acta Trop. 2010, 113, 180–189. [Google Scholar] [CrossRef]
- Cesar, F.; Betim, M.; Oliveira, C.F.D.; Montrucchio, D.P.; Miguel, O.G.; Miguel, M.D.; Bello, J.; Maurer, B.; de Fátima Gaspari Dias, J.; Dias, G. Short communication preliminary evaluation of the larvicidal activity of extracts and fractions from Ocotea Nutans (Nees) Mez against Aedes aegypti. Rev. Da Soc. Bras. De Med. Trop. 2021, 54, 2–5. [Google Scholar]
- Eukubay, A.; Getu, E.; Debebe, E.; Hadis, M. Larvicidal potential of some plant extracts against Anopheles arabiensis patton (diptera: Culicidae). Int. J. Trop. Insect Sci. 2020, 41, 479–485. [Google Scholar] [CrossRef]
- de Carvalho, G.H.F.; de Andrade, M.A.; de Araújo, C.N.; Santos, M.L.; de Castro, N.A.; Charneau, S.; Monnerat, R.; de Santana, J.M.; Bastos, I.M.D. Larvicidal and pupicidal activities of eco-friendly phenolic lipid products from anacardium occidentale nutshell against arbovirus vectors. Environ. Sci. Pollut. Res. 2019, 26, 5514–5523. [Google Scholar] [CrossRef]
- Lima, A.R.; Silva, C.M.; Caires, C.S.A.; Prado, E.D.; Rocha, L.R.P.; Cabrini, I.; Arruda, E.J.; Oliveira, S.L.; Caires, A.R.L. Evaluation of eosin-methylene blue as a photosensitizer for larval control of Aedes aegypti by a photodynamic process. Insects 2018, 9, 109. [Google Scholar] [CrossRef] [PubMed]
- de Souza, L.M.; Inada, N.M.; Venturini, F.P.; Carmona-Vargas, C.C.; Pratavieira, S.; de Oliveira, K.T.; Kurachi, C.; Bagnato, V.S. Photolarvicidal effect of curcuminoids from curcuma longa linn. against Aedes aegypti Larvae. J. Asia Pac. Entomol. 2019, 22, 151–158. [Google Scholar] [CrossRef]
- Wang, Y.-J.; Pan, M.-H.; Cheng, A.-L.; Lin, L.-I.; Ho, Y.-S.; Hsieh, C.-Y.; Lin, J.-K. Stability of curcumin in buffer solutions and characterization of its degradation products. J. Pharm. Biomed. Anal. 1997, 15, 1867–1876. [Google Scholar] [CrossRef]
- Boudko, D.Y.; Moroz, L.L.; Harvey, W.R.; Linser, P.J. Alkalinization by chloride/bicarbonate pathway in larval mosquito midgut. Proc. Natl. Acad. Sci. USA 2001, 98, 15354–15359. [Google Scholar] [CrossRef]
- Clements, A.N. The Physiology of Mosquitoes; Pergamon Press: London, UK, 1963. [Google Scholar]
- Paiva, F.L.P.; Silva, M.V.C.; Mendonça, A.L.F.; Araújo, C.S.; Sallum, L.O.; Aguiar, A.S.N.; Lima, A.R.; Napolitano, H.B.; Calvete, M.J.F.; Dias, L.D. Photocatalytic Degradation of Ciprofloxacin: A Combined Experimental and Theoretical Study Using Curcumin and Hydrogen Peroxide. Separations 2024, 11, 260. [Google Scholar] [CrossRef]
- Antoniazzi, C.; Castro, E.G.; Anaissi, F.J. Zirconium oxide and iron zirconate obtained from citrus pectin and nitrates applied in the photo-fenton-like process. Orbital Electron. J. Chem. 2018, 10, 386–394. [Google Scholar] [CrossRef]
- Korsmeyer, R.; Peppas, N. Macromolecular and modeling aspects of swelling controlled systems. Control. Release Deliv. Syst. 1983, 1983, 77–90. [Google Scholar]
- Maderuelo, C.; Zarzuelo, A.; Lanao, J.M. Critical factors in the release of drugs from sustained release hydrophilic matrices. J. Control. Release 2011, 154, 2–19. [Google Scholar] [CrossRef]
- Siepmann, J.; Siepmann, F. Mathematical modeling of drug dissolution. Int. J. Pharm. 2013, 453, 12–24. [Google Scholar] [CrossRef] [PubMed]
- Vinceković, M.; Jurić, S.; Đermić, E.; Topolovec-Pintarić, S. Kinetics and mechanisms of chemical and biological agents release from biopolymeric microcapsules. J. Agric. Food Chem. 2017, 65, 9608–9617. [Google Scholar] [CrossRef] [PubMed]
- Boyapally, H.; Nukala, R.K.; Bhujbal, P.; Douroumis, D. Controlled release from directly compressible theophylline buccal tablets. Colloids Surf. B Biointerfaces 2010, 77, 227–233. [Google Scholar] [CrossRef]
- Lopalco, A.; Marinaro, W.A.; Day, V.W.; Stella, V.J. Isolation, solubility, and characterization of d-mannitol esters of 4-methoxybenzeneboronic acid. J. Pharm. Sci. 2017, 106, 601–610. [Google Scholar] [CrossRef]


















| Curcumin (%) | D-Mannitol (%) | Pectin (%) | Starch (%) | |
|---|---|---|---|---|
| FCT1 | 10 | 30 | - | 60 |
| FCT2 | 10 | 30 | 35 | 25 |
| FCT3 | 10 | 30 | 17.5 | 42.5 |
| Formulations | LC50-24h (mg/L) | 95% Confidence Limit LC50 (Lower-Upper) | R2 |
|---|---|---|---|
| Curcumin | 23.02 | (17.100–32.180) | 0.991 |
| Microcapsule of curcumin | 0.40 | (0.283–0.604) | 0.990 |
| FCT1 | 1.07 | (0.805–1.431) | 0.987 |
| FCT2 | 0.27 | (0.068–0.335) | 0.998 |
| FCT3 | 1.89 | (0.921–2.452) | 0.985 |
| pH | k (mg/L/min) | n | R2 | Tmax (min) | Cmax (mg/L) | Release Mechanism |
|---|---|---|---|---|---|---|
| 3 | 4 × 10−5 | 1.19 | 0.98 | 180 | 0.02 | Super Case-II |
| 7 | 3.9 × 10−4 | 0.79 | 0.96 | 135 | 0.02 | Anomalous transport |
| 11 | 1.93 × 10−4 | 1 | 0.98 | 105 | 0.02 | Super Case-II |
Disclaimer/Publisher’s Note: The statements, opinions and data contained in all publications are solely those of the individual author(s) and contributor(s) and not of MDPI and/or the editor(s). MDPI and/or the editor(s) disclaim responsibility for any injury to people or property resulting from any ideas, methods, instructions or products referred to in the content. |
© 2025 by the authors. Licensee MDPI, Basel, Switzerland. This article is an open access article distributed under the terms and conditions of the Creative Commons Attribution (CC BY) license (https://creativecommons.org/licenses/by/4.0/).
Share and Cite
Garbuio, M.; Marila de Souza, L.; Dias, L.D.; Ferreira Machado, J.C.; Inada, N.M.; Barud, H.d.S.; Sanches, E.A.; Guimarães, F.E.G.; da Silva, A.P.; Lima, A.R.; et al. Curcumin Microcapsule Formulations for Prolong Persistence in the Photodynamic Inactivation of Aedes aegypti Larvae. Pharmaceutics 2025, 17, 496. https://doi.org/10.3390/pharmaceutics17040496
Garbuio M, Marila de Souza L, Dias LD, Ferreira Machado JC, Inada NM, Barud HdS, Sanches EA, Guimarães FEG, da Silva AP, Lima AR, et al. Curcumin Microcapsule Formulations for Prolong Persistence in the Photodynamic Inactivation of Aedes aegypti Larvae. Pharmaceutics. 2025; 17(4):496. https://doi.org/10.3390/pharmaceutics17040496
Chicago/Turabian StyleGarbuio, Matheus, Larissa Marila de Souza, Lucas Danilo Dias, Jean Carlos Ferreira Machado, Natalia Mayumi Inada, Hernane da Silva Barud, Edgar Aparecido Sanches, Francisco Eduardo Gontijo Guimarães, Ana Paula da Silva, Alessandra Ramos Lima, and et al. 2025. "Curcumin Microcapsule Formulations for Prolong Persistence in the Photodynamic Inactivation of Aedes aegypti Larvae" Pharmaceutics 17, no. 4: 496. https://doi.org/10.3390/pharmaceutics17040496
APA StyleGarbuio, M., Marila de Souza, L., Dias, L. D., Ferreira Machado, J. C., Inada, N. M., Barud, H. d. S., Sanches, E. A., Guimarães, F. E. G., da Silva, A. P., Lima, A. R., & Bagnato, V. S. (2025). Curcumin Microcapsule Formulations for Prolong Persistence in the Photodynamic Inactivation of Aedes aegypti Larvae. Pharmaceutics, 17(4), 496. https://doi.org/10.3390/pharmaceutics17040496

