Tolerability and Pharmacokinetic Evaluation of Inhaled Dry Powder Tobramycin in Children with Cystic Fibrosis
Abstract
1. Introduction
2. Materials and Methods
2.1. Study Design and Participants
2.2. Study Drugs
2.3. Inhalation Instruction
2.4. Local Tolerability
2.5. Systemic Exposure
2.6. Delivered Dose
2.7. Pressure Drop of the Cyclops
3. Results
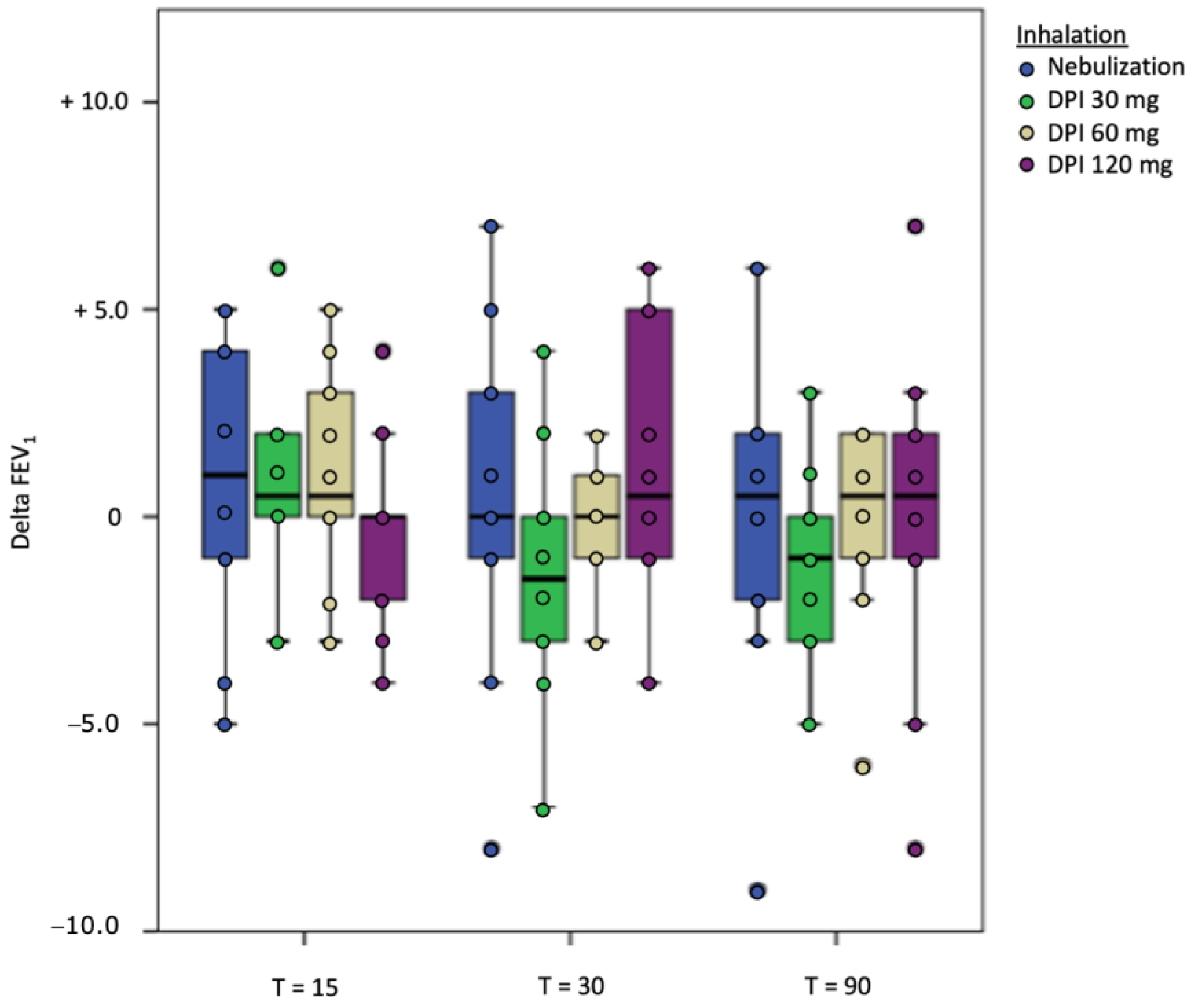
3.1. Tolerability
3.2. Pharmacokinetic Analysis
3.3. Recording of Inspiratory Flow
4. Discussion
5. Conclusions
Author Contributions
Funding
Institutional Review Board Statement
Informed Consent Statement
Data Availability Statement
Conflicts of Interest
Abbreviations
| AUC | Area under the curve |
| CCMO | Central Committee on Research involving Human Subjects |
| CF | Cystic Fibrosis |
| Cmax | Maximum concentration |
| DBS | Dried blood spot |
| DPI | Dry powder inhalation |
| FEV1 | Forced expiratory volume in 1 s |
| LLOQ | Lower limit of quantitation |
| PwCF | Patients with Cystic Fibrosis |
| UMCG | University Medical Center Groningen |
References
- David, P.B. Cystic fibrosis. Pediatr. Rev. 2001, 22, 257–264. [Google Scholar] [CrossRef] [PubMed]
- Aebi, C.; Bracher, R.; Liechti-Gallati, S.; Tschäppeler, H.; Rüdeberg, A.; Kraemer, R. The age at onset of chronic Pseudomonas aeruginosa colonization in cystic fibrosis: Prognostic significance. Eur. J. Pediatr. 1995, 154, S69–S73. [Google Scholar] [CrossRef] [PubMed]
- Ballmann, M.; Rabsch, P.; von der Hardt, H. Long-term follow up of changes in FEV1 and treatment intensity during Pseudomonas aeruginosa colonisation in patients with cystic fibrosis. Thorax 1998, 53, 732–737. [Google Scholar] [CrossRef] [PubMed]
- Emerson, J.; Rosenfeld, M.; McNamara, S.; Ramsey, B.; Gibson, R.L. Pseudomonas aeruginosa and other predictors of mortality and morbidity in young children with cystic fibrosis. Pediatr. Pulmonol. 2002, 34, 91–100. [Google Scholar] [CrossRef]
- Schaedel, C.; de Monestrol, I.; Hjelte, L.; Johannesson, M.; Kornfält, R.; Lindblad, A.; Strandvik, B.; Wahlgren, L.; Holmberg, L. Predictors of deterioration of lung function in cystic fibrosis. Pediatr. Pulmonol. 2002, 33, 483–491. [Google Scholar] [CrossRef]
- Govan, J.R.W.; Deretic, V. Microbial pathogenesis in cystic fibrosis: Mucoid Pseudomonas aeruginosa and Burkholderia cepacia. Microbiol. Rev. 1996, 60, 539–574. [Google Scholar] [CrossRef]
- FitzSimmons, S.C. The changing epidemiology of cystic fibrosis. J. Pedatr. 1993, 340, 1–9. [Google Scholar] [CrossRef]
- Hisert, K.B.; Heltshe, S.L.; Pope, C.; Jorth, P.; Wu, X.; Edwards, R.M.; Radey, M.; Accurso, F.J.; Wolter, D.J.; Cooke, G.; et al. Restoring cystic fibrosis transmembrane conductance regulator function reduced airway bacteria and inflammation in people with cystic fibrosis and chronic lung infections. Am. J. Respir. Crit. Care Med. 2017, 195, 1617–1628. [Google Scholar] [CrossRef]
- Saiman, L. Improving outcomes of infections in cystic fibrosis in the era of CFTR modulator therapy. Pediatr. Pulmonol. 2019, 54, S18–S26. [Google Scholar] [CrossRef]
- Mogayzel, P.J.; Naureckas, E.T.; Robinson, K.A.; Brady, C.; Guill, M.; Lahiri, T.; Lubsch, L.; Matsui, J.; Oermann, C.M.; Ratjen, F.; et al. Cystic Fibrosis Foundation pulmonary guideline. Pharmacologic approaches to prevention and eradication of initial pseudomonas aeruginosa infection. Ann. Am. Thorac. Soc. 2014, 11, 1640–1650. [Google Scholar] [CrossRef]
- Langton Hewer, S.C.; Smyth, A.R. Antibiotic strategies for eradication Pseudomonas aeruginosa in people with cystic fibrosis. Cochrane Rev. 2017, 4, CD004197. [Google Scholar]
- Elborn, J.S.; Vataire, A.L.; Fukushima, A.; Aballea, A.; Khemiri, A.; Moore, C.; Medic, G.; Hemels, M.E.H. Comparison of Inhaled Antibiotics for the Treatment of Chronic Pseudomonas aeruginosa Lung Infection in Patients With Cystic Fibrosis: Systematic Literature Review and Network Meta-analysis. Clin. Ther. 2016, 38, 2204–2226. [Google Scholar] [CrossRef] [PubMed]
- Smith, A.; Rowbotham, N.J. Inhaled anti-pseudomonal antibiotics for long-term therapy in cystic fibrosis. Cochrane Database Syst. Rev. 2022, 11, CD001021. [Google Scholar] [CrossRef]
- Ramsey, B.W.; Pepe, M.S.; Quan, J.M.; Otto, K.L.; Montgomery, A.B.; Williams-Warren, J.; Vasiljev-K, M.; Borowitz, D.; Bowman, C.M.; Marshall, B.C.; et al. Intermittent administration of inhaled tobramycin in patients with cystic fibrosis. Cystic Fibrosis Inhaled Tobramycin Study Group. N. Engl. J. Med. 1999, 340, 23–30. [Google Scholar] [CrossRef] [PubMed]
- Murphy, T.D.; Anbar, R.D.; Lester, L.A.; Nasr, S.Z.; Nickerson, B.; VanDevanter, D.R.; Colin, A.A. Treatment with tobramycin solution for inhalation reduces hospitalizations in young CF subjects with mild lung disease. Pediatr. Pulmonol. 2004, 38, 314–320. [Google Scholar] [CrossRef]
- Sawicki, G.S.; Signorovithc, J.E.; Zhang, J.; Latremouille-Viau, D.; von Wartburg, M.; Wu, E.Q.; Shi, L. Reduced mortality in cystic fibrosis patients treated with tobramycin inhalation solution. Pediatr. Pulmonol. 2012, 47, 44–52. [Google Scholar] [CrossRef] [PubMed]
- Bowman, C.M. The long-term use of inhaled tobramycin in patients with cystic fibrosis. J. Cyst. Fibros. 2002, 1, 194–198. [Google Scholar] [CrossRef]
- Moss, R.B. Long term benefits of inhaled tobramycin in adolescent patients with cystic fibrosis. Chest 2002, 121, 55–63. [Google Scholar] [CrossRef]
- Yahya, H. Dallal Bashi, Rachel Mairs, Rand Murtadha and Vicky Kett. Pulmonary Delivery of Antibiotics to the Lungs: Current State and Future Prospects. Pharmaceutics 2025, 17, 111. [Google Scholar]
- Gibson, R.L.; Emerson, J.; McNamara, S.; Burns, J.L.; Rosenfeld, M.; Ynker, A.; Hamblett, N.; Accurso, F.; Dovey, M.; Hiatt, P.; et al. Significant microbiological effect of inhaled tobramycin in young children with cystic fibrosis. Am. J. Respir. Crit. Care Med. 2003, 167, 841–849. [Google Scholar] [CrossRef]
- Wiesemann, H.G.; Steinkamp, G.; Ratjen, F.; Bauernfeind, A.; Przyklenk, B.; Döring, G.; von der Hardt, H. Placebo-controlled, double-blind, randomized study of aerosolized tobramycin for early treatment of Pseudomonas aeruginosa colonization in cystic fibrosis. Pediatr. Pulmonol. 1998, 25, 88–92. [Google Scholar] [CrossRef]
- Proesmans, M.; Vermeulen, F.; Boulanger, L.; Verhaegen, J.; De Boeck, K. Comparison of two treatment regimens for eradication of Pseudomonas aeruginosa infection in children with cystic fibrosis. J. Cyst. Fibros. 2013, 12, 29–34. [Google Scholar] [CrossRef]
- Tiddens, H.A.W.M.; Bos, A.C.; Mouton, J.W.; Devadason, S.; Janssens, H.M. Inhaled antibiotics: Dry or wet? Eur. Respir. J. 2014, 44, 1308–1318. [Google Scholar] [CrossRef] [PubMed]
- Konstan, M.W.; Flume, P.A.; Kappler, M.; Chiron, R.; Higgins, M.; Brockhaus, F.; Zhang, J.; Angyalosi, G.; He, E.; Geller, D.E. Safety, efficacy and convenience of tobramycin inhalation powder in cystic fibrosis patients: The EAGER trial. J. Cyst. Fibros. 2011, 10, 54–61. [Google Scholar] [CrossRef]
- Sawicki, G.S.; Sellers, D.E.; Robinson, W.M. High treatment burden in adults with cystic fibrosis: Challenges to disease self-management. J. Cyst. Fibros. 2009, 8, 91–96. [Google Scholar] [CrossRef]
- Riquena, B.; Monte, L.F.V.; Lopes, A.J.; Ferreira da Silva-Filho, L.V.R.; Damaceno, N.; da Silva Aquino, E.; Marostica, P.J.C.; Ribeiro, J.D. Microbiological contamination of nebulizers used by cystic fibrosis patients: An underestimated problem. J. Bras. Pneumol. 2019, 45, e20170351. [Google Scholar] [CrossRef] [PubMed]
- Peckham, D.; Williams, K.; Wynne, S.; Denton, M.; Pollard, K.; Barton, R. Fungal contamination of nebuliser devices used by people with cystic fibrosis. J. Cyst. Fibros. 2016, 15, 74–77. [Google Scholar] [CrossRef]
- Bell, J.; Alexander, L.; Carson, J.; Crossan, A.; McCaughan, J.; Mills, H.; O'Neill, D.; Moore, J.E.; Millar, B.C. Nebuliser hygiene in cystic fibrosis: Evidence-based recommendations. Breathe 2020, 16, 190328. [Google Scholar] [CrossRef]
- Akkerman-Nijland, A.M.; Grasmeijer, F.; Kerstjens, H.A.M.; Frijlink, H.W.; van der Vaart, H.; Vonk, J.M.; Hagedoorn, P.; Rottier, B.L.; Koppelman, G.H.; Akkerman, O.W. Colistin dry powder inhalation with the Twincer™: An effective and more patient friendly alternative to nebulization. PLoS ONE 2020, 15, e0239658. [Google Scholar] [CrossRef]
- Akkerman-Nijland, A.M.; Yousofi, M.; Rottier, B.L.; van der Vaart, H.; Burgerhof, J.G.M.; Frijlink, H.W.; Touw, D.J.; Koppelman, G.H.; Akkerman, O.W. Eradication of Pseudomonas aeruginosa in cystic fibrosis patients with inhalation of dry powder tobramycin. Ther. Adv. Respir. Dis. 2020, 14, 1753466620905279. [Google Scholar] [CrossRef]
- Hoppentocht, M.; Akkerman, O.W.; Hagedoorn, P.; Frijlink, H.W.; De Boer, A.H. The Cyclops for pulmonary delivery of aminoglycosides; a new member of the Twincer family. Eur. J. Pharm. Biopharm. 2015, 90, 8–15. [Google Scholar] [CrossRef]
- Community Register of Orphan Medicinal Products. Available online: https://ec.europa.eu/health/documents/community-register/html/o2997.htm (accessed on 3 March 2025).
- Hoppentocht, M.; Akkerman, O.W.; Hagedoorn, P.; Alffenaar, J.W.; van der Werf, T.; Kerstjens, H.; Frijlink, H.; de Boer, A. Evaluation of inhaled dry powder tobramycin free base in non-cystic fibrosis bronchiectasis patients. PLoS ONE 2016, 11, PA2562. [Google Scholar] [CrossRef] [PubMed]
- Lexmond, A.J.; Hagedoorn, P.; Frijlink, H.W.; Rottier, B.L.; de Boer, A.H. Prerequisites for a dry powder inhaler for children with cystic fibrosis. PLoS ONE 2017, 12, e0183130. [Google Scholar] [CrossRef]
- Golshahi, L.; Finlay, W.H. An idealized child throat that mimics average pediatric oropharyngeal deposition. Aerosol Sci. Technol. 2012, 46, 1–4. [Google Scholar] [CrossRef]
- Amirav, I.; Newhouse, M.T. Deposition of small particles in the developing lung. Paediatr. Respir. Rev. 2012, 13, 73–78. [Google Scholar] [CrossRef] [PubMed]
- Lindert, S.; Below, A.; Breitkreutz, J. Performance of dry powder inhalers with single dosed capsules in preschool children and adults using improved upper airway models. Pharmaceutics 2014, 6, 36–51. [Google Scholar] [CrossRef] [PubMed]
- de Reus, Y.A.; Hagedoorn, P.; Sturkenboom, M.G.G.; Grasmeijer, F.; Bolhuis, M.S.; Sibum, I.; Kerstjens, H.A.M.; Frijlink, H.W.; Akkerman, O.W. Tolerability and pharmacokinetic evaluation of inhaled dry powder hydroxychloroquine in healthy volunteers. PLoS ONE 2022, 17, e0272034. [Google Scholar] [CrossRef]
- Martial, L.C.; Hoogtanders, K.E.J.; Schreuder, M.F.; Cornelissen, E.A.; van der Heijden, J.; Joore, M.A.; Van Maarseveen, E.M.; Burger, D.M.; Croes, S.; Brüggemann, R.J.M.; et al. Dried blood spot sampling for tacrolimus and mycophenolic acid in children: Analytical and clinical validation. Ther. Drug Monit. 2017, 39, 412–421. [Google Scholar] [CrossRef]
- Geller, D.E.; Konstan, M.W.; Smith, J.; Noonberg, S.B.; Conrad, C. Novel tobramycin inhalation powder in cystic fibrosis subjects: Pharmacokinetics and safety. Pediatr. Pulmonol. 2007, 42, 307–313. [Google Scholar] [CrossRef]
- Carrigy, N.B.; Ruzycki, C.A.; Golshahi, L.; Finlay, W.H. Pediatric in vitro and insilico models of deposition via oral and nasal inhalation. J. Aerosol Med. Pulm. Drug Deliv. 2014, 27, 149–169. [Google Scholar] [CrossRef]
- Westerman, E.M.; De Boer, A.H.; Le Brun, P.P.; Touw, D.J.; Frijlink, H.W.; Heijerman, H.G.M. Dry powder inhalation of colistin sulphomethate in healthy volunteers: A pilot study. Int. J. Pharm. 2007, 335, 41–45. [Google Scholar] [CrossRef] [PubMed]
- Whatley, W.S.; Chandra, R.K.; MacDonald, C.B. Systemic absorption of gentamicin nasal irrigatons. Am. J. Rhinol. 2006, 20, 251–254. [Google Scholar] [CrossRef] [PubMed]
- Lexmond, A.J.; Kruizinga, T.J.; Hagedoorn, P.; Rottier, B.L.; Frijlink, H.W.; De Boer, A.H. Effect of inhaler design variables on paediatric use of dry powder inhalers. PLoS ONE 2014, 9, e99304. [Google Scholar] [CrossRef]
- Summary of Product Characteristics, Emit® 2000 Tobramycin Assay. Available online: https://imgcdn.mckesson.com/CumulusWeb/Click_and_learn/SDS_SEDISE_REAGENT_EMIT_2000_TOBRAMYCIN_30ML.pdf (accessed on 3 March 2025).
- Le Brun, P.P.; De Boer, A.H.; Mannes, G.P.; de Fraîture, D.M.I.; Brimicombe, R.W.; Touw, D.J.; Vinks, A.A.; Frijlink, H.W.; Heijerman, H.G.M. Dry powder inhalation of antibiotics in cystic fibrosis therapy: Part 2. Inhalation of a novel colistin dry powder formulation: A feasibility study in healthy volunteers and patients. Eur. J. Pharm. Biopharm. 2002, 54, 25–32. [Google Scholar] [CrossRef] [PubMed]
- Pilcer, G.; Goole, J.; Van Gansbeke, B.; Blocklet, D.; Knoop, C.; Vanderbist, F.; Amighi, K. Pharmacoscintigraphic and pharmacokinetic evaluation of tobramycin DPI formulations in cystic fibrosis patients. Eur. J. Pharm. Biopharm. 2008, 68, 413–421. [Google Scholar] [CrossRef]
- Stockmann, C.; Roberts, J.K.; Yellepeddi, V.K.; Sherwin, C.M.T. Clinical pharmacokinetics of inhaled antimicrobials. Clin. Pharmacokinet. 2015, 54, 473–492. [Google Scholar] [CrossRef]




| Inclusion criteria |
|
| Exclusion criteria |
|
| Sex, n (%) | |
| Male | 6 (60.0) |
| Female | 4 (40.0) |
| Age in years, mean (range) | 11.5 (7.4–17.6) |
| BMI, mean (range) | 18.0 (13.8–24.3) |
| CFTR mutation, n (%) | |
| Homozygote_Phe508del | 6 (60.0) |
| Heterozygote_Phe508del | 4 (40.0) |
| Other | - |
| Comorbidities, n (%) | |
| Cystic fibrosis-related diabetes (CFRD) | 2 (20.0) |
| Cystic fibrosis-related liver disease (CFLD) | 3 (30.0) |
| Pancreas insufficiency | 7 (70.0) |
| Osteoporosis | 1 (10.0) |
| Forced Expiratory Volume in one second | |
| Percentage of predicted, mean (range, ±SD) | 94.0 (78.0–121.0, ±15.3) |
| Absolute (litres), mean (range, ±SD) | 2.1 (1.3–3.0, ±0.6) |
| Coinfection with pathogens, n (%) | |
| Pseudomonas aeruginosa | |
| Chronic | 1 (10.0) |
| Intermittent | 0 |
| Free | 3 (30.0) |
| Never | 6 (60.0) |
| Staphylococcus Aureus | 7 (70.0) |
| Haemophilus Influenza | 1 (10.0) |
| Streptococcus Pneumoniae | 0 |
| Aspergillus | 2 (20.0) |
| Acinetobacter | 1 (10.0) |
| Stenotrophomonas Maltophilia | 1 (10.0) |
| Burkhholderia | 0 |
| Non-tuberculosis Mycobacteria | 0 |
| Nebulization 300 mg | DPI 30 mg | DPI 60 mg | DPI 120 mg | |
|---|---|---|---|---|
| Maximal drop in FEV1 in %pred | 9% | 7% | 6% | 8% |
| Median drop in FEV1 in %pred (range) | 0 (0 to −9) | −2 (0 to −7) | −1.5 (0 to −6) | −0.5 (0 to −8) |
| Mean delta FEV1 in %pred(range) | 0.5 (−9 to +7) | −1.8 (−7 to +6) | −0.9 (−6 to +5) | 0.2 (−8 to +7) |
| Cough | 1/10 | 2/10 | 2/10 | 2/10 |
| Bad taste | 6/10 | 1/10 | 1/10 | 2/10 |
| Nebulization 300 mg | DPI 30 mg | DPI 60 mg | DPI 120 mg | |
|---|---|---|---|---|
| Mean delivered dose, in mg | 134.8 | 16.1 | 30.1 | 79.5 |
| Delivered dose min–max, in mg | 63.6–170.9 | 11.1–25.8 | 12.8–49.1 | 54.0–83.9 |
| Delivered dose 25–75th percentile | 77.8–151.9 | 13.5–18.3 | 21.3–35.2 | 57.4–83.9 |
| AUC0–8 (h mg/L) | 1.30 ± 1.34 | Not detectable | 0.45 (1/10 patients) | 1.00 ± 0.62 (3/10 patients) |
| Cmax (mg/L), ±SD | 0.42 ± 0.33 | Not detectable | 0.19 (1/10 patients) | 0.45 ± 0.37 (3/10 patients) |
| Inhalation Dry Powder Tobramycin 120 mg | |
|---|---|
| Inhaled total volume, in liters, median (min–max) | 0.65 (0.49–1.64) |
| Pressure drop, in kPa, mean (SD) | 4.73 (±0.71) |
| Total inspiration time, in seconds, median (min–max) | 1.79 (±1.48–4.28) |
Disclaimer/Publisher’s Note: The statements, opinions and data contained in all publications are solely those of the individual author(s) and contributor(s) and not of MDPI and/or the editor(s). MDPI and/or the editor(s) disclaim responsibility for any injury to people or property resulting from any ideas, methods, instructions or products referred to in the content. |
© 2025 by the authors. Licensee MDPI, Basel, Switzerland. This article is an open access article distributed under the terms and conditions of the Creative Commons Attribution (CC BY) license (https://creativecommons.org/licenses/by/4.0/).
Share and Cite
Akkerman-Nijland, A.M.; Hagedoorn, P.; Rottier, B.L.; Grasmeijer, F.; Frijlink, H.W.; van Luin, M.; ter Weijden, E.; Merkus, P.J.; Touw, D.J.; Akkerman, O.W.; et al. Tolerability and Pharmacokinetic Evaluation of Inhaled Dry Powder Tobramycin in Children with Cystic Fibrosis. Pharmaceutics 2025, 17, 347. https://doi.org/10.3390/pharmaceutics17030347
Akkerman-Nijland AM, Hagedoorn P, Rottier BL, Grasmeijer F, Frijlink HW, van Luin M, ter Weijden E, Merkus PJ, Touw DJ, Akkerman OW, et al. Tolerability and Pharmacokinetic Evaluation of Inhaled Dry Powder Tobramycin in Children with Cystic Fibrosis. Pharmaceutics. 2025; 17(3):347. https://doi.org/10.3390/pharmaceutics17030347
Chicago/Turabian StyleAkkerman-Nijland, Anne M., Paul Hagedoorn, Bart L. Rottier, Floris Grasmeijer, Henderik (Erik) W. Frijlink, Mathijs van Luin, E. ter Weijden, Peter J. Merkus, Daan J. Touw, Onno W. Akkerman, and et al. 2025. "Tolerability and Pharmacokinetic Evaluation of Inhaled Dry Powder Tobramycin in Children with Cystic Fibrosis" Pharmaceutics 17, no. 3: 347. https://doi.org/10.3390/pharmaceutics17030347
APA StyleAkkerman-Nijland, A. M., Hagedoorn, P., Rottier, B. L., Grasmeijer, F., Frijlink, H. W., van Luin, M., ter Weijden, E., Merkus, P. J., Touw, D. J., Akkerman, O. W., & Koppelman, G. H. (2025). Tolerability and Pharmacokinetic Evaluation of Inhaled Dry Powder Tobramycin in Children with Cystic Fibrosis. Pharmaceutics, 17(3), 347. https://doi.org/10.3390/pharmaceutics17030347

