Evaluating Swellable Cross-Linked Biopolymer Impact on Ink Rheology and Mechanical Properties of Drug-Contained 3D-Printed Thin Film
Abstract
1. Introduction
2. Materials and Methods
2.1. Materials
2.2. Design of Thin Film
2.3. Preparation of Ink for Printing
2.4. Fabrication of 3D Films
2.5. Rheological Characterization of Ink
2.6. Characterization Techniques of Film
2.6.1. Mechanical Properties of Film
2.6.2. X-Ray Diffractometer (XRD) Analysis
2.6.3. Differential Scanning Calorimetry (DSC)
2.6.4. Scanning Electron Microscopy (SEM)
2.6.5. Determination of Drug Loading and Uniformity in Films
2.6.6. Dissolution of Film
3. Results and Discussion
3.1. Evaluate Ink Rheology
3.1.1. Flow Test
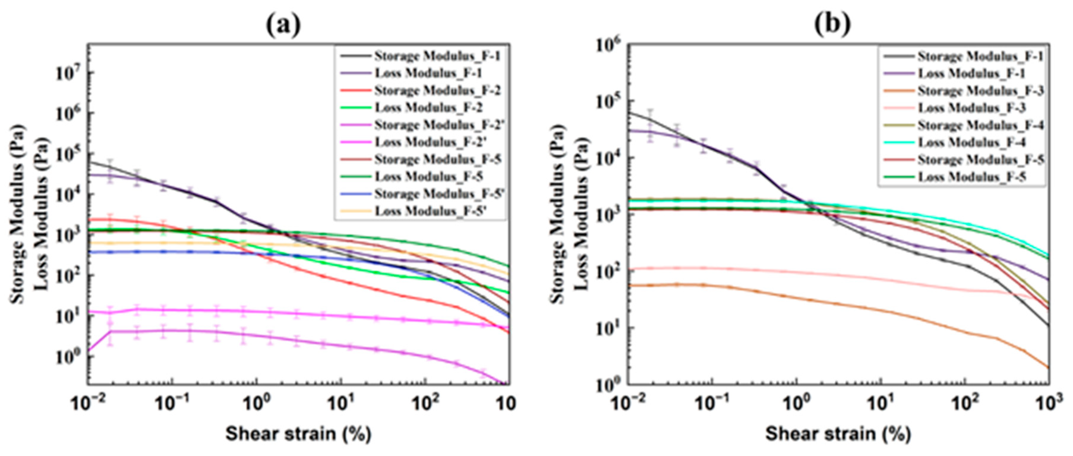
3.1.2. Amplitude Sweep Tests
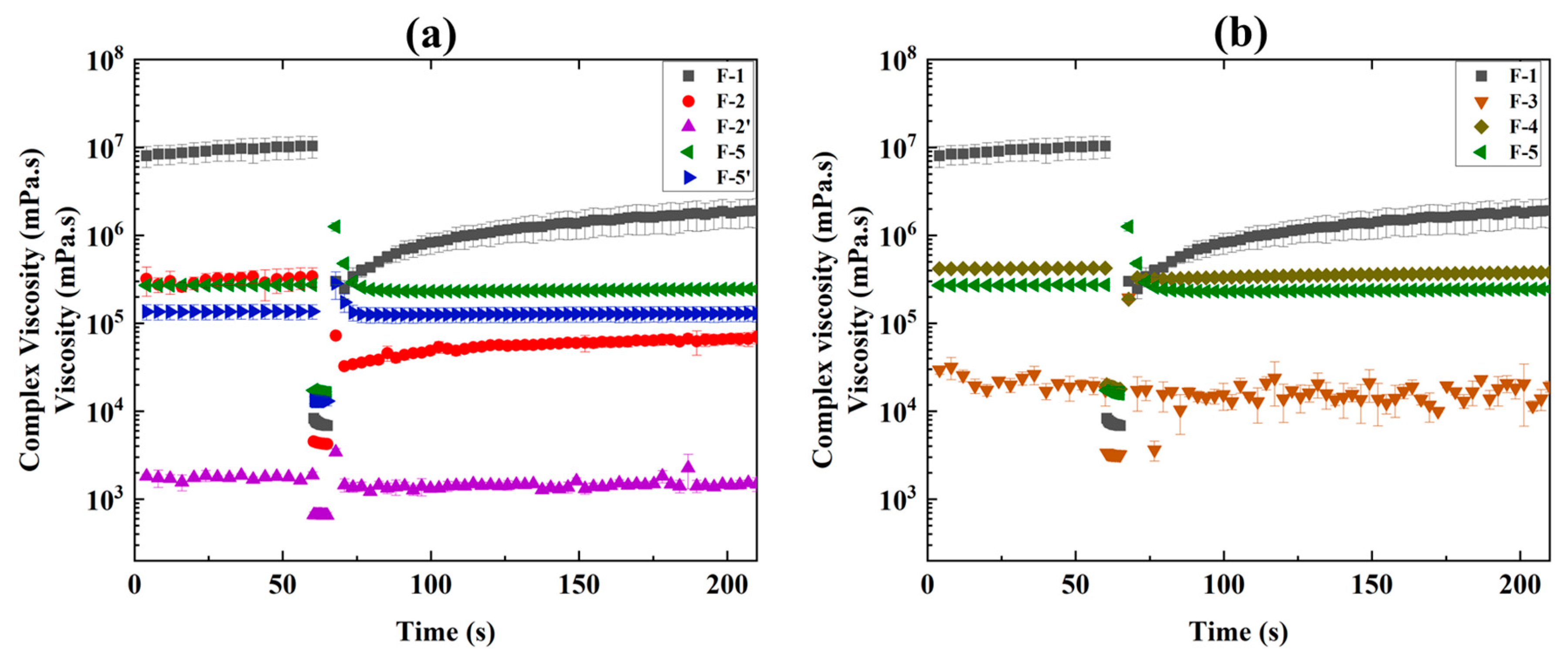
3.1.3. Thixotropy Test
3.2. Mechanical Properties of Film
3.3. Fenofibrate Particles Crystallinity in Film
3.4. Analysis of FNB Particle Distribution in Films
3.5. Drug Loading and Dissolution of FNB Particles from Films
4. Conclusions
Supplementary Materials
Author Contributions
Funding
Data Availability Statement
Acknowledgments
Conflicts of Interest
References
- Borges, A.F.; Silva, C.; Coelho, J.F.J.; Simões, S. Oral Films: Current Status and Future Perspectives II — Intellectual Property, Technologies and Market Needs. J. Control. Release 2015, 206, 108–121. [Google Scholar] [CrossRef] [PubMed]
- Özakar, R.S.; Özakar, E. Current Overview of Oral Thin Films. Turk. J. Pharm. Sci. 2021, 18, 111–121. [Google Scholar] [CrossRef] [PubMed]
- Speer, I.; Steiner, D.; Thabet, Y.; Breitkreutz, J.; Kwade, A. Comparative Study on Disintegration Methods for Oral Film Preparations. Eur. J. Pharm. Biopharm. 2018, 132, 50–61. [Google Scholar] [CrossRef] [PubMed]
- Khan, N.; Dogra, S.S.; Saneja, A. The Dawning Era of Oral Thin Films for Nutraceutical Delivery: From Laboratory to Clinic. Biotechnol. Adv. 2024, 73, 108362. [Google Scholar] [CrossRef]
- Ullah, M.; Wahab, A.; Khan, S.U.; Naeem, M.; ur Rehman, K.; Ali, H.; Ullah, A.; Khan, A.; Khan, N.R.; Rizg, W.Y.; et al. 3D Printing Technology: A New Approach for the Fabrication of Personalized and Customized Pharmaceuticals. Eur. Polym. J. 2023, 195, 112240. [Google Scholar] [CrossRef]
- Jamróz, W.; Kurek, M.; Łyszczarz, E.; Szafraniec, J.; Knapik-Kowalczuk, J.; Syrek, K.; Paluch, M.; Jachowicz, R. 3D Printed Orodispersible Films with Aripiprazole. Int. J. Pharm. 2017, 533, 413–420. [Google Scholar] [CrossRef] [PubMed]
- Germini, G.; Peltonen, L. 3D Printing of Drug Nanocrystals for Film Formulations. Molecules 2021, 26, 3941. [Google Scholar] [CrossRef] [PubMed]
- Pandey, M.; Choudhury, H.; Fern, J.L.C.; Kee, A.T.K.; Kou, J.; Jing, J.L.J.; Her, H.C.; Yong, H.S.; Ming, H.C.; Bhattamisra, S.K.; et al. 3D Printing for Oral Drug Delivery: A New Tool to Customize Drug Delivery. Drug Deliv. Transl. Res. 2020, 10, 986–1001. [Google Scholar] [CrossRef] [PubMed]
- de Carvalho, A.C.W.; Paiva, N.F.; Demonari, I.K.; Duarte, M.P.F.; do Couto, R.O.; de Freitas, O.; Vicentini, F.T.M. de C. The Potential of Films as Transmucosal Drug Delivery Systems. Pharmaceutics 2023, 15, 2583. [Google Scholar] [CrossRef]
- Azad, M.A.; Olawuni, D.; Kimbell, G.; Badruddoza, A.Z.M.; Hossain, M.S.; Sultana, T. Polymers for Extrusion-Based 3D Printing of Pharmaceuticals: A Holistic Materials–Process Perspective. Pharmaceutics 2020, 12, 124. [Google Scholar] [CrossRef]
- Chen, G.; Xu, Y.; Chi Lip Kwok, P.; Kang, L. Pharmaceutical Applications of 3D Printing. Addit. Manuf. 2020, 34, 101209. [Google Scholar] [CrossRef]
- Serrano, D.R.; Kara, A.; Yuste, I.; Luciano, F.C.; Ongoren, B.; Anaya, B.J.; Molina, G.; Diez, L.; Ramirez, B.I.; Ramirez, I.O.; et al. 3D Printing Technologies in Personalized Medicine, Nanomedicines, and Biopharmaceuticals. Pharmaceutics 2023, 15, 313. [Google Scholar] [CrossRef]
- Parulski, C.; Jennotte, O.; Lechanteur, A.; Evrard, B. Challenges of Fused Deposition Modeling 3D Printing in Pharmaceutical Applications: Where Are We Now? Adv. Drug Deliv. Rev. 2021, 175, 113810. [Google Scholar] [CrossRef] [PubMed]
- Ghanizadeh Tabriz, A.; Nandi, U.; Hurt, A.P.; Hui, H.-W.; Karki, S.; Gong, Y.; Kumar, S.; Douroumis, D. 3D Printed Bilayer Tablet with Dual Controlled Drug Release for Tuberculosis Treatment. Int. J. Pharm. 2021, 593, 120147. [Google Scholar] [CrossRef] [PubMed]
- El Aita, I.; Rahman, J.; Breitkreutz, J.; Quodbach, J. 3D-Printing with Precise Layer-Wise Dose Adjustments for Paediatric Use via Pressure-Assisted Microsyringe Printing. Eur. J. Pharm. Biopharm. 2020, 157, 59–65. [Google Scholar] [CrossRef] [PubMed]
- Khaled, S.A.; Burley, J.C.; Alexander, M.R.; Yang, J.; Roberts, C.J. 3D Printing of Five-in-One Dose Combination Polypill with Defined Immediate and Sustained Release Profiles. J. Control. Release 2015, 217, 308–314. [Google Scholar] [CrossRef]
- Abdella, S.; Youssef, S.H.; Afinjuomo, F.; Song, Y.; Fouladian, P.; Upton, R.; Garg, S. 3D Printing of Thermo-Sensitive Drugs. Pharmaceutics 2021, 13, 1524. [Google Scholar] [CrossRef] [PubMed]
- Jamróz, W.; Szafraniec, J.; Kurek, M.; Jachowicz, R. 3D Printing in Pharmaceutical and Medical Applications–Recent Achievements and Challenges. Pharm. Res. 2018, 35, 176. [Google Scholar] [CrossRef] [PubMed]
- Kimbell, G. Rheology Impacts on Extrusion-Based 3D Printing of Polymeric Structures Incorporating Pharmaceuticals. Master’s Thesis, North Carolina Agricultural and Technical State University, Greensboro, NC, USA, 2020. [Google Scholar]
- Rony, F.; Kimbell, G.; Serrano, T.; Clay, D.; Ilias, S.; Azad, M.A. Extrusion-Based 3D Printing of Pharmaceuticals—Evaluating Polymer (Sodium Alginate, HPC, HPMC) Based Ink Suitability by Investigating Rheology. Micromachines, 2025; in press. [Google Scholar]
- Leppiniemi, J.; Lahtinen, P.; Paajanen, A.; Mahlberg, R.; Metsä-Kortelainen, S.; Pinomaa, T.; Pajari, H.; Vikholm-Lundin, I.; Pursula, P.; Hytönen, V.P. 3D-Printable Bioactivated Nanocellulose–Alginate Hydrogels. ACS Appl. Mater. Interfaces 2017, 9, 21959–21970. [Google Scholar] [CrossRef]
- Olmos-Juste, R.; Guaresti, O.; Calvo-Correas, T.; Gabilondo, N.; Eceiza, A. Design of Drug-Loaded 3D Printing Biomaterial Inks and Tailor-Made Pharmaceutical Forms for Controlled Release. Int. J. Pharm. 2021, 609, 121124. [Google Scholar] [CrossRef]
- Azad, M.; Arteaga, C.; Abdelmalek, B.; Davé, R.; Bilgili, E. Spray Drying of Drug-Swellable Dispersant Suspensions for Preparation of Fast-Dissolving, High Drug-Loaded, Surfactant-Free Nanocomposites. Drug Dev. Ind. Pharm. 2015, 41, 1617–1631. [Google Scholar] [CrossRef]
- Jadach, B.; Świetlik, W.; Froelich, A. Sodium Alginate as a Pharmaceutical Excipient: Novel Applications of a Well-Known Polymer. J. Pharm. Sci. 2022, 111, 1250–1261. [Google Scholar] [CrossRef]
- Jiang, Y.; De La Cruz, J.A.; Ding, L.; Wang, B.; Feng, X.; Mao, Z.; Xu, H.; Sui, X. Rheology of Regenerated Cellulose Suspension and Influence of Sodium Alginate. Int. J. Biol. Macromol. 2020, 148, 811–816. [Google Scholar] [CrossRef]
- Bari, E.; Di Gravina, G.M.; Scocozza, F.; Perteghella, S.; Frongia, B.; Tengattini, S.; Segale, L.; Torre, M.L.; Conti, M. Silk Fibroin Bioink for 3D Printing in Tissue Regeneration: Controlled Release of MSC Extracellular Vesicles. Pharmaceutics 2023, 15, 383. [Google Scholar] [CrossRef] [PubMed]
- Zamboulis, A.; Michailidou, G.; Koumentakou, I.; Bikiaris, D.N. Polysaccharide 3D Printing for Drug Delivery Applications. Pharmaceutics 2022, 14, 145. [Google Scholar] [CrossRef] [PubMed]
- Song, T.-H.; Jang, J.; Choi, Y.-J.; Shim, J.-H.; Cho, D.-W. 3D-Printed Drug/Cell Carrier Enabling Effective Release of Cyclosporin a for Xenogeneic Cell-Based Therapy. Cell Transpl. 2015, 24, 2513–2525. [Google Scholar] [CrossRef] [PubMed]
- Eslami, Z.; Elkoun, S.; Robert, M.; Adjallé, K. A Review of the Effect of Plasticizers on the Physical and Mechanical Properties of Alginate-Based Films. Molecules 2023, 28, 6637. [Google Scholar] [CrossRef]
- Krull, S.M.; Patel, H.V.; Li, M.; Bilgili, E.; Davé, R.N. Critical Material Attributes (CMAs) of Strip Films Loaded with Poorly Water-Soluble Drug Nanoparticles: I. Impact of Plasticizer on Film Properties and Dissolution. Eur. J. Pharm. Sci. 2016, 92, 146–155. [Google Scholar] [CrossRef]
- Gao, C.; Pollet, E.; Avérous, L. Innovative Plasticized Alginate Obtained by Thermo-Mechanical Mixing: Effect of Different Biobased Polyols Systems. Carbohydr. Polym. 2017, 157, 669–676. [Google Scholar] [CrossRef] [PubMed]
- Al-Kubati, S.S.; Ahmed, M.A.; Emad, N.A. Palatable Levocetirizine Dihydrochloride Solid Dispersed Fast-Dissolving Films: Formulation and In Vitro and In Vivo Characterization. Sci. World J. 2022, 2022, 1552602. [Google Scholar] [CrossRef] [PubMed]
- Maheshwari, S.; Singh, A.; Varshney, A.P.; Sharma, A. Advancing Oral Drug Delivery: The Science of Fast Dissolving Tablets (FDTs). Intell. Pharm. 2024, 2, 580–587. [Google Scholar] [CrossRef]
- Susarla, R.; Afolabi, A.; Patel, D.; Bilgili, E.; Davé, R.N. Novel Use of Superdisintegrants as Viscosity Enhancing Agents in Biocompatible Polymer Films Containing Griseofulvin Nanoparticles. Powder Technol. 2015, 285, 25–33. [Google Scholar] [CrossRef]
- Panda, B.; Patnaik, S.; Purohit, D.; Das, S.; Dubey, A. Impact of Sodium Starch Glycolate on Physico-Chemical Characteristics of Mouth Dissolving Film of Fexofenadine. NeuroQuantology 2022, 20, 7604–7613. [Google Scholar] [CrossRef]
- Srinarong, P.; Faber, J.H.; Visser, M.R.; Hinrichs, W.L.J.; Frijlink, H.W. Strongly Enhanced Dissolution Rate of Fenofibrate Solid Dispersion Tablets by Incorporation of Superdisintegrants. Eur. J. Pharm. Biopharm. 2009, 73, 154–161. [Google Scholar] [CrossRef] [PubMed]
- Azad, M.; Guner, G.; Afolabi, A.; Davé, R.; Bilgili, E. Impact of Solvents during Wet Stirred Media Milling of Cross-Linked Biopolymer Suspensions. Adv. Powder Technol. 2021, 32, 4562–4575. [Google Scholar] [CrossRef]
- Khaled, S.A.; Burley, J.C.; Alexander, M.R.; Roberts, C.J. Desktop 3D Printing of Controlled Release Pharmaceutical Bilayer Tablets. Int. J. Pharm. 2014, 461, 105–111. [Google Scholar] [CrossRef]
- Allahham, N.; Fina, F.; Marcuta, C.; Kraschew, L.; Mohr, W.; Gaisford, S.; Basit, A.W.; Goyanes, A. Selective Laser Sintering 3D Printing of Orally Disintegrating Printlets Containing Ondansetron. Pharmaceutics 2020, 12, 110. [Google Scholar] [CrossRef] [PubMed]
- Li, M.; Suriel, I.; Vekaria, J.; Proske, J.; Orbe, P.; Armani, M.; Dave, R.N.; Bilgili, E. Impact of Dispersants on Dissolution of Itraconazole from Drug-Loaded, Surfactant-Free, Spray-Dried Nanocomposites. Powder Technol. 2018, 339, 281–295. [Google Scholar] [CrossRef]
- Putra, O.N.; Musfiroh, I.; Elisa, S.; Musa, M.; Ikram, E.H.K.; Chaidir, C.; Muchtaridi, M. Sodium Starch Glycolate (SSG) from Sago Starch (Metroxylon sago) as a Superdisintegrant: Synthesis and Characterization. Molecules 2024, 29, 151. [Google Scholar] [CrossRef] [PubMed]
- Sheela, A.; Haque, S.E. Development of Polymer-Bound Fast-Dissolving Metformin Buccal Film with Disintegrants. Int. J. Nanomed. 2015, 2015, 199–205. [Google Scholar] [CrossRef] [PubMed][Green Version]
- Susarla, R.; Sievens-Figueroa, L.; Bhakay, A.; Shen, Y.; Jerez-Rozo, J.I.; Engen, W.; Khusid, B.; Bilgili, E.; Romañach, R.J.; Morris, K.R.; et al. Fast Drying of Biocompatible Polymer Films Loaded with Poorly Water-Soluble Drug Nano-Particles via Low Temperature Forced Convection. Int. J. Pharm. 2013, 455, 93–103. [Google Scholar] [CrossRef]
- Sievens-Figueroa, L.; Bhakay, A.; Jerez-Rozo, J.I.; Pandya, N.; Romañach, R.J.; Michniak-Kohn, B.; Iqbal, Z.; Bilgili, E.; Davé, R.N. Preparation and Characterization of Hydroxypropyl Methyl Cellulose Films Containing Stable BCS Class II Drug Nanoparticles for Pharmaceutical Applications. Int. J. Pharm. 2012, 423, 496–508. [Google Scholar] [CrossRef] [PubMed]
- Azad, M.; Afolabi, A.; Bhakay, A.; Leonardi, J.; Davé, R.; Bilgili, E. Enhanced Physical Stabilization of Fenofibrate Nanosuspensions via Wet Co-Milling with a Superdisintegrant and an Adsorbing Polymer. Eur. J. Pharm. Biopharm. 2015, 94, 372–385. [Google Scholar] [CrossRef]
- Pérez Gutiérrez, C.L.; Cottone, F.; Pagano, C.; Di Michele, A.; Puglia, D.; Luzi, F.; Dominici, F.; Sinisi, R.; Ricci, M.; Viseras Iborra, C.A.; et al. The Optimization of Pressure-Assisted Microsyringe (PAM) 3D Printing Parameters for the Development of Sustainable Starch-Based Patches. Polymers 2023, 15, 3792. [Google Scholar] [CrossRef]
- Bacciaglia, A.; Falcetelli, F.; Troiani, E.; Di Sante, R.; Liverani, A.; Ceruti, A. Geometry Reconstruction for Additive Manufacturing: From G-CODE to 3D CAD Model. Mater. Today Proc. 2023, 75, 16–22. [Google Scholar] [CrossRef]
- Shahbazi, M.; Jäger, H.; Ettelaie, R.; Chen, J. Construction of 3D Printed Reduced-Fat Meat Analogue by Emulsion Gels. Part I: Flow Behavior, Thixotropic Feature, and Network Structure of Soy Protein-Based Inks. Food Hydrocoll. 2021, 120, 106967. [Google Scholar] [CrossRef]
- Azad, M.A.; Sievens-Figueroa, L.; Davé, R.N. Fast Release of Liquid Antisolvent Precipitated Fenofibrate at High Drug Loading from Biocompatible Thin Films. Adv. Powder Technol. 2018, 29, 2907–2919. [Google Scholar] [CrossRef]
- Krull, S.M.; Susarla, R.; Afolabi, A.; Li, M.; Ying, Y.; Iqbal, Z.; Bilgili, E.; Davé, R.N. Polymer Strip Films as a Robust, Surfactant-Free Platform for Delivery of BCS Class II Drug Nanoparticles. Int. J. Pharm. 2015, 489, 45–57. [Google Scholar] [CrossRef]
- Roopmani, P.; Krishnan, U.M. Harnessing the Pleiotropic Effects of Atorvastatin-Fenofibrate Combination for Cardiovascular Stents. Mater. Sci. Eng. C 2018, 92, 875–891. [Google Scholar] [CrossRef]
- Yeaton, A. Dissolution Testing and Acceptance Criteria for Immediate-Release Solid Oral Dosage Form Drug Products Containing High Solubility Drug Substances Guidance for Industry; Food and Drug Administration: Silver Spring, MD, USA, 2018. [Google Scholar]
- Kim, J.-S.; Park, H.; Ha, E.-S.; Kang, K.-T.; Kim, M.-S.; Hwang, S.-J. Preparation and Characterization of Fenofibrate Microparticles with Surface-Active Additives: Application of a Supercritical Fluid-Assisted Spray-Drying Process. Pharmaceutics 2021, 13, 2061. [Google Scholar] [CrossRef]
- Knieke, C.; Azad, M.A.; To, D.; Bilgili, E.; Davé, R.N. Sub-100 Micron Fast Dissolving Nanocomposite Drug Powders. Powder Technol. 2015, 271, 49–60. [Google Scholar] [CrossRef]
- Zhang, R.; Guo, J.; Yang, X.; Jiang, X.; Zhang, L.; Zhou, J.; Cao, X.; Duan, B. Ink Based on the Tunable Swollen Microsphere for a 3D Printing Hydrogel with Broad-Range Mechanical Properties. ACS Appl. Mater. Interfaces 2023, 15, 15917–15927. [Google Scholar] [CrossRef] [PubMed]
- Zheng, S.Y.; Shen, Y.; Zhu, F.; Yin, J.; Qian, J.; Fu, J.; Wu, Z.L.; Zheng, Q. Programmed Deformations of 3D-Printed Tough Physical Hydrogels with High Response Speed and Large Output Force. Adv. Funct. Mater. 2018, 28, 1803366. [Google Scholar] [CrossRef]
- Elbadawi, M.; Nikjoo, D.; Gustafsson, T.; Gaisford, S.; Basit, A.W. Pressure-Assisted Microsyringe 3D Printing of Oral Films Based on Pullulan and Hydroxypropyl Methylcellulose. Int. J. Pharm. 2021, 595, 120197. [Google Scholar] [CrossRef] [PubMed]
- Habib, M.A.; Khoda, B. Rheological Analysis of Bio-Ink for 3D Bio-Printing Processes. J. Manuf. Process. 2022, 76, 708–718. [Google Scholar] [CrossRef]
- NIST Glycerin. Available online: https://webbook.nist.gov/cgi/cbook.cgi?ID=56-81-5 (accessed on 11 November 2024).
- Merck KGaA Polyethylene Glycol 6000. Available online: https://www.emdmillipore.com/US/en/product/Polyethylene-glycol-6000,MDA_CHEM-807491#overview (accessed on 11 November 2024).
- Wang, H.; Guo, T.; Li, H. Evaluation of Viscosity and Printing Quality of Chitosan-based Flexographic Inks: The Effect of Chitosan Molecular Weight. J. Appl. Polym. Sci. 2016, 133, 43997. [Google Scholar] [CrossRef]
- Agrawal, N.R.; Yue, X.; Raghavan, S.R. The Unusual Rheology of Wormlike Micelles in Glycerol: Comparable Timescales for Chain Reptation and Segmental Relaxation. Langmuir 2020, 36, 6370–6377. [Google Scholar] [CrossRef] [PubMed]
- Panraksa, P.; Udomsom, S.; Rachtanapun, P.; Chittasupho, C.; Ruksiriwanich, W.; Jantrawut, P. Hydroxypropyl Methylcellulose E15: A Hydrophilic Polymer for Fabrication of Orodispersible Film Using Syringe Extrusion 3D Printer. Polymers 2020, 12, 2666. [Google Scholar] [CrossRef]
- Mezger, T.G. Applied Rheology: With Joe Flow on Rheology Road, 2nd ed.; Anton Paar GmbH: Graz, Austria, 2018; ISBN 3-9504016-0-1. [Google Scholar]
- Campbell, I.; Marnot, A.; Ketcham, M.; Travis, C.; Brettmann, B. Direct Ink Write 3D Printing of High Solids Loading Bimodal Distributions of Particles. AIChE J. 2021, 67, e17412. [Google Scholar] [CrossRef]
- Dabbaghi, M.; Namjoshi, S.; Panchal, B.; Grice, J.E.; Prakash, S.; Roberts, M.S.; Mohammed, Y. Viscoelastic and Deformation Characteristics of Structurally Different Commercial Topical Systems. Pharmaceutics 2021, 13, 1351. [Google Scholar] [CrossRef]
- Sabet, S.; Rashidinejad, A.; Melton, L.D.; Zujovic, Z.; Akbarinejad, A.; Nieuwoudt, M.; Seal, C.K.; McGillivray, D.J. The Interactions between the Two Negatively Charged Polysaccharides: Gum Arabic and Alginate. Food Hydrocoll. 2021, 112, 106343. [Google Scholar] [CrossRef]
- Hernández-Sosa, A.; Ramírez-Jiménez, R.A.; Rojo, L.; Boulmedais, F.; Aguilar, M.R.; Criado-Gonzalez, M.; Hernández, R. Optimization of the Rheological Properties of Self-Assembled Tripeptide/Alginate/Cellulose Hydrogels for 3D Printing. Polymers 2022, 14, 2229. [Google Scholar] [CrossRef]
- Zhang, S.; Lu, L.; Wang, S.; Yuan, F.; Xuan, S.; Gong, X. Coaxial Direct Ink Writing of Shear Stiffening Gel/Ecoflex Composite for Customized Insoles. Compos. Part B Eng. 2021, 225, 109268. [Google Scholar] [CrossRef]
- Hahn, L.; Maier, M.; Stahlhut, P.; Beudert, M.; Flegler, V.; Forster, S.; Altmann, A.; Töppke, F.; Fischer, K.; Seiffert, S.; et al. Inverse Thermogelation of Aqueous Triblock Copolymer Solutions into Macroporous Shear-Thinning 3D Printable Inks. ACS Appl. Mater. Interfaces 2020, 12, 12445–12456. [Google Scholar] [CrossRef] [PubMed]
- Wang, C.; Yan, R.; Li, X.; Sang, S.; McClements, D.J.; Chen, L.; Long, J.; Jiao, A.; Wang, J.; Qiu, C.; et al. Development of Emulsion-Based Edible Inks for 3D Printing Applications: Pickering Emulsion Gels. Food Hydrocoll. 2023, 138, 108482. [Google Scholar] [CrossRef]
- Lu, Y.; Rai, R.; Nitin, N. Image-Based Assessment and Machine Learning-Enabled Prediction of Printability of Polysaccharides-Based Food Ink for 3D Printing. Food Res. Int. 2023, 173, 113384. [Google Scholar] [CrossRef] [PubMed]
- Sardelli, L.; Tunesi, M.; Briatico-Vangosa, F.; Petrini, P. 3D-Reactive Printing of Engineered Alginate Inks. Soft Matter 2021, 17, 8105–8117. [Google Scholar] [CrossRef] [PubMed]
- Glukhova, S.A.; Molchanov, V.S.; Lokshin, B.V.; Rogachev, A.V.; Tsarenko, A.A.; Patsaev, T.D.; Kamyshinsky, R.A.; Philippova, O.E. Printable Alginate Hydrogels with Embedded Network of Halloysite Nanotubes: Effect of Polymer Cross-Linking on Rheological Properties and Microstructure. Polymers 2021, 13, 4130. [Google Scholar] [CrossRef]
- Bhosale, P.S.; Berg, J.C. The Dynamics of Polymer Bridge Formation and Disruption and Its Effect on the Bulk Rheology of Suspensions. Langmuir 2012, 28, 16807–16811. [Google Scholar] [CrossRef]
- Macocinschi, D.; Filip, D.; Ciubotaru, B.-I.; Dumitriu, R.P.; Varganici, C.-D.; Zaltariov, M.-F. Blends of Sodium Deoxycholate-Based Poly(Ester Ether)Urethane Ionomer and Hydroxypropylcellulose with Mucosal Adhesiveness. Int. J. Biol. Macromol. 2020, 162, 1262–1275. [Google Scholar] [CrossRef] [PubMed]
- Abdullah; Cai, J.; Hafeez, M.A.; Wang, Q.; Farooq, S.; Huang, Q.; Tian, W.; Xiao, J. Biopolymer-Based Functional Films for Packaging Applications: A Review. Front. Nutr. 2022, 9, 100116. [Google Scholar] [CrossRef] [PubMed]
- Liu, H.; Xie, F.; Yu, L.; Chen, L.; Li, L. Thermal Processing of Starch-Based Polymers. Prog. Polym. Sci. 2009, 34, 1348–1368. [Google Scholar] [CrossRef]
- Wong, C.Y.; Luna, G.; Martinez, J.; Al-Salami, H.; Dass, C.R. Bio-Nanotechnological Advancement of Orally Administered Insulin Nanoparticles: Comprehensive Review of Experimental Design for Physicochemical Characterization. Int. J. Pharm. 2019, 572, 118720. [Google Scholar] [CrossRef] [PubMed]
- Gunwal, D.; Dutt, B.; Choudhary, M.; Budhwar, V. A Comprehensive Review on the Drug: Fenofibrate. Int. J. Res. Pharm. Sci. 2021, 12, 2164–2172. [Google Scholar] [CrossRef]
- Saha, M.; Dhiman, S.; Gupta, G.D.; Asati, V. An Investigative Review for Pharmaceutical Analysis of Fenofibrate. J. Chromatogr. Sci. 2023, 61, 494–504. [Google Scholar] [CrossRef]
- Zhang, L.; Aloia, M.; Pielecha-Safira, B.; Lin, H.; Rajai, P.M.; Kunnath, K.; Davé, R.N. Impact of Superdisintegrants and Film Thickness on Disintegration Time of Strip Films Loaded With Poorly Water-Soluble Drug Microparticles. J. Pharm. Sci. 2018, 107, 2107–2118. [Google Scholar] [CrossRef]
- Berardi, A.; Bisharat, L.; Quodbach, J.; Abdel Rahim, S.; Perinelli, D.R.; Cespi, M. Advancing the Understanding of the Tablet Disintegration Phenomenon – An Update on Recent Studies. Int. J. Pharm. 2021, 598, 120390. [Google Scholar] [CrossRef] [PubMed]
- Satyanarayana, D.A.; Keshavarao, K.P. Fast Disintegrating Films Containing Anastrozole as a Dosage Form for Dysphagia Patients. Arch. Pharm. Res. 2012, 35, 2171–2182. [Google Scholar] [CrossRef]
- Murthy, K.V.R.; Raju, V. Development and Validation of New Discriminative Dissolution Method for Carvedilol Tablets. Indian J. Pharm. Sci. 2011, 73, 527. [Google Scholar] [CrossRef] [PubMed]
- Siepmann, J.; Siepmann, F. Sink Conditions Do Not Guarantee the Absence of Saturation Effects. Int. J. Pharm. 2020, 577, 119009. [Google Scholar] [CrossRef] [PubMed]
- Phillips, D.J.; Pygall, S.R.; Cooper, V.B.; Mann, J.C. Overcoming Sink Limitations in Dissolution Testing: A Review of Traditional Methods and the Potential Utility of Biphasic Systems. J. Pharm. Pharmacol. 2012, 64, 1549–1559. [Google Scholar] [CrossRef] [PubMed]









| Formulation ID | SA (Polymer) (g) | FNB (Drug) (g) | Mannitol (Filler) (g) | SSG (Cross-Inked Biopolymer) (g) | PVP (Stabilizer) (g) | PEG or Glycerin * (Plasticizer) (g) | Water (Solvent) (g) | Total (g) |
|---|---|---|---|---|---|---|---|---|
| F-1 | 0.24 | 6 | 7.50 | - | 1.50 | 3 | 11.76 | 30 |
| F-2 | 0.24 | 6 | 7.50 | - | 1.50 | 3 | 11.76 | 30 |
| F-2’ | 0.24 | 6 | - | - | 1.50 | 3 | 19.29 | 30 |
| F-3 | 0.24 | 6 | - | 0.60 | 1.50 | 3 | 18.66 | 30 |
| F-4 | 0.80 | 6 | - | 0.60 | 1.50 | 3 | 18.10 | 30 |
| F-5 | 0.80 | 6 | - | 0.50 | 1.50 | 3 | 18.20 | 30 |
| F-5’ | 0.80 | 6 | - | 0.50 | 1.50 | - | 21.20 | 30 |
| Formulation ID | Young’s Modulus (YM), (kPa) | Tensile Strength (TS), (kPa) | Elongation at Break (EB), (%) | Observation | |
|---|---|---|---|---|---|
| F-1 | - | - | - | ![]() | Brittle film |
| F-5 | 23.67 ± 7.48 | 329.67 ± 26.58 | 12.39 ± 2.54 | - | Has sufficient mechanical strength |
| F-5’ | - | - | - | ![]() | Brittle film |
Disclaimer/Publisher’s Note: The statements, opinions and data contained in all publications are solely those of the individual author(s) and contributor(s) and not of MDPI and/or the editor(s). MDPI and/or the editor(s) disclaim responsibility for any injury to people or property resulting from any ideas, methods, instructions or products referred to in the content. |
© 2025 by the authors. Licensee MDPI, Basel, Switzerland. This article is an open access article distributed under the terms and conditions of the Creative Commons Attribution (CC BY) license (https://creativecommons.org/licenses/by/4.0/).
Share and Cite
Rony, F.K.; Appiah, J.; Alawbali, A.; Clay, D.; Ilias, S.; Azad, M.A. Evaluating Swellable Cross-Linked Biopolymer Impact on Ink Rheology and Mechanical Properties of Drug-Contained 3D-Printed Thin Film. Pharmaceutics 2025, 17, 183. https://doi.org/10.3390/pharmaceutics17020183
Rony FK, Appiah J, Alawbali A, Clay D, Ilias S, Azad MA. Evaluating Swellable Cross-Linked Biopolymer Impact on Ink Rheology and Mechanical Properties of Drug-Contained 3D-Printed Thin Film. Pharmaceutics. 2025; 17(2):183. https://doi.org/10.3390/pharmaceutics17020183
Chicago/Turabian StyleRony, Farzana Khan, Jonathan Appiah, Asmaa Alawbali, Distinee Clay, Shamsuddin Ilias, and Mohammad A. Azad. 2025. "Evaluating Swellable Cross-Linked Biopolymer Impact on Ink Rheology and Mechanical Properties of Drug-Contained 3D-Printed Thin Film" Pharmaceutics 17, no. 2: 183. https://doi.org/10.3390/pharmaceutics17020183
APA StyleRony, F. K., Appiah, J., Alawbali, A., Clay, D., Ilias, S., & Azad, M. A. (2025). Evaluating Swellable Cross-Linked Biopolymer Impact on Ink Rheology and Mechanical Properties of Drug-Contained 3D-Printed Thin Film. Pharmaceutics, 17(2), 183. https://doi.org/10.3390/pharmaceutics17020183



