Lifitegrast Degradation: Products and Pathways
Abstract
1. Introduction
2. Materials and Methods
2.1. General
2.2. Degradations
2.3. Chromatography and Mass Spectrometry
2.4. Nuclear Magnetic Resonance Spectroscopy
2.5. Molecular Modelling
2.6. In Silico Safety Evaluation
3. Results and Discussion
3.1. Initial and Extended Forced Degradation
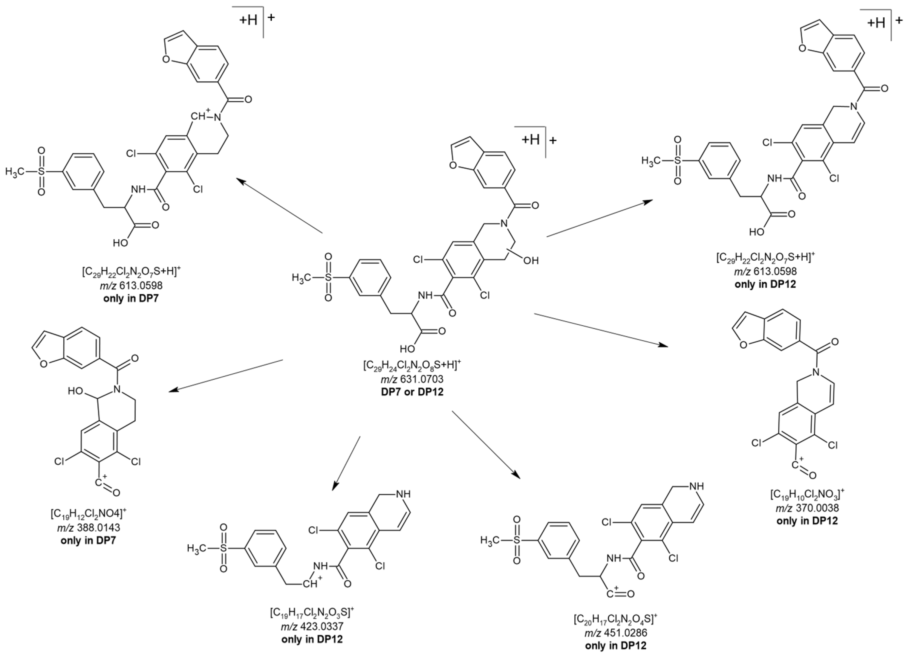
3.2. Analyzing Oxidative Forced Degradation Mixture
3.3. Extreme Oxidative Degradation
3.4. Targeted Oxidative Degradation
3.5. Comparison of Isolated DP7 to Purchased Analytical Standard of the Same Structure
3.6. Computational DFT Analysis of Degradation Mechanisms
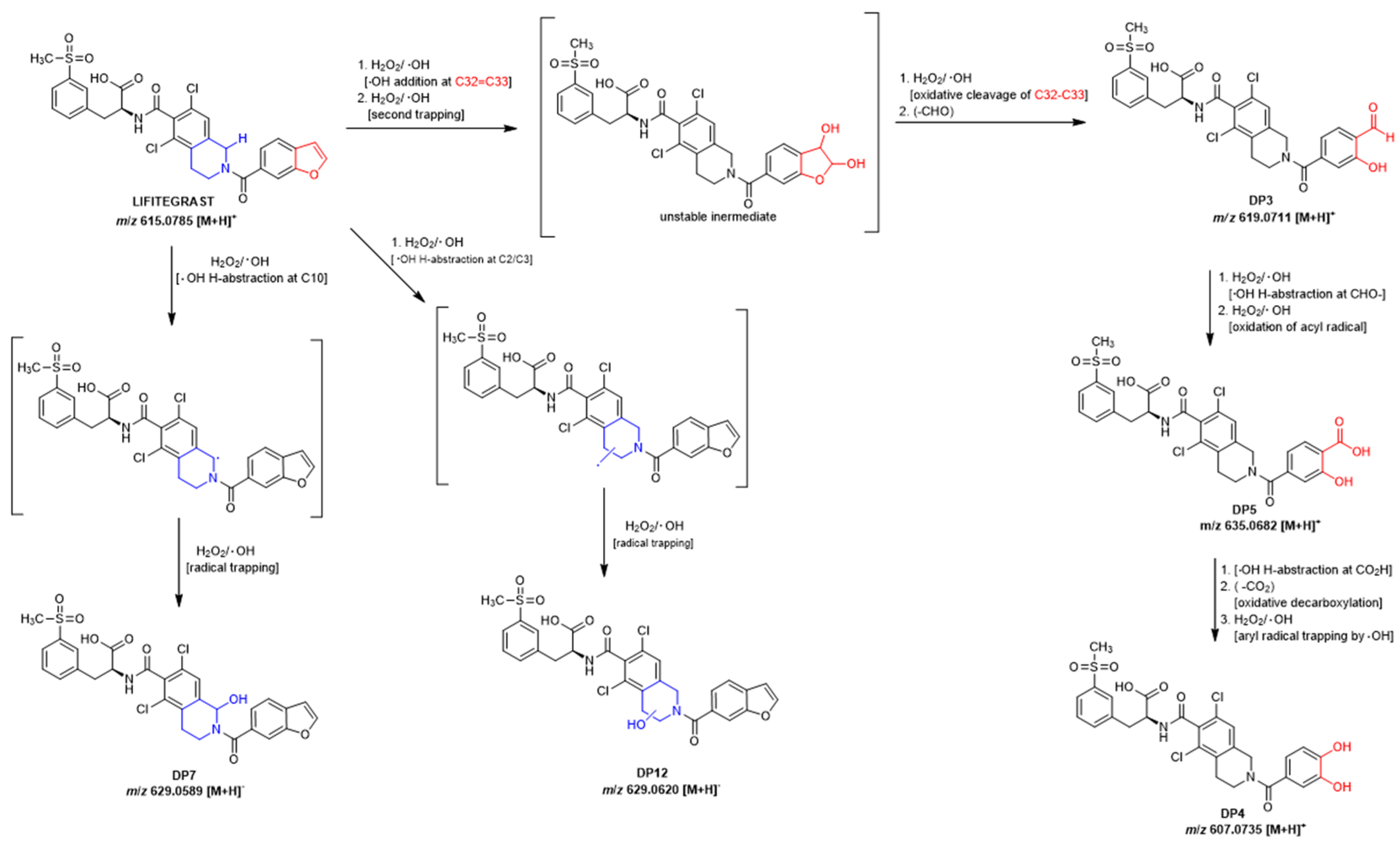
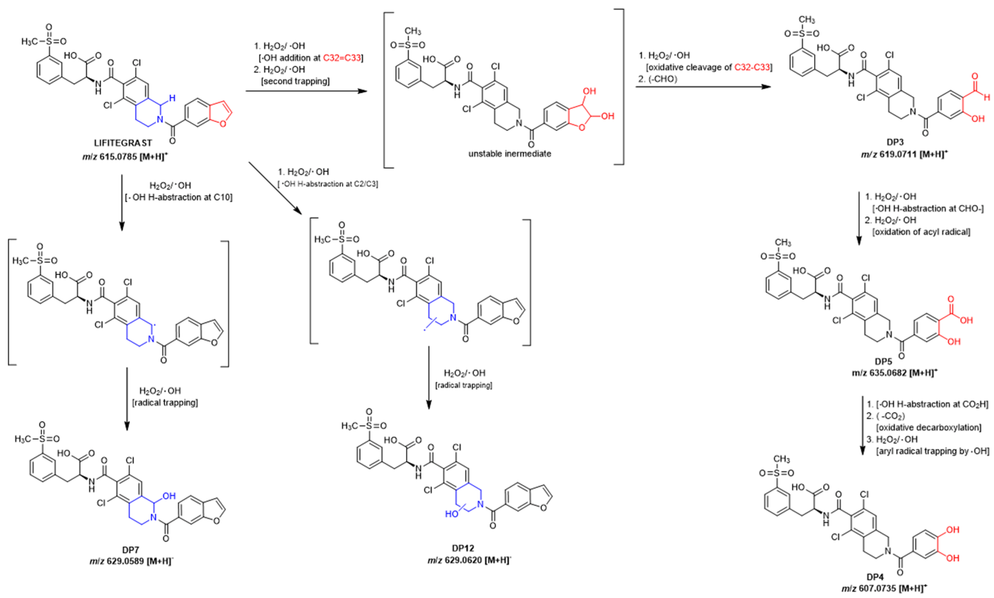
3.7. Proposed Mechanistic Pathways of Oxidative Degradation
3.8. In Silico Toxicology Evaluation of DP5 and DP7
4. Conclusions
Supplementary Materials
Author Contributions
Funding
Institutional Review Board Statement
Informed Consent Statement
Data Availability Statement
Acknowledgments
Conflicts of Interest
Abbreviations
| API | Active pharmaceutical ingredient |
| BDE | Bond dissociation energies |
| CREST | Conformer-rotamer ensemble sampling tool |
| DFT | Density functional theory |
| DP | Degradation product |
| EMA | European Medicines Agency |
| ESI | Electrospray ionization |
| FDA | U.S. Food and Drug Administration |
| HMBC | Heteronuclear multiple bond correlation |
| HRMS | High-resolution mass spectrometry |
| ICAM-1 | Intercellular adhesion molecule |
| ICH | The International Council for Harmonisation of Technical Requirements for Pharmaceuticals for Human Use |
| IR | Infrared spectroscopy |
| IRC | Intrinsic reaction coordinate |
| LC | Liquid chromatography |
| LFA-1 | Lymphocyte function-associated antigen 1 |
| LIF | Lifitegrast |
| LOAEL | Lowest observed adverse effect level |
| NMR | Nuclear magnetic resonance |
| NOAEL | No-observed-adverse-effect level |
| PDE | Permitted daily exposure |
| QSAR | Quantitative structure–activity relationship |
| RH | Relative humidity |
| RT | Room temperature |
References
- The Definition and Classification of Dry Eye Disease: Report of the Definition and Classification Subcommittee of the International Dry Eye Workshop (2007). Ocul. Surf. 2007, 5, 75–92. [CrossRef]
- Perez, V.L.; Pflugfelder, S.C.; Zhang, S.; Shojaei, A.; Haque, R. Lifitegrast, a Novel Integrin Antagonist for Treatment of Dry Eye Disease. Ocul. Surf. 2016, 14, 207–215. [Google Scholar] [CrossRef]
- Paton, D.M. Lifitegrast: First LFA-1/ICAM-1 Antagonist for Treatment of Dry Eye Disease. Drugs Today 2016, 9, 485–493. [Google Scholar] [CrossRef]
- Donnenfeld, E.D.; Perry, H.D.; Nattis, A.S.; Rosenberg, E.D. Lifitegrast for the Treatment of Dry Eye Disease in Adults. Expert Opin. Pharmacother. 2017, 18, 1517–1524. [Google Scholar] [CrossRef] [PubMed]
- Semba, C.P.; Torkildsen, G.L.; Lonsdale, J.D.; McLaurin, E.B.; Geffin, J.A.; Mundorf, T.K.; Kennedy, K.S.; Ousler, G.W. A Phase 2 Randomized, Double-Masked, Placebo-Controlled Study of a Novel Integrin Antagonist (SAR 1118) for the Treatment of Dry Eye. Am. J. Ophthalmol. 2012, 153, 1050–1060. [Google Scholar] [CrossRef] [PubMed]
- Sheppard, J.D.; Torkildsen, G.L.; Lonsdale, J.D.; D’Ambrosio, F.A.; McLaurin, E.B.; Eiferman, R.A.; Kennedy, K.S.; Semba, C.P. Lifitegrast Ophthalmic Solution 5.0% for Treatment of Dry Eye Disease: Results of the OPUS-1 Phase 3 Study. Ophthalmology 2014, 121, 475–483. [Google Scholar] [CrossRef]
- Tauber, J.; Karpecki, P.; Latkany, R.; Luchs, J.; Martel, J.; Sall, K.; Raychaudhuri, A.; Smith, V.; Semba, C.P. Lifitegrast Ophthalmic Solution 5.0% versus Placebo for Treatment of Dry Eye Disease. Ophthalmology 2015, 122, 2423–2431. [Google Scholar] [CrossRef]
- Donnenfeld, E.D.; Karpecki, P.M.; Majmudar, P.A.; Nichols, K.K.; Raychaudhuri, A.; Roy, M.; Semba, C.P. Safety of Lifitegrast Ophthalmic Solution 5.0% in Patients with Dry Eye Disease: A 1-Year, Multicenter, Randomized, Placebo-Controlled Study. Clin. Sci. 2016, 35, 741–748. [Google Scholar] [CrossRef]
- Nichols, K.K.; Holland, E.; Toyos, M.M.; Peace, J.H.; Majmudar, P.; Raychaudhuri, A.; Hamdani, M.; Roy, M.; Shojaei, A. Ocular Comfort Assessment of Lifitegrast Ophthalmic Solution 5.0% in OPUS-3, a Phase III Randomized Controlled Trial. Clin. Ophthalmol. 2018, 12, 263–270. [Google Scholar] [CrossRef]
- Holland, E.J.; Luchs, J.; Karpecki, P.M.; Nichols, K.K.; Jackson, M.A.; Sall, K.; Tauber, J.; Roy, M.; Raychaudhuri, A.; Shojaei, A. Lifitegrast for the Treatment of Dry Eye Disease. Ophthalmology 2017, 124, 53–60. [Google Scholar] [CrossRef]
- Haber, S.L.; Benson, V.; Buckway, C.J.; Gonzales, J.M.; Romanet, D.; Scholes, B. Lifitegrast: A Novel Drug for Patients with Dry Eye Disease. Ther. Adv. Ophthalmol. 2019, 11, 1–8. [Google Scholar] [CrossRef]
- Nichols, K.K.; Donnenfeld, E.D.; Karpecki, P.M.; Hovanesian, J.A.; Raychaudhuri, A.; Shojaei, A.; Zhang, S. Safety and Tolerability of Lifitegrast Ophthalmic Solution 5.0%: Pooled Analysis of Five Randomized Controlled Trials in Dry Eye Disease. Eur. J. Ophthalmol. 2019, 29, 394–401. [Google Scholar] [CrossRef] [PubMed]
- Uğur, M.; Bellur Atici, E.; Ozkan, S.A. A Specific Chiral HPLC Method for Lifitegrast and Determination of Enantiomeric Impurity in Drug Substance, Ophthalmic Product and Stressed Samples. J. Pharm. Biomed. Anal. 2024, 242, 116039. [Google Scholar] [CrossRef] [PubMed]
- Lifitegrast Related Products. Available online: https://www.synzeal.com/en/lifitegrast (accessed on 5 August 2025).
- Pannu, S.; Bhatia, R.; Kumar, B. A Validated Method Developed for Estimation of Lifitegrast in Bulk and Pharmaceutical Dosage Form by UV-Spectrophotometer and RP-HPLC. Austin J. Anal. Pharm. Chem. 2022, 9, 1140. [Google Scholar] [CrossRef]
- Kumar, A.; Chalannavar, R.K. Characterization of Degradation Products of Lifitegrast by Mass Spectrometry: Development and Validation of a Stability-Indicating Reversed Phase HPLC Method. Anal. Chem. Lett. 2022, 12, 730–744. [Google Scholar] [CrossRef]
- Pracht, P.; Bohle, F.; Grimme, S. Automated Exploration of the Low-Energy Chemical Space with Fast Quantum Chemical Methods. Phys. Chem. Chem. Phys. 2020, 22, 7169–7192. [Google Scholar] [CrossRef]
- Frisch, M.J.; Trucks, G.W.; Schlegel, H.B.; Scuseria, G.E.; Robb, M.A.; Cheeseman, J.R.; Scalmani, G.; Barone, V.; Petersson, G.A.; Nakatsuji, H.; et al. Gaussian 16, Revision C.01; Gaussian, Inc.: Wallingford, CT, USA, 2016. [Google Scholar]
- Bursch, M.; Mewes, J.-M.; Hansen, A.; Grimme, S. Best-Practice DFT Protocols for Basic Molecular Computational Chemistry. Angew. Chem. Int. Ed. Engl. 2022, 61, e202205735. [Google Scholar] [CrossRef]
- Qualification of Non-Genotoxic Impurities; European Medicines Agency: Amsterdam, The Netherlands, 2018.
- Derek Nexus, version 6.2.1. Licensed to Charles River Laboratories Den Bosch B.V, (Computer Software). Lhasa Limited: Leeds, UK, 2022.
- Nexus, verson 2.5.2. Licensed to Charles River Laboratories Den Bosch B.V, (Computer Software). Lhasa Limited: Leeds, UK, 2022.
- Leadscope, version 2022.0.0-31; Charles River Laboratories: Den Bosch, The Netherlands, 2022.
- Vega QSAR Models. VEGA IRFMN, version 1.0.2 (Core 1.3.18); Charles River Laboratories: Den Bosch, The Netherlands, 2016.
- ICH Guidelines, M7 (R2). Assessment and Control of DNA Reactive (Mutagenic) Impurities in Pharmaceuticals to Limit Potential Carcinogenic Risk; European Medicines Agency: Amsterdam, The Netherlands, 2023.
- ICH Q3C (R9). Guideline on Impurities: Guideline for Residual Solvents; European Medicines Agency: Amsterdam, The Netherlands, 2024.
- ICH Guideline Q3D (R2). Elemental Impurities; European Medicines Agency: Amsterdam, The Netherlands, 2022.
- Chen, L.; Rao, D.; Lin, T.; Zhang, B.; Zeng, Z.; Wang, S.; Guo, S.; Xu, M.; Jia, F. Lifitegrast Analogs and Their Preparation Methods and Applications. CN118459403 A, 9 August 2024. [Google Scholar]
- Schowen, R.L.; Jayaraman, H.; Kershner, L. Catalytic Efficiencies in Amide Hydrolysis. The Two-Step Mechanism. J. Am. Chem. Soc. 1966, 88, 3373–3375. [Google Scholar] [CrossRef]
- Robins, L.I.; Fogle, E.J.; Marlier, J.F. Mechanistic Investigations of the Hydrolysis of Amides, Oxoesters and Thioesters via Kinetic Isotope Effects and Positional Isotope Exchange. Biochim. Biophys. Acta Proteins Proteom. 2015, 1854, 1756–1767. [Google Scholar] [CrossRef]
- Hengge, A.C.; Hess, R.A. Concerted or Stepwise Mechanisms for Acyl Transfer Reactions of P-Nitrophenyl Acetate? Transition State Structures from Isotope Effects. J. Am. Chem. Soc. 1994, 116, 11256–11263. [Google Scholar] [CrossRef]
- Bentley, T.W.; Ebdon, D.N.; Kim, E.-J.; Koo, I.S. Solvent Polarity and Organic Reactivity in Mixed Solvents: Evidence Using a Reactive Molecular Probe to Assess the Role of Preferential Solvation in Aqueous Alcohols. J. Org. Chem. 2005, 70, 1647–1653. [Google Scholar] [CrossRef]
- Antonczak, S.; Ruiz-Lopez, M.F.; Rivail, J.L. Ab Initio Analysis of Water-Assisted Reaction Mechanisms in Amide Hydrolysis. J. Am. Chem. Soc. 1994, 116, 3912–3921. [Google Scholar] [CrossRef]
- Wu, Z.; Ban, F.; Boyd, R.J. Modeling the Reaction Mechanisms of the Amide Hydrolysis in an N-(o-Carboxybenzoyl)-l-Amino Acid. J. Am. Chem. Soc. 2003, 125, 6994–7000. [Google Scholar] [CrossRef] [PubMed]
- Morgan, J.; Greenberg, A.; Liebman, J.F. Paradigms and Paradoxes: O- and N-Protonated Amides, Stabilization Energy, and Resonance Energy. Struct. Chem. 2012, 23, 197–199. [Google Scholar] [CrossRef]
- Bagno, A.; Lovato, G.; Scorrano, G. Thermodynamics of Protonation and Hydration of Aliphatic Amides. J. Chem. Soc. Perkin Trans. 2 1993, 1091–1098. [Google Scholar] [CrossRef]
- Zahn, D. Theoretical Study of the Mechanisms of Acid-Catalyzed Amide Hydrolysis in Aqueous Solution. J. Phys. Chem. B 2003, 107, 12303–12306. [Google Scholar] [CrossRef]
- Syrén, P.-O. Enzymatic Hydrolysis of Tertiary Amide Bonds by Anti Nucleophilic Attack and Protonation. J. Org. Chem. 2018, 83, 13543–13548. [Google Scholar] [CrossRef]
- Gligorovski, S.; Strekowski, R.; Barbati, S.; Vione, D. Environmental Implications of Hydroxyl Radicals (•OH). Chem. Rev. 2015, 115, 13051–13092. [Google Scholar] [CrossRef]
- Tan, W.; Zhu, L.; Mikoviny, T.; Nielsen, C.J.; Wisthaler, A.; D’Anna, B.; Antonsen, S.; Stenstrøm, Y.; Farren, N.J.; Hamilton, J.F.; et al. Experimental and Theoretical Study of the OH-Initiated Degradation of Piperidine under Simulated Atmospheric Conditions. J. Phys. Chem. A 2024, 128, 2789–2814. [Google Scholar] [CrossRef]
- Rebelo, S.L.H.; Pires, S.M.G.; Simões, M.M.Q.; De Castro, B.; Neves, M.G.P.M.S.; Medforth, C.J. Biomimetic Oxidation of Benzofurans with Hydrogen Peroxide Catalyzed by Mn(III) Porphyrins. Catalysts 2020, 10, 62. [Google Scholar] [CrossRef]
- Committee for Medicinal Products for Human Use (CHMP). Withdrawal Assessment Report of Xiidra; EMA/334174/2020; European Medicines Agency: Amsterdam, The Netherlands, 2020. [Google Scholar]
- Center for Drug Evaluation and Research (CDER). Xiidra Pharmacology Review(s); Application Number 208073Orig1s000; Food and Drug Administration: Silver Spring, MD, USA, 2016. [Google Scholar]












| RT/min | Ion | Obs. m/z | Calc. m/z | Error/ppm | Suggested Structure | |
|---|---|---|---|---|---|---|
| LIF | 15.27 | [M-H]− | 613.0597 | 613.0609 | −1.96 | ![]() |
| [M+H]+ | 615.0785 | 615.0754 | 5.04 | |||
| DP7 | 14.31 | [M-H]− | 629.0589 | 629.0558 | 4.93 | ![]() |
| DP3 | 13.86 | [M-H]− | 617.0581 | 617.0558 | 3.73 | ![]() |
| [M+H]+ | 619.0711 | 619.0703 | 1.29 | |||
| DP4 | 12.06 | [M-H]− | 605.0543 | 605.0558 | −2.48 | ![]() |
| [M+H]+ | 607.0735 | 607.0703 | 5.27 | |||
| DP5 | 11.30 | [M-H]− | 633.0549 | 633.0507 | 6.63 | ![]() |
| [M+H]+ | 635.0682 | 635.0652 | 4.72 | |||
| DP8 | 10.51 | [M-H]− | 483.0208 | 483.0190 | 3.73 | ![]() |
| [M+H]+ | 485.0357 | 485.0335 | 4.54 | |||
| DP1 | 8.66 | [M-H]− | 469.0383 | 469.0397 | −2.98 | ![]() |
| [M+H]+ | 471.0561 | 471.0543 | 3.82 |
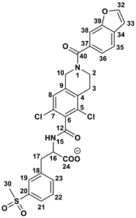
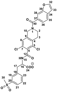
| Structure | Bond | BDE | Bond | BDE | Bond | BDE |
|---|---|---|---|---|---|---|
![]() | N1–C40 | 60.1 | N15–C16 | 66.6 | C23–H | 103.1 |
| C2–H | 81.7 | C16–H | 75.6 | C30–H | 95.1 | |
| C3–H | 76.4 | C16–C24 | 48.3 | C32–H | 112.6 | |
| C5–Cl | 77.1 | C16–C17 | 37.4 | C33–H | 112.1 | |
| C6–C12 | 76.8 | C17–H | 77.9 | C35–H | 104.8 | |
| C7–Cl | 78.7 | C17–C18 | 78.2 | C36–H | 103.5 | |
| C8–H | 105.8 | C19–H | 103.7 | C37–C40 | 76.6 | |
| C10–H | 70.4 | C20–S | 57.2 | C38–H | 106.3 | |
| C12–N15 | 73.3 | C21–H | 104.6 | |||
| N15–H | 98.5 | C22–H | 103.6 |
Disclaimer/Publisher’s Note: The statements, opinions and data contained in all publications are solely those of the individual author(s) and contributor(s) and not of MDPI and/or the editor(s). MDPI and/or the editor(s) disclaim responsibility for any injury to people or property resulting from any ideas, methods, instructions or products referred to in the content. |
© 2025 by the authors. Licensee MDPI, Basel, Switzerland. This article is an open access article distributed under the terms and conditions of the Creative Commons Attribution (CC BY) license (https://creativecommons.org/licenses/by/4.0/).
Share and Cite
Štefan, L.; Sušanj, I.; Buljević, J.; Roje, M.; Jurin, M.; Buljan, A.; Rinkovec, T.; Vianello, R.; Pocrnić, M.; Galić, N.; et al. Lifitegrast Degradation: Products and Pathways. Pharmaceutics 2025, 17, 1299. https://doi.org/10.3390/pharmaceutics17101299
Štefan L, Sušanj I, Buljević J, Roje M, Jurin M, Buljan A, Rinkovec T, Vianello R, Pocrnić M, Galić N, et al. Lifitegrast Degradation: Products and Pathways. Pharmaceutics. 2025; 17(10):1299. https://doi.org/10.3390/pharmaceutics17101299
Chicago/Turabian StyleŠtefan, Leo, Ivan Sušanj, Jadranka Buljević, Marin Roje, Mladenka Jurin, Anđela Buljan, Tamara Rinkovec, Robert Vianello, Marijana Pocrnić, Nives Galić, and et al. 2025. "Lifitegrast Degradation: Products and Pathways" Pharmaceutics 17, no. 10: 1299. https://doi.org/10.3390/pharmaceutics17101299
APA StyleŠtefan, L., Sušanj, I., Buljević, J., Roje, M., Jurin, M., Buljan, A., Rinkovec, T., Vianello, R., Pocrnić, M., Galić, N., & Čikoš, A. (2025). Lifitegrast Degradation: Products and Pathways. Pharmaceutics, 17(10), 1299. https://doi.org/10.3390/pharmaceutics17101299









