Next Article in Journal
Stimuli-Responsive Liposomes of 5-Fluorouracil: Progressive Steps for Safe and Effective Treatment of Colorectal Cancer
Previous Article in Journal
Chitosan-Tricarbocyanine-Based Nanogels Were Able to Cross the Blood–Brain Barrier Showing Its Potential as a Targeted Site Delivery Agent
 
 
Font Type:
Arial Georgia Verdana
Font Size:
Aa Aa Aa
Line Spacing:
Column Width:
Background:
Article

Molecularly Imprinted Polymeric Nanoparticles as Drug Delivery System for Tenofovir, an Acyclic Nucleoside Phosphonate Antiviral

Institute of Organic and Analytical Chemistry (ICOA UMR 7311), University of Orleans, Centre National de la Recherche Scientifique, F-45067 Orléans, France
*
Authors to whom correspondence should be addressed.
Pharmaceutics 2024, 16(7), 965; https://doi.org/10.3390/pharmaceutics16070965
Submission received: 3 June 2024 / Revised: 19 July 2024 / Accepted: 19 July 2024 / Published: 21 July 2024
(This article belongs to the Section Drug Delivery and Controlled Release)

Abstract

A molecularly imprinted polymer of Tenofovir (1), an FDA-approved acyclic nucleoside phosphonate with antiviral activity, was synthesized using a non-covalent approach. A pre-polymerization complex was formed between (1) and DMAEMA and in-house synthetic N1-[(2-methacryloyloxy)ethyl] thymine, with EGDMA as a cross-linker in an MeCN/H2O (9:1, 1:1) mixture as a porogen, giving an imprinting factor (IF) of 5.5 at 2.10−5 mol/L. Binding parameters were determined by the Freundlich–Langmuir model, Qmax and Ka, and well as the particle morphology for MIP and NIP. Finally, the release profiles, for MIP and NIP, were obtained at 25 °C and 37 °C, which is body temperature, in a phosphate buffer saline, pH 7.4, mimicking the blood pH value, to determine the potential sustained release of our polymeric materials.

1. Introduction

Tenofovir (1) ((R)-9-(2-phosphonomethoxypropyl)adenine, PMPA) belongs to the family of acyclic nucleoside phosphonates pioneered by A. Holý and E. De Clercq in 1986 [1]. It is an analogue of adenosine monophosphate, with antiviral activity [2]. As with other nucleosides and nucleotide analogs, in order to be active, Tenofovir must be converted by two subsequent enzymatic phosphorylation processes [3] to Tenofovir diphosphate (analogue of ATP). It then acts as an obligate chain terminator against HIV reverse transcriptase and HBV DNA polymerase. Its poor solubility (2.5 mg/mL) in PBS (pH 7.4) and the negative charge at the phosphonic moiety of Tenofovir hampers its cellular penetration; thus, Tenofovir is converted into two oral formulations through water-soluble prodrugs such as Tenofovir disoproxil fumarate (2) (TDF) [4] and Tenofovir alafenamide (3) (TAF) (Figure 1) [5]. After oral absorption, TDF is quickly converted to Tenofovir in the plasma, then to Tenofovir diphosphate inside cells. The renal toxicity of Tenofovir disoproxil fumarate (TDF) [6,7] primarily arises from the high levels of Tenofovir in the plasma, which lead to accumulation in renal proximal tubule cells. This accumulation can cause mitochondrial toxicity and damage to these cells, impairing renal function. In contrast, TAF remains stable in the plasma, converting to Tenofovir only intracellularly, resulting in lower plasma Tenofovir levels and a different safety profile [8,9,10].
Besides prodrugs, other drug formulations include advanced delivery systems like nanoformulations [11], organic nanoparticles [12], and liposomes [13], which enhance stability, target specific tissues, and improve therapeutic efficacy. To address the limitations of current formulations, a new Tenofovir formulation aims to reduce renal toxicity, decrease bone density loss [14], and improve overall safety [8].
Few drug delivery systems (DDSs) for the release of Tenofovir have been investigated so far. We can quote the work of Spinks et al. [15] and Zidan et al. [16] on liposomal formulations of Tenofovir to enhance its bioavailability. Garcia et al. [17] developed nanodiscoidal bicelles in order to allow Tenofovir to cross the blood–brain barrier to fight persistent HIV-1 infections and neuroinflammation. More recently, Mandal et al. [18] designed a parenteral nanoparticle-based system for the sustained-release of TAF and bictegravir. Finally, Abadi et al. [19] explored the combination of Tenofovir with gold nanoparticles. Recently, a new DDS was developed by Hobson et al. for Tenofovir disoproxil fumarate. This drug is formulated as a novel nanoprecipitation system for long-acting depot injections in order to fine-tune control of the blood concentration of antivirals, to manage HIV infection in humans [20].
Among other DDSs, polymeric materials such as molecularly imprinted polymers (MIPs) have emerged as highly promising DDSs due to their versatility, capacity to encapsulate diverse drugs, excellent stability, and potential for administration through various routes [21,22,23,24]. Originally, MIPs were created as artificial enzymes by Wulff et al. [25]. Then, these materials were used to selectively extract and separate a compound of interest in the presence of hundreds of others in charged matrices, and this new use was initiated by Mosbach’s group [26]. All the teams that have studied this type of material have demonstrated that they are simple, fast, economical, and robust [27,28]. Of course, the synthesis of these polymeric particles presents some challenges. Key considerations include the selection of the template, which is the molecule that creates the selective cavities within the polymer matrix, the porogen, which is a pure solvent or a mixture of solvents capable of solubilizing all the molecules present before synthesis, and the functional monomer, tailored to the specific application. Monomer selection is based on the template’s physical–chemical properties to ensure stable supramolecular complexes through non-covalent, coordinative, or covalent bonding with the chosen template. Stability of the pre-polymerization complex is achieved via acid–base complementarity, hydrogen bonding, or other weak interactions, and typically using a 1:4 template-to-monomer ratio [29]. All of this makes MIPs highly stable with regard to pH, temperature, solvent, and aqueous media, allowing them to protect the drug “inside cavity” from chemical or enzymatic degradations.
In previous work, we showed that these molecularly imprinted materials were capable of selectively recognizing nucleoside derivatives, such as pseudouridine or ribavirin, or nucleotide derivatives, such as adenosine-5′-monophosphate. Their uses range from detecting urinary biomarkers of colorectal cancer in humans to transporting and releasing a molecule that activates cell regeneration in human skin [30,31,32,33]. Our group reported a MIP hydrogel for the drug delivery of the antiviral ribavirin drug [32]. The hydrogels produced demonstrated biocompatibility with model cells, particularly human lung epithelial BEAS-2B cells, showcasing excellent cell viability and a minimal pro-inflammatory response when incubated with imprinted polymers. Notably, viral tests conducted on Influenza A-infected lung cells reveal that imprinted delivery systems, delivering 1 to 3 µg of antiviral agents, exhibit comparable efficacy to a medium containing 30 µg mL−1 of the active agent. This underscores the ability of molecularly imprinted polymers as drug delivery systems to enhance local antiviral concentration and improve delivery, especially for low-bioavailability drugs. Thus, among the drug delivery systems, MIPs have become popular as drug vehicles. Unlike the conventional DDSs, thanks to specific polymer–drug interactions, MIPs showed high loading capacity, very high affinity with the drug, and were able to energetically keep a compound within its cavity. The consequences were a sustained release profile of the drug and a minimization of rapid active compound loss, named a burst. As a result, lower doses are required, decreasing vulnerability to adverse reactions and improving safety profiles [34].
From this perspective, we decided to translate this know-how to a family of antivirals known as acyclic nucleoside phosphonates, of which Tenofovir (1) is one of the best known, as it is used in the treatment of hepatitis B and AIDS. Thus, as part of our drug discovery program, we report herein the design and the preparation of new DDS system based on MIP technology for the sustained release of Tenofovir. The MIPs are based on non-covalent approaches in which Tenofovir (1) and selected monomers along with the porogen are pre-mixed and allowed to self-associate prior to polymerization. Based on the structure of Tenofovir, the functional monomers examined in this study were as follows: (1) 2-(dimethylamino)ethyl methacrylate (4) (DMAEMA), which is used in the production of cationic polymers, to favor ion-pairing interactions with the negative charges of the phosphonic acid moiety of Tenofovir, and (2) in-house-synthesized monomers based on a thymine scaffold to favor a Watson–Crick base pairing interaction with the adenine of Tenofovir, e.g., the N1-methacryloyl thymine (5) and the N1-[(2-methacryloyloxy)ethyl] thymine (6) (Figure 2). Ethylene glycol dimethacrylate (EGDMA) (7) was used as a cross-linker and a mixture of acetonitrile–water (90:10, v/v) as a solvent for the polymerization. This solvent was used in order to dissolve all the starting materials with no/few interferences during the polymerization process.
The adsorption isotherms were determined for the MIP of Tenofovir and the non-imprinted one, taken as reference, to obtain the number of specific cavities, association constants, and payload of the drug delivery systems. The release profiles, for MIP and NIP, were obtained at 25 °C and 37 °C, which is body temperature, in a phosphate buffer saline, pH 7.4, mimicking the blood pH value, to determine the potential sustained release of our polymeric materials.

2. Materials and Methods

2.1. Reagents

Tenofovir (1) was purchased from Carbosynt Ltd. Commercially available chemicals were of reagent grade and used as received. DMAEMA (4) and EGDMA (7) were purchased from Sigma-Aldrich and used as received, unless otherwise stated. N1-methacryloyl thymine (5) and N1-[(2-methacryloyloxy)ethyl] thymine (6) were synthesized in-house according to the procedure outlined below. HPLC-grade solvents, acetonitrile (MeCN) and methanol (MeOH), were obtained from Merck and were used as received. All reactions requiring anhydrous conditions were made with glassware after an oven drying step and under dry and inert gas (Ar or N2). The reactions were checked by separation of the mixture on 5 × 10 cm silica gel plates (Kieselgel 60F254, E. Merck) by thin-layer chromatography. Purification of the products was carried out by glass column chromatography using Silica Gel 60 M particles (40–63 µm, E. Merck). The NMR spectra (1H and 13C) were acquired on Avance DPX 250 or Avance 400 Spectrometers (Bruker) with deuterated solvents as the internal standard. Chemical shifts are expressed in ppm and multiplicities are reported as s, d, t, q, ds, and m, meaning singlet, doublet, triplet, quartet, broad signal, and multiplet, respectively. High-Resolution Mass spectra were obtained on a MaXis Q-TOF mass spectrometer (Bruker).

2.2. General Procedures for the Synthesis of N1-methacryloyl thymine (5)

To a suspension of thymine (8) (500 mg, 3.97 mmol, 1 eq.) in dry acetonitrile, N,O-bis(trimethylsilyl)acetamide (BSA) (2.44 mL, 9.92 mmol, 2.5 eq.) was added, and the mixture was stirred until solubilization of pyrimidine base (10 min). The mixture was cooled down to −40 °C and methacryloyl chloride (7.94 mmol, 772 µL, 2 eq.) was added dropwise. After 16 h of stirring, the mixture was concentrated under reduced pressure. The crude was purified by recrystallization in a small amount of acetonitrile to give the desired compound (5) as a white solid (423 mg, 55%).
1H NMR (400 MHz, d6-DMSO) δ 11.56 (bs, 1H, H3), 7.72 (d, J = 1.7 Hz, 1H, H6), 5.73 (s, 1H, CH2=C-), 5.67 (d, J = 1.8 Hz, 1H, CH2=C-), 1.98 (s, 3H,=C-CH3), 1.83 (s, 3H, CH3-thymine). 13C NMR (101 MHz, d6-DMSO) δ 171.3 (C=O), 164.4 (C4), 149.6 (C2), 140.1 (CH2=C-CH3), 135.6 (C6), 124.0 (CH2=C-CH3), 111.6 (C5), 18.4 (CH2=C-CH3), 12.4 (CH3-thymine). HRMS-ESI (m/z) [M+H]+ calcd for C9H11N2O3: 195.0764 found: 195.0763.

2.3. General Procedures for the Synthesis of N1-[(2-Methacryloyloxy)ethyl] Thymine (6)

2.3.1. Synthesis of N3-Benzoylthymine (9)

Benzoyl chloride (2.8 mL, 23.82 mmol, 3 eq.) was added to a solution of thymine (1 g, 7.94 mmol, 1 eq.) in a 2/5 dry mixture of pyridine and acetonitrile. The mixture was stirred at room temperature for 24 h. Then, all volatiles were evaporated, and the crude was portioned between dichloromethane and water. The organic layer was recovered and evaporated under reduced pressure and the residue was engaged in the second step without purification: A mixture of aqueous potassium carbonate (0.5 M) and 1,4 dioxane was added and the reaction medium was warmed to 70 °C. After 2 h of stirring (complete conversion), the solution was cooled down to room temperature and glacial acetic acid (AcOH) was added to lower the pH to 5 to form a precipitate. Then, the aqueous mixture was filtered off, and 2 successive washes with cold water and diethyl ether gave the desired N3-benzoylthymine as a white solid (1.78 g, 98%).
1H NMR (400 MHz, d6-dimethylsulfoxide (d6-DMSO)) δ 11.56 (bs, 1H, NH), 7.97–7.89 (m, 2H, CH2-bz), 7.77 (t, J = 7.4 Hz, 1H, CH-bz), 7.60 (t, J = 7.7 Hz, 2H, CH2-Bz), 7.53 (s, 1H, H6), 1.82 (s, 3H, CH3-thymine). 13C NMR (101 MHz, d6-DMSO) δ 170.6 (C=O-bz), 164.0 (C4), 150.5 (C2), 139.4 (C6), 135.8 (CH-bz), 131.9 (Cq-bz), 130.7 (CH2-bz), 129.9 (CH2-bz), 108.3 (C5), 12.2 (CH3-thymine). HRMS-ESI (m/z) [M + H]+ calcd for C12H11N2O3 231.0764 found 231.0764.

2.3.2. Synthesis of N1-(2-hydroxyethyl)-N3-benzoylthymine (10)

2-Bromoethanol (1.23 mL, 17.36 mmol, 4 eq.) was added to a suspension of obtained N3-benzoylthymine (1 g, 4.34 mmol, 1 eq.) and K2CO3 (1.8 g, 13.02 mmol, 3 eq.) in dry dimethylformamide (DMF) at 0 °C. The reaction mixture was stirred at room temperature for 2 days. The resulting precipitate was filtrated off and the filtrate was concentrated under reduced pressure. The residue was diluted with ethyl acetate (EtOAc) and washed with H2O and brine and dried over Na2SO3. The residue was concentrated under vacuum and purified with flash chromatography using petroleum ether (PE)/EtOAc as the eluent (1/1 to 2.5/7.5, v/v), to give N1-(2-hydroxyethyl)-N3-benzoylthymine as a white solid (770 mg, 2.8 mmol, 65%).
1H NMR (400 MHz, d6-DMSO) δ 7.94 (d, J = 8.0 Hz, 2H, CH2-Bz), 7.78 (t, J = 8.0 Hz, 1H, CH-Bz), 7.71 (s, 1H, H6), 7.60 (t, J = 8.0 Hz, 2H, CH2-Bz), 5.02 (t, J = 5.4 Hz, 1H, OH), 3.78 (t, J = 5.4 Hz, 2H, CH2-CH2-OH), 3.62 (q, J = 5.1 Hz, 2H, CH2-OH), 1.85 (s, 3H, CH3-thymine). 13C NMR (101 MHz, d6-DMSO) δ 169.8 (C=O-bz), 163.0 (C4), 149.5 (C2), 143.4 (C6), 135.3 (CH-Bz), 131.3 (Cq-bz), 130.2 (CH2-Bz), 129.4 (CH2-Bz), 107.7 (C5), 58.4 (CH2-OH), 50.5 (CH2-CH2-OH), 11.8(CH3-thymine). HRMS (ESI): m/z [M+H]+ calcd for C14H14N2O4: 275.1027 found 275.1026.

2.3.3. Synthesis of N1-(2-hydroxyethyl) thymine (11)

A mixture of N1-(2-hydroxyethyl)-N3-benzoylthymine (10) (548 mg, 2 mmol, 1 eq.) and 16% (7 N) ammonia in methanol was stirred at room temperature for 4 days. The mixture was concentrated in a vacuum and the resulting residue was purified with flash chromatography using dichloromethane (DCM)/methanol (MeOH) as the eluent (95/5 to 93/7, v/v), to give N1-(2-hydroxyethyl) thymine as a white solid (300 mg, 1.76 mmol, 88%).
1H NMR (400 MHz, d6-DMSO) δ 11.18 (bs, 1H, H3), 7.43 (s, 1H, H6), 4.87 (bs, 1H, OH), 3.68 (t, J = 5.4 Hz, 2H, CH2-CH2-OH), 3.56 (q, J = 5.4 Hz, 2H, CH2-OH), 1.75 (s, 3H, CH3-thymine). 13C NMR (101 MHz, d6-DMSO) δ 164.9 (C4), 151.4 (C2), 142.9 (C6), 108.0 (C5), 59.1 (CH2-OH), 50.4 (CH2-CH2-OH), 12.4 (s, CH3-thymine). HRMS (ESI): m/z [M + H]+ calcd for C7H11N2O3: 171.0764 found 171.0764.

2.3.4. Synthesis of N1-[(2-methacryloyloxy)ethyl] thymine (6)

To a suspension of N1-(2-hydroxyethyl) thymine (11) (200 mg, 1.18 mmol, 1 eq.) in anhydrous tetrahydrofuran (THF), triethylamine (0.66 mL, 4.72 mmol, 4 eq.) was added. The mixture was cooled at 0 °C and methacrylate chloride (0.14 mL, 1.42 mmol, 1.2 eq.) was added dropwise to the reaction. The mixture was stirred at 25 °C for 18 h. The volatiles were evaporated, and the expected N1-[(2-methacryloyloxy)ethyl thymine (6) was obtained as a withe powder (153 mg, 55%) by flash column chromatography on silica gel using PE/EtOac (1/1, v/v) as the eluent.
1H NMR (400 MHz, D6-DMSO) δ 11.25 (s, 1H, NH), 7.52 (s, 1H, H6), 6.01 (s, 1H, C=CH2), 5.68 (s, 1H, C=CH2), 4.29 (t, J = 5.1 Hz, 2H, CH2-O), 3.94 (t, J = 5.1 Hz, 2H, CH2-CH2-O), 1.84 (s, 3H, CH3-acrylate), 1.73 (s, 3H, CH3-thymine). 13C NMR (101 MHz, D6-DMSO) δ 166.2 (C=Oacrylate), 164.2 (C4), 150.9 (C2), 141.7 (C6), 135.5 (C=), 126.1 (=CH2), 108.3 (C5), 61.8 (CH2-O), 46.2 (CH2-CH2-O), 17.9 (CH3-acrylate), 11.8 (CH3-thymine). HRMS (ESI): m/z [M + H]+ calcd for C11H15N2O4: 239.1026 found 239.1030.

2.4. Polymer Synthesis with Monomer (6) by Precipitation Polymerization

To an aqueous suspension of Tenofovir (1) (0.17 mmol, 1 eq.),2-(dimethylamino)ethyl methacrylate (4) was added and stirred until solubilization of the compounds (~2 min). Then, acetonitrile (MeCN) and the functional monomer N1-[(2-methacryloyloxy)ethyl thymine (6) (0.17 mmol, 1 eq.) were added. The resulting homogenous solution was stirred at room temperature for 4 h to form a pre-polymerization complex. Subsequently, 3.4 mmol (20 eq.) of EGDMA (cross-linker) and the initiator azobisisobutyronitrile (AIBN) (7.5 mg) were introduced into a round-bottom flask and degassed for 15 min with argon. After, the round-bottom flask was sealed and placed, overnight, in an oil bath at 70 °C without any stirring. After the polymerization took place, the polymeric precipitate was recovered by centrifugation at 20 °C, 12,000 RPM. Non-imprinted polymers (NIPs) were made in a similar manner, but with the omission of the Tenofovir template (1). The formulations are presented in Table 1.

2.5. Extraction of the Template (1)

Extraction of (1) was performed by consecutive ultrasound washings, using a mixture of methanol (MeOH) and acetic acid (AcOH) (9:1, v/v) for 1 h at 50 °C. After every washing step, the solution was replaced by a fresh mixture of solvents. The extracted concentration of Tenofovir was quantified by HPLC analysis to calculate the quantity of the antiviral remaining in the polymer. All Tenofovir solutions were analyzed on an Agilent 1260 Infinity LC System (Agilent Technologies, Les Ulis, France). The device is made up four modules, a high-pressure binary pump (G1311B), an autosampler (G1329B), a column oven (G1316A), and a UV–visible Diode Array Detector (G4212B) equipped with a Max-Light cartridge cell (1 μL volume, 10 mm cell path length). The separation was performed with the use of an Eclipse plus C18 analytical column (4.6 × 75 mm, 1.8 µm particle size) (Agilent Technologies, Les Ulis, France). The injection volume was 0.5 µL. The temperature of the column oven was set at 35 °C. The separation of Tenofovir is selective due to the fact that no other possible analytes, such as monomers, cross-linkers, and initiators used in the formulations, are co-eluted with antiviral. The mobile phase used in isocratic mode consisted of a mixture of 95% buffer (ammonium phosphate, pH 5) and 5% methanol, in v/v proportions, with a flow rate of 0.8 mL.min−1. Tenofovir showed a retention time of 2.5 min when monitored at its maximum absorbance wavelength equal to 260 nm (Figure S1). The calibration range used was linear (R2 = 0.9999) over the 0.004–2 mM concentration range (Figure S2).

2.6. Rebinding Studies of Tenofovir (1)

Batch adsorption experiments were used to estimate the binding capacity of the imprinted polymer. In an Eppendorf, 10 mg of MIP and NIP particles were thoroughly mixed with 1 mL of Tenofovir solution in a mixture of MeCN/H2O (1:1, v/v) at different concentrations (0.02–2 mM) and then thermostated at 25 °C for 16 h under continuous shaking (500 RPM). After the binding process was completed, the Eppendorf was used for centrifugation for 10 min at 10,000 RPM and the clear supernatant was removed. The free concentration of Tenofovir after rebinding was determined by the HPLC-UV method described in part 2.4. Three replicate extractions and measurements were performed for each concentration. The amount of Tenofovir bound per mass unit of polymers (Qe) was calculated according to Equation (1):
Qe = (C − Ce) × V/m
where C is the concentration of Tenofovir before equilibrium, Ce is the free concentration of Tenofovir in the supernatant after equilibrium, V is the volume of the added solution, and m is the mass of the polymer.
Application of adsorption isotherm models allowed for the acquisition of important information concerning the strength of the interaction between the monomers and polymers, given by the association constant Ka, the capacity of adsorption by “active” sites, given by Qmax, and the m exponent of the Freundlich or Freundlich–Langmuir model.
The equations used to model the adsorption isotherms are as follows:
Freundlich :   Q e = K f × C e m
Langmuir :   Q e = Q m a x × K a × C e 1 + K a × C e
Freundlich - Langmuir :   Q e = Q m a x × ( K a × C e ) m 1 + ( K a × C e ) m
Here, Qe: quantity adsorbed at equilibrium (mol/g); Kf: Freundlich constant (L/g); m: Freundlich or Freundlich–Langmuir exponent; Ce: solution concentration at equilibrium (mol/L); and Qmax: maximum adsorption capacity (mol/g).

2.7. Kinetic Study of Tenofovir Release

The release studies of antivirals from imprinted and non-imprinted polymers were carried out placing 10 mg of loaded polymer particles in a dialysis bag (Spectra-Por® Float-A-Lyzer® G2, MW cut off 3.5–5 kDa, 1 mL, Dutscher, Bernolsheim, France) containing 1 mL of Phosphate-Buffered Saline (PBS) solution (pH 7.4). The dialysis bag was suspended in a flask containing 6 mL PBS buffer (pH 7.4), maintained at 25 °C or 37 °C. At required intervals, 50 µL of the buffer in the flask was collected for HPLC analysis. To maintain a constant release volume, the same volume of fresh PBS buffer solution, at the same temperature, was added immediately.
In order to investigate the kinetics of drug release in vitro and to understand the mechanism regulating its release from the materials, different kinetic models, such as zero-order, first-order, and Korsmeyer–Peppas, were used by applying the following Equations ((5)–(7), respectively) [35]:
Q = Q 0 + k 0 × t
Ln Q = Ln Q i + k 1 × t
Q Q t = k × t n
where Q: quantity released of Tenofovir at time t; k: speed constant; Q0: initial amount released; Qi: initial amount in polymer; and Qt: total amount released.

3. Results

3.1. Solvent

In the development of imprinting polymers, the choice of solvent or mixture is crucial. In fact, the solvent must be able to solubilize all functionals monomers, the cross-linker, and the template. For biomedical application, the solvent should be biocompatible, show low toxicity, and be easily removable in the washing step. For polymerization precipitation, pure acetonitrile or acetonitrile in a mixture, most frequently with toluene, is the solvent of choice. Its use in non-covalent imprinting is interesting since it is a polar aprotic solvent which promotes hydrogen bonds between the template and functional monomers. Unfortunately, due to its physicochemical properties, especially its Log P of −1.12, calculated by MarvinSketch 23.17 (ChemAxon, Ltd., Budapest, Hungary), Tenofovir (1) is not soluble in this solvent. While water is a biocompatible solvent and can solubilize Tenofovir, this solvent cannot be used as a substitute for acetonitrile because its protic character destabilizes the hydrogen-bonded pre-polymerization complex [29]. Furthermore, the use of water in precipitation polymerization leads to the synthesis of irregular particles [36]. However, a binary mixture with a small amount of water can be used in imprinting polymerization and lead to regular particles. Kong et al. [37] demonstrated that an ethanol/water mixture produces spherical nanoparticles by precipitation polymerization at a water content of less than 12%. Solubility tests of Tenofovir on MeCN/H2O (1:1, v/v) showed that our template has a maximum solubility of 2 mM. Above a 50 vol.% of acetonitrile in the binary mixture, the solubility of Tenofovir becomes extremely low. Because of the maximum solubility in this binary mixture and the high percentage of water, a polar protic solvent which hinders the desired non-covalent intermolecular interactions, mainly hydrogens bonds, this mixture cannot be used. Among the three solubility parameters described by Hansen’s theory [38], which are δD (representing the non-polar interactions derived from the London dispersion force), δP (representing the polar interactions related to Keesom forces) and δH (related to the ability to form hydrogen bonds), it is this last parameter which rises sharply in the acetonitrile/water mixture as the percentage of water increases (Figure 3). This increase disfavors the base pairing interaction between adenine (Tenofovir) and thymine (monomer) nucleobases.
To overcome the poor solubility of Tenofovir in acetonitrile, an ionic pairing between the phosphonate moiety of Tenofovir and an appropriate monomer can increase its apolarity. Indeed, the phosphonate function of Tenofovir shows two pKa values (pKa1 = 1.31; pKa2 = 7.90) which are estimated by MarvinSketch 23.17 (Chemaxon, Ltd., Budapest, Hungary) and in accordance with those reported in the literature for alkylphosphonics acids [39]. In addition, in Figure S3 (SI) is plotted the percentage of different forms (neutral and protonated) of Tenofovir as a function of pH, showing that Tenofovir is monocharged for pH values between 3 and 7. As a consequence, functionals monomers containing amine moieties can be used to create ionic interactions.

3.2. Functionnal Monomers

Based on the chemical structure of Tenofovir, there are two potential sites for energetic interactions with ad hoc functional monomers, i.e., at the purine nucleobase adenine (acceptor and donor of hydrogen bond) and at the phosphonate moiety (ionic interactions).

3.2.1. Choice of Monomer Ratio: Template for Ion Exchange Interaction

Concerning electrostatic interaction, required for solubilized Tenofovir in the MeCN/H2O mixture (9:1, v/v), the ratio of template/monomer is 1:1. According to Figure S3, Tenofovir is 97% monocharged at pH 6.4 and needs one equivalent of an amine monomer for ionic paring, provided Δpka > 4 [40]. Among the monomers with amine functionality, 2-(dimethylamino)ethylmethacrylate (7), showing a pKa of 8.42, estimated by MarvinSketch 23.17 (Chemaxon, Ltd.), has been used in imprinting polymers to recognize phosphophonate/phosphate moieties.

3.2.2. Choice of Monomer Ratio: Template for Base Pairing

In order to recognize the nucleobase adenine, functionals monomers derived from uracil can be used. In fact, complementary base pairing by Watson–Crick interactions is well known and required for acyclic nucleoside phosphonates’ antiviral activities. Adenine has been shown to associate with thymine (or uracil) by creating two inter-molecular hydrogen bonding interactions. This kind of interaction has already been explored in polymeric fields, especially in imprinting polymers. This basic complementarity, via a thymine analog, the N1-(vinylbenzyl)thymine, was recently used in the design of two molecularly imprinted polymers by Mourão et al. [41], for adenosine monophosphate, and by Wei et al. [42], for 2′-deoxyadenosine. In both syntheses, the ratio of template/monomer was 1: 1, mimicking Watson–Crick interactions. Based on these results, we synthesized our monomer.

3.2.3. Synthesis of Monomers (5) and (6)

In the first instance, we decided to synthesize a thymine derivative by adding an acrylate function directly to the N1 position. To increase the solubility of thymine and favor N-alkylation (versus O-alkylation), thymine was persilylated by reacting with N,O-bis(trimethylsilyl)acetamide (BSA). This silylated intermediate was then subjected to an N-acylation reaction in acetonitrile with methacryloyl chloride at −40 °C for 16 h. The N1-(methacryloyl)thymine (5) (Figures S4 and S5) was obtained in a 55% yield (Scheme 1). The low-temperature reaction favored the mono-substituted product over the di-substituted one, which was observed mainly at room temperature and reflux in dimethylformamide or acetonitrile.
However, this compound is highly unstable under water conditions (releasing the thymine) and it turned out that it could not be used as a functional monomer in our polymerization process performed in a mixture of MeCN/H2O (9:1, v/v). Thus, to overcome this problem, we decided to synthesize N1-[(2-methacryloyloxy)ethyl thymine (6) (Figures S6 and S7), which possess a non-hydrolysable ethyl linker between the pyrimidine base and the polymerizable function. This linker can also provide flexibility during the creation of the cavities in imprinting polymerization. The synthesis of 6 is outlined in Scheme 2. After the dibenzoylation of thymine at N1 and N3, treatment with a solution of potassium carbonate in 1,4-dioxane at 70 °C for 2 h resulted in selective N1 deprotection and gave the expected N3-benzoyl thymine (9) (Figures S8 and S9) in a 98% yield.
Following the procedure of Kitamura et al. [43], the N3-benzoylthymine (8) was subjected to N-alkylation using 2-bromoethanol and potassium bicarbonate in dimethylformamide at room temperature for 2 days to give compound (10) (Figures S10 and S11) in a 65% yield. Removal of the benzoyl group with ammonium methanolate afforded the N1-(2-hydroxyethyl)-thymine (11) (Figures S12 and S13) in an 88% yield. The reaction of N-acylation between compound (11) and methacryloyl chloride in the presence of triethylamine in tetrahydrofuran at room temperature for 18 h gave the expected N1-(2-methacryloyloxy)ethyl] thymine (6) in a 55% yield.

3.3. Imprinted Polymer Synthesis

As previously mentioned, an ionic pairing interaction is required to solubilize Tenofovir in a mixture of MeCN/H2O (9:1, v/v). A pre-polymerization complex (Figure 4) is formed by solubilized Tenofovir in water with 2-(dimethylamino)ethyl methacrylate (DMAEMA) (4), followed by the addition of acetonitrile and N1-[(2-methacryloyloxy)ethyl] thymine (6). The cross-linker chosen is ethylene glycol dimethacrylate (EGDMA) (7), which belongs to the same acrylate family. It is a biocompatible cross-linker, one of the most widely used in MIP design and soluble in our MeCN/H2O mixture. This cross-linker was also chosen to minimize hydrophilic interactions with the template. In addition, the use of high cross-linking degrees can lead to better recognition performance and a slower release kinetic in molecularly imprinted polymers compared to non-imprinted materials.
The formulation of the MIP is described in Table 1. A non-imprinting polymer was synthesized in parallel under the same conditions as the MIP, but in absence of Tenofovir, to serve as a control (blank). Theoretically, due to the absence of the template, the NIP had only nonspecific sites, different to the MIP which represented nonspecific sites and specific recognition sites. These sites are able to recognize the shape, size, and chemical functionalities of the target molecule. Therefore, the NIP was necessary to characterize the selectivity of the MIP for the template, Tenofovir.

3.4. Optimization of the Template Extraction

After polymerization, a washing step of the polymeric materials was conducted to eliminate the residues of reagents (monomers, cross-linker, etc.) and extract the template from the MIP cavities. Among the several washing methods cited in the literature [44], the ultrasound method was chosen. It has already proved its worth in the extraction of nucleosides, like ribavirin or adenosine 5′-monophosphate. To ensure the conformity of our analyses, the MIP and NIP washes were carried out under the same conditions. In order to break the ionic interaction and hydrogen bonds, our washing solution was composed of an MeOH/AcOH mixture (9:1, v/v), one of the most widely used mixtures for extracting small organic molecules acting as templates [45]. Every hour, the washing suspension was centrifugated and the washing liquid was changed. A few microliters of the supernatant was injected by HPLC to determine the extracted amount of Tenofovir every hour. After a number of washes, no more Tenofovir was extracted and three washes with the MeOH/H2O solution (9:1 v/v) were performed to remove acetic acid from the medium.

3.5. Physical Characterisation

Scanning electron microscopy was used to determine the morphology of the synthesized polymers, both the MIP and NIP (Figure 5). These analyses were performed at Platform MACLE-CVL, using the apparatus JEOL IT800SHL FEGSEM (Field Emission Scanning Electron Microscope (Schottky)).
Figure 5 illustrates the morphological analysis of the two polymers using scanning electron microscopy (SEM). The micrographs obtained revealed no significant differences in textural properties; however, there was a change in the mean particle size, as shown in Figure 6. The mean size of MIP particles was 0.618 ± 0.187 µm, which was lower than that of NIP ones, calculated as 1.261 ± 0.238 µm. All size measurements were carried out on 75 particles. The range of size values was lower for the MIP comparatively to the NIP, with 1.179 µm and 2.042 µm for the MIP and NIP material, respectively. The use of a porogen, in the form of a mixture of water and predominantly acetonitrile, appears to be effective in the synthesis of polymeric particles imprinted by precipitation with a hydrophilic template that is not soluble in the organic solvent alone. But the template could play a role in the morphology of MIP particles, as shown here by the mean size being lower for the MIP than the NIP (Figure 6).

3.6. Binding Isotherms of Tenofovir

Adsorption studies of Tenofovir on MIP submicroparticles and NIP microparticles were performed by batch. It is well known that the recognition and selectivity of a MIP for its template is enhanced when the recapture solvent is identical to the polymerization solvent. However, due to the low solubility of Tenofovir in a mixture containing a large proportion of acetonitrile, we chose to perform these adsorption studies in a mixture of MeCN/H2O (1:1, v/v). Adsorption isotherms were obtained by plotting the adsorbed quantity (Qe) versus the equilibrium concentration (Ce) of Tenofovir. The polymer (10 mg) was brought into contact with 1 mL of Tenofovir solution of different concentrations ranging from 0.004 to 2 mM (the concentration of 2 mM corresponds to the maximum solubility of antiviral in this medium). The contact period lasted 16 h to ensure maximum adsorption at equilibrium. Adsorption isotherms as a function of equilibrium concentration Tenofovir for MIP and NIP are shown in Figure 7.
The maximum adsorption capacity Qmax, the association thermodynamic constant Ka, and the exponent m are summarized in Table 2. The presence of specific cavities in the MIP is usually checked by dividing the amount of template bound on the MIP by that bound on the NIP at a given concentration. The higher the ratio, named the imprinting factor (IF), reaches above 1, the more evidence there is of molecularly imprinted cavities within the MIP. Because, at the value of 1, the MIP has the same behavior of adsorption to the reference material, the non-imprinted polymer, the presence of a population of specific recognition sites, due to the template in the synthesis medium, is not demonstrated.
According to results of Table 2, the best fit is obtained with the theoretical Freundlich–Langmuir model for the MIP and NIP. In order to determine the correct correlation between the theoretical and experimental models, several statistical tests were considered, such as the coefficient of determination R2, which should be as close to 1 as possible, the Fisher Fvalue test, which should be as high as possible, the Chi-square test (χ2), which should give a number as small as possible, and the Residual Sum of Squares (RSS), which should show the lowest possible calculation result. These data are shown in the Table 2.
Adsorption isotherms are used to understand the equilibrium mechanisms between adsorbate, Tenofovir, and adsorbent, MIP or NIP, by plotting the quantity of molecule adsorbed as a function of its equilibrium concentration. Generally, three models are used to simulate these isotherms in studies of molecularly imprinted materials. There are the empirical Freundlich model, the theoretical Langmuir model, and a combination of the two equations, resulting in the empirical Freundlich–Langmuir model. The first model requires two assumptions: the molecules are distributed on the surface according to Boltzmann’s law and the adsorption energies are much higher than the thermal energy. This model makes it possible to explain the adsorption equilibrium for adsorbent materials presenting a heterogeneous surface in terms of heat of adsorption. The assumptions of Langmuir’s model are that adsorption must be monolayer, that all sites are equivalent in terms of interaction energy, and that there are no lateral interactions between the adsorbed molecules. The Freundlich–Langmuir equation reduces to the Freundlich equation at low solute concentrations and, like the Langmuir equation, exhibits a finite saturation limit at sufficiently high concentrations. Figure 7 shows that the curves representing adsorbed quantities per unit mass of material (Qe) for MIPs and NIPs are not merged, and that the MIP curve shows a higher Qe than the NIP one over the entire Tenofovir concentration range. This phenomenon indicates an imprinting effect. Both isotherms have a peculiar shape, corresponding to the “S” (Sigmoidal) type with an inflection point. The sigmoid shape of an adsorption isotherm is generally regarded as indicative of a cooperative adsorption effect [46]. This is confirmed by the fact that the exponential factor associated with equilibrium solution concentrations in the Freundlich–Langmuir model is higher than 1 (Table 2). When this number is equal to 1, the model is equivalent to the theorical Langmuir model, and if the exponent n associated with the concentration is less than 1, it is instead linked to a Gaussian distribution of sorption/binding sites by energy. Consequently, the exponent m (>1) can be interpreted as the degree of cooperativity of the adsorption process [47]. In this way, n takes on a physical meaning, as the number of molecules cooperating during absorption. In fact, the sorption of the first molecule of Tenofovir promotes the subsequent adsorption of other molecules. In some cases, the exponent can represent the formal number of molecules cooperating in such a ‘collaborative’ interaction. [48]. This phenomenon has been reported several times in literature in the case of the adsorption of nucleotides, of which Tenofovir is an analogue [49,50,51].
Here, the exponent found for the NIP is almost equal to 2. If we assume that this number reflects the number of molecules interacting together on the polymer surface, we could assume that Tenofovir is anchored to the surface in pairs. The first molecule bonds via the phosphonate function to the ammonium moiety associated with the DMAEMA monomer forming the material. This is because the energy of the ionic interaction is higher than a hydrogen bond, which is relatively unfavorable in a semi-aqueous medium. A second molecule then joins the first by associating with the nucleic bases (adenosine) of Tenofovir on the basis of base-stacking, as was discussed in a previous work on the adsorption of nucleotides on minerals [49]. The capacity seems to be related to non-specific interactions (no specific cavities), directly linked to the accessible ion exchange functions. Of course, the thymine-derived monomer plays a role in adsorption, but not to the same extent as on the MIP. The Gaussian curve for the affinity distribution, N(K) versus LogK (Figure 8), of the NIP is tighter than that of the MIP, with an apex placed at a value of LogK lower than that of the MIP. This indicates less heterogeneity in terms of adsorption energy in the NIP, but with an average value less pronounced than that of the MIP. For the MIP, the affinity distribution curve, expressed by a Gaussian distribution, is wider than that for the NIP. The decreasing part, at high levels of LogK, corresponds to the part of the isotherm corresponding to low concentrations, where the high-affinity binding sites are preferentially occupied [52]. This demonstrates the presence of specific cavities within the imprinted material (grey area shown in Figure 7 between the MIP and NIP affinity distribution curves, in red and blue colors, respectively).
Finally, the imprinted material showed a greater capacity both in terms of moles of Tenofovir adsorbed per unit mass of material (22.7 µmol/g) than the non-imprinted one (18.9 µmol/g), and in terms of the adsorption constant, 3079 versus 2754.
Particles synthesized in the presence of the template fully demonstrated the presence of specific recognition cavities for Tenofovir, as the imprinting factors (IFs) are 5.48, 1.61 and 1.23 for concentrations of this antiviral equal to 1.95 · 10−5, 1.83 · 10−4 and 2 · 10−3 mol·L−1, respectively.
These results are confirmed by the release study where the total loadings of the materials, MIP and NIP, are initially found to be 2.75 · 10−5 mol·g−1 and 2.18 · 10−5 mol·g−1, respectively, and correlate with theoretical ones (calculated by Freundlich–Langmuir model, Equation (4)). Moreover, due to the difference in association constants favorable to the MIP, and so to the IF, Tenofovir should show a slower release profile than the NIP.

3.7. Kinetics of the Tenofovir Release

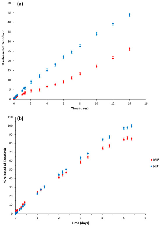
A kinetic study of Tenofovir release was performed on the synthesized MIP and NIP. Thus, 10 mg of each synthetized material was loaded by using 1 mL of a solution of Tenofovir at 2 mM in an MeCN/H2O mixture (1:1, v/v). This release study was conducted in phosphate buffer saline (pH 7.4, 0.01 M) at 25 °C and 37 °C. HPLC analysis of the release medium at different times yielded the quantities of Tenofovir reloaded as function of time. The ratio of the released mass of Tenofovir to the initial mass of Tenofovir contained in the polymers as function of time is plotted in Figure 9 at 25 °C and 37 °C, respectively.
At 25 °C, the obtained curves show a sustained release of Tenofovir which is more pronounced in the imprinting polymer. Indeed, after 2 weeks, the cumulative percentage of Tenofovir release is 43.85 ± 1.77% and 26.19 ± 1.67% for the NIP and MIP, respectively. The NIP seems to correlate to an affine line. We applied two models, the kinetic models of zero-order and first-order. This first model describes a release rate of the active ingredient that is independent of its concentration. By applying the zero-order and first-order models, coefficients of determination (R2) were obtained using linear regression (0.9953 for zero-order and 0.9995 for first-order kinetics). This coefficient is greater for the first-order model. Thus, Tenofovir release from the non-imprinted material follows the first-order model, with a constant rate of 0.0017 h−1.
The MIP profile appears to be triphasic and does not correlate with any classical model. The profile shows a slight flattening after 2 days. This phenomenon may be related to the hydration of the polymer. At the beginning, the release of Tenofovir results from non-specific interactions on the particle surface. Then, as the imprinting polymer is hydrophobic due to the high cross-linking density of EDGMA, the diffusion of water takes time to reach the Tenofovir retained more deeply in the polymer matrix. After a few days, when the polymer is fully hydrated, the release of Tenofovir increases rapidly. This phenomenon may be due to swelling or degradation of the polymer matrix [53].
At 37 °C, the obtained curves showed a sustained release of Tenofovir for both imprinting and non-imprinting faster than at 25 °C. In fact, a total delivery (99.71 ± 1.92%) is observed in 6 days for the NIP (only 22.79 ± 1.67% at 25 °C) while the MIP released 85.42 ± 1.84% in the same time (only 9.03 ± 0.84% at 25 °C). These results showed that temperature influenced the kinetic release of Tenofovir. Indeed, higher temperatures accelerate the diffusion process, resulting in the polymer being quickly and thoroughly hydrated. Thus, Tenofovir retained in the cavities will be released more rapidly. The interaction between hydrophobic chains inside the polymeric matrix, due to dispersion forces, is reduced at 37 °C, facilitating solvent entry and disturbing the cavity’s integrity and pushing out the Tenofovir complexed in these “molecular imprints”. But, also, by increasing the temperature of medium, the solubility of Tenofovir in the solvent is increased, and the forces of attraction, ionic exchange, hydrogen bonds, and probably pi-stacking, existing between the matrix and adsorbed Tenofovir, are significantly reduced.
To describe the release phenomenon, we applied the Korsmeyer–Peppas [54] (Equation (7)) model, which already been used to describe the release of antiviral drugs [55,56]. The results of the nonlinear regression are summarized in Table 3.
In this model, the equation contains a parameter identified by the letter n, which is important in the understanding of the release mechanism(s) of the active ingredient from a DDS. Indeed, if n has a value less than 0.5, then the diffusion mechanism of drug in the DDS follows the Fick model and the diffusion amplitude is the same in all directions. The solvent penetrates very easily in the matrix, dissolving the drug and releasing it. The accepted predominant release mechanism is diffusion. If the n value is higher than 1, then the mechanism of release is named “Super Case II transport”. The drug transport mechanism is mainly dominated by the relaxation process of DDS polymer chains, and not diffusion, due to swelling, dissolution, or erosion mechanisms. This phenomenon is obtained generally with a hydrogel DDS in water, because the polymeric chains are hydrophilic. But, if the n value ranges from 0.5 to 1, then the release mechanism is named “Non-Fikian” [57]. This was the case for both materials, the imprinted and non-imprinted one. The release mechanism is therefore governed simultaneously by Tenofovir and aqueous solution diffusion within the polymer matrix and by polymer “relaxation”. This term conceals several phenomena such as swelling and degradation of the DDS polymeric matrix. The n values obtained for both the MIP and NIP were very close, indicating that the diffusion and “relaxation” rates were comparable. These results were consistent with similar kinetic profiles shown in Figure 9b, when the temperature of incubation was 37 °C. But despite the fact that the release profiles of the two materials are almost identical at body temperature, the MIP released 15% less than the NIP after 6 days, while the NIP completely released the adsorbed amount of Tenofovir in the same time. At this elevated temperature, the rate of release of the imprinted polymer particles is nevertheless significantly low and allowed us to assert that this DDS results in a sustained release profile. This fact was even more marked at 25 °C. Both profiles were very dissimilar at this temperature. Even after 2 weeks of release, the imprinted polymer desorbed only 26% of its loaded Tenofovir. The release rate of the MIP was therefore much lower than that of the NIP, demonstrating the impact of molecular imprinting on the DDS release profile. The energy of “complexation” of Tenofovir inside the cavities was greater than that involved in adsorption of the same molecule on the surface of the non-imprinted material. And the Tenofovir was held in its cavity by the specific interactions existing between the polymer and the compound chemical functions. But the molecule was also retained by shape and size recognitions, which slowed or blocked its possible exit even when its chemical function interactions were reduced. So, at 25 °C, the movement of the polymeric chains that formed these cavities was lower than at 37 °C, and the three-dimensional destructuring of these molecular pockets was less marked. We could not investigate further which type of phenomenon was most present; maybe slight swelling might be more likely than the hydrolysis of the acrylate matrix under these pH and temperature conditions. As a result, antiviral release from the MIP was much slower than from the NIP. Thus, if this type of DDS requires preparation, such as dispersion in a buffered phase prior to administration, then it is demonstrated that the percentage of therapeutic agent lost in the solution during this step will be very low. Once charged, the imprinted polymer selective to Tenofovir could be stored for a long time in a dry form or in solution before use at room temperature or lower.

4. Conclusions

Using a non-covalent approach, we synthesized via polymerization by precipitation a MIP of Tenofovir (1) using an MeCN/H2O (9:1, v/v) mixture. From a large variety of potential functional monomers, we chose to favor (i) an ionic interaction between a negatively charged phosphonic acid moiety and DMAEMA and (ii) a Watson–Crick-type interaction with the nucleobase of in-house-synthesized monomers N1-methacryloyl thymine (5) and N1-[(2-methacryloyloxy)ethyl] thymine (6). Unfortunately, due to the low stability of (5) in water, only monomer (6) was used. The adsorbent properties of the materials were assessed by determining the Tenofovir adsorption isotherms, and the Freundlich–Langmuir model indicates the best correlation for the MIP and NIP. But the imprinted material possessed a total number of binding sites of 2.27 · 10−5 mol·g−1, while the capacity of the NIP is lower, 1.89 · 10−5 mol/g. The presence of specific cavities is demonstrated for the MIP, with an IF equal to 5.5 at 1.95 · 10−5 M, with a Ka higher for the MIP than NIP, 3079 versus 2754, respectively. We studied the release of Tenofovir from our synthetic material at two different temperatures. Although there is no significant difference in Tenofovir release between MIP and NIP at 37 °C, our MIP demonstrates a slow and controlled release of Tenofovir, with 41.25 ± 1.38% released in just over 2 days. Furthermore, since the release kinetics of the MIP at 25 °C are extremely slow, 26.17 ± 1.67% in 2 weeks, our filled materials can be prepared and stored at room temperature or at 4 °C for several days or weeks before administration without losing their potency.

Supplementary Materials

The following supporting information can be downloaded at: https://www.mdpi.com/article/10.3390/pharmaceutics16070965/s1, Figure S1: Chromatogram of Tenofovir; Figure S2: HPLC-UV calibration range for Tenofovir; Figure S3: Percentage of predominantly forms of Tenofovir in function of pH; Figure S4: 1H NMR spectra of compound (5); Figure S5: 13C NMR spectra of compound (5); Figure S6: 1H NMR spectra of compound (9); Figure S7: 13C NMR spectra of compound (9); Figure S8: 1H NMR spectra of compound (10); Figure S9: 13C NMR spectra of compound (10); Figure S10: 1H NMR spectra of compound (11); Figure S11: 13C NMR spectra of compound (11); Figure S12: 1H NMR spectra of compound (6); Figure S13: 13C NMR spectra of compound (6).

Author Contributions

Conceptualization, TM., P.F. and L.A.A.; methodology, T.M. and P.F.; validation, T.M. and P.F.; formal analysis, T.M. and P.F.; investigation, T.M., P.F. and L.A.A.; resources, L.A.A.; data curation, T.M. and P.F.; writing—original draft preparation, T.M., P.F. and L.A.A.; writing—review and editing, T.M. and P.F.; supervision, P.F. and L.A.A.; funding acquisition, L.A.A. All authors have read and agreed to the published version of the manuscript.

Funding

This research was funded by the Centre Val de Loire Region from France, grant number APR IR—FINALS. The APC was funded by APR IR—FINALS. This work received grants from the APR-IR FINALS from the Région Centre Val de Loire, as well as by PreCyVir project (ANR). ICOA UMR CNRS 7311 received grants from the University of Orléans and from the CNRS as well as from Techsab (FEDER-FSE 2014-2020-EX011313), QUALICHIM (APR-IA-PF 2021-00149467), and RTR Motivhealth (2019-00131403), and from the Labex programs SYNORG (ANR-11-LABX-0029) and IRON (ANR-11-LABX-0018-01).

Institutional Review Board Statement

Not applicable.

Informed Consent Statement

Not applicable.

Data Availability Statement

The data presented in this study are available on request from the corresponding author.

Acknowledgments

The authors would thank Guillaume Wille and Virginie Bazin (MACLE platform, ICMN, Orléans) for microscopy acquisitions. T. Mathieu received a Ph.D. grant from the Région Centre Val de Loire and the University of Orléans.

Conflicts of Interest

The authors declare no conflicts of interest.

References

  1. Clercq, E.D.; Holý, A.; Rosenberg, I.; Sakuma, T.; Balzarini, J.; Maudgal, P.C. A Novel Selective Broad-Spectrum Anti-DNA Virus Agent. Nature 1986, 323, 464–467. [Google Scholar] [CrossRef] [PubMed]
  2. De Clercq, E.; Holý, A. Acyclic nucleoside phosphonates: A key class of antiviral drugs. Nat. Rev. Drug Discov. 2005, 4, 928–940. [Google Scholar] [CrossRef] [PubMed]
  3. Deville-Bonne, D.; El Amri, C.; Meyer, P.; Chen, Y.; Agrofoglio, L.A.; Janin, J. Human and viral nucleoside/nucleotide kinases involved in antiviral drug activation: Structural and catalytic properties. Antivir. Res. 2010, 86, 101–120. [Google Scholar] [CrossRef] [PubMed]
  4. Robbins, B.L.; Srinivas, R.V.; Kim, C.; Bischofberger, N.; Fridland, A. Anti-human immunodeficiency virus activity and cellular metabolism of a potential prodrug of the acyclic nucleoside phosphonate 9-R-(2-phosphonomethoxypropyl)adenine (PMPA), bis(isopropyloxymethylcarbonyl)PMPA. Antimicrob. Agents Chemother. 1998, 42, 612–617. [Google Scholar] [CrossRef] [PubMed]
  5. De Clercq, E. Tenofovir alafenamide (TAF) as the successor of Tenofovir disoproxil fumarate (TDF). Biochem. Pharmacol. 2016, 119, 1–7. [Google Scholar] [CrossRef] [PubMed]
  6. Fernandez-Fernandez, B.; Montoya-Ferrer, A.; Sanz, A.B.; Sanchez-Niño, M.D.; Izquierdo, M.C.; Poveda, J.; Sainz-Prestel, V.; Ortiz-Martin, N.; Parra-Rodriguez, A.; Selgas, R.; et al. Tenofovir nephrotoxicity: 2011 Update. AIDS Res. Treat. 2011, 2011, 354908. [Google Scholar] [CrossRef] [PubMed]
  7. Gupta, S.K.; Post, F.A.; Arribas, J.R.; Eron, J.J.; Wohl, D.A.; Clarke, A.E.; Sax, P.E.; Stellbrink, H.-J.; Esser, S.; Pozniak, A.L.; et al. Renal safety of Tenofovir alafenamide vs Tenofovir disoproxil fumarate. AIDS 2019, 33, 1455–1465. [Google Scholar] [CrossRef] [PubMed]
  8. Sax, P.E.; Wohl, D.; Yin, M.T.; Post, F.; DeJesus, E.; Saag, M.; Pozniak, A.; Thompson, M.; Podzamczer, D.; Molina, J.M.; et al. Tenofovir Alafenamide versus Tenofovir Disoproxil Fumarate, Coformulated with Elvitegravir, Cobicistat, and Emtricitabine, for Initial Treatment of HIV-1 Infection: Two Randomised, Double-Blind, Phase 3, Non-Inferiority Trials. Lancet 2015, 385, 2606–2615. [Google Scholar] [CrossRef] [PubMed]
  9. Buti, M.; Gane, E.; Seto, W.K.; Chuang, W.L.; Laursen, A.; Pokorska-Śpiewak, M.; Hui, A.-J.; Lim, Y.-S.; Mehta, R.; Janssen, H.L.A.; et al. Tenofovir alafenamide versus Tenofovir disoproxil fumarate for the treatment of patients with HBeAg-negative chronic hepatitis B virus infection: A randomised, double-blind, phase 3, non-inferiority trial. Lancet Gastroenterol. Hepatol. 2017, 2, 577–588. [Google Scholar] [CrossRef] [PubMed]
  10. Wassner, C.; Bradley, N.; Lee, Y. A review and clinical understanding of Tenofovir: Tenofovir disoproxil fumarate versus Tenofovir alafenamide. J. Int. Assoc. Provid. AIDS Care 2020, 19, 232595822091923. [Google Scholar] [CrossRef] [PubMed]
  11. Bharti, M.; Alam, M.A.; Koteswara Rao, G.S.N.; Sharma, P.K.; Varshney, S. Nanoformulation-based drug delivery system for viral diseases. Pharm. Nanotechnol. 2023, 11, 105–126. [Google Scholar] [CrossRef] [PubMed]
  12. Vargas-Nadal, G.; Köber, M.; Nsamela, A.; Terenziani, F.; Sissa, C.; Pescina, S.; Sonvico, F.; Mohd Gazzali, A.; Wahab, H.A.; Grisanti, L.; et al. Fluorescent multifunctional organic nanoparticles for drug delivery and bioimaging: A tutorial review. Pharmaceutics 2022, 14, 2498. [Google Scholar] [CrossRef] [PubMed]
  13. Liu, P.; Chen, G.; Zhang, J. A review of liposomes as a drug delivery system: Current status of approved products, regulatory environments, and future perspectives. Molecules 2022, 27, 1372. [Google Scholar] [CrossRef] [PubMed]
  14. Mills, A.; Arribas, J.R.; Andrade-Villanueva, J.; DiPerri, G.; Van Lunzen, J.; Koenig, E.; Elion, R.; Cavassini, M.; Valdez Madruga, J.; Brunetta, J.; et al. Switching from Tenofovir disoproxil fumarate to Tenofovir alafenamide in combination regimens: Week 96 data in virologically suppressed adults. J. Acquir. Immune Defic. Syndr. 2015, 69, e109–e114. [Google Scholar] [CrossRef]
  15. Spinks, C.; Zidan, A.; Khan, M.; Habib, M.; Faustino, P. Pharmaceutical characterization of novel Tenofovir liposomal formulations for enhanced oral drug delivery: In vitro pharmaceutics and Caco-2 permeability investigations. Clin. Pharmacol. 2017, 9, 29–38. [Google Scholar] [CrossRef] [PubMed]
  16. Zidan, A.S.; Spinks, C.B.; Habib, M.J.; Khan, M.A. Formulation and transport properties of Tenofovir loaded liposomes through Caco-2 cell model. J. Liposome Res. 2013, 23, 318–326. [Google Scholar] [CrossRef] [PubMed]
  17. Garcia, C.R.; Rad, A.T.; Saeedinejad, F.; Manojkumar, A.; Roy, D.; Rodrigo, H.; Chew, S.A.; Rahman, Z.; Nieh, M.-P.; Roy, U. Effect of drug-to-lipid ratio on nanodisc-based Tenofovir drug delivery to the brain for HIV-1 infection. Nanomedicine 2022, 17, 959–978. [Google Scholar] [CrossRef] [PubMed]
  18. Mandal, S.; Prathipati, P.K.; Sunagawa, S.W.; Destache, C.J.A. Concept evaluation study of a new combination bictegravir plus Tenofovir lafenamide nanoformulation with prolonged sustained-drug-release potency for HIV-1 pre-exposure prophylaxis. Antimicrob. Agents Chemother. 2021, 65, e02320-20. [Google Scholar] [CrossRef] [PubMed]
  19. Fotooh Abadi, L.; Kumar, P.; Paknikar, K.; Gajbhiye, V.; Kulkarni, S. Tenofovir-tethered gold nanoparticles as a novel multifunctional long-acting anti-HIV therapy to overcome deficient drug delivery: An in vivo proof of concept. J. Nanobiotechnol. 2023, 21, 19. [Google Scholar] [CrossRef] [PubMed]
  20. Hobson, J.J.; Curley, P.; Savage, A.C.; Al-khouja, A.; Siccardi, M.; Flexner, C.; Freel Meyers, C.; Owen, A.; Rannard, S.P. Anhydrous nanoprecipitation for the preparation of nanodispersions of tenofovir disoproxil fumarate in oils as candidate long-acting injectable depot formulations. Nanoscale Adv. 2019, 1, 4301–4307. [Google Scholar] [CrossRef] [PubMed]
  21. Bodoki, A.E.; Iacob, B.C.; Bodoki, E. Perspectives of molecularly imprinted polymer-based drug delivery systems in cancer therapy. Polymers 2019, 11, 2085. [Google Scholar] [CrossRef] [PubMed]
  22. Bărăian, A.-I.; Iacob, B.-C.; Bodoki, A.E.; Bodoki, E. In vivo applications of molecularly imprinted polymers for drug Delivery: A pharmaceutical perspective. Int. J. Mol. Sci. 2022, 23, 14071. [Google Scholar] [CrossRef] [PubMed]
  23. Luliński, P. Molecularly imprinted polymers-based drug delivery devices: A way to application in modern pharmacotherapy. A review. Mater. Sci. Eng. C Mater. Biol. Appl. 2017, 76, 1344–1353. [Google Scholar] [CrossRef] [PubMed]
  24. Yuksel, N.; Tektas, S. Molecularly imprinted polymers: Preparation, characterisation, and application in drug delivery systems. J. Microencapsul. 2022, 39, 176–196. [Google Scholar] [CrossRef] [PubMed]
  25. Wulff, G. Enzyme-like catalysis by molecularly imprinted polymers. Chem. Rev. 2002, 102, 1–27. [Google Scholar] [CrossRef] [PubMed]
  26. Haupt, K.; Mosbach, K. Plastic antibodies: Developments and applications. Trends Biotechnol. 1998, 16, 468–475. [Google Scholar] [CrossRef] [PubMed]
  27. Mosbach, K.; Haupt, K. Some new developments and challenges in non-covalent molecular imprinting technology. J. Mol. Recognit. 1998, 11, 62–68. [Google Scholar] [CrossRef]
  28. Wulff, G.; Sarhan, A. Use of polymers with enzyme-analogous structures for the resolution of racemates. Angew. Chem. Int. Ed. Engl. 1972, 11, 341–344. [Google Scholar]
  29. Hasanah, A.N.; Safitri, N.; Zulfa, A.; Neli, N.; Rahayu, D. Factors affecting preparation of molecularly imprinted polymer and methods on finding template-monomer interaction as the key selective properties of the materials. Molecules 2021, 26, 5612. [Google Scholar] [CrossRef] [PubMed]
  30. Favetta, P.; Ayari, G.; Agrofoglio, L.A. Chapter 3—Molecularly imprinted polymers based separation and sensing of nucleobases, nucleosides, nucleotides and oligonucleotides. In Molecularly Imprinted Polymers for Analytical Chemistry Applications; Sharma, P.S., Kutner, W., Eds.; RSC: London, UK, 2018; pp. 65–123. ISBN 978-1-78262-647-3. [Google Scholar]
  31. Krstulja, A.; Lettieri, S.; Hall, A.J.; Roy, V.; Favetta, P.; Agrofoglio, L.A. Tailor-made molecularly imprinted polymer for selective recognition of the urinary tumor marker pseudouridine. Macromol. Biosci. 2017, 17, 1700250. [Google Scholar] [CrossRef] [PubMed]
  32. Ayari, M.G.; Favetta, P.; Warszycki, D.; Vasseur, V.; Hervé, V.; Degardin, P.; Carbonnier, B.; Si-Tahar, M.; Agrofoglio, L.A. Molecularly imprinted hydrogels selective to ribavirin as new drug delivery systems to improve efficiency of antiviral nucleoside analogue: A proof-of-concept study with influenza A virus. Macromol. Biosci. 2022, 22, e2100291. [Google Scholar] [CrossRef] [PubMed]
  33. Ayari, M.G.; Kadhirvel, P.; Favetta, P.; Plano, B.; Dejous, C.; Carbonnier, B.; Agrofoglio, L.A. Synthesis of imprinted hydrogel microbeads by inverse Pickering emulsion to controlled release of adenosine 5′ monophosphate. Mater. Sci. Eng. C Mater. Biol. Appl. 2019, 101, 254–263. [Google Scholar] [CrossRef] [PubMed]
  34. Parisi, O.I.; Ruffo, M.; Malivindi, R.; Vattimo, A.F.; Pezzi, V.; Puoci, F. Molecularly Imprinted Polymers (MIPs) as Theranostic Systems for Sunitinib Controlled Release and Self-Monitoring in Cancer Therapy. Pharmaceutics 2020, 12, 41. [Google Scholar] [CrossRef] [PubMed]
  35. Trucillo, P. Drug Carriers: A Review on the Most Used Mathematical Models for Drug Release. Processes 2022, 10, 1094. [Google Scholar] [CrossRef]
  36. Li, K.; Stöver, H.D.H. Synthesis of Monodisperse Poly(Divinylbenzene) Microspheres. J. Polym. Sci. A Polym. Chem. 1993, 31, 3257–3263. [Google Scholar] [CrossRef]
  37. Kong, X.Z.; Gu, X.L.; Zhu, X.; Zhang, L. Precipitation Polymerization in Ethanol and Ethanol/Water to Prepare Uniform Microspheres of Poly(TMPTA-styrene). Macromol. Rapid Commun. 2009, 30, 909–914. [Google Scholar] [CrossRef] [PubMed]
  38. Hansen, C.M. Hansen Solubility Parameters: A User’s Handbook, 2nd ed.; CRC Press: Boca Raton, FL, USA, 2007. [Google Scholar]
  39. Martin, D.J.; Griffin, C.E. Phosphonic Acids and Esters. J. Organomet. Chem. 1964, 1, 292–296. [Google Scholar] [CrossRef]
  40. Cruz-Cabeza, A.J. Acid–Base Crystalline Complexes and the pKa Rule. Cryst. Eng. Comm. 2012, 14, 6362. [Google Scholar] [CrossRef]
  41. Mourão, C.A.; Bokeloh, F.; Xu, J.; Prost, E.; Duma, L.; Merlier, F.; Bueno, S.M.A.; Haupt, K.; Tse Sum Bui, B. Dual-oriented solid-phase molecular imprinting: Toward selective artificial receptors for recognition of nucleotides in water. Macromolecules 2017, 50, 7484–7490. [Google Scholar] [CrossRef]
  42. Wei, Z.; Wang, P.; Tian, X.; Sun, W.; Pan, J. Imprinted polymer beads featuring both predefined multiple-point interaction and accessible binding sites for precise recognition of 2′-deoxyadenosine. Sep. Purif. Technol. 2022, 302, 122048. [Google Scholar] [CrossRef]
  43. Kitamura, Y.; Nagaya, Y.; Ohshima, Y.; Kato, D.; Ohguchi, A.; Katagiri, H.; Ikeda, M.; Kitade, Y. Novel ring transformation of uracils to 2-oxazolidinones. Heterocycles 2020, 100, 622. [Google Scholar] [CrossRef]
  44. Lamaoui, A.; Mani, V.; Durmus, C.; Salama, K.N.; Amine, A. Molecularly Imprinted Polymers: A Closer Look at the Template Removal and Analyte Binding. Biosens. Bioelectron. 2024, 243, 115774. [Google Scholar] [CrossRef]
  45. Gagliardi, M. Design and development of molecularly imprinted biodegradable polymers for nanomedicine. Adv. Ind. Eng. Polym. Res. 2023, 6, 396–406. [Google Scholar] [CrossRef]
  46. Shimizu, S.; Matubayasi, N. Cooperative Sorption on Porous Materials. Langmuir 2021, 37, 10279–10290. [Google Scholar] [CrossRef] [PubMed]
  47. De Vargas Brião, G.; Mohd, A.H.; Chu, K.H. The Sips isotherm equation: Often used and sometimes misused. Sep. Purif. Technol. 2023, 58, 884–892. [Google Scholar] [CrossRef]
  48. Keren, Y.; Borisover, M.; Bukhanovsky, N. Sorption Interactions of Organic Compounds with Soils Affected by Agricultural Olive Mill Wastewater. Chemosphere 2015, 138, 462–468. [Google Scholar] [CrossRef] [PubMed]
  49. Pedreira-Segade, U.; Feuillie, C.; Pelletier, M.; Michot, L.J.; Daniel, I. Adsorption of nucleotides onto ferromagnesian phyllosilicates: Significance for the origin of life. Geochim. Cosmochim. Acta 2016, 76, 81–95. [Google Scholar] [CrossRef]
  50. Hermes-Lima, M.; Tessis, A.C.; Vieyra, A. Adsorption of 5′-adenosine monophosphate onto precipitated calcium phosphate: Effects of inorganic polyphosphates and carbamyl phosphate. Orig. Life Evol. Biosph. 1990, 20, 27–41. [Google Scholar] [CrossRef] [PubMed]
  51. Huang, J.X.; Horváth, C. Adsorption isotherms on high-performance liquid chromatographic sorbents. I. Peptides and nucleic acid constituents on octadecyl-silica. J. Chromatogr. 1987, 406, 275–284. [Google Scholar] [CrossRef] [PubMed]
  52. Sanchez-Polo, M.; Velo-Gala, I.; López-Peñalver, J.J.; Rivera-Utrilla, J. Molecular imprinted polymer to remove tetracycline from aqueous solutions. Microporous Mesoporous Mat. 2015, 203, 32–40. [Google Scholar] [CrossRef]
  53. Freiberg, S.; Zhu, X.X. Polymer Microspheres for Controlled Drug Release. Int. J. Pharm. 2004, 282, 1–18. [Google Scholar] [CrossRef] [PubMed]
  54. Korsmeyer, R.W.; Gurny, R.; Doelker, E.; Buri, P.; Peppas, N.A. Mechanisms of Solute Release from Porous Hydrophilic Polymers. Int. J. Pharm. 1983, 15, 25–35. [Google Scholar] [CrossRef]
  55. Wu, I.Y.; Bala, S.; Škalko-Basnet, N.; Di Cagno, M.P. Interpreting Non-Linear Drug Diffusion Data: Utilizing Korsmeyer-Peppas Model to Study Drug Release from Liposomes. Eur. J. Pharm. Sci. 2019, 138, 105026. [Google Scholar] [CrossRef] [PubMed]
  56. Han, S.; Song, Y.; Liu, S.; Zhao, L.; Sun, R. Dual Responsive Molecularly Imprinted Polymers Based on UiO-66-DOX for Selective Targeting Tumor Cells and Controlled Drug Release. Eur. Polym. J. 2022, 171, 111219. [Google Scholar] [CrossRef]
  57. Ritger, P.L.; Peppas, N.A. A Simple Equation for Description of Solute Release I. Fickian and Non-Fickian Release from Non-Swellable Devices in the Form of Slabs, Spheres, Cylinders or Discs. J. Control. Release 1987, 5, 23–36. [Google Scholar] [CrossRef]
Figure 1. Structures of Tenofovir (1), Tenofovir disoproxil fumarate (2), and Tenofovir alafenamide (3).
Figure 1. Structures of Tenofovir (1), Tenofovir disoproxil fumarate (2), and Tenofovir alafenamide (3).
Pharmaceutics 16 00965 g001
Figure 2. Chemical structures of functional monomers examined in this study and cross-linker: 2-(dimethylamino)ethyl methacrylate (4), N1-methacryloyl thymine (5), N1-[(2-methacryloyloxy)ethyl] thymine (6), and EGDMA (7).
Figure 2. Chemical structures of functional monomers examined in this study and cross-linker: 2-(dimethylamino)ethyl methacrylate (4), N1-methacryloyl thymine (5), N1-[(2-methacryloyloxy)ethyl] thymine (6), and EGDMA (7).
Pharmaceutics 16 00965 g002
Figure 3. Evolution of Hansen’s parameters in function of percentage of water in acetonitrile (with calculations based on reference [38]).
Figure 3. Evolution of Hansen’s parameters in function of percentage of water in acetonitrile (with calculations based on reference [38]).
Pharmaceutics 16 00965 g003
Scheme 1. Synthesis of N1-methacryloyl thymine (5).
Scheme 1. Synthesis of N1-methacryloyl thymine (5).
Pharmaceutics 16 00965 sch001
Scheme 2. Synthesis of N1-[2-methacryloyloxy)ethyl] thymine (6).
Scheme 2. Synthesis of N1-[2-methacryloyloxy)ethyl] thymine (6).
Pharmaceutics 16 00965 sch002
Figure 4. Putative pre-polymerization complex between Tenofovir (1), DMAEMA (4), and N1-[(2-methacryloyloxy)ethyl] thymine (6).
Figure 4. Putative pre-polymerization complex between Tenofovir (1), DMAEMA (4), and N1-[(2-methacryloyloxy)ethyl] thymine (6).
Pharmaceutics 16 00965 g004
Figure 5. Scanning electron microscopy analysis of MIP (left) and NIP (right).
Figure 5. Scanning electron microscopy analysis of MIP (left) and NIP (right).
Pharmaceutics 16 00965 g005
Figure 6. Histogram of particle size distribution for MIP material (red bars) and NIP material (blue bars).
Figure 6. Histogram of particle size distribution for MIP material (red bars) and NIP material (blue bars).
Pharmaceutics 16 00965 g006
Figure 7. Adsorption isotherms of Tenofovir for MIP and NIP (error bars represent +/− Standard Deviation calculated for 3 values of Ce and Qe for each point of the curves).
Figure 7. Adsorption isotherms of Tenofovir for MIP and NIP (error bars represent +/− Standard Deviation calculated for 3 values of Ce and Qe for each point of the curves).
Pharmaceutics 16 00965 g007
Figure 8. Affinity distributions of the MIP and NIP, red and blue curves, respectively, based on the Freundlich–Langmuir model (Equation (4)).
Figure 8. Affinity distributions of the MIP and NIP, red and blue curves, respectively, based on the Freundlich–Langmuir model (Equation (4)).
Pharmaceutics 16 00965 g008
Figure 9. Release of Tenofovir (expressed as % of initial mass adsorbed in each material) as a function of time in Phosphate-Buffered Saline solution at 25 °C (a) and 37 °C (b).
Figure 9. Release of Tenofovir (expressed as % of initial mass adsorbed in each material) as a function of time in Phosphate-Buffered Saline solution at 25 °C (a) and 37 °C (b).
Pharmaceutics 16 00965 g009
Table 1. Formulation used in synthesis of molecularly imprinted polymers (MIPs) selective to Tenofovir and non-imprinted polymers (NIPs).
Table 1. Formulation used in synthesis of molecularly imprinted polymers (MIPs) selective to Tenofovir and non-imprinted polymers (NIPs).
TenofovirDMAEMA aMolecule 6Ratio (T:M1:M2) bEGDMA cAIBN dMeCN eH2O
MIP50 mg29 µL42 mg1:1:1658 µL7.5 mg68 mL8 mL
NIP/29 µL42 mg0:1:1658 µL7.5 mg68 mL8 mL
a DMAEMA is 2-(dimethylamino)ethyl methacrylate; b T is Tenofovir (Template), M1 is monomer 1, DMAEMA and M2 are monomer 2, the compound (6), or N1-[(2-methacryloyloxy)ethyl thymine; c EGDMA is ethylene glycol dimethacrylate; d AIBN is azobisisobutyronitrile; and e MeCN is acetonitrile.
Table 2. Values of affinity constants (Ka; L·mol−1), number of active sites (N; mol·g−1), coefficient of determination (R2), Fisher statistical test value (Fvalue), Chi-square value (χ²), and Residual Sum of Squares (RSS) (obtained by applying the different adsorption isotherm models to the MIP and NIP materials).
Table 2. Values of affinity constants (Ka; L·mol−1), number of active sites (N; mol·g−1), coefficient of determination (R2), Fisher statistical test value (Fvalue), Chi-square value (χ²), and Residual Sum of Squares (RSS) (obtained by applying the different adsorption isotherm models to the MIP and NIP materials).
QmaxKamχ²FvalueRSS
FreundlichMIP1.51 · 10−53758.340.5020.870335.84 · 10−12291.581.81 · 10−10
NIPND *NDNDNDNDNDND
LangmuirMIP2.74 · 10−51973.30/0.9631.71 · 10−121003.925.46 · 10−11
NIP2.59 · 10−51373.01/0.9462.04 · 10−12545.316.53 · 10−11
F-LMIP2.27 · 10−53079.221.4520.9809.04 · 10−131272.702.80 · 10−11
NIP1.89 · 10−52754·261.9980.9826.77 · 10−131117.302.10 · 10−11
* Not determined (Fit Status is Failed).
Table 3. Values of coefficient of determination (R2), speed constant (k; h−n), and n (release exponent) obtained by applying Korsmeyer–Peppas model to the MIP and NIP materials.
Table 3. Values of coefficient of determination (R2), speed constant (k; h−n), and n (release exponent) obtained by applying Korsmeyer–Peppas model to the MIP and NIP materials.
Korsmeyer-Peppas Model
MaterialsR2k (h−n)n
MIP0.99901.910.80
NIP0.99941.240.92
Disclaimer/Publisher’s Note: The statements, opinions and data contained in all publications are solely those of the individual author(s) and contributor(s) and not of MDPI and/or the editor(s). MDPI and/or the editor(s) disclaim responsibility for any injury to people or property resulting from any ideas, methods, instructions or products referred to in the content.

Share and Cite

MDPI and ACS Style

Mathieu, T.; Favetta, P.; Agrofoglio, L.A. Molecularly Imprinted Polymeric Nanoparticles as Drug Delivery System for Tenofovir, an Acyclic Nucleoside Phosphonate Antiviral. Pharmaceutics 2024, 16, 965. https://doi.org/10.3390/pharmaceutics16070965

AMA Style

Mathieu T, Favetta P, Agrofoglio LA. Molecularly Imprinted Polymeric Nanoparticles as Drug Delivery System for Tenofovir, an Acyclic Nucleoside Phosphonate Antiviral. Pharmaceutics. 2024; 16(7):965. https://doi.org/10.3390/pharmaceutics16070965

Chicago/Turabian Style

Mathieu, Thomas, Patrick Favetta, and Luigi A. Agrofoglio. 2024. "Molecularly Imprinted Polymeric Nanoparticles as Drug Delivery System for Tenofovir, an Acyclic Nucleoside Phosphonate Antiviral" Pharmaceutics 16, no. 7: 965. https://doi.org/10.3390/pharmaceutics16070965

APA Style

Mathieu, T., Favetta, P., & Agrofoglio, L. A. (2024). Molecularly Imprinted Polymeric Nanoparticles as Drug Delivery System for Tenofovir, an Acyclic Nucleoside Phosphonate Antiviral. Pharmaceutics, 16(7), 965. https://doi.org/10.3390/pharmaceutics16070965

Note that from the first issue of 2016, this journal uses article numbers instead of page numbers. See further details here.

Article Metrics

Back to TopTop