Antibiotic Loaded Phytosomes as a Way to Develop Innovative Lipid Formulations of Polyene Macrolides
Abstract
1. Introduction
2. Materials and Methods
2.1. Materials
2.2. The Production of the Polyene Lipid Formulations
2.3. Antibiotic Concentration Assessement with Absorbance Spectroscopy
2.4. Fluorimetry of Calcein Leakage from Large Unilamellar Lipid Vesicles
2.5. Measurements of the Current-Voltage Characteristics of the Planar Lipid Bilayers Treated with Polyene Formulations
2.6. Statistical Analysis
3. Results and Discussion
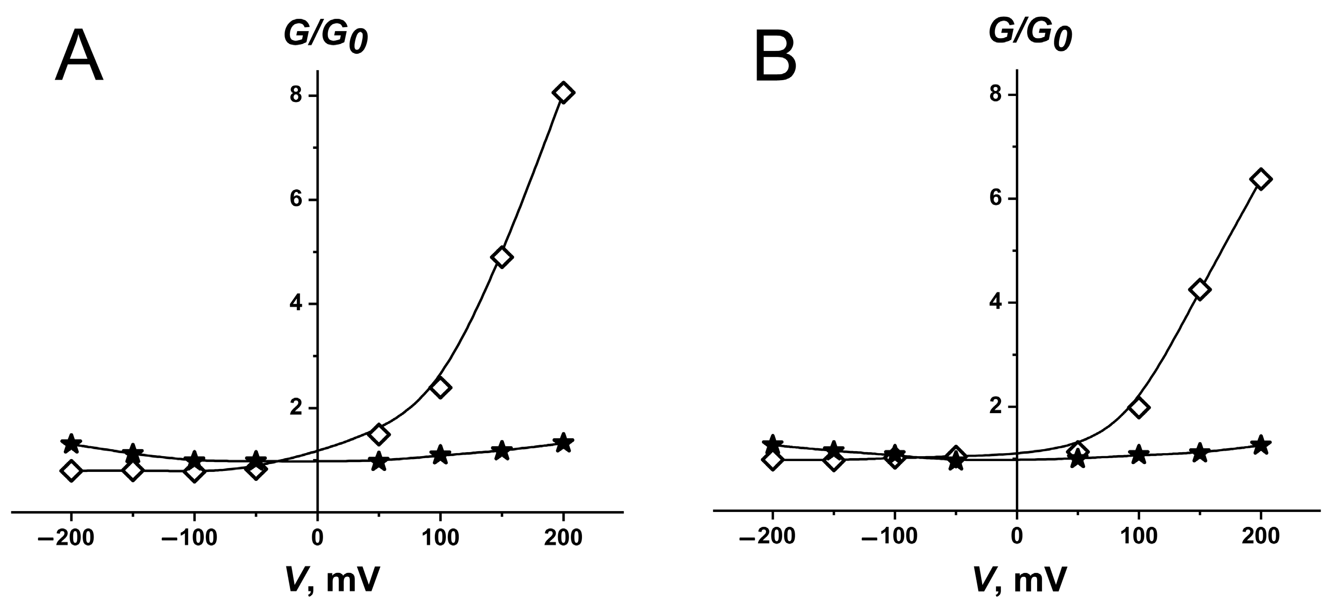
3.1. Modulation of Polyene-Sterol Interactions
3.2. Polyene-Loaded Phytosomes
4. Conclusions
- The replacement of cholesterol with its biosynthetic precursor, 7-dehydrocholesterol, led to a decrease in the ability of AmB-loaded liposomes to permeabilize lipid vesicles mimicking mammalian cell membranes. The ability of the formulation to disengage the fluorescence marker from vesicles imitating membranes of pathogenic fungi was preserved at the level of cholesterol-containing AmB lipid formulation. These facts might indicate the possibility of expanding the therapeutic window of polyene lipid formulations by varying liposome sterol content.
- The saturation of the phospholipid hydrocarbon tails and the length of their tails, as well as the charge of the phospholipid head, had little effect on the membrane permeabilization by AmB liposomal formulations.
- It was found that polyene-loaded phytosomes with phloretin were characterized by a greater ability to disengage calcein from lipid vesicles that mimic the membranes of fungal cells compared to liposomal formulations that did not include phloretin. Moreover, lipid bilayers mimicking fungal membranes treated with phloretin-containing polyene-loaded phytosomes demonstrated symmetrical I–V characteristics that indicated the existence of double-length polyene channels and a possible decrease in the antibiotic threshold concentration.
Author Contributions
Funding
Institutional Review Board Statement
Informed Consent Statement
Data Availability Statement
Conflicts of Interest
References
- Jenks, J.D.; Hoenigl, M. Treatment of Aspergillosis. J. Fungi 2018, 4, 98. [Google Scholar] [CrossRef]
- Walsh, T.J.; Katragkou, A.; Chen, T.; Salvatore, C.M.; Roilides, E. Invasive Candidiasis in Infants and Children: Recent Advances in Epidemiology, Diagnosis, and Treatment. J. Fungi 2019, 5, 11. [Google Scholar] [CrossRef] [PubMed]
- Andreoli, T.E. The structure and function of amphotericin B-cholesterol pores in lipid bilayer membranes. Ann. N. Y. Acad. Sci. 1974, 235, 448–468. [Google Scholar] [CrossRef] [PubMed]
- de Kruijff, B.; Gerritsen, W.J.; Oerlemans, A.; Demel, R.A.; van Deenen, L.L. Polyene antibiotic-sterol interactions in membranes of Acholeplasma laidlawii cells and lecithin liposomes. I. Specificity of the membrane permeability changes induced by the polyene antibiotics. Biochim. Biophys. Acta 1974, 339, 30–43. [Google Scholar] [CrossRef] [PubMed]
- Marty, A.; Finkelstein, A. Pores formed in lipid bilayer membranes by nystatin, Differences in its one-sided and two-sided action. J. Gen. Physiol. 1975, 65, 515–526. [Google Scholar] [CrossRef]
- Ostroumova, O.S.; Efimova, S.S.; Chulkov, E.G.; Schagina, L.V. The interaction of dipole modifiers with polyene-sterol complexes. PLoS ONE 2012, 7, e45135. [Google Scholar] [CrossRef] [PubMed]
- Ostroumova, O.S.; Efimova, S.S.; Schagina, L.V. Probing amphotericin B single channel activity by membrane dipole modifiers. PLoS ONE 2012, 7, e30261. [Google Scholar] [CrossRef] [PubMed]
- Ostroumova, O.S.; Efimova, S.S.; Mikhailova, E.V.; Schagina, L.V. The interaction of dipole modifiers with amphotericin-ergosterol complexes. Effects of phospholipid and sphingolipid membrane composition. Eur. Biophys. J. 2014, 43, 207–215. [Google Scholar] [CrossRef] [PubMed]
- Récamier, K.S.; Hernández-Gómez, A.; González-Damián, J.; Ortega-Blake, I. Effect of membrane structure on the action of polyenes: I. Nystatin action in cholesterol- and ergosterol-containing membranes. J. Membr. Biol. 2010, 237, 31–40. [Google Scholar] [CrossRef]
- González-Damián, J.; Ortega-Blake, I. Effect of membrane structure on the action of polyenes II: Nystatin activity along the phase diagram of ergosterol- and cholesterol-containing POPC membranes. J. Membr. Biol. 2010, 237, 41–49. [Google Scholar] [CrossRef]
- Gray, K.C.; Palacios, D.S.; Dailey, I.; Endo, M.M.; Uno, B.E.; Wilcock, B.C.; Burke, M.D. Amphotericin primarily kills yeast by simply binding ergosterol. Proc. Natl. Acad. Sci. USA 2012, 109, 2234–2239. [Google Scholar] [CrossRef]
- te Welscher, Y.M.; van Leeuwen, M.R.; de Kruijff, B.; Dijksterhuis, J.; Breukink, E. Polyene antibiotic that inhibits membrane transport proteins. Proc. Natl. Acad. Sci. USA 2012, 109, 11156–11159. [Google Scholar] [CrossRef] [PubMed]
- Anderson, T.M.; Clay, M.C.; Cioffi, A.G.; Diaz, K.A.; Hisao, G.S.; Tuttle, M.D.; Nieuwkoop, A.J.; Comellas, G.; Maryum, N.; Wang, S.; et al. Amphotericin forms an extramembranous and fungicidal sterol sponge. Nat. Chem. Biol. 2014, 10, 400–406. [Google Scholar] [CrossRef] [PubMed]
- Guo, X.; Zhang, J.; Li, X.; Xiao, E.; Lange, J.D.; Rienstra, C.M.; Burke, M.D.; Mitchell, D.A. Sterol Sponge Mechanism Is Conserved for Glycosylated Polyene Macrolides. ACS Cent. Sci. 2021, 7, 781–791. [Google Scholar] [CrossRef] [PubMed]
- Neumann, A.; Baginski, M.; Czub, J. How do sterols determine the antifungal activity of amphotericin B? Free energy of binding between the drug and its membrane targets. J. Am. Chem. Soc. 2010, 132, 18266–18272. [Google Scholar] [CrossRef]
- Czub, J.; Baginski, M. Modulation of amphotericin B membrane interaction by cholesterol and ergosterol—A molecular dynamics study. J. Phys. Chem. B 2006, 110, 16743–16753. [Google Scholar] [CrossRef]
- Kasumov, K.M. The Structure and Membrane Function of Polyene Macrolide Antibiotics, 1st ed.; Nauka: Moscow, Russia, 2009; p. 511. [Google Scholar]
- Umegawa, Y.; Yamamoto, T.; Dixit, M.; Funahashi, K.; Seo, S.; Nakagawa, Y.; Suzuki, T.; Matsuoka, S.; Tsuchikawa, H.; Hanashima, S.; et al. Amphotericin B assembles into seven-molecule ion channels: An NMR and molecular dynamics study. Sci. Adv. 2022, 8, eabo2658. [Google Scholar] [CrossRef]
- Sawaya, B.P.; Briggs, J.P.; Schnermann, J. Amphotericin B nephrotoxicity: The adverse consequences of altered membrane properties. J. Am. Soc. Nephrol. 1995, 6, 154–164. [Google Scholar] [CrossRef] [PubMed]
- Deray, G.; Mercadal, L.; Bagnis, C. Nephrotoxicity of amphotericin B. Nephrologie 2002, 23, 119–122. [Google Scholar] [CrossRef]
- Laniado-Laborín, R.; Cabrales-Vargas, M.N. Amphotericin B: Side effects and toxicity. Rev. Iberoam. Micol. 2009, 26, 223–227. [Google Scholar] [CrossRef]
- Efimova, S.S.; Tevyashova, A.N.; Olsufyeva, E.N.; Bykov, E.E.; Ostroumova, O.S. Pore-forming activity of new conjugate antibiotics based on amphotericin B. PLoS ONE 2017, 12, e0188573. [Google Scholar] [CrossRef] [PubMed]
- Paquet, V.; Volmer, A.A.; Carreira, E.M. Synthesis and in vitro biological properties of novel cationic derivatives of amphotericin B. Chemistry 2008, 14, 2465–2481. [Google Scholar] [CrossRef]
- Janout, V.; Schell, W.A.; Thévenin, D.; Yu, Y.; Perfect, J.R.; Regen, S.L. Taming Amphotericin B. Bioconjug. Chem. 2015, 26, 2021–2044. [Google Scholar] [CrossRef]
- Antillón, A.; de Vries, A.H.; Espinosa-Caballero, M.; Falcón-González, J.M.; Flores Romero, D.; González-Damián, J.; Jiménez-Montejo, F.E.; León-Buitimea, A.; López-Ortiz, M.; Magaña, R.; et al. An Amphotericin B Derivative Equally Potent to Amphotericin B and with Increased Safety. PLoS ONE 2016, 11, e0162171. [Google Scholar] [CrossRef]
- Tevyashova, A.N.; Bychkova, E.N.; Solovieva, S.E.; Zatonsky, G.V.; Grammatikova, N.E.; Isakova, E.B.; Mirchink, E.P.; Treshchalin, I.D.; Pereverzeva, E.R.; Bykov, E.E.; et al. Discovery of Amphamide, a Drug Candidate for the Second Generation of Polyene Antibiotics. ACS Infect. Dis. 2020, 6, 2029–2044. [Google Scholar] [CrossRef] [PubMed]
- Ortega-Blake, I.; Fernández-Zertuche, M.; Regla, I.; Sánchez-Peña, W.; Gómez-Solis, A.; Jaimes-Chavez, P.; Galván-Hernández, A.; Tovar-Garduño, E.; Rodríguez-Fragoso, L. Preclinical safety evaluation of amphotericin A21: A novel antifungal. Basic Clin. Pharmacol. Toxicol. 2021, 129, 72–81. [Google Scholar] [CrossRef] [PubMed]
- Torrado, J.J.; Espada, R.; Ballesteros, M.P.; Torrado-Santiago, S. Amphotericin B formulations and drug targeting. J. Pharm. Sci. 2008, 97, 2405–2425. [Google Scholar] [CrossRef]
- Tiphine, M.; Letscher-Bru, V.; Herbrecht, R. Amphotericin B and its new formulations: Pharmacologic characteristics, clinical efficacy, and tolerability. Transpl. Infect. Dis. 1999, 1, 273–283. [Google Scholar] [CrossRef] [PubMed]
- Frattarelli, D.A.; Reed, M.D.; Giacoia, G.P.; Aranda, J.V. Antifungals in systemic neonatal candidiasis. Drugs 2004, 64, 949–968. [Google Scholar] [CrossRef] [PubMed]
- Smith, P.B.; Steinbach, W.J.; Benjamin, D.K., Jr. Neonatal candidiasis. Infect. Dis. Clin. N. Am. 2005, 19, 603–615. [Google Scholar] [CrossRef]
- Steinbach, W.J.; Walsh, T.J. Mycoses in pediatric patients. Infect. Dis. Clin. N. Am. 2006, 20, 663–678. [Google Scholar] [CrossRef] [PubMed]
- Banshoya, K.; Kaneo, Y.; Tanaka, T.; Yamamoto, S.; Maeda, H. Development of an amphotericin B micellar formulation using cholesterol-conjugated styrene-maleic acid copolymer for enhancement of blood circulation and antifungal selectivity. Int. J. Pharm. 2020, 589, 119813. [Google Scholar] [CrossRef] [PubMed]
- Mishra, J.; Dey, A.; Singh, N.; Somvanshi, R.; Singh, S. Evaluation of toxicity & therapeutic efficacy of a new liposomal formulation of amphotericin B in a mouse model. Indian J. Med. Res. 2013, 137, 767–776. [Google Scholar]
- Iman, M.; Huang, Z.; Alavizadeh, S.H.; Szoka, F.C., Jr.; Jaafari, M.R. Biodistribution and In Vivo Antileishmanial Activity of 1,2-Distigmasterylhemisuccinoyl-sn-Glycero-3-Phosphocholine Liposome-Intercalated Amphotericin B. Antimicrob. Agents Chemother. 2017, 61, e02525-16. [Google Scholar] [CrossRef]
- Alves, M.M.M.; Arcanjo, D.D.R.; Figueiredo, K.A.; Oliveira, J.S.S.M.; Viana, F.J.C.; Coelho, E.S.; Lopes, G.L.N.; Gonçalves, J.C.R.; Carvalho, A.L.M.; Rizzo, M.D.S.; et al. Gallic and Ellagic Acids Are Promising Adjuvants to Conventional Amphotericin B for the Treatment of Cutaneous Leishmaniasis. Antimicrob. Agents Chemother. 2020, 64, e00807-20. [Google Scholar] [CrossRef] [PubMed]
- Khan, M.A.; Khan, A.; Khan, S.H.; Azam, M.; Khan, M.M.U.; Khalilullah, H.; Younus, H. Coadministration of liposomal methylglyoxal increases the activity of amphotericin B against Candida albicans in leukopoenic mice. J. Drug Target. 2021, 29, 78–87. [Google Scholar] [CrossRef]
- Oliveira, L.; Ferrarini, M.; Dos Santos, A.P.; Varela, M.T.; Corrêa, I.T.S.; Tempone, A.G.; Melhem, M.S.C.; Vallim, M.A.; Fernandes, J.P.S.; Pascon, R.C. Coumaric acid analogues inhibit growth and melanin biosynthesis in Cryptococcus neoformans and potentialize amphotericin B antifungal activity. Eur. J. Pharm. Sci. 2020, 153, 105473. [Google Scholar] [CrossRef]
- Brilhante, R.S.N.; Araújo, G.D.S.; Fonseca, X.M.Q.C.; Guedes, G.M.M.; Aguiar, L.; Castelo-Branco, D.S.C.M.; Cordeiro, R.A.; Sidrim, J.J.C.; Pereira Neto, W.A.; Rocha, M.F.G. Antifungal effect of anthraquinones against Cryptococcus neoformans: Detection of synergism with amphotericin B. Med. Mycol. 2020, 59, 564–570. [Google Scholar] [CrossRef] [PubMed]
- Nidhi, P.; Rolta, R.; Kumar, V.; Dev, K.; Sourirajan, A. Synergistic potential of Citrus aurantium L. essential oil with antibiotics against Candida albicans. J. Ethnopharmacol. 2020, 262, 113135. [Google Scholar] [CrossRef] [PubMed]
- Chulkov, E.G.; Schagina, L.V.; Ostroumova, O.S. Membrane dipole modifiers modulate single-length nystatin channels via reducing elastic stress in the vicinity of the lipid mouth of a pore. Biochim. Biophys. Acta 2015, 1848 Pt A, 192–199. [Google Scholar] [CrossRef][Green Version]
- Chulkov, E.G.; Ostroumova, O.S. Phloretin modulates the rate of channel formation by polyenes. Biochim. Biophys. Acta 2016, 1858, 289–294. [Google Scholar] [CrossRef] [PubMed]
- Efimova, S.S.; Malykhina, A.I.; Ostroumova, O.S. Triggering the Amphotericin B Pore-Forming Activity by Phytochemicals. Membranes 2023, 13, 670. [Google Scholar] [CrossRef] [PubMed]
- Iamskov, I.A.; Kuskov, A.N.; Babievskiĭ, K.K.; Berezin, B.B.; Kraiukhina, M.A.; Samoĭlova, N.A.; Tikhonov, V.E.; Shtil’man, M.I. New liposomal forms of antifungal antibiotics, modified by amphiphilic polymers. Prikl. Biokhimiia Mikrobiol. 2008, 44, 688–693. [Google Scholar]
- Montal, M.; Mueller, P. Formation of bimolecular membranes from lipid monolayers and a study of their electrical properties. Proc. Natl. Acad. Sci. USA 1972, 69, 3561–3566. [Google Scholar] [CrossRef] [PubMed]
- Borisova, M.P.; Brutyan, R.A.; Ermishkin, L.N. Mechanism of anion-cation selectivity of amphotericin B channels. J. Membr. Biol. 1986, 90, 13–20. [Google Scholar] [CrossRef] [PubMed]
- Kasumov, K.M.; Karakozov, S.D. Effect of amphotericin B added to one side of a membrane. Biofizika 1985, 30, 281–284. [Google Scholar] [PubMed]
- Kleinberg, M.E.; Finkelstein, A. Single-length and double-length channels formed by nystatin in lipid bilayer membranes. J. Membr. Biol. 1984, 80, 257–269. [Google Scholar] [CrossRef] [PubMed]
- Lu, M.; Qiu, Q.; Luo, X.; Liu, X.; Sun, J.; Wang, C.; Lin, X.; Deng, Y.; Song, Y. Phyto-phospholipid complexes (phytosomes): A novel strategy to improve the bioavailability of active constituents. Asian J. Pharm. Sci. 2019, 14, 265–274. [Google Scholar] [CrossRef] [PubMed]
- Dwivedi, J.; Sachan, P.; Wal, P.; Kosey, S.; Khan, M.M.U. Progressive Journey of Phytosomes: Preparation, Characterization, Patents, Clinical trials & Commercial products. J. Res. Pharm. 2023, 27, 1687–1733. [Google Scholar] [CrossRef]
- Babazadeh, A.; Ghanbarzadeh, B.; Hamishehkar, H. Phosphatidylcholine-rutin complex as a potential nanocarrier for food applications. J. Func. Foods 2017, 33, 134–141. [Google Scholar] [CrossRef]
- Barani, M.; Sangiovanni, E.; Angarano, M.; Rajizadeh, M.A.; Mehrabani, M.; Piazza, S.; Gangadharappa, H.V.; Pardakhty, A.; Mehrbani, M.; Dell’Agli, M.; et al. Phytosomes as Innovative Delivery Systems for Phytochemicals: A Comprehensive Review of Literature. Int. J. Nanomed. 2021, 16, 6983–7022. [Google Scholar] [CrossRef] [PubMed]
- Sharma, P.; Dogra, L.; Thakur, D.; Smily, O.; Chauhan, D. Phytosomes, a novel strategy to improve the bioavailability of flavonoids: A review. Eur. J. Biomed. Pharm. Sci. 2019, 6, 209–218. [Google Scholar]
- Chauhan, D.; Yadav, P.K.; Sultana, N.; Agarwal, A.; Verma, S.; Chourasia, M.K.; Gayen, J.R. Advancements in nanotechnology for the delivery of phytochemicals. J. Integr. Med. 2024, 24. in press. [Google Scholar] [CrossRef] [PubMed]







| Antibiotic-Free Liposomes | Polyene-Loaded Liposomes | Polyene-Loaded Phytosomes |
|---|---|---|
| POPC/CHOL | POPC/CHOL/AmB (1) | POPC/CHOL/AmB/phloretin (7) |
| POPC/DESM | POPC/DESM/AmB (2) | POPC/CHOL/AmB/biochaninA (8) |
| POPC/7DCHOL | POPC/7DCHOL/AmB (3) | POPC/CHOL/AmB/genistein (9) |
| POPC/CAMPO | POPC/CAMPO/AmB (4) | POPC/CHOL/AmB/quercetin (10) |
| POPC/STIGM | POPC/STIGM/AmB (5) | POPC/DESM/AmB/phloretin (11) |
| POPC/ERG | POPC/ERG/AmB (6) | POPC/7DCHOL/AmB/phloretin (12) |
| POPC/CHOL/phloretin | POPC/POPG/CHOL/AmB | POPC/CAMPO/AmB/phloretin (13) |
| POPC/CHOL/biochanin A | POPC/DPPC/CHOL/AmB | POPC/STIGM/AmB/phloretin (14) |
| POPC/CHOL/genistein | POPC/DSPC/CHOL/AmB | POPC/ERG/AmB/phloretin (15) |
| POPC/CHOL/quercetin | POPC/CHOL/NyS (16) | POPC/CHOL/NyS/phloretin (18) |
| POPC/DESM/phloretin | POPC/ERG/NyS (17) | POPC/DESM/NyS/phloretin (19) |
| POPC/7DCHOL/phloretin | POPC/7DCHOL/NyS/phloretin (20) | |
| POPC/CAMPO/phloretin | POPC/ERG/NyS/phloretin (21) | |
| POPC/STIGM/phloretin | ||
| POPC/ERG/phloretin |
| Formulation | Mammalian-like Membranes | Fungal-like Membranes | PTI | |||
|---|---|---|---|---|---|---|
| IFCHOL, % | G+200/G−200 | IFERG, % | t, min | G+200/G−200 | ||
| POPC/CHOL/AmB (1) | 4 ± 1 | 1.0 ± 0.1 | 34 ± 3 | 6 ± 1 | 13 ± 1 | 9 ± 3 |
| POPC/DESM/AmB (2) | 2 ± 1 * | 1.0 ± 0.1 | 25 ± 2 * | 4 ± 1 * | 37 ± 2 * | 13 ± 7 |
| POPC/7DCHOL/AmB (3) | 3 ± 1 * | 7 ± 1 * | 37 ± 7 | 18 ± 2 * | 49 ± 3 * | 12 ± 6 |
| POPC/CAMPO/AmB (4) | 2 ± 1 * | 1.3 ± 0.2 | 14 ± 3 * | 14 ± 1 * | 11 ± 2 | 7 ± 5 |
| POPC/STIGM/AmB (5) | 2 ± 1 * | 1.2 ± 0.3 | 15 ± 1 * | 5 ± 1 | 10 ± 2 | 8 ± 4 |
| POPC/ERG/AmB (6) | 2 ± 1 * | 14 ± 1 * | 9 ± 3 * | 18 ± 1 * | 30 ± 3 * | 5 ± 4 |
| Formulation | IFCHOL, % | IFERG, % | t, min | PTI | Fungal-like Membranes | |
|---|---|---|---|---|---|---|
| G+200/G−200 | I+200, μA | |||||
| POPC/CHOL/AmB/phloretin (7) | 4 ± 1 | 45 ± 5 * | 15 ± 2 * | 11 ± 4 | 1.1 ± 0.1 * | 30 ± 3 * |
| POPC/CHOL/AmB/biochaninA (8) | 3 ± 1 | 20 ± 2 * | 14 ± 2 * | 7 ± 3 | 4 ± 1 * | – |
| POPC/CHOL/AmB/genistein (9) | 2 ± 1 * | 23 ± 3 * | 5 ± 1 | 12 ± 3 | 1.0 ± 0.1 * | – |
| POPC/CHOL/AmB/quercetin (10) | 2 ± 1 * | 10 ± 2 * | 6 ± 1 | 5 ± 4 | 60 ± 7 * | – |
| POPC/DESM/AmB/phloretin (11) | 3 ± 1 * | 42 ± 6 * | 27 ± 2 * | 14 ± 7 | 1.1 ± 0.1 * | 25 ± 6 * |
| POPC/7DCHOL/AmB/phloretin (12) | 4 ± 1 | 38 ± 2 | 23 ± 3 * | 10 ± 3 | 1.1 ± 0.1 * | 24 ± 2 * |
| POPC/CAMPO/AmB/phloretin (13) | 5 ± 1 | 38 ± 3 | 21 ± 2 * | 8 ± 2 | 1.1 ± 0.1 * | 29 ± 8 * |
| POPC/STIGM/AmB/phloretin (14) | 3 ± 1 * | 27 ± 4 | 33 ± 4 * | 9 ± 4 | 1.3 ± 0.1 * | 10 ± 2 * |
| POPC/ERG/AmB/phloretin (15) | 2 ± 1 * | 26 ± 3 * | 18 ± 3 * | 13 ± 8 | 1.0 ± 0.1 * | 27 ± 6 * |
| POPC/CHOL/NyS/phloretin (18) | 2 ± 1 * | 30 ± 6 | 36 ± 1 * | 15 ± 10 | 1.1 ± 0.1 * | 8 ± 2 |
| POPC/DESM/NyS/phloretin (19) | 2 ± 1 * | 27 ± 5 | 35 ± 2 * | 14 ± 9 | – | – |
| POPC/7DCHOL/NyS/phloretin (20) | 2 ± 1 * | 30 ± 4 | 36 ± 2 * | 15 ± 10 | – | – |
| POPC/ERG/NyS/phloretin (21) | 2 ± 1 * | 30 ± 5 | 35 ± 1 * | 15 ± 10 | 1.0 ± 0.1 * | 12 ± 2 * |
Disclaimer/Publisher’s Note: The statements, opinions and data contained in all publications are solely those of the individual author(s) and contributor(s) and not of MDPI and/or the editor(s). MDPI and/or the editor(s) disclaim responsibility for any injury to people or property resulting from any ideas, methods, instructions or products referred to in the content. |
© 2024 by the authors. Licensee MDPI, Basel, Switzerland. This article is an open access article distributed under the terms and conditions of the Creative Commons Attribution (CC BY) license (https://creativecommons.org/licenses/by/4.0/).
Share and Cite
Efimova, S.S.; Ostroumova, O.S. Antibiotic Loaded Phytosomes as a Way to Develop Innovative Lipid Formulations of Polyene Macrolides. Pharmaceutics 2024, 16, 665. https://doi.org/10.3390/pharmaceutics16050665
Efimova SS, Ostroumova OS. Antibiotic Loaded Phytosomes as a Way to Develop Innovative Lipid Formulations of Polyene Macrolides. Pharmaceutics. 2024; 16(5):665. https://doi.org/10.3390/pharmaceutics16050665
Chicago/Turabian StyleEfimova, Svetlana S., and Olga S. Ostroumova. 2024. "Antibiotic Loaded Phytosomes as a Way to Develop Innovative Lipid Formulations of Polyene Macrolides" Pharmaceutics 16, no. 5: 665. https://doi.org/10.3390/pharmaceutics16050665
APA StyleEfimova, S. S., & Ostroumova, O. S. (2024). Antibiotic Loaded Phytosomes as a Way to Develop Innovative Lipid Formulations of Polyene Macrolides. Pharmaceutics, 16(5), 665. https://doi.org/10.3390/pharmaceutics16050665

