Using Nuclear Magnetic Resonance to Troubleshoot a Stability Issue in a Real-World Formulation Chassis—Application to Consumer Oral Healthcare
Abstract
1. Introduction
- Maintaining Efficacy: Active components play a pivotal role in the efficacy of oral health products. Understanding and mitigating degradation pathways ensure that products deliver the intended benefits to consumers, such as cavity prevention, plaque reduction, and gum disease management [8].
- Regulatory Compliance: Regulatory agencies, such as the Food and Drug Administration (FDA) in the United States and the European Medicines Agency (EMA) in Europe, impose strict guidelines on the quality, stability, and safety of oral health products [9]. Failure to address degradation issues may lead to non-compliance with regulatory requirements and potential product recalls.
1.1. NMR Techniques
1.2. Rationale and Observations
1.2.1. Packaging Discoloration
1.2.2. Formulation Discoloration
2. Materials and Methods
2.1. PEFs
2.2. Model Samples
2.3. NMR
2.4. ATR-IR and ICP-MS
3. Results and Discussion
3.1. Formulation Discoloration
3.1.1. Initial Steps
3.1.2. Impact of Packaging on Rate of Formulation Discoloration
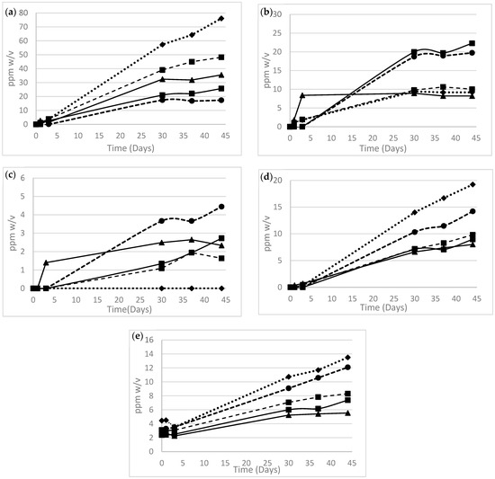
3.1.3. Temperature Effects
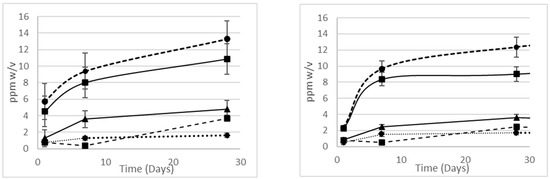
3.1.4. pH Effects on Degradation in Simplified Solutions
3.2. Packaging Discoloration
4. Conclusions
- (1)
- HDPE (White) packaging discoloration: The potential ligation of peroxide-activated titanium (Ti) on the HDPE surface, by either SA or oxidative pathway degradants, may result in the formation of a colored surface layer. This activation of the TiO2 occurs via attack by H2O2. This Ti complexation process does not occur in glass, PET, or HDPE (Natural) due to the absence of TiO2.
- (2)
- Discoloration in SA and peroxide formulations: The peroxide-mediated oxidation of SA leads to catechol formation through 2,3-dihydrobenzoic acid decarboxylation. Additionally, components of the proprietary flavoring in the formulation are oxidized at the expense of SA, explaining the difference in the oxidation rate of SA for proprietary vs. experimental formulations.
Supplementary Materials
Author Contributions
Funding
Institutional Review Board Statement
Informed Consent Statement
Data Availability Statement
Acknowledgments
Conflicts of Interest
References
- Srinivas, N.R. Rationale for faster oral delivery to overcome the pathophysiology associated with dental pain—Biopharmaceutic and pharmacokinetic challenges. Eur. J. Drug Metabol. Pharmacokinet. 2009, 34, 7–10. [Google Scholar] [CrossRef]
- Aspinall, S.R.; Parker, J.K.; Khutoryanskiy, V.V. Oral care product formulations, properties and challenges. Colloids Surf. B Biointerfaces 2021, 200, 111567. [Google Scholar] [CrossRef] [PubMed]
- López-Ruiz, M.; Navas, F.; Fernández-García, P.; Martínez-Erro, S.; Fuentes, M.V.; Giráldez, I.; Ceballos, L.; Ferrer-Luque, C.M.; Ruiz-Linares, M.; Morales, V.; et al. L-arginine-containing mesoporous silica nanoparticles embedded in dental adhesive (Arg@MSN@DAdh) for targeting cariogenic bacteria. J. Nanobiotechnol. 2022, 20, 502. [Google Scholar] [CrossRef] [PubMed]
- Wen, Z.; Kang, L.; Fu, H.; Zhu, S.; Ye, X.; Yang, X.; Zhang, S.; Hu, J.; Li, X.; Chen, L.; et al. Oral delivery of porous starch-loaded bilayer microgels for controlled drug delivery and treatment of ulcerative colitis. Carbohydr. Polym. 2023, 314, 120887. [Google Scholar] [CrossRef]
- Bosworth, L.A.; Doherty, K.G.; Hsuan, J.D.; Cray, S.P.; D’sa, R.A.; Molina, C.P.; Badylak, S.F.; Williams, R.L. Degradation Mechanisms of Oral Health Products: A Review. Pharmaceutics 2021, 13, 318. [Google Scholar] [CrossRef] [PubMed]
- Lionetti, N.; Rigano, L. The New Sunscreens among Formulation Strategy, Stability Issues, Changing Norms, Safety and Efficacy Evaluations. Cosmetics 2017, 4, 15. [Google Scholar] [CrossRef]
- Vorster, L.; Naidoo, S.; Stauf, N.; Holmgren, C.; Benzian, H. Fluoride content of toothpastes available in South Africa. Community Dent Health 2018, 35, 186–192. [Google Scholar] [CrossRef]
- Nohynek, G.J.; Antignac, E.; Re, T.; Toutain, H. Safety assessment of personal care products/cosmetics and their ingredients. Toxicol. Appl. Pharmacol. 2010, 243, 239–259. [Google Scholar] [CrossRef]
- Cooley, W.E. How the FDA and the ADA affect development of prescription drugs for oral care. J. Public Health Dent. 1992, 52, 350–352. [Google Scholar] [CrossRef]
- Hadrup, N.; Sharma, A.K.; Loeschner, K. Toxicity of silver ions, metallic silver, and silver nanoparticle materials after in vivo dermal and mucosal surface exposure: A review. Regul. Toxicol. Pharmacol. 2018, 98, 257–267. [Google Scholar] [CrossRef] [PubMed]
- Barnett, M.L. Oral health promotion by the oral health products industry: Unrecognised and unappreciated? Community Dent. Health J. 2008, 25, 2–3. [Google Scholar] [CrossRef]
- Awais, F.; Shahzad, H.B.; Naheed, K.; Khan, A.A. Factors influencing consumers’ choices of oral hygiene products: A cross-sectional study. Makara J. Health Res. 2019, 23, 138–142. [Google Scholar] [CrossRef]
- Vermani, K.; Garg, S. The Scope and Potential of Oral Bioadhesive Drug Delivery Systems. Pharmaceutics 2002, 28, 911–924. [Google Scholar]
- Patel, V.R.; Amiji, M.M. Preparation and Characterization of Freeze-Dried Chitosan-Poly(Ethylene Oxide) Hydrogels for Site-Specific Antibiotic Delivery in the Stomach. Pharmaceutics 1996, 1, 223–232. [Google Scholar] [CrossRef]
- Maggio, R.M.; Calvo, N.L.; Vignaduzzo, S.E.; Kaufman, T.S. Pharmaceutical impurities and degradation products: Uses and applications of NMR techniques. J. Pharm. Biomed. Anal. 2014, 101, 102–122. [Google Scholar] [CrossRef] [PubMed]
- Scheck, C.K.; Frimmel, F.H. Degradation of phenol and salicylic acid by ultraviolet radiation/hydrogen peroxide/oxygen. Water Res. 1995, 29, 2346–2352. [Google Scholar] [CrossRef]
- Becht, A.; Schollmayer, C.; Wiest, J.; Heller, D.; Baumann, W.; Buschmann, H.; Holzgrabe, U. Diffusion ordered NMR spectroscopy measurements as a screening method of potential reactions of API and excipients in drug formulations. J. Pharm. Biomed. Anal. 2019, 162, 41–46. [Google Scholar] [CrossRef] [PubMed]
- Le Gresley, A.; Simpson, E.; Sinclair, A.J.; Williams, N.; Burnett, G.R.; Bradshaw, D.J. The application of high resolution diffusion NMR for the characterisation and quantification of small molecules in saliva/dentifrice slurries. Anal. Methods 2015, 7, 2323–2332. [Google Scholar] [CrossRef]
- Becht, A.; Schollmayer, C.; Holzgrabe, U. Fingerprint spectra for drug formulations using a DOSY filter: Pros and cons. J. Pharm. Biomed. Anal. 2022, 214, 114723. [Google Scholar] [CrossRef] [PubMed]
- Le Gresley, A.; Broadberry, G.; Robertson, C.; Peron, J.-M.R.; Robinson, J.; O’Leary, S. Application of pure shift and diffusion NMR for the characterisation of crude and processed pyrolysis oil. J. Anal. Appl. Pyrolysis 2019, 140, 281–289. [Google Scholar] [CrossRef]
- Le Gresley, A.; Fardus, F.; Warren, J. Bias and Uncertainty in Non-Ideal qNMR Analysis. Crit. Rev. Anal. Chem. 2015, 45, 300–310. [Google Scholar] [CrossRef] [PubMed]
- Lockhart, H.; Paine, F.A. Packaging requirements of pharmaceuticals. In Packaging of Pharmaceuticals and Healthcare Products; Springer: Boston, MA, USA, 1996; pp. 25–41. [Google Scholar] [CrossRef]
- Jadrijevic-mladar, T.; Vikic, T. FT-IR and NMR spectroscopic studies of salicylic acid derivatives. II. Comparison of 2-hydroxy-and 2, 4-and 2, 5-dihydroxy derivatives. Acta Pharm. 2004, 54, 177–191. Available online: https://acta.pharmaceutica.farmaceut.org/materials/pdf/17704.pdf (accessed on 1 June 2022).
- Rodríguez, I.; Fernández-Vega, L.; Maser-Figueroa, A.N.; Sang, B.; González-Pagán, P.; Tinoco, A.D. Exploring Titanium(IV) Complexes as Potential Antimicrobial Compounds. Antibiotics 2022, 11, 158. [Google Scholar] [CrossRef] [PubMed]
- Suh, M.S.; Patil, S.M.; Kozak, D.; Pang, E.; Choi, S.; Jiang, X.; Rodriguez, J.D.; Keire, D.A.; Chen, K. An NMR Protocol for In Vitro Paclitaxel Release from an Albumin-Bound Nanoparticle Formulation. AAPS PharmSciTech 2020, 21, 136. [Google Scholar] [CrossRef] [PubMed]
- Senra TD, A.; Khoukh, A.; Desbrières, J. Interactions between quaternized chitosan and surfactant studied by diffusion NMR and conductivity. Carbohydr. Polym. 2017, 156, 182–192. [Google Scholar] [CrossRef] [PubMed]
- Hologne, M.; Gaubert, A.; Sanglar, C.; Bordes, C.; Casabianca, H. New validation of molecular mass measurements by means of 2D DOSY 1H NMR experiments: Application to surfactants. Comptes Rendus Chim. 2015, 18, 187–192. [Google Scholar] [CrossRef]
- Rabaaoui, N.; Allagui, M.S. Anodic oxidation of salicylic acid on BDD electrode: Variable effects and mechanisms of degradation. J. Hazard. Mater. 2012, 243, 187–192. [Google Scholar] [CrossRef]
- Collado, S.; Garrido, L.; Laca, A.; Diaz, M. Wet oxidation of salicylic acid solutions. Environ. Sci. Technol. 2010, 44, 8629–8635. [Google Scholar] [CrossRef]
- Kakihana, M.; Kobayashi, M.; Tomita, K.; Petrykin, V. Application of Water-Soluble Titanium Complexes as Precursors for Synthesis of Titanium-Containing Oxides via Aqueous Solution Processes. Bull. Chem. Soc. Jpn. 2010, 83, 1285–1308. [Google Scholar] [CrossRef]
- Colafemmina, G.; Mateos, H.; Palazzo, G. Diffusion NMR studies of complex liquid formulations. Curr. Opin. Colloid Interface Sci. 2020, 48, 109–120. [Google Scholar] [CrossRef]






15 °C,
25 °C,
40 °C,
50 °C.
15 °C,
25 °C,
40 °C,
50 °C.



Disclaimer/Publisher’s Note: The statements, opinions and data contained in all publications are solely those of the individual author(s) and contributor(s) and not of MDPI and/or the editor(s). MDPI and/or the editor(s) disclaim responsibility for any injury to people or property resulting from any ideas, methods, instructions or products referred to in the content. |
© 2024 by the authors. Licensee MDPI, Basel, Switzerland. This article is an open access article distributed under the terms and conditions of the Creative Commons Attribution (CC BY) license (https://creativecommons.org/licenses/by/4.0/).
Share and Cite
Coban, T.; Sykes, H.; Kulkarni, S.; Lucas, R.A.; Robertson, C.; Le Gresley, A. Using Nuclear Magnetic Resonance to Troubleshoot a Stability Issue in a Real-World Formulation Chassis—Application to Consumer Oral Healthcare. Pharmaceutics 2024, 16, 320. https://doi.org/10.3390/pharmaceutics16030320
Coban T, Sykes H, Kulkarni S, Lucas RA, Robertson C, Le Gresley A. Using Nuclear Magnetic Resonance to Troubleshoot a Stability Issue in a Real-World Formulation Chassis—Application to Consumer Oral Healthcare. Pharmaceutics. 2024; 16(3):320. https://doi.org/10.3390/pharmaceutics16030320
Chicago/Turabian StyleCoban, Tomris, Hannah Sykes, Shreedhar Kulkarni, Robert A. Lucas, Cameron Robertson, and Adam Le Gresley. 2024. "Using Nuclear Magnetic Resonance to Troubleshoot a Stability Issue in a Real-World Formulation Chassis—Application to Consumer Oral Healthcare" Pharmaceutics 16, no. 3: 320. https://doi.org/10.3390/pharmaceutics16030320
APA StyleCoban, T., Sykes, H., Kulkarni, S., Lucas, R. A., Robertson, C., & Le Gresley, A. (2024). Using Nuclear Magnetic Resonance to Troubleshoot a Stability Issue in a Real-World Formulation Chassis—Application to Consumer Oral Healthcare. Pharmaceutics, 16(3), 320. https://doi.org/10.3390/pharmaceutics16030320

