The Influence of the Intergranular Superdisintegrant Performance on New Drotaverine Orodispersible Tablet Formulations
Abstract
:1. Introduction
2. Material and Methods
2.1. Granules Preparation Steps
2.2. DROT-ODTs Manufacturing Steps and General Appearance Evaluation
2.3. DROT-FDG Evaluation
2.3.1. Particle Size Distribution
2.3.2. Relative Homogeneity Index
- Iθ—relative homogeneity index;
- Fm—percentage of particles in the majority range;
- rIθ—relative homogeneity index converted into radius [33].
2.3.3. Particles < 160 µm
2.3.4. DROT-HCl Content
2.3.5. Dissolution
2.4. DROT-ODT Evaluation
2.4.1. Organoleptic Properties
2.4.2. Dimensional Parameters and Uniformity of Mass
Uniformity of Mass
Diameter, Thickness, and Radius
2.4.3. Mechanical Characteristics
DROT-ODT Resistance to Crushing (Crushing Strength)
Friability
Crushing Strength–Friability Ratio (CSFR)
Tensile Strength (Ts)
- Ts = tensile strength (MPa);
- F = resistance to crushing (N);
- d = DROT-ODT diameter (m);
- h = DROT-ODT thickness (m).
2.4.4. pH
2.4.5. Wetting Time
2.4.6. Disintegration Test (Behavior)
2.4.7. DROT-HCl Content
2.4.8. Dissolution
2.4.9. Statistical Analysis—One-Way ANOVA
- (p > 0.05), ns—not significant;
- (p ≤ 0.05);
- (p ≤ 0.01);
- (p ≤ 0.001);
- (p ≤ 0.0001).
3. Results
3.1. FDGs General Characterization
3.2. DROT-FDG Evaluation
3.2.1. Particle Size Distribution
3.2.2. Relative Homogeneity Index
3.2.3. Particles < 160 µm (0.16 mm)
3.2.4. DROT-HCl Content
3.2.5. Dissolution
3.3. DROT-ODT Evaluation
3.3.1. DROT-ODTs Appearance
3.3.2. Dimensional Parameters and Uniformity of Mass
Uniformity of Mass
Diameter, Thickness, and Radius
3.3.3. Mechanical Characterization
3.3.4. pH
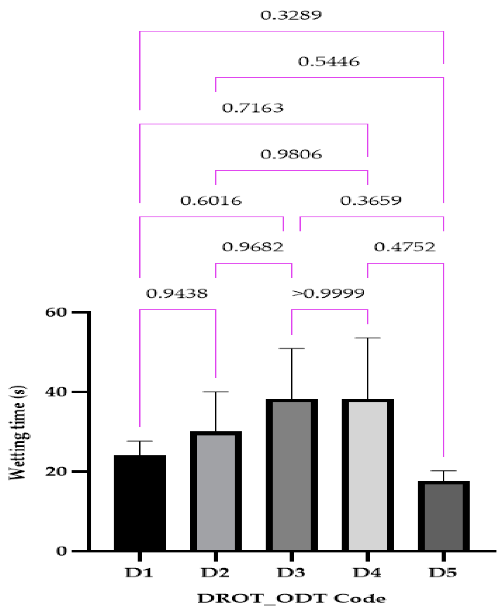
3.3.5. Wetting Time
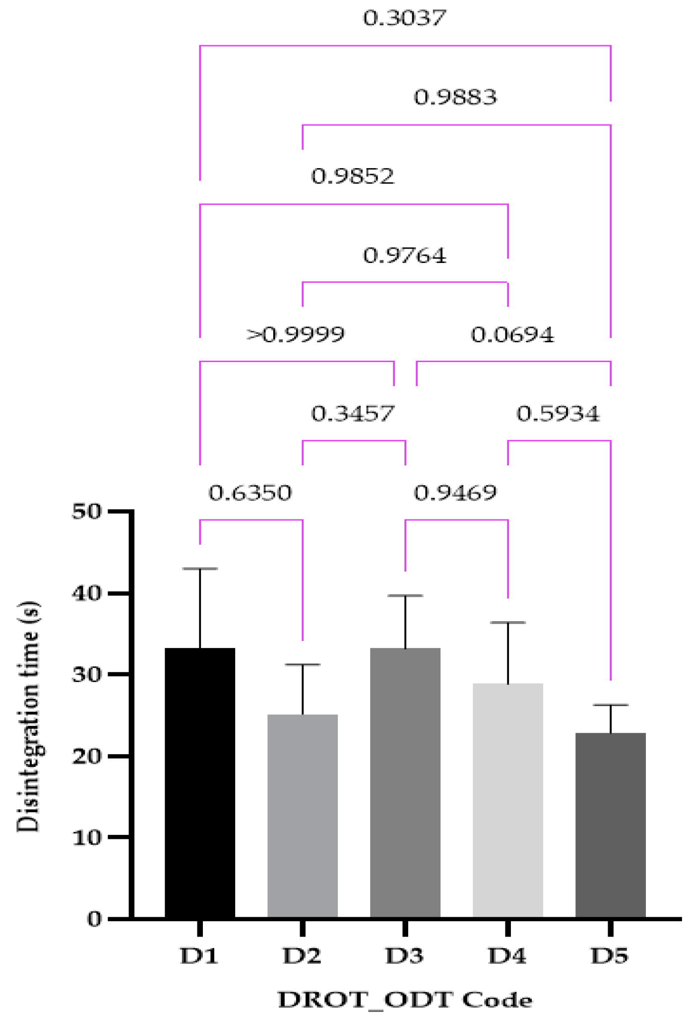
3.3.6. Disintegration Test (Behavior)
3.3.7. DROT-HCl Content
3.3.8. Dissolution
4. Conclusions
Supplementary Materials
Author Contributions
Funding
Institutional Review Board Statement
Informed Consent Statement
Data Availability Statement
Acknowledgments
Conflicts of Interest
References
- Ronge, P.P.; Shinde, D.A.D. A review on—Formulation and in-vitro evaluation of orodispersible tablets. Indo Am. J. Pharm. Sci. 2019, 6, 10991–11000. [Google Scholar]
- Kuralla, H.; Saripilli, R.; Kolapalli, V.R.M. Preparation and evaluation of drotaverine hydrochloride orally disintegrating tablets using melt granulation. J. Appl. Pharm. Sci. 2018, 8, 39–46. [Google Scholar]
- Fouad, S.A.; Malaak, F.A.; El-Nabarawi, M.A.; Abu Zeid, K. Development of orally disintegrating tablets containing solid dispersion of a poorly soluble drug for enhanced dissolution: In-vitro optimization/in-vivo evaluation. PLoS ONE 2020, 15, 0244646. [Google Scholar] [CrossRef] [PubMed]
- Deshpande, K.B.; Ganesh, N.S. Orodispersible tablets: An overview of formulation and technology. Int. J. Pharma Bio Sci. 2011, 2, 726–734. [Google Scholar]
- Kakar, S. Orodispersible tablets: An overview. MOJ Proteom. Bioinform. 2018, 7, 180–182. [Google Scholar] [CrossRef]
- Goel, H.; Vora, N.; Tiwary, A.K.; Rana, V. Understanding the mechanism for paradoxical effect of ionized and unionized chitosan: Orodispersible tablets of Ondansetron Hydrochloride. Pharm. Dev. Technol. 2009, 14, 476–484. [Google Scholar] [CrossRef]
- Unvala, H.M.; Schwartz, J.B.; Schnaare, R.L. The Effect of the Wet Granulation Process on Drug Dissolution. Drug Dev. Ind. Pharm. 1988, 14, 1327–1349. [Google Scholar] [CrossRef]
- Shanmugam, S. Granulation techniques and technologies: Recent progresses. BioImpacts 2017, 5, 55–63. [Google Scholar] [CrossRef]
- Al-khattawi, A.; Mohammed, A.R. Compressed orally disintegrating tablets: Excipients evolution and formulation strategies. Expert. Opin. Drug Deliv. 2013, 10, 651–663. [Google Scholar] [CrossRef]
- Ghourichay, M.P.; Kiaie, S.H.; Nokhodchi, A.; Javadzadeh, Y. Formulation and Quality Control of Orally Disintegrating Tablets (ODTs): Recent Advances and Perspectives. BioMed Res. Int. 2021, 2021, 6618934. [Google Scholar] [CrossRef] [PubMed]
- Shirsand, S.; Suresh, S.; Swamy, P.; Para, M.; Nagendra Kumar, D. Formulation design of fast disintegrating tablets using disintegrant blends. Indian J. Pharm. Sci. 2010, 72, 130. [Google Scholar] [CrossRef]
- Vlad, R.A.; Antonoaea, P.; Redai, E.M.; Muntean, D.L.; Todoran, N.; Bîrsan, M.; Tataru, A.; Ciurba, A. Soy polysaccharides therapeutic and technological aspects. Acta Marisiensis-Seria Medica 2021, 67, 199–203. [Google Scholar] [CrossRef]
- Chivero, P.; Gohtani, S.; Ikeda, S.; Nakamura, A. The structure of soy soluble polysaccharide in aqueous solution. Food Hydrocoll. 2014, 35, 279–286. [Google Scholar] [CrossRef]
- Hosny, K.; Mosli, H.; Hassan, A. Soy polysaccharide as a novel superdisintegrant in sildenafil citrate sublingual tablets: Preparation, characterization, and in vivo evaluation. Drug Des. Devel Ther. 2015, 9, 465–472. [Google Scholar] [CrossRef] [PubMed]
- Mv, S.; Mu, U.; Sa, S.; Kv, R.M. Design and evaluation of taste masked Drotaverine HCl orodispersible tablets using polymethacrylate polymers. Pharm. Lett. 2010, 2, 223–231. [Google Scholar]
- Kuralla, H.; Saripilli, R.; Ramana, V.; Kolapalli, M. Preparation and evaluation of drotaverine HCl oral disintegration tablets using solid mixture technique. Asian J. Pharm. Clin. Res. 2018, 11, 289–297. [Google Scholar]
- Simon, G.; Vargay, Z.; Winter, M.; Szüts, T. The intestinal absorption and excretion of14C drotaverin in rats. Eur. J. Drug Metab. Pharmacokinet. 1979, 4, 213–217. [Google Scholar] [CrossRef]
- Dyderski, S.; Grześkowiak, E.; Drobnik, L.; Szalek, E.; Balcerkiewicz, M.; Dubai, V. Bioavailability Study of Drotaverine from Capsule and Tablet Preparations in Healthy Volunteers. Arzneimittelforschung 2011, 54, 298–302. [Google Scholar] [CrossRef]
- Deepshikha; Soni, M.; Gupta, D.; Godara, S. Drotaverine hydrochloride versus valethamate bromide for cervical dilatation in labour: A comparative study. Int. J. Reprod. Contracept. Obstet. Gynecol. 2020, 9, 1986–1991. [Google Scholar] [CrossRef]
- Vargay, Z.; Simon, G.; Winter, M.; Szüts, T. Qualitative and quantitative determination of drotaverine metabolites in rat bile. Eur. J. Drug Metab. Pharmacokinet. 1980, 5, 69–74. [Google Scholar] [CrossRef]
- Sunita, A.; Hindumathi, M.; Sivajyothi, I. The comparative study of drotaverine hydrochloride vs valethamate bromide in labor. J. Evol. Med. Dent. Sci. 2015, 4, 13671–13679. [Google Scholar] [CrossRef]
- Rai, R.; Dwivedi, M.; Kumar, N. Efficacy and safety of drotaverine hydrochloride in irritable bowel syndrome: A randomized double-blind placebo-controlled study. Saudi J. Gastroenterol. 2014, 20, 378–382. [Google Scholar] [CrossRef] [PubMed]
- Bishal, A.; Ali, K.A.; Bandyopadhyay, B.; Bandyopadhyay, R.; Debnath, B. Study of different super-disintegrants and their use as a magic ingredient for different immediate- release tablets. J. Pharm. Negat. Results 2022, 13, 1222–1232. [Google Scholar]
- Reddy, D.N.; Pavan, J.K.; Sravan, V.D.C.; Reddy, V.S.; Bhasha, S.J. Preparation and Characterization of Orodispersible tablets of Antispasmodic drug manufactured with Co-Processed mixtures. Int. J. Adv. Pharm. Biol. Chem. 2018, 7, 1–10. [Google Scholar]
- Available online: https://nomenclator.anm.ro/medicamente?dci=drotaverinum&page=1 (accessed on 13 June 2023).
- Aguilar, J.E.; García Montoya, E.; Pérez Lozano, P.; Suñe Negre, J.M.; Miñarro, M.; Ticó, J.R. New SeDeM-ODT expert system: An expert system for formulation of orodispersible tablets obtained by direct compression. In Formulation Tools for Pharmaceutical Development; Woodhead Publishing Series in Biomedicine; Woodhead Publishing: Sawston, UK, 2013; pp. 137–154. [Google Scholar]
- Wan, S.; Yang, R.; Zhang, H.; Li, X.; Gum, M.; Guan, T.; Ren, J.; Sun, H.; Dai, C. Application of the SeDeM Expert System in Studies for Direct Compression Suitability on Mixture of Rhodiola Extract and an Excipient. AAPS PharmSciTech 2019, 20, 105. [Google Scholar] [CrossRef]
- Zhang, Y.; Xu, B.; Wang, X.; Dai, S.; Shi, X.; Qiao, Y. Optimal Selection of Incoming Materials from the Inventory for Achieving the Target Drug Release Profile of High Drug Load Sustained-Release Matrix Tablet. AAPS PharmSciTech 2019, 20, 76. [Google Scholar] [CrossRef]
- Aguilar-Díaz, J.E.; García-Montoya, E.; Pérez-Lozano, P.; Suñe-Negre, J.M.; Miñarro, M.; Ticó, J.R. The use of the SeDeM Diagram expert system to determine the suitability of diluents-disintegrants for direct compression and their use in formulation of ODT. Eur. J. Pharm. Biopharm. 2009, 73, 414–423. [Google Scholar] [CrossRef]
- Aguilar-Díaz, J.E.; García-Montoya, E.; Suñé-Negre, J.M.; Pérez-Lozano, P.; Miñarro, M.; Ticó, J.R. Predicting orally disintegrating tablets formulations of ibuprofen tablets. An application of the new SeDeM-ODT expert system. Eur. J. Pharm. Biopharm. 2012, 80, 638–648. [Google Scholar] [CrossRef] [PubMed]
- Suñé-Negre, J.M.; Roig, M.; Fuster, R.; Hernández, C.; Ruhí, R.; García-Montoya, E. New classification of directly compressible (DC) excipients in function of the SeDeM Diagram Expert System. Int. J. Pharm. 2014, 470, 15–27. [Google Scholar] [CrossRef] [PubMed]
- Perez, P.; Suñé-Negre, J.M.; Miñarro, M.; Roig, M.; Fusterm, R.; García-Montoya, E.; Hernándezm, C.; Ruhi, R.; Tico, J.R. A new expert systems (SeDeM diagram) for control batch powder formulation and preformulation drug products. Eur. J. Pharm. Biopharm. 2006, 64, 351–359. [Google Scholar] [CrossRef]
- Khan, A. Optimization of the process variables of roller compaction, on the basis of granules characteristics (flow, mechanical strength, and disintegration behavior): An application of SeDeM-ODT expert system. Drug Dev. Ind. Pharm. 2019, 45, 1537–1546. [Google Scholar] [CrossRef]
- European Pharmacopoeia. 2.9.5. Uniformity of Mass of Single-Dose Preparations, 10th ed.; European Commision: Strasbourg, France, 2020. [Google Scholar]
- Adedokun, M.O.; Ayorinde, J.O.; Odeniyi, M.A. Compressional, mechanical and release properties of a novel gum in paracetamol tablet formulations. Curr. Issues Pharm. Med. Sci. 2014, 27, 187–194. [Google Scholar] [CrossRef]
- Bamiro, O.A.; Owodunim, A.S.; Bakre, L.G. Uwaezuoke O.J. Evaluation of Terminalia randii Baker F. gum as a disintegrant in paracetamol tablet formulation. J. Chem. Pharm. Res. 2014, 6, 155–159. [Google Scholar]
- Kunle, O.O. Starch Source and Its Impact on Pharmaceutical Applications. In Chemical Properties of Starch; Emeje, M., Ed.; IntechOpen: London, UK, 2019; Available online: https://www.intechopen.com/books/chemical-properties-of-starch/starch-source-and-its-impact-on-pharmaceutical-applications (accessed on 20 May 2023).
- <701> Disintegration. In USP-NF; The United States Pharmacopeial Convention, Inc.: Rockville, MD, USA, 2022.
- Vlad, R.-A.; Antonoaea, P.; Todoran, N.; Rédai, E.-M.; Bîrsan, M.; Muntean, D.-L.; Imre, S.; Hancu, G.; Farczádi, L.; Ciurba, A. Development and Evaluation of Cannabidiol Orodispersible Tablets Using a 23-Factorial Design. Pharmaceutics 2022, 14, 1467. [Google Scholar] [CrossRef] [PubMed]
- Parikh, D.M. (Ed.) Handbook of Pharmaceutical Granulation Technology, 3rd ed.; Marcel Dekker, Inc.: New York, NY, USA, 2009. [Google Scholar]
- Pharmaceutics: The Science of Dosage Form Design, 2nd ed.; Churchill Livingstone: London, UK, 2001.
- Boschini, F.; Delaval, V.; Traina, K.; Vandewalle, N.; Lumay, G. Linking flowability and granulometry of lactose powders. Int. J. Pharm. 2015, 494, 312–320. [Google Scholar] [CrossRef] [PubMed]
- Brniak, W.; Jachowicz, R.; Pelka, P. The practical approach to the evaluation of methods used to determine the disintegration time of orally disintegrating tablets (ODTs). Saudi Pharmaceut. J. 2015, 23, 437–443. [Google Scholar] [CrossRef]
- Muntean, A.C.; Negoi, O.I.; Rus, L.L.; Vonica, A.L.; Tomuță, I. Formulation of orodispersible tablets containing paracetamol and their in vitro characterization—A QbD approach. Farmacia 2020, 68, 436–446. [Google Scholar] [CrossRef]













| Commercial Product | Patented Technology | Active Substance (Dose/Tablet) | Use | Company |
|---|---|---|---|---|
| Imodium® | Zydis ® | Loperamide (2 mg) | antidiarrheic | Janssen |
| Claritine® | Zydis ® | Loratadine (10 mg) | antihistaminic | Schering Plough |
| Motilium® | Zydis ® | Domperidone (10 mg) | antiemetic | Janssen |
| NuLev® | Durasolv® | Hyoscyamine sulfate (0.125 mg) | antispasmodic | Alaven |
| Zomig ZMTTM | Durasolv® | Zolmitriptan (2.5 or 5 mg) | antimigraine agent | Astra Zeneca |
| Remeron® SolTab | Orasolv® | Mirtazapine (15, 30 or 45 mg) | antidepressant | Organon |
| Tempra® FirstTabs | Orasolv® | Acetaminophen (160 mg) | analgesic | Taisho |
| Ingredient Type | Example |
|---|---|
| Superdisintegrants/disintegrants | Croscarmellose sodium, crospovidone, sodium starch glycolate, sodium carboxymethyl cellulose, sodium alginate |
| Fillers | Lactose, starch, microcrystalline cellulose, maltodextrins |
| Sweeteners | Natural sugars (sugar, fructose), sodium saccharin |
| Lubricants | Magnesium stearate, talc, sodium acetate, stearic acid, Aerosil®, liquid paraffin |
| Emulsifiers | Propylene glycol, sodium lauryl sulfate, polyethylene glycol 4000 and 6000 |
| Excipient | Quantity (g) |
|---|---|
| DROT-HCl | 10.00 |
| CCSNa | 5.10 |
| LCTS | 80.08 |
| PVP | 1.00 |
| Ethanol 96% (v/v) | 38.04 |
| Excipient | Formulation Code | ||||
|---|---|---|---|---|---|
| D1 | D2 | D3 | D4 | D5 | |
| Quantity—w/w (g) | |||||
| DROT-FDGs | 0.3816 | 0.3816 | 0.3816 | 0.3816 | 0.3816 |
| Sucralose | 0.05 | 0.05 | 0.05 | 0.05 | 0.05 |
| Pruv® | 0.005 | 0.005 | 0.005 | 0.005 | 0.005 |
| EMCS | 0.005 | 0.025 | - | - | 0.015 |
| SSP | - | - | 0.005 | 0.025 | - |
| BFL | 0.005 | 0.005 | 0.005 | 0.005 | 0.005 |
| LCTS | 0.0534 | 0.0334 | 0.0534 | 0.0334 | 0.0434 |
| Final mass | 0.5000 | 0.5000 | 0.5000 | 0.5000 | 0.5000 |
| Sieve Size (µm) | Average Class Interval Sieve Size Xi (µm) | Mass of Granules Retained on the Sieve after 10 min | Cumulative Results | |||
|---|---|---|---|---|---|---|
| g | Ni (%) | N1 (% Retained) | N2 (% Passed) | |||
| 4000 | >4000 | 0 | 100 | |||
| 2500 | 3250 | 6.85 | 7.61 | 7.61 | 92.93 | |
| 2500 | 1650 | 62.72 | 69.74 | 77.35 | 22.65 | |
| 800 | ||||||
| 800 | 557.5 | 5.97 | 6.63 | 83.98 | 16.02 | |
| 315 | ||||||
| 315 | 257.5 | 1.35 | 1.50 | 85.48 | 14.52 | |
| 200 | ||||||
| 160 | <160 | 13.04 | 14.5 | 99.98 | 0.02 | |
| Corresponding Diameter | Sieve (mm) | Average Diameter of the Fraction | Corresponding Fraction | Ni (% Retained) |
|---|---|---|---|---|
| dm+2 | 4.000–2.500 | 3.2500 | Fm+2 | 7.61 |
| dm+1 | 2.500–0.800 | 1.6500 | Fm+1 | 69.74 |
| dm | 0.800–0.315 | 0.5575 | Fm | 6.63 |
| dm−1 | 0.315–0.200 | 0.2575 | Fm−1 | 1.50 |
| dm−2 | 0.200–0.160 | 0.1800 | Fm−2 | 14.5 |
Disclaimer/Publisher’s Note: The statements, opinions and data contained in all publications are solely those of the individual author(s) and contributor(s) and not of MDPI and/or the editor(s). MDPI and/or the editor(s) disclaim responsibility for any injury to people or property resulting from any ideas, methods, instructions or products referred to in the content. |
© 2023 by the authors. Licensee MDPI, Basel, Switzerland. This article is an open access article distributed under the terms and conditions of the Creative Commons Attribution (CC BY) license (https://creativecommons.org/licenses/by/4.0/).
Share and Cite
Vlad, R.-A.; Pintea, C.; Chirteș, D.-A.; Antonoaea, P.; Rédai, E.M.; Todoran, N.; Bîrsan, M.; Ciurba, A. The Influence of the Intergranular Superdisintegrant Performance on New Drotaverine Orodispersible Tablet Formulations. Pharmaceutics 2023, 15, 2147. https://doi.org/10.3390/pharmaceutics15082147
Vlad R-A, Pintea C, Chirteș D-A, Antonoaea P, Rédai EM, Todoran N, Bîrsan M, Ciurba A. The Influence of the Intergranular Superdisintegrant Performance on New Drotaverine Orodispersible Tablet Formulations. Pharmaceutics. 2023; 15(8):2147. https://doi.org/10.3390/pharmaceutics15082147
Chicago/Turabian StyleVlad, Robert-Alexandru, Cezara Pintea, Diana-Andreea Chirteș, Paula Antonoaea, Emöke Margit Rédai, Nicoleta Todoran, Magdalena Bîrsan, and Adriana Ciurba. 2023. "The Influence of the Intergranular Superdisintegrant Performance on New Drotaverine Orodispersible Tablet Formulations" Pharmaceutics 15, no. 8: 2147. https://doi.org/10.3390/pharmaceutics15082147
APA StyleVlad, R.-A., Pintea, C., Chirteș, D.-A., Antonoaea, P., Rédai, E. M., Todoran, N., Bîrsan, M., & Ciurba, A. (2023). The Influence of the Intergranular Superdisintegrant Performance on New Drotaverine Orodispersible Tablet Formulations. Pharmaceutics, 15(8), 2147. https://doi.org/10.3390/pharmaceutics15082147

