Modified Sulfanilamide Release from Intelligent Poly(N-isopropylacrylamide) Hydrogels
Abstract
1. Introduction
2. Materials and Methods
2.1. Reagents
2.2. Sulfanilamide Synthesis and Purification
1H-NMR Spectrum of Sulfanilamide
2.3. Hydrogels Synthesis and Lyophilization
2.4. Residual Reactants Analysis
2.5. Swelling of Hydrogels
2.6. The Examination of p(NIPAM) Hydrogels as Carriers for Sulfanilamide
2.6.1. Sulfanilamide Incorporation into the Hydrogels
2.6.2. In Vitro Sulfanilamide Release from Hydrogels
2.6.3. Fourier Transform Infrared Spectroscopy (FTIR)
2.6.4. X-ray Diffraction (XRD)
2.6.5. Scanning Electron Microscopy (SEM)
2.7. Statistical Analysis of Data
3. Results and Discussion
3.1. The Residual Reactants Analysis
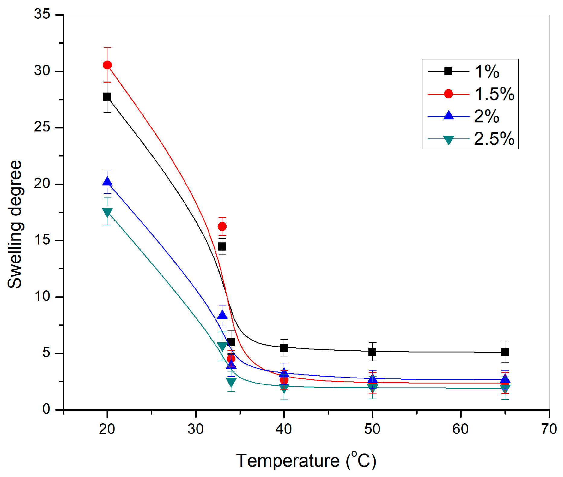
3.2. Swelling Study
3.3. p(NIPAM) Hydrogels as Carriers for Sulfanilamide
3.3.1. FTIR Analysis
3.3.2. XRD Analysis
3.3.3. SEM Analysis
3.3.4. Sulfanilamide Incorporation into the p(NIPAM) Hydrogels
3.3.5. In Vitro Release of Sulfanilamide from p(NIPAM) Hydrogels
4. Conclusions
Author Contributions
Funding
Institutional Review Board Statement
Informed Consent Statement
Data Availability Statement
Acknowledgments
Conflicts of Interest
References
- Peppas, N.A.; Bures, P.; Leobandung, W.; Ichikawa, H. Hydrogels in Pharmaceutical Formulations. Eur. J. Pharm. Biopharm. Off. J. Arb. Pharm. Verfahr. EV 2000, 50, 27–46. [Google Scholar] [CrossRef] [PubMed]
- Bajpai, A.K.; Shukla, S.K.; Bhanu, S.; Kankane, S. Responsive Polymers in Controlled Drug Delivery. Prog. Polym. Sci. 2008, 33, 1088–1118. [Google Scholar] [CrossRef]
- Ratner, B.D.; Hoffman, A.S. Process for Radiation Grafting Hydrogels onto Organic Polymeric Substrates. Registered Patent US3939049A, 17 February 1976. Available online: https://patents.google.com/patent/US3939049 (accessed on 14 April 2023).
- Garg, T.; Singh, S.; Goyal, A.K. Stimuli-Sensitive Hydrogels: An Excellent Carrier for Drug and Cell Delivery. Crit. Rev. Ther. Drug Carr. Syst. 2013, 30, 369–409. [Google Scholar] [CrossRef]
- Yang, K.; Han, Q.; Chen, B.; Zheng, Y.; Zhang, K.; Li, Q.; Wang, J. Antimicrobial Hydrogels: Promising Materials for Medical Application. Int. J. Nanomed. 2018, 13, 2217–2263. [Google Scholar] [CrossRef]
- Mahinroosta, M.; Jomeh Farsangi, Z.; Allahverdi, A.; Shakoori, Z. Hydrogels as Intelligent Materials: A Brief Review of Synthesis, Properties and Applications. Mater. Today Chem. 2018, 8, 42–55. [Google Scholar] [CrossRef]
- Peppas, N.A. Physiologically Responsive Hydrogels. J. Bioact. Compat. Polym. 1991, 6, 241–246. [Google Scholar] [CrossRef]
- Koetting, M.C.; Peters, J.T.; Steichen, S.D.; Peppas, N.A. Stimulus-Responsive Hydrogels: Theory, Modern Advances, and Applications. Mater. Sci. Eng. R Rep. 2015, 93, 1–49. [Google Scholar] [CrossRef] [PubMed]
- Shibayama, M.; Tanaka, T. Volume Phase Transition and Related Phenomena of Polymer Gels. In Responsive Gels: Volume Transitions I; Dušek, K., Ed.; Advances in Polymer Science; Springer: Berlin/Heidelberg, Germany, 1993; Volume 109, pp. 1–62. ISBN 978-3-540-56791-2. [Google Scholar]
- Ashraf, S.; Park, H.-K.; Park, H.; Lee, S.-H. Snapshot of Phase Transition in Thermoresponsive Hydrogel PNIPAM: Role in Drug Delivery and Tissue Engineering. Macromol. Res. 2016, 24, 297–304. [Google Scholar] [CrossRef]
- de Oliveira, T.E.; Mukherji, D.; Kremer, K.; Netz, P.A. Effects of Stereochemistry and Copolymerization on the LCST of PNIP. Am. J. Chem. Phys. 2017, 146, 034904. [Google Scholar] [CrossRef]
- Schild, H.G. Poly(N-Isopropylacrylamide): Experiment, Theory and Application. Prog. Polym. Sci. 1992, 17, 163–249. [Google Scholar] [CrossRef]
- Constantin, M.; Cristea, M.; Ascenzi, P.; Fundueanu, G. Lower Critical Solution Temperature versus Volume Phase Transition Temperature in Thermoresponsive Drug Delivery Systems. Express Polym. Lett. 2011, 5, 839–848. [Google Scholar] [CrossRef]
- Bandyopadhyay, S.; Sharma, A.; Ashfaq Alvi, M.A.; Raju, R.; Glomm, W.R. A Robust Method to Calculate the Volume Phase Transition Temperature (VPTT) for Hydrogels and Hybrids. RSC Adv. 2017, 7, 53192–53202. [Google Scholar] [CrossRef]
- Mah, E.; Ghosh, R. Thermo-Responsive Hydrogels for Stimuli-Responsive Membranes. Processes 2013, 1, 238–262. [Google Scholar] [CrossRef]
- Lin, C.C.; Metters, A.T. Hydrogels in controlled release formulations: Network design and mathematical modeling. Adv. Drug Deliv. Rev. 2006, 58, 1379–1408. [Google Scholar] [CrossRef]
- Lee, W.-F.; Lee, S.-C. Effect of Gelatin on the Drug Release Behaviors for the Organic Hybrid Gels Based on N-Isopropylacrylamide and Gelatin. J. Mater. Sci. Mater. Med. 2007, 18, 1089–1096. [Google Scholar] [CrossRef]
- Ward, M.A.; Georgiou, T.K. Thermoresponsive Polymers for Biomedical Applications. Polymers 2011, 3, 1215–1242. [Google Scholar] [CrossRef]
- Meenach, S.A.; Anderson, A.A.; Suthar, M.; Anderson, K.W.; Hilt, J.Z. Biocompatibility analysis of magnetic hydrogel nanocomposites based on poly(N-isopropylacrylamide) and iron oxide. J. Biomed. Mater. Res. 2008, 91A, 903–909. [Google Scholar] [CrossRef] [PubMed]
- Neu, H.C.; Gootz, T.D. Antimicrobial Chemotherapy. In Medical Microbiology; Baron, S., Ed.; University of Texas Medical Branch at Galveston: Galveston, TX, USA, 1996; ISBN 978-0-9631172-1-2. [Google Scholar]
- VanMeter, K.C.; Hubert, R.J. Microbiology for the Healthcare Professional; Elsevier Health Sciences: Maryland Heights, MO, USA, 2015; ISBN 978-0-323-32092-4. [Google Scholar]
- Tacic, A.; Nikolic, V.; Nikolic, L.; Savic, I. Antimicrobial Sulfonamide Drugs. Adv. Technol. 2017, 6, 58–71. [Google Scholar] [CrossRef]
- Sun, X.; Ma, C.; Gong, W.; Ma, Y.; Ding, Y.; Liu, L. Biological Properties of Sulfanilamide-Loaded Alginate Hydrogel Fibers Based on Ionic and Chemical Crosslinking for Wound Dressings. Int. J. Biol. Macromol. 2020, 157, 522–529. [Google Scholar] [CrossRef]
- Ma, C.; Liu, L.; Hua, W.; Cai, Y.; Yao, J. Fabrication and Characterization of Absorbent and Antibacterial Alginate Fibers Loaded with Sulfanilamide. Fibers Polym. 2015, 16, 1255–1261. [Google Scholar] [CrossRef]
- Nizam El-Din, H.M.; Ibraheim, D.M. Biological Applications of Nanocomposite Hydrogels Prepared by Gamma-Radiation Copolymerization of Acrylic Acid (AAc) onto Plasticized Starch (PLST)/Montmorillonite Clay (MMT)/Chitosan (CS) Blends. Int. J. Biol. Macromol. 2021, 192, 151–160. [Google Scholar] [CrossRef]
- Lee, W.-F.; Huang, C.-T. Immobilization of Trypsin by Thermo-Responsive Hydrogel for the Affinity Separation of Trypsin Inhibitor. Desalination 2008, 234, 195–203. [Google Scholar] [CrossRef]
- Lee, W.-F.; Cheng, T.-S. Effect of Monomer Composition on the Properties of Biodegradable Poly(NIPAAm-AA-PCLdA) Copolymeric Hydrogels. J. Appl. Polym. Sci. 2013, 128, 230–238. [Google Scholar] [CrossRef]
- Das, D.; Ghosh, P.; Ghosh, A.; Haldar, C.; Dhara, S.; Panda, A.B.; Pal, S. Stimulus-responsive, biodegradable, biocompatible, covalently cross-linked hydrogel based on dextrin and poly (N-isopropylacrylamide) for in vitro/in vivo controlled drug release. ACS Appl. Mater. Interfaces 2015, 7, 14338–14351. [Google Scholar] [CrossRef]
- Moogooee, M.; Ramezanzadeh, H.; Jasoori, S.; Omidi, Y.; Davaran, S. Synthesis and in vitro studies of cross-linked hydrogel nanoparticles containing amoxicillin. J. Pharm. Sci. 2011, 100, 1057–1066. [Google Scholar] [CrossRef]
- Manjula, B.; Varaprasad, K.; Sadiku, R.; Ramam, K.; Reddy, G.V.S.; Raju, K.M. Development of microbial resistant thermosensitive Ag nanocomposite (gelatin) hydrogels via green process. J. Biomed. Mater. Res. A 2014, 102, 928–934. [Google Scholar] [CrossRef] [PubMed]
- Zafar, M.; Shah, T.; Rawal, A.; Siores, E. Preparation and characterisation of thermoresponsive nanogels for smart antibacterial fabrics. Mater. Sci. Eng. C 2014, 40, 135–141. [Google Scholar] [CrossRef] [PubMed]
- James, C.; Johnson, A.L.; Jenkins, A.T.A. Antimicrobial surface grafted thermally responsive PNIPAM-co-ALA nano-gels. Chem. Comm. 2011, 47, 12777–12779. [Google Scholar] [CrossRef]
- Torres-Figueroa, A.V.; Pérez-Martínez, C.J.; Encinas, J.C.; Burruel-Ibarra, S.; Silvas-García, M.I.; Alegría, A.M.G.; Castillo-Castro, T. Thermosensitive Bioadhesive Hydrogels Based on Poly(N-isopropylacrilamide) and Poly(methyl vinyl ether-alt-maleic anhydride) for the Controlled Release of Metronidazole in the Vaginal Environment. Pharmaceutics 2021, 13, 1284. [Google Scholar] [CrossRef] [PubMed]
- Ilić-Stojanović, S.; Nikolić, L.; Nikolić, V.; Milić, J.; Stamenković, J.; Nikolić, G.M.; Petrović, S.D. Synthesis and characterization of thermosensitive hydrogels and the investigation of modified release of ibuprofen. Chem. Ind. 2013, 67, 901–912. [Google Scholar] [CrossRef]
- Tačić, A.; Savić, I.; Nikolić, V.; Savić, I.; Ilić-Stojanović, S.; Ilić, D.; Petrović, S.; Popsavin, M.; Kapor, A. Inclusion Complexes of Sulfanilamide with β-Cyclodextrin and 2-Hydroxypropyl-β-Cyclodextrin. J. Incl. Phenom. Macrocycl. Chem. 2014, 80, 113–124. [Google Scholar] [CrossRef]
- Sukul, P.; Spiteller, M. Sulfonamides in the Environment as Veterinary Drugs. In Reviews of Environmental Contamination and Toxicology: Continuation of Residue Reviews; Ware, G.W., Albert, L.A., de Voogt, P., Gerba, C.P., Hutzinger, O., Knaak, J.B., Mayer, F.L., Morgan, D.P., Park, D.L., Tjeerdema, R.S., et al., Eds.; Reviews of Environmental Contamination and Toxicology; Springer: New York, NY, USA, 2006; pp. 67–101. ISBN 978-0-387-32885-0. [Google Scholar]
- Ilić-Stojanović, S.; Urošević, M.; Nikolić, L.; Petrović, D.; Stanojević, J.; Najman, S.; Nikolić, V. Intelligent Poly(N-Isopropylmethacrylamide) Hydrogels: Synthesis, Structure Characterization, Stimuli-Responsive Swelling Properties, and Their Radiation Decomposition. Polymers 2020, 12, 1112. [Google Scholar] [CrossRef] [PubMed]
- Ritger, P.L.; Peppas, N.A. A simple equation for description of solute release II. Fickian and anomalous release from swellable devices. J. Control. Release 1987, 5, 37–42. [Google Scholar] [CrossRef]
- Pemberton, M.A.; Lohmann, B.S. Risk Assessment of Residual Monomer Migrating from Acrylic Polymers and Causing Allergic Contact Dermatitis during Normal Handling and Use. Regul. Toxicol. Pharmacol. RTP 2014, 69, 467–475. [Google Scholar] [CrossRef] [PubMed]
- Kostic, M.; Pejcic, A.; Igic, M.; Gligorijevic, N. Adverse Reactions to Denture Resin Materials. Eur. Rev. Med. Pharmacol. Sci. 2017, 21, 5298–5305. [Google Scholar] [CrossRef] [PubMed]
- Taşdelen, B.; Kayaman-Apohan, N.; Güven, O.; Baysal, B.M. PH-Thermoreversible Hydrogels. I. Synthesis and Characterization of Poly(N-Isopropylacrylamide/Maleic Acid) Copolymeric Hydrogels. Radiat. Phys. Chem. 2004, 69, 303–310. [Google Scholar] [CrossRef]
- Kurečič, M.; Sfiligoj Smole, M.; Stana Kleinschek, K. Uv Polymerization of Poly (N-Isopropylacrylamide) Hydrogel. Mater. Tehnol. Mater. Technol. 2012, 46, 87–91. [Google Scholar]
- Tsao, J.-Y.; Tsai, H.-H.; Wu, C.-P.; Lin, P.-Y.; Su, S.-Y.; Chen, L.-D.; Tsai, F.-J.; Tsai, Y. Release of Paeonol-β-CD Complex from Thermo-Sensitive Poly(N-Isopropylacrylamide) Hydrogels. Int. J. Pharm. 2010, 402, 123–128. [Google Scholar] [CrossRef] [PubMed]
- Means, A.K.; Ehrhardt, D.A.; Whitney, L.V.; Grunlan, M.A. Thermoresponsive Double Network Hydrogels with Exceptional Compressive Mechanical Properties. Macromol. Rapid Commun. 2017, 38, 1700351. [Google Scholar] [CrossRef]
- Cashin, P. Sulfonamide Partitioning to Aqueous Cationic Micellar Systems. Master’s Thesis, Queen’s University, Kingston, ON, Canada, 2011. [Google Scholar]
- Prabhu, V.; Chatson, K.B.; Lui, H.; Abrams, G.D.; King, J. Effects of sulfanilamide and methotrexate on 13C fluxes through the glycine decarboxylase/serine hydroxy methyltransferase enzyme system in Arabidopsis. Plant Physiol. 1998, 116, 137–144. [Google Scholar] [CrossRef]
- Katsumoto, Y.; Tanaka, T.; Sato, H.; Ozaki, Y. Conformational Change of Poly(N-Isopropylacrylamide) during the Coil-Globule Transition Investigated by Attenuated Total Reflection/Infrared Spectroscopy and Density Functional Theory Calculation. J. Phys. Chem. A 2002, 106, 3429–3435. [Google Scholar] [CrossRef] [PubMed]
- Kim, S.Y.; Cho, S.M.; Lee, Y.M.; Kim, S.J. Thermo- and PH-Responsive Behaviors of Graft Copolymer and Blend Based on Chitosan and N-Isopropylacrylamide. J. Appl. Polym. Sci. 2000, 78, 1381–1391. [Google Scholar] [CrossRef]
- Liu, X.-M.; Pramoda, K.P.; Yang, Y.-Y.; Chow, S.Y.; He, C. Cholesteryl-Grafted Functional Amphiphilic Poly(N-Isopropylacrylamide-Co-N-Hydroxylmethylacrylamide): Synthesis, Temperature-Sensitivity, Self-Assembly and Encapsulation of a Hydrophobic Agent. Biomaterials 2004, 25, 2619–2628. [Google Scholar] [CrossRef] [PubMed]
- Ribeiro, C.A.; Martins, M.V.S.; Bressiani, A.H.; Bressiani, J.C.; Leyva, M.E.; de Queiroz, A.A.A. Electrochemical Preparation and Characterization of PNIPAM-HAp Scaffolds for Bone Tissue Engineering. Mater. Sci. Eng. C Mater. Biol. Appl. 2017, 81, 156–166. [Google Scholar] [CrossRef]
- Ma, X.M.; Li, R.; Ren, J.; Lv, X.C.; Zhao, X.H.; Ji, Q.; Xia, Y.Z. Restorable, High-Strength Poly(N-Isopropylacrylamide) Hydrogels Constructed through Chitosan-Based Dual Macro-Cross-Linkers with Rapid Response to Temperature Jumps. RSC Adv. 2017, 7, 47767–47774. [Google Scholar] [CrossRef]
- Lee, W.-F.; Yeh, Y.-C. Studies on Preparation and Properties of NIPAAm/Hydrophobic Monomer Copolymeric Hydrogels. Eur. Polym. J. 2005, 41, 2488–2495. [Google Scholar] [CrossRef]
- Zhang, X.-Z.; Yang, Y.-Y.; Chung, T.-S.; Ma, K.-X. Preparation and Characterization of Fast Response Macroporous Poly(N-Isopropylacrylamide) Hydrogels. Langmuir 2001, 17, 6094–6099. [Google Scholar] [CrossRef]
- Costa, P.; Sousa Lobo, J.M. Modeling and Comparison of Dissolution Profiles. Eur. J. Pharm. Sci. 2001, 13, 123–133. [Google Scholar] [CrossRef]
- Zhang, Y.; Huo, M.; Zhou, J.; Zou, A.; Li, W.; Yao, C.; Xie, S. DDSolver: An Add-In Program for Modeling and Comparison of Drug Dissolution Profiles. AAPS J. 2010, 12, 263–271. [Google Scholar] [CrossRef]












| Sample | The Content of Residual Reactants in Sample, % | |||
|---|---|---|---|---|
| NIPAM, mg/g | NIPAM, % | EGDM, mg/g | EGDM, % | |
| p(NIPAM) 1% | 18.81 ± 1.32 | 1.91 ± 0.13 | 2.19 ± 0.13 | 1.73 ± 0.11 |
| p(NIPAM) 1.5% | 16.51 ± 0.91 | 1.69 ± 0.09 | 2.45 ± 0.19 | 1.88 ± 0.15 |
| p(NIPAM) 2% | 9.16 ± 0.37 | 0.95 ± 0.04 | 1.82 ± 0.10 | 1.86 ± 0.10 |
| p(NIPAM) 2.5% | 11.41 ± 0.40 | 1.19 ± 0.04 | 1.66 ± 0.05 | 1.29 ± 0.04 |
| Sample | pH = 2.2 | pH = 7.4 | ||||||
|---|---|---|---|---|---|---|---|---|
| n | k × 103, min1/n | R2 | D × 107, cm2/min | n | k × 103, min1/n | R2 | D × 107, cm2/min | |
| p(NIPAM) 1% | 0.54 | 50.38 | 0.999 | 49.82 | 0.66 | 16.46 | 0.998 | 5.32 |
| p(NIPAM) 1.5% | 0.61 | 21.73 | 0.999 | 9.27 | 0.73 | 13.68 | 0.999 | 3.67 |
| p(NIPAM) 2% | 0.51 | 31.83 | 0.986 | 19.89 | 0.62 | 15.26 | 0.991 | 4.57 |
| p(NIPAM) 2.5% | 0.57 | 20.62 | 0.964 | 8.34 | 0.60 | 18.75 | 0.975 | 6.90 |
| Sample | Mass of Xerogel, g | Lg, mg/gxerogel | ηsulfanilamide, % |
|---|---|---|---|
| p(NIPAM) 1% | 0.0473 | 461.74 | 87.36 |
| p(NIPAM) 1.5% | 0.0509 | 450.55 | 91.73 |
| p(NIPAM) 2% | 0.0489 | 479.91 | 93.87 |
| p(NIPAM) 2.5% | 0.0509 | 468.05 | 95.29 |
| Kinetic Model | Parameter | pH = 2.2 | pH = 7.4 | ||||||
|---|---|---|---|---|---|---|---|---|---|
| 1% | 1.5% | 2% | 2.5% | 1% | 1.5% | 2% | 2.5% | ||
| Higuchi F = kH ∙ t1/2 | kH | 7.290 | 9.075 | 7.055 | 7.507 | 6.974 | 9.116 | 7.507 | 6.786 |
| R2 | 0.714 | 0.488 | 0.794 | 0.736 | 0.782 | 0.634 | 0.742 | 0.882 | |
| AIC | 28.418 | 30.737 | 26.540 | 27.944 | 25.975 | 29.600 | 26.974 | 23.841 | |
| Korsmeyer–Peppas F = kKP ∙ tn | kKP | 53.229 | 56.767 | 34.855 | 44.929 | 26.621 | 42.202 | 28.375 | 20.528 |
| n | 0.041 | 0.077 | 0.132 | 0.087 | 0.192 | 0.147 | 0.194 | 0.246 | |
| R2 | 0.993 | 0.848 | 0.983 | 0.980 | 0.935 | 0.865 | 0.898 | 0.970 | |
| AIC | 15.681 | 27.868 | 18.652 | 19.635 | 23.147 | 27.601 | 25.249 | 20.314 | |
Disclaimer/Publisher’s Note: The statements, opinions and data contained in all publications are solely those of the individual author(s) and contributor(s) and not of MDPI and/or the editor(s). MDPI and/or the editor(s) disclaim responsibility for any injury to people or property resulting from any ideas, methods, instructions or products referred to in the content. |
© 2023 by the authors. Licensee MDPI, Basel, Switzerland. This article is an open access article distributed under the terms and conditions of the Creative Commons Attribution (CC BY) license (https://creativecommons.org/licenses/by/4.0/).
Share and Cite
Dinić, A.; Nikolić, V.; Nikolić, L.; Ilić-Stojanović, S.; Najman, S.; Urošević, M.; Gajić, I. Modified Sulfanilamide Release from Intelligent Poly(N-isopropylacrylamide) Hydrogels. Pharmaceutics 2023, 15, 1749. https://doi.org/10.3390/pharmaceutics15061749
Dinić A, Nikolić V, Nikolić L, Ilić-Stojanović S, Najman S, Urošević M, Gajić I. Modified Sulfanilamide Release from Intelligent Poly(N-isopropylacrylamide) Hydrogels. Pharmaceutics. 2023; 15(6):1749. https://doi.org/10.3390/pharmaceutics15061749
Chicago/Turabian StyleDinić, Ana, Vesna Nikolić, Ljubiša Nikolić, Snežana Ilić-Stojanović, Stevo Najman, Maja Urošević, and Ivana Gajić. 2023. "Modified Sulfanilamide Release from Intelligent Poly(N-isopropylacrylamide) Hydrogels" Pharmaceutics 15, no. 6: 1749. https://doi.org/10.3390/pharmaceutics15061749
APA StyleDinić, A., Nikolić, V., Nikolić, L., Ilić-Stojanović, S., Najman, S., Urošević, M., & Gajić, I. (2023). Modified Sulfanilamide Release from Intelligent Poly(N-isopropylacrylamide) Hydrogels. Pharmaceutics, 15(6), 1749. https://doi.org/10.3390/pharmaceutics15061749

