Newly Synthesized Lignin Microparticles as Bioinspired Oral Drug-Delivery Vehicles: Flavonoid-Carrier Potential and In Vitro Radical-Scavenging Activity
Abstract
1. Introduction
2. Materials and Methods
2.1. Chemicals
2.2. Synthesis of Lignin and Morin-Loaded Lignin Microparticles
2.3. Characterization of LP and LMP
2.4. UV–Vis Spectrophotometry
2.5. In Vitro Release Studies
2.6. Radical-Scavenging Activity
2.7. Mathematical Modelling, Statistical and Error Functions Analyses
3. Results and Discussion
3.1. Physicochemical, Structural and Morphological Characterization of LPs and LMPs
3.2. In Vitro Release Study
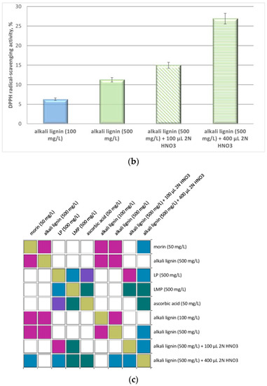
3.3. Antioxidant Activity and Radical-Scavenging Potential of Lignin Microparticles
4. Conclusions and Future Perspectives
Author Contributions
Funding
Institutional Review Board Statement
Informed Consent Statement
Data Availability Statement
Acknowledgments
Conflicts of Interest
References
- Ahmad, Z.; Paleologou, M.; Xu, C. Oxidative depolymerization of lignin using nitric acid under ambient conditions. Ind. Crops Prod. 2021, 170, 113757. [Google Scholar] [CrossRef]
- Khabarov, Y.; Lakhmanov, D.; Kosyakov, D.; Ul´yanovskii, N. Studies of Reaction Products of Hydrolytic Lignin with Nitric Acid. Russ. Chem. Bull. 2016, 65, 237–244. [Google Scholar] [CrossRef]
- Rennhofer, H.; Köhnke, J.; Keckes, J.; Tintner, J.; Unterweger, C.; Zinn, T.; Deix, K.; Lichtenegger, H.; Gindl-Altmutter, W. Pore Development during the Carbonization Process of Lignin Microparticles Investigated by Small Angle X-ray Scattering. Molecules 2021, 26, 2087. [Google Scholar] [CrossRef] [PubMed]
- Lu, Q.; Zhu, M.; Zu, Y.; Liu, W.; Yang, L.; Zhang, Y.; Zhao, X.; Zhang, X.; Li, W. Comparative antioxidant activity of nanoscale lignin prepared by a supercritical antisolvent (SAS) process with non-nanoscale lignin. Food Chem. 2012, 135, 63–67. [Google Scholar] [CrossRef]
- Yang, W.; Ding, H.; Qi, G.; Guo, J.; Xu, F.; Li, Ch.; Puglia, D.; Kenny, J.; Ma, P. Enhancing the Radical Scavenging Activity and UV Resistance of Lignin Nanoparticles via Surface Mannich Amination toward a Biobased Antioxidant. Biomacromolecules 2021, 22, 2693–2701. [Google Scholar] [CrossRef] [PubMed]
- Trevisan, H.; Rezende, C. Pure, stable and highly antioxidant lignin nanoparticles from elephant grass. Ind. Crops Prod. 2020, 145, 112105. [Google Scholar] [CrossRef]
- Piccinino, D.; Capecchi, E.; Tomaino, E.; Gabellone, S.; Gigli, V.; Avitabile, D.; Saladino, R. Nano-Structured Lignin as Green Antioxidant and UV Shielding Ingredient for Sunscreen Applications. Antioxidants 2021, 10, 274. [Google Scholar] [CrossRef]
- Allen, S.; Koumanova, B.; Kircheva, Z.; Nenkova, S. Adsorption of 2-Nitrophenol by Technical Hydrolysis Lignin: Kinetics, Mass Transfer, and Equilibrium Studies. Ind. Eng. Chem. Res. 2005, 44, 2281–2287. [Google Scholar] [CrossRef]
- Gomide, R.A.C.; de Oliveira, A.C.S.; Rodrigues, D.A.C.; de Oliveira, C.R.; de Assis, O.B.G.; Dias, M.V.; Borges, S.V. Development and Characterization of Lignin Microparticles for Physical and Antioxidant Enhancement of Biodegradable Polymers. J. Polym. Environ. 2020, 28, 1326–1334. [Google Scholar] [CrossRef]
- Freitas, F.M.C.; Cerqueira, M.A.; Gonçalves, C.; Azinheiro, S.; Garrido-Maestu, A.; Vicente, A.A.; Pastrana, L.M.; Teixeira, J.A.; Michelin, M. Green synthesis of lignin nano- and micro-particles: Physicochemical characterization, bioactive properties and cytotoxicity assessment. Int. J. Biol. Macromol. 2020, 163, 1798–1809. [Google Scholar] [CrossRef]
- Adamcyk, J.; Beisl, S.; Amini, S.; Jung, T.; Zikeli, F.; Labidi, J.; Friedl, A. Production and Properties of Lignin Nanoparticles from Ethanol Organosolv Liquors—Influence of Origin and Pretreatment Conditions. Polymers 2021, 13, 384. [Google Scholar] [CrossRef] [PubMed]
- Conner, C.G.; Veleva, A.N.; Paunov, V.N.; Stoyanov, S.D.; Velev, O.D. Scalable Formation of Concentrated Monodisperse Lignin Nanoparticles by Recirculation-Enhanced Flash Nanoprecipitation. Part. Part. Syst. Charact. 2020, 37, 2000122. [Google Scholar] [CrossRef]
- Nypelo, T.E.; Carrillo, C.A.; Rojas, O.J. Lignin supracolloids synthesized from (W/O) microemulsions: Use in the interfacial stabilization of Pickering systems and organic carriers for silver metal. Soft Matter 2015, 11, 2046. [Google Scholar] [CrossRef] [PubMed]
- Zhang, L.; Svärd, A.; Edlund, U. Spheronized drug microcarrier system from canola straw lignin. Sci. Technol. Adv. Mater. 2023, 24, 2158369. [Google Scholar] [CrossRef]
- Low, L.E.; The, K.C.; Siva, S.P.; Chew, I.M.L.; Mwangi, W.W.; Chew, C.L.; Goh, B.H.; Chan, E.S.; Tey, B.T. Lignin nanoparticles: The next green nanoreinforcer with wide opportunity. Environ. Nanotechnol. Monit. Manag. 2021, 15, 100398. [Google Scholar] [CrossRef]
- Iravani, S.; Varma, R.S. Greener synthesis of lignin nanoparticles and their applications. Green Chem. 2020, 22, 612–636. [Google Scholar] [CrossRef]
- Witzler, M.; Alzagameem, A.; Bergs, M.; Khaldi-Hansen, B.E.; Klein, S.E.; Hielscher, D.; Kamm, B.; Kreyenschmidt, J.; Tobiasch, E.; Schulze, M. Lignin-Derived Biomaterials for Drug Release and Tissue Engineering. Molecules 2018, 23, 1885. [Google Scholar] [CrossRef]
- Boarino, A.; Schreier, A.; Leterrier, Y.; Klok, H.A. Uniformly Dispersed Poly(lactic acid)-Grafted Lignin Nanoparticles Enhance Antioxidant Activity and UV-Barrier Properties of Poly(lactic acid) Packaging Films. ACS Appl. Polym. Mater. 2022, 4, 4808–4817. [Google Scholar] [CrossRef]
- Maldonado-Carmona, N.; Marchand, G.; Villandier, N.; Ouk, T.-S.; Pereira, M.M.; Calvete, M.J.F.; Calliste, C.A.; Zak, A.; Piksa, M.; Pawlik, K.J.; et al. Porphyrin-Loaded Lignin Nanoparticles Against Bacteria: A Photodynamic Antimicrobial Chemotherapy Application. Front. Microbiol. 2020, 11, 606185. [Google Scholar] [CrossRef]
- Yearlaa, S.R.; Padmasree, K. Preparation and characterisation of lignin nanoparticles: Evaluation of their potential as antioxidants and UV protectants. J. Exp. Nanosci. 2016, 11, 289–302. [Google Scholar] [CrossRef]
- Jangid, A.K.; Pooja, D.; Kulhari, H. Determination of solubility, stability and degradation kinetics of morin hydrate in physiological solutions. RSC Adv. 2018, 8, 28836. [Google Scholar] [CrossRef]
- Karamchedu, S.; Tunki, L.; Kulhari, H.; Pooja, D. Morin hydrate loaded solid lipid nanoparticles: Characterization, stability, anticancer activity, and bioavailability. Chem. Phys. Lipids 2020, 233, 104988. [Google Scholar] [CrossRef] [PubMed]
- Tran, H.-M.; Yang, C.-Y.; Wu, T.-H.; Yen, F.-L. Liposomes Encapsulating Morin: Investigation of Physicochemical Properties, Dermal Absorption Improvement and Anti-Aging Activity in PM-Induced Keratinocytes. Antioxidants 2022, 11, 1183. [Google Scholar] [CrossRef] [PubMed]
- Figueiredo, P.; Lahtinen, M.H.; Agustin, M.B.; de Carvalho, D.M.; Hirvonen, S.P.; Penttilä, P.A.; Mikkonen, K.S. Green Fabrication Approaches of Lignin Nanoparticles from Different Technical Lignins: A Comparison Study. ChemSusChem 2021, 14, 4718–4730. [Google Scholar] [CrossRef] [PubMed]
- Morena, A.G.; Tzanov, T.Z. Antibacterial lignin-based nanoparticles and their use in composite materials. Nanoscale Adv. 2022, 4, 4447. [Google Scholar] [CrossRef] [PubMed]
- Paul, S.H.; Thakur, N.S.; Chandna, S.; Reddyad, Y.N.; Bhaumik, J. Development of a light activatable lignin nanosphere based spray coating for bioimaging and antimicrobial photodynamic therapy. J. Mater. Chem. B 2021, 9, 1592. [Google Scholar] [CrossRef]
- Verdini, F.; Gaudino, E.C.; Canova, E.; Tabasso, S.; Behbahani, P.J.; Cravotto, G. Lignin as a Natural Carrier for the Efficient Delivery of Bioactive Compounds: From Waste to Health. Molecules 2022, 27, 3598. [Google Scholar] [CrossRef]
- European Chemicals Agency, ECHA, Substance Information, Lignin, Alkali. Available online: https://echa.europa.eu/substance-information/-/substanceinfo/100.123.063 (accessed on 13 March 2023).
- Safety Data Sheet according to Regulation (EC) No. 1907/2006, Lignin, Alkali, Product Number: 370959. Available online: https://www.sigmaaldrich.com/BG/en/sds/aldrich/370959 (accessed on 13 March 2023).
- Singleton, V.L.; Orthofer, R.; Lamuela-Raventós, R.M. Analysis of total phenols and other oxidation substrates and antioxidants by means of Folin-Ciocalteu reagent. Oxid. Antioxid. Part A 1999, 299, 152–178. [Google Scholar] [CrossRef]
- Avelelas, F.; Horta, A.; Pinto, L.F.V.; Cotrim Marques, S.; Marques Nunes, P.; Pedrosa, R.; Leandro, S.M. Antifungal and Antioxidant Properties of Chitosan Polymers Obtained from Nontraditional Polybius henslowii Sources. Mar. Drugs 2019, 17, 239. [Google Scholar] [CrossRef]
- Moreno-Vásquez, M.J.; Plascencia-Jatomea, M.; Sánchez-Valdes, S.; Tanori-Córdova, J.C.; Castillo-Yañez, F.J.; Quintero-Reyes, I.E.; Graciano-Verdugo, A.Z. Characterization of epigallocatechin-gallate-grafted chitosan nanoparticles and evaluation of their antibacterial and antioxidant potential. Polymers 2021, 13, 1375. [Google Scholar] [CrossRef]
- Yaneva, Z.; Beev, G.; Rusenova, N.; Ivanova, D.; Tzanova, M.; Stoeva, D.; Toneva, M. Antimicrobial Potential of Conjugated Lignin/Morin/Chitosan Combinations as a Function of System Complexity. Antibiotics 2022, 11, 650. [Google Scholar] [CrossRef]
- Meng, L.Y.; Ma, M.G.; Ji, X.X. Preparation of Lignin-Based Carbon Materials and Its Application as a Sorbent. Materials 2019, 12, 1111. [Google Scholar] [CrossRef]
- Skulcova, A.; Majova, V.; Kohutova, M.; Grosik, M.; Sima, J.; Jablonsky, M. UV/Vis spectrometry as a quantification tool for lignin solubilized in deep eutectic solvents. BioResources 2017, 12, 6713–6722. [Google Scholar] [CrossRef]
- Rahim, A.H.A.; Man, Z.; Sarwono, A.; Hamzah, W.S.W.; Yunus, N.M.; Wilfred, C.D. liExtraction and Comparative Analysis of Lignin Extract from Alkali and Ionic Liquid Pretreatment. J. Phys. Conf. Ser. 2018, 1123, 012052. [Google Scholar] [CrossRef]
- Ghosh, P.; Bag, S.; Parveen, S.; Subramani, E.; Chaudhury, K.; Dasgupta, S. Nanoencapsulation as a Promising Platform for the Delivery of the Morin-Cu(II) Complex: Antibacterial and Anticancer Potential. ACS Omega 2022, 7, 7931–7944. [Google Scholar] [CrossRef]
- Li, J.; Yang, Y.; Ning, E.; Peng, Y.; Zhang, J. Mechanisms of poor oral bioavailability of flavonoid Morin in rats: From physicochemical to biopharmaceutical evaluations. Eur. J. Pharm. Sci. 2019, 128, 290–298. [Google Scholar] [CrossRef] [PubMed]
- Fujimoto, A.; Masuda, T. Antioxidation mechanism of rosmarinic acid, identification of an unstable quinone derivative by the addition of odourless thiol. Food Chem. 2012, 132, 901–906. [Google Scholar] [CrossRef]
- Arriagada, F.; Günther, G.; Morales, J. Nanoantioxidant—Based Silica Particles as Flavonoid Carrier for Drug Delivery Applications. Pharmaceutics 2020, 12, 302. [Google Scholar] [CrossRef] [PubMed]
- da Silva, E.P.; Guilherme, M.R.; Garcia, F.P.; Nakamura, C.V.; Cardozo-Filho, L.; Alonso, C.G.; Rubiraa, A.F.; Kunita, M.H. Drug release profile and reduction in the in vitro burst release from pectin/HEMA hydrogel nanocomposites crosslinked with titania. RSC Adv. 2016, 6, 19060–19068. [Google Scholar] [CrossRef]
- Mileva, R.; Petkova, T.; Yaneva, Z.; Milanova, A. Investigation of the Effect of pH on the Adsorption–Desorption of Doxycycline in Feed for Small Ruminants. Antibiotics 2023, 12, 268. [Google Scholar] [CrossRef]
- Yaneva, Z.L.; Georgieva, N.V.; Bekirska, L.; Lavrova, S. Drug Mass Transfer Mechanism, Thermodynamics, and In Vitro Release Kinetics of Antioxidant-encapsulated Zeolite Microparticles as a Drug Carrier System. Chem. Biochem. Eng. Q. 2018, 32, 281–298. [Google Scholar] [CrossRef]
- Yaneva, Z.; Ivanova, D.; Popov, N. Clinoptilolite Microparticles as Carriers of Catechin-Rich Acacia catechu Extracts: Microencapsulation and In Vitro Release Study. Molecules 2021, 26, 1655. [Google Scholar] [CrossRef]
- Anghel, N.; Melinte, V.; Spiridon, I.; Pertea, M. Antioxidant, Antimicrobial, and Kinetic Studies of Β-Cyclodextrin Crosslinked with Lignin for Drug Delivery. Pharmaceutics 2022, 14, 2260. [Google Scholar] [CrossRef]
- Chen, J.; Yang, J.; Ma, L.; Li, J.; Shahzad, N.; Kim, C.K. Structure-antioxidant activity relationship of methoxy, phenolic hydroxyl, and carboxylic acid groups of phenolic acids. Sci. Rep. 2020, 10, 2611. [Google Scholar] [CrossRef]
- Boerjan, W.; Ralph, J.; Baucher, M. Lignin Biosynthesis. Annu. Rev. Plant Biol. 2003, 54, 519–546. [Google Scholar] [CrossRef] [PubMed]
- Platzer, M.; Kiese, S.; Tybussek, T.; Herfellner, T.; Schneider, F.; Schweiggert-Weisz, U.; Eisner, P. Radical Scavenging Mechanisms of Phenolic Compounds: A Quantitative Structure-Property Relationship (QSPR) Study. Front. Nutr. Sec. Food Chem. 2022, 9. [Google Scholar] [CrossRef] [PubMed]
- Duan, X.; Wang, X.; Chen, J.; Liu, G.; Liu, Y. Structural properties and antioxidation activities of lignins isolated from sequential two-step formosolv fractionation. RSC Adv. 2022, 12, 24242–24251. [Google Scholar] [CrossRef] [PubMed]
- Tavares, D.; Cavali, M.; Tanobe, V.d.O.A.; Torres, L.A.Z.; Rozendo, A.S.; Zandoná Filho, A.; Soccol, C.R.; Woiciechowski, A.L. Lignin from Residual Sawdust of Eucalyptus spp.—Isolation, Characterization, and Evaluation of the Antioxidant Properties. Biomass 2022, 2, 195–208. [Google Scholar] [CrossRef]
- Ilyasov, I.R.; Beloborodov, V.L.; Selivanova, I.A.; Terekhov, R.P. ABTS/PP Decolorization Assay of Antioxidant Capacity Reaction Pathways. Int. J. Mol. Sci. 2020, 21, 1131. [Google Scholar] [CrossRef]











| Wavenumber, cm−1 | Alkali Lignin | LP | Morin | LMP |
|---|---|---|---|---|
| 3700–3200 | 3390 phenolic hydroxyl groups (Ar-OH) | 3408 O–H stretching band | 3514, 3300 O–H stretching band; dimeric hydroxyl O–H stretching | 3398 O–H stretching band |
| 2950–2800 | 2935 C–H bond stretching | 2929 C–H bond stretching | 2898 C–H bond stretching | 2906 C–H bond stretching |
| 1700−1660 | C=O bond vibrations of -COOH | C=O bond vibrations of -COOH | C=O bond vibrations of -COOH | C=O bond vibrations of -COOH |
| 1660–1470 | 1595 aromatic ring vibrations and C–H, O–H, C=O bonds | 1541 aromatic ring vibrations and C–H, O–H, C=O bonds | 1659, 1629 -C=O stretching vibration; double bond alkenyl C=C stretching | 1554 aromatic ring vibrations and C–H, O–H, C=O bonds |
| 1500–1450 | 1479 C=C–C ring bonding; C–H bonds of -CH3 groups | 1483 C=C–C ring bonding; C–H bonds of -CH3 groups 1477 aromatic -NO2 groups | 1471 C=C–C ring bonding; C–H bonds of -CH3 groups | 1481 C=C–C ring bonding; C–H bonds of -CH3 groups 1477 aromatic -NO2 groups |
| 1350–1200 | 1301 guaiacyl ring and methoxy C–O stretching; O–H bonds of phenolic and non-ether groups 1234 syringyl units | 1296 guaiacyl ring and methoxy C–O stretching; O–H bonds of phenolic and non-ether groups 1220 syringyl units | 1307 -C−OH deformation vibrations 1245 -C-O-C bending | 1305 guaiacyl ring and methoxy C–O stretching; O–H bonds of phenolic and non-ether groups 1234 syringyl units |
| 1200–1100 | 1166 guaiacyl unit band 1160–1130 -OH bonds of secondary alcohols; condensed aromatic rings | 1174 guaiacyl unit band 1160–1130 -OH bonds of secondary alcohols; condensed aromatic rings | 1202; 1172 -C−OH stretching 1177 phenolic C–O stretching vibration | 1188 guaiacyl unit band 1160–1130 -OH bonds of secondary alcohols; condensed aromatic rings |
| 1100–1000 | 1058 band of guaiacyl unit; -OH bonds of primary alcohols | 1047 band of guaiacyl unit; -OH bonds of primary alcohols | - | 1062 band of guaiacyl unit; -OH bonds of primary alcohols |
| 900–600 | 893 guaiacyl unit band | 902 guaiacyl unit band | 831 C–H vibration of aromatic ring 639 bending vibration of -OH alcoholic group | 894 guaiacyl unit band |
| In Vitro Release Stage | Model Parameters | Error Functions | ||
|---|---|---|---|---|
| Korsmeyer–Peppas model | ||||
| (i) | KKP | 0.249 | R2 | 0.777 |
| SSE | 0.001 | |||
| n | 0.133 | MSE | 0.000 | |
| RMSE | 0.019 | |||
| (ii) | KKP | 8.737 | R2 | 0.767 |
| SSE | 0.007 | |||
| n | −0.793 | MSE | 0.002 | |
| RMSE | 0.042 | |||
| (iii) | KKP | 1.644 × 10−9 | R2 | 0.933 |
| SSE | 0.014 | |||
| n | 4.071 | MSE | 0.007 | |
| RMSE | 0.084 | |||
| (iv) | KKP | 0.008 | R2 | 0.835 |
| SSE | 0.009 | |||
| n | 0.926 | MSE | 0.004 | |
| RMSE | 0.066 | |||
| Sigmoidal model | ||||
| (i) | ks1 | 0.120 | R2 | 0.777 |
| ns1 | 0.132 | SSE | 0.001 | |
| ks2 | 0.129 | MSE | 0.001 | |
| ns2 | 0.134 | RMSE | 0.034 | |
| (ii) | ks1 | 0.034 | R2 | 0.999 |
| ns1 | 0.400 | SSE | 2.457 × 10−5 | |
| ks2 | 1.967 × 107 | MSE | 0.012 | |
| ns2 | −4.037 | RMSE | 0.109 | |
| (iii) | ks1 | 0.213 | R2 | 0.916 |
| ns1 | 0.697 | SSE | 0.013 | |
| ks2 | 0.860 | MSE | 0.014 | |
| ns2 | 0.386 | RMSE | 0.111 | |
| (iv) | ks1 | 0.114 | R2 | 0.785 |
| ns1 | 0.523 | SSE | 0.038 | |
| ks2 | 0.768 | MSE | 0.019 | |
| ns2 | −0.010 | RMSE | 0.138 | |
Disclaimer/Publisher’s Note: The statements, opinions and data contained in all publications are solely those of the individual author(s) and contributor(s) and not of MDPI and/or the editor(s). MDPI and/or the editor(s) disclaim responsibility for any injury to people or property resulting from any ideas, methods, instructions or products referred to in the content. |
© 2023 by the authors. Licensee MDPI, Basel, Switzerland. This article is an open access article distributed under the terms and conditions of the Creative Commons Attribution (CC BY) license (https://creativecommons.org/licenses/by/4.0/).
Share and Cite
Ivanova, D.; Toneva, M.; Simeonov, E.; Nikolova, B.; Semkova, S.; Antov, G.; Yaneva, Z. Newly Synthesized Lignin Microparticles as Bioinspired Oral Drug-Delivery Vehicles: Flavonoid-Carrier Potential and In Vitro Radical-Scavenging Activity. Pharmaceutics 2023, 15, 1067. https://doi.org/10.3390/pharmaceutics15041067
Ivanova D, Toneva M, Simeonov E, Nikolova B, Semkova S, Antov G, Yaneva Z. Newly Synthesized Lignin Microparticles as Bioinspired Oral Drug-Delivery Vehicles: Flavonoid-Carrier Potential and In Vitro Radical-Scavenging Activity. Pharmaceutics. 2023; 15(4):1067. https://doi.org/10.3390/pharmaceutics15041067
Chicago/Turabian StyleIvanova, Donika, Monika Toneva, Evgeni Simeonov, Biliana Nikolova, Severina Semkova, Georgi Antov, and Zvezdelina Yaneva. 2023. "Newly Synthesized Lignin Microparticles as Bioinspired Oral Drug-Delivery Vehicles: Flavonoid-Carrier Potential and In Vitro Radical-Scavenging Activity" Pharmaceutics 15, no. 4: 1067. https://doi.org/10.3390/pharmaceutics15041067
APA StyleIvanova, D., Toneva, M., Simeonov, E., Nikolova, B., Semkova, S., Antov, G., & Yaneva, Z. (2023). Newly Synthesized Lignin Microparticles as Bioinspired Oral Drug-Delivery Vehicles: Flavonoid-Carrier Potential and In Vitro Radical-Scavenging Activity. Pharmaceutics, 15(4), 1067. https://doi.org/10.3390/pharmaceutics15041067

