Platinum(IV)-Loaded Degraded Glycol Chitosan as Efficient Platinum(IV) Drug Delivery Platform
Abstract
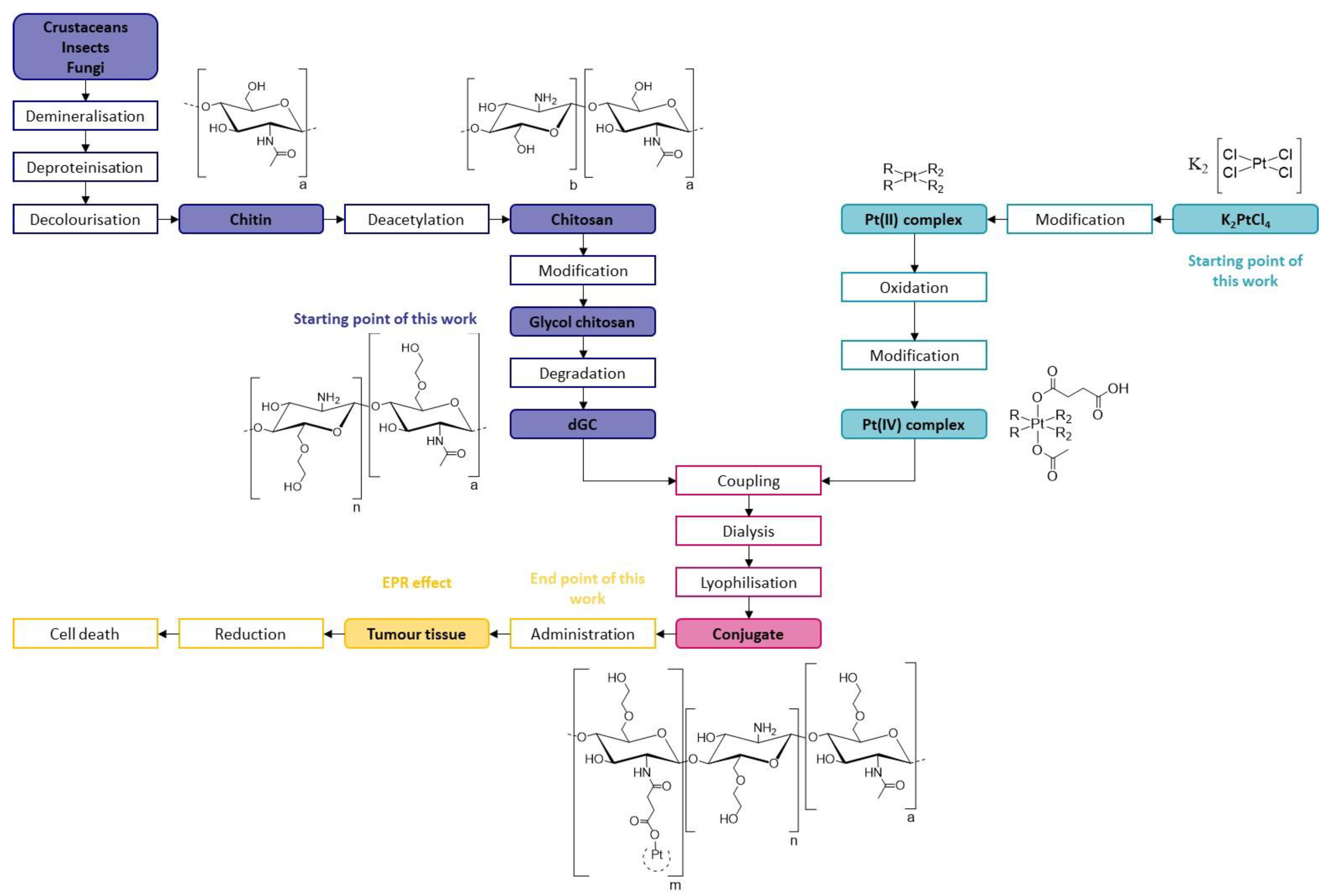
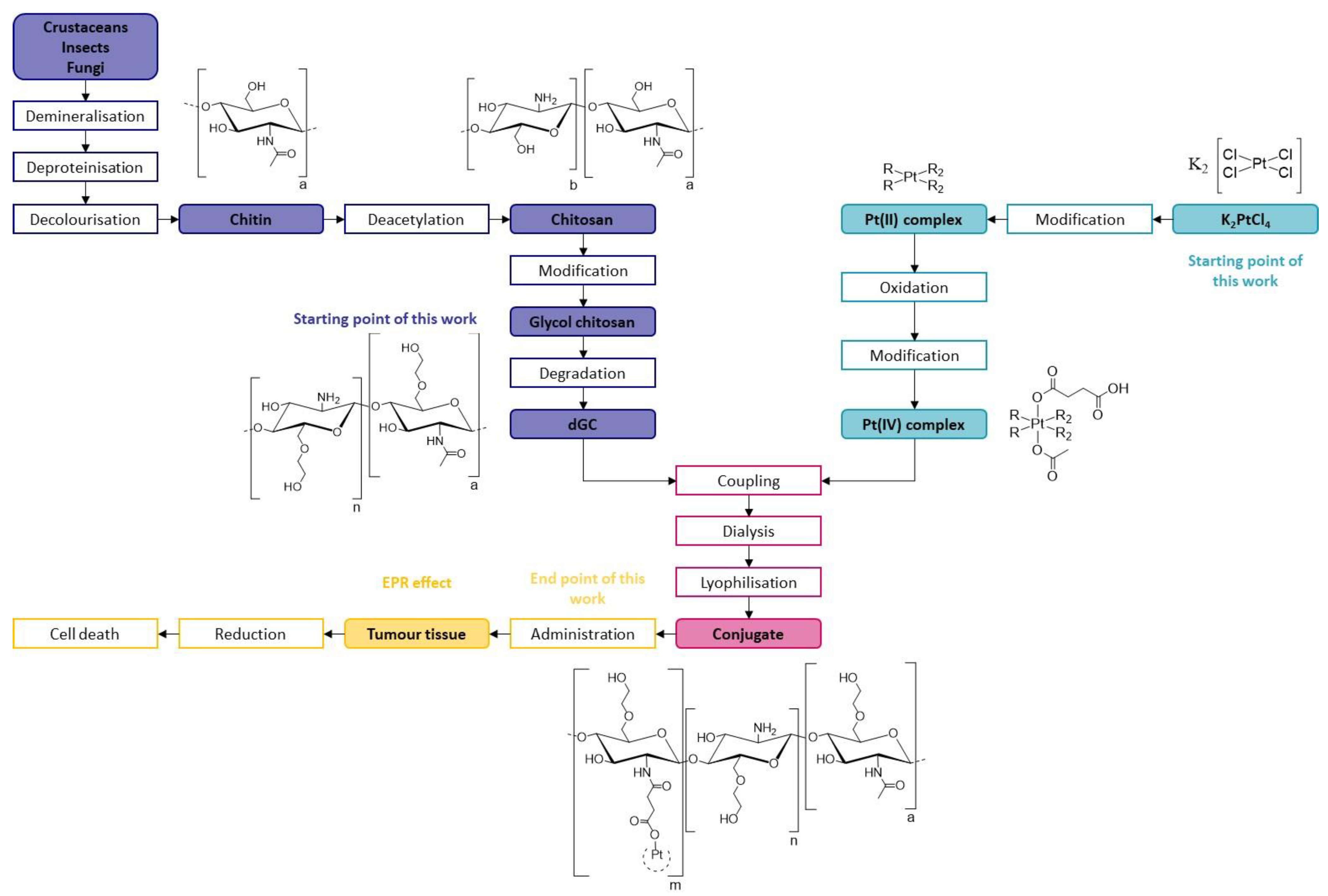
1. Introduction
2. Materials and Methods
2.1. Materials
2.2. NMR Spectroscopy
2.3. RP-HPLC
2.4. Elemental Analysis
2.5. Synthesis
2.5.1. Platinum(IV) Complexes
General Procedure 1: Carboxylation of Dihydroxidoplatinum(IV) Complexes with Succinic Anhydride
- (OC-6-44)-Diammine(3-carboxypropanoato)dichloridohydroxidoplatinum(IV) (1)
- 2.
- (OC-6-44)-Diammine(3-carboxypropanoato)(cyclobutane-1,1-dicarboxylato)hydroxidoplatinum(IV) (3)
- 3.
- (OC-6-44)-(3-carboxypropanoato)(1R,2R-cyclohexane-1,2-diamine)hydroxidooxalatoplatinum(IV) (5)
General Procedure 2: Introduction of the Acetato Ligand
- 1.
- (OC-6-44)-Acetatodiammine(3-carboxypropanoato)dichloridoplatinum(IV) (2)
- 2.
- (OC-6-44)-Acetaodiammine(3-carboxypropanoato)(cyclobutane-1,1-dicarboxylato)platinum(IV) (4)
- 3.
- (OC-6-44)-Acetato(3-carboxypropanoato)(1R,2R-cyclohexane-1,2-diamine)oxalatoplatinum(IV) (6)
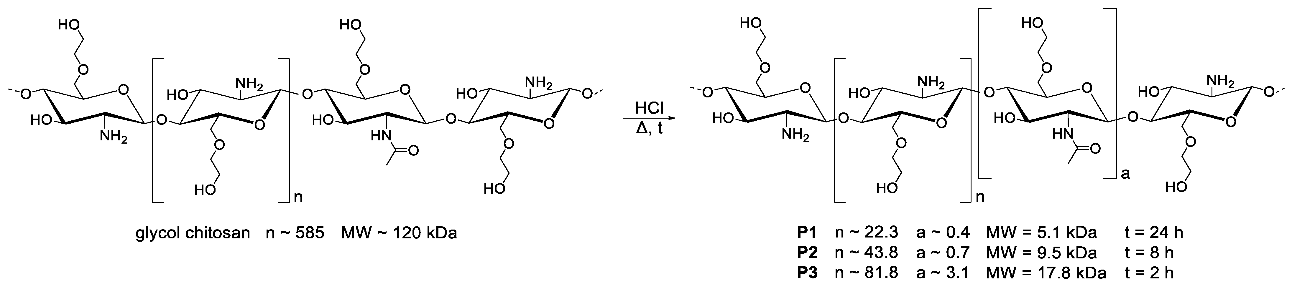
2.5.2. Degradation of Glycol Chitosan (dGC)
2.5.3. Platinum(IV)–dGC Conjugates
General Procedure 3: Conjugation of Platinum(IV) Complex to dGC Polymer
- (a)
- Dialysis was conducted against distilled water and 0.1 M hydrochloric acid (in each case 6 changes within 24 h). Dialysis tubing with MWCO = 1.0 kDa for P1 and MWCO = 3.5 kDa for P2 and P3 was used. The product was obtained via lyophilisation and stored under an argon atmosphere at −30 °C.
- (b)
- Dialysis was conducted against Milli-Q water (10 changes within 12 h) with dialysis tubing with MWCO = 1.0 kDa for P1 and MWCO = 3.5 kDa for P2 and P3. Afterwards the solution was adjusted to pH = 3 with hydrochloric acid and freeze-dried. The product was stored under an argon atmosphere at −30 °C.
- 1.
- Complex 2 Coupled to dGC P1 (C1)
- 2.
- Complex 2 Coupled to dGC P2 (C2)
- 3.
- Complex 4 Coupled to dGC P1 (C3)
- 4.
- Complex 4 Coupled to dGC P1 (C4)
- 5.
- Complex 4 Coupled to dGC P2 (C5)
- 6.
- Complex 6 Coupled to dGC P1 (C6)
- 7.
- Complex 6 Coupled to dGC P1 (C7)
- 8.
- Complex 6 Coupled to dGC P2 (C8)
- 9.
- Complex 6 Coupled to dGC P2 (C9)
- 10.
- Complex 6 Coupled to dGC P2 (C10)
- 11.
- Complex 6 Coupled to dGC P2 (C11)
- 12.
- Complex 6 Coupled to dGC P3 (C12)
- 13.
- Complex 6 Coupled to dGC P1 (V1)
- 14.
- Complex 6 Coupled to dGC P2 (V2)
- 15.
- Complex 6 Coupled to dGC P3 (V3)
- 16.
- Complex 2 Coupled to dGC P3 (S1)
- 17.
- Complex 2 Coupled to dGC P3 (S2)
- 18.
- Complex 4 Coupled to dGC P3 (S3)
- 19.
- Complex 4 Coupled to dGC P3 (S4)
- 20.
- Complex 6 Coupled to dGC P3 (S5)
2.6. ICP-MS
2.7. Cell Culture
2.8. Cytotoxicity
2.9. Biodistribution Study: 1 h and 24 h
3. Results and Discussion
3.1. Synthesis
3.2. Analysis
3.3. Cytotoxicity
3.4. Biodistribution Studies
4. Conclusions
Supplementary Materials
Author Contributions
Funding
Institutional Review Board Statement
Informed Consent Statement
Data Availability Statement
Acknowledgments
Conflicts of Interest
References
- Polaris Market Research. Global Platinum Based Cancer Drugs Market Share, Size, Trends, Industry Analysis Report By Drug Type (Cisplatin, Oxaliplatin, Carboplatin, Other), By Application (Colorectal Cancer, Ovarian Cancer, Lung Cancer, Other); By Regions, and Segment Forecast, 2019–2026; Polaris Market Research & Consulting LLP: Pune, India, 2019. [Google Scholar]
- Varbanov, H.P.; Göschl, S.; Heffeter, P.; Theiner, S.; Roller, A.; Jensen, F.; Jakupec, M.A.; Berger, W.; Galanski, M.; Keppler, B.K. A Novel Class of Bis-and Tris-Chelate Diam(m)Inebis(Dicarboxylato) Platinum(IV) Complexes as Potential Anticancer Prodrugs. J. Med. Chem. 2014, 57, 6751–6764. [Google Scholar] [CrossRef] [PubMed]
- Wexselblatt, E.; Gibson, D. What Do We Know about the Reduction of Pt(IV) pro-Drugs? J. Inorg. Biochem. 2012, 117, 220–229. [Google Scholar] [CrossRef] [PubMed]
- Deo, K.M.; Ang, D.L.; McGhie, B.; Rajamanickam, A.; Dhiman, A.; Khoury, A.; Holland, J.; Bjelosevic, A.; Pages, B.; Gordon, C.; et al. Platinum Coordination Compounds with Potent Anticancer Activity. Coord. Chem. Rev. 2018, 375, 148–163. [Google Scholar] [CrossRef]
- Jia, C.; Deacon, G.B.; Zhang, Y.; Gao, C. Platinum(IV) Antitumor Complexes and Their Nano-Drug Delivery. Coord. Chem. Rev. 2021, 429, 213640. [Google Scholar] [CrossRef]
- Gibson, D. Platinum(IV) Anticancer Agents; Are We En Route to the Holy Grail or to a Dead End? J. Inorg. Biochem. 2021, 217, 111353. [Google Scholar] [CrossRef] [PubMed]
- Johnstone, T.C.; Suntharalingam, K.; Lippard, S.J. The Next Generation of Platinum Drugs: Targeted Pt(II) Agents, Nanoparticle Delivery, and Pt(IV) Prodrugs. Chem. Rev. 2016, 116, 3436–3486. [Google Scholar] [CrossRef]
- Liang, S.; Deng, X.; Xu, G.; Xiao, X.; Wang, M.; Guo, X.; Ma, P.; Cheng, Z.; Zhang, D.; Lin, J. A Novel Pt–TiO2 Heterostructure with Oxygen-Deficient Layer as Bilaterally Enhanced Sonosensitizer for Synergistic Chemo-Sonodynamic Cancer Therapy. Adv. Funct. Mater. 2020, 30, 1908598. [Google Scholar] [CrossRef]
- Apps, M.G.; Choi, E.H.Y.; Wheate, N.J. The State-of-Play and Future of Platinum Drugs. Endocr. Relat. Cancer 2015, 22, R219–R233. [Google Scholar] [CrossRef]
- Pichler, V.; Göschl, S.; Meier, S.M.; Roller, A.; Jakupec, M.A.; Galanski, M.; Keppler, B.K. Bulky N (,N)-(Di)Alkylethane-1,2-Diamineplatinum(II) Compounds as Precursors for Generating Unsymmetrically Substituted Platinum(IV) Complexes. Inorg. Chem. 2013, 52, 8151–8162. [Google Scholar] [CrossRef]
- Pichler, V.; Heffeter, P.; Valiahdi, S.M.; Kowol, C.R.; Egger, A.; Berger, W.; Jakupec, M.A.; Galanski, M.; Keppler, B.K. Unsymmetric Mono- and Dinuclear Platinum(IV) Complexes Featuring an Ethylene Glycol Moiety: Synthesis, Characterization, and Biological Activity. J. Med. Chem. 2012, 55, 11052–11061. [Google Scholar] [CrossRef]
- Pichler, V.; Valiahdi, S.M.; Jakupec, M.A.; Arion, V.B.; Galanski, M.; Keppler, B.K. Mono-Carboxylated Diaminedichloridoplatinum(IV) Complexes—Selective Synthesis, Characterization, and Cytotoxicity. Dalton Trans. 2011, 40, 8187–8192. [Google Scholar] [CrossRef] [PubMed]
- Harringer, S.; Hejl, M.; Enyedy, É.A.; Jakupec, M.A.; Galanski, M.S.; Keppler, B.K.; Dyson, P.J.; Varbanov, H.P. Multifunctional Pt(IV) Prodrug Candidates Featuring the Carboplatin Core and Deferoxamine. Dalton Trans. 2021, 50, 8167–8178. [Google Scholar] [CrossRef] [PubMed]
- Kenny, R.G.; Chuah, S.W.; Crawford, A.; Marmion, C.J. Platinum(IV) Prodrugs—A Step Closer to Ehrlich’s Vision? Eur. J. Inorg. Chem. 2017, 2017, 1596–1612. [Google Scholar] [CrossRef]
- Shukla, S.K.; Mishra, A.K.; Arotiba, O.A.; Mamba, B.B. Chitosan-Based Nanomaterials: A State-of-the-Art Review. Int. J. Biol. Macromol. 2013, 59, 46–58. [Google Scholar] [CrossRef] [PubMed]
- Martau, G.A.; Mihai, M.; Vodnar, D.C. The Use of Chitosan, Alginate, and Pectin in the Biomedical and Food Sector-Biocompatibility, Bioadhesiveness, and Biodegradability. Polymers 2019, 11, 1837. [Google Scholar] [CrossRef]
- Morin-Crini, N.; Lichtfouse, E.; Torri, G.; Crini, G. Fundamentals and Applications of Chitosan. In Sustainable Agriculture Reviews 35; Springer: Cham, Switzerland, 2019; Volume 35, ISBN 9783030165376. [Google Scholar]
- Muxika, A.; Etxabide, A.; Uranga, J.; Guerrero, P.; de la Caba, K. Chitosan as a Bioactive Polymer: Processing, Properties and Applications. Int. J. Biol. Macromol. 2017, 105, 1358–1368. [Google Scholar] [CrossRef]
- Younes, I.; Rinaudo, M. Chitin and Chitosan Preparation from Marine Sources. Structure, Properties and Applications. Mar. Drugs 2015, 13, 1133–1174. [Google Scholar] [CrossRef]
- Lin, F.; Jia, H.R.; Wu, F.G. Glycol Chitosan: A Water-Soluble Polymer for Cell Imaging and Drug Delivery. Molecules 2019, 24, 4371. [Google Scholar] [CrossRef]
- Huq, T.; Khan, A.; Brown, D.; Dhayagude, N.; He, Z.; Ni, Y. Sources, Production and Commercial Applications of Fungal Chitosan: A Review. J. Bioresour. Bioprod. 2022, 7, 85–98. [Google Scholar] [CrossRef]
- Morin-Crini, N.; Lichtfouse, E.; Torri, G.; Crini, G. Applications of Chitosan in Food, Pharmaceuticals, Medicine, Cosmetics, Agriculture, Textiles, Pulp and Paper, Biotechnology, and Environmental Chemistry. Environ. Chem. Lett. 2019, 17, 1667–1692. [Google Scholar] [CrossRef]
- Kumar, M.N.V.R. A Review of Chitin and Chitosan Applications. React. Funct. Polym. 2000, 46, 1–27. [Google Scholar] [CrossRef]
- Yan, L.; Crayton, S.H.; Thawani, J.P.; Amirshaghaghi, A.; Tsourkas, A.; Cheng, Z. A PH-Responsive Drug-Delivery Platform Based on Glycol Chitosan-Coated Liposomes. Small 2015, 11, 4870–4874. [Google Scholar] [CrossRef]
- Danhier, F.; Feron, O.; Préat, V. To Exploit the Tumor Microenvironment: Passive and Active Tumor Targeting of Nanocarriers for Anti-Cancer Drug Delivery. J. Control. Release 2010, 148, 135–146. [Google Scholar] [CrossRef] [PubMed]
- Shanmuganathan, R.; Edison, T.N.J.I.; LewisOscar, F.; Kumar, P.; Shanmugam, S.; Pugazhendhi, A. Chitosan Nanopolymers: An Overview of Drug Delivery against Cancer. Int. J. Biol. Macromol. 2019, 130, 727–736. [Google Scholar] [CrossRef] [PubMed]
- Herdiana, Y.; Wathoni, N.; Shamsuddin, S.; Joni, I.M.; Muchtaridi, M. Chitosan-Based Nanoparticles of Targeted Drug Delivery System in Breast Cancer Treatment. Polymers 2021, 13, 1717. [Google Scholar] [CrossRef]
- Nascimento, A.V.; Singh, A.; Bousbaa, H.; Ferreira, D.; Sarmento, B.; Amiji, M.M. Combinatorial-Designed Epidermal Growth Factor Receptor-Targeted Chitosan Nanoparticles for Encapsulation and Delivery of Lipid-Modified Platinum Derivatives in Wild-Type and Resistant Non-Small-Cell Lung Cancer Cells. Mol. Pharm. 2015, 12, 4466–4477. [Google Scholar] [CrossRef] [PubMed]
- Kim, J.H.; Kim, Y.S.; Park, K.; Lee, S.; Nam, H.Y.; Min, K.H.; Jo, H.G.; Park, J.H.; Choi, K.; Jeong, S.Y.; et al. Antitumor Efficacy of Cisplatin-Loaded Glycol Chitosan Nanoparticles in Tumor-Bearing Mice. J. Control. Release 2008, 127, 41–49. [Google Scholar] [CrossRef]
- El-Shafai, N.M.; Farrag, F.; Shukry, M.; Mehany, H.; Aboelmaati, M.; Abu-Ali, O.; Saleh, D.; Ramadan, M.; El-Mehasseb, I. Effect of a Novel Hybrid Nanocomposite of Cisplatin–Chitosan on Induced Tissue Injury as a Suggested Drug by Reducing Cisplatin Side Effects. Biol. Trace Elem. Res. 2022, 200, 4017–4026. [Google Scholar] [CrossRef]
- Soodvilai, S.; Soodvilai, S.; Sajomsang, W.; Rojanarata, T.; Patrojanasophon, P.; Opanasopit, P. Chitosan Polymeric Micelles for Prevention of Cisplatin-Induced Nephrotoxicity and Anticancer Activity of Cisplatin. In Proceedings of the ACM International Conference Proceeding Series, 25–28 October 2010, Beijing, China; Association for Computing Machinery: New York, NY, USA, 2020; pp. 197–201. [Google Scholar]
- Madni, A.; Kousar, R.; Naeem, N.; Wahid, F. Recent Advancements in Applications of Chitosan-Based Biomaterials for Skin Tissue Engineering. J. Bioresour. Bioprod. 2021, 6, 11–25. [Google Scholar] [CrossRef]
- Varbanov, H.P.; Valiahdi, S.M.; Kowol, C.R.; Jakupec, M.A.; Galanski, M.; Keppler, B.K. Novel Tetracarboxylatoplatinum(Iv) Complexes as Carboplatin Prodrugs. Dalton Trans. 2012, 41, 14404–14415. [Google Scholar] [CrossRef]
- Ghosh, S. Cisplatin: The First Metal Based Anticancer Drug. Bioorg. Chem. 2019, 88, 102925. [Google Scholar] [CrossRef]
- Kidani, Y.; Inagaki, K.; Iigo, M.; Hoshi, A.; Kuretani, K. Antitumor Activity of 1,2-Diaminocyclohexane-Platinum Complexes against Sarcoma-180 Ascites Form. J. Med. Chem. 1978, 21, 1315–1318. [Google Scholar] [CrossRef] [PubMed]
- Zhang, J.Z.; Bonnitcha, P.; Wexselblatt, E.; Klein, A.V.; Najajreh, Y.; Gibson, D.; Hambley, T.W. Facile Preparation of Mono-, Di- and Mixed-Carboxylato Platinum(IV) Complexes for Versatile Anticancer Prodrug Design. Chem.—A Eur. J. 2013, 19, 1672–1676. [Google Scholar] [CrossRef]
- Wang, W.; McConaghy, A.M.; Tetley, L.; Uchegbu, I.F. Controls on Polymer Molecular Weight May Be Used to Control the Size of Palmitoyl Glycol Chitosan Polymeric Vesicles. Langmuir 2001, 17, 631–636. [Google Scholar] [CrossRef]
- Cseh, K.; Geisler, H.; Stanojkovska, K.; Westermayr, J.; Brunmayr, P.; Wenisch, D.; Gajic, N.; Hejl, M.; Schaier, M.; Koellensperger, G.; et al. Arene Variation of Highly Cytotoxic Tridentate Naphthoquinone-Based Ruthenium(II) Complexes and In-Depth In Vitro Studies. Pharmaceutics 2022, 14, 2466. [Google Scholar] [CrossRef] [PubMed]
- Chen, S.; Yao, H.; Zhou, Q.; Tse, M.K.; Gunawan, Y.F.; Zhu, G. Stability, Reduction, and Cytotoxicity of Platinum(IV) Anticancer Prodrugs Bearing Carbamate Axial Ligands: Comparison with Their Carboxylate Analogues. Inorg. Chem. 2020, 59, 11676–11687. [Google Scholar] [CrossRef]
- Lafrance, D.; Bowles, P.; Leeman, K.; Rafka, R. Mild Decarboxylative Activation of Malonic Acid Derivatives by 1,1′-Carbonyldiimidazole. Org. Lett. 2011, 13, 2322–2325. [Google Scholar] [CrossRef]
- Engstrom, K.M. Practical Considerations for the Formation of Acyl Imidazolides from Carboxylic Acids and N, N′-Carbonyldiimidazole: The Role of Acid Catalysis. Org. Process Res. Dev. 2018, 22, 1294–1297. [Google Scholar] [CrossRef]
- Varbanov, H.P.; Jakupec, M.A.; Roller, A.; Jensen, F.; Galanski, M.; Keppler, B.K. Theoretical Investigations and Density Functional Theory Based Quantitative Structure-Activity Relationships Model for Novel Cytotoxic Platinum(IV) Complexes. J. Med. Chem. 2013, 56, 330–344. [Google Scholar] [CrossRef]
- Varbanov, H.; Valiahdi, S.M.; Legin, A.A.; Jakupec, M.A.; Roller, A.; Galanski, M.; Keppler, B.K. Synthesis and Characterization of Novel Bis(Carboxylato) Dichloridobis(Ethylamine)Platinum(IV) Complexes with Higher Cytotoxicity than Cisplatin. Eur. J. Med. Chem. 2011, 46, 5456–5464. [Google Scholar] [CrossRef]
- Theiner, S.; Varbanov, H.P.; Galanski, M.; Egger, A.E.; Berger, W.; Heffeter, P.; Keppler, B.K. Comparative in Vitro and in Vivo Pharmacological Investigation of Platinum(IV) Complexes as Novel Anticancer Drug Candidates for Oral Application. J. Biol. Inorg. Chem. 2015, 20, 89–99. [Google Scholar] [CrossRef] [PubMed]
- Göschl, S.; Schreiber-Brynzak, E.; Pichler, V.; Cseh, K.; Heffeter, P.; Jungwirth, U.; Jakupec, M.A.; Berger, W.; Keppler, B.K. Comparative Studies of Oxaliplatin-Based Platinum(Iv) Complexes in Different in Vitro and in Vivo Tumor Models. Metallomics 2017, 9, 309–322. [Google Scholar] [CrossRef] [PubMed]
- Park, K.; Kim, J.H.; Nam, Y.S.; Lee, S.; Nam, H.Y.; Kim, K.; Park, J.H.; Kim, I.S.; Choi, K.; Kim, S.Y.; et al. Effect of Polymer Molecular Weight on the Tumor Targeting Characteristics of Self-Assembled Glycol Chitosan Nanoparticles. J. Control. Release 2007, 122, 305–314. [Google Scholar] [CrossRef] [PubMed]
- Son, Y.J.; Jang, J.S.; Cho, Y.W.; Chung, H.; Park, R.W.; Kwon, I.C.; Kim, I.S.; Park, J.Y.; Seo, S.B.; Park, C.R.; et al. Biodistribution and Anti-Tumor Efficacy of Doxorubicin Loaded Glycol-Chitosan Nanoaggregates by EPR Effect. J. Control. Release 2003, 91, 135–145. [Google Scholar] [CrossRef]
- On, K.C.; Rho, J.; Yoon, H.Y.; Chang, H.; Yhee, J.Y.; Yoon, J.S.; Jeong, S.Y.; Kim, H.K.; Kim, K. Tumor-Targeting Glycol Chitosan Nanoparticles for Image-Guided Surgery of Rabbit Orthotopic VX2 Lung Cancer. Pharmaceutics 2020, 12, 621. [Google Scholar] [CrossRef]
- Kim, C.S.; Mathew, A.P.; Uthaman, S.; Moon, M.J.; Bae, E.H.; Kim, S.W.; Park, I.K. Glycol Chitosan-Based Renal Docking Biopolymeric Nanomicelles for Site-Specific Delivery of the Immunosuppressant. Carbohydr. Polym. 2020, 241, 116255. [Google Scholar] [CrossRef]
- Kato, Y.; Onishi, H.; Machida, Y. Contribution of Chitosan and Its Derivatives to Cancer Chemotherapy. In Vivo 2005, 19, 301–310. [Google Scholar]
- Moraleja, I.; Esteban-Fernández, D.; Lázaro, A.; Humanes, B.; Neumann, B.; Tejedor, A.; Mena, M.L.; Jakubowski, N.; Gómez-Gómez, M.M. Printing Metal-Spiked Inks for LA-ICP-MS Bioimaging Internal Standardization: Comparison of the Different Nephrotoxic Behavior of Cisplatin, Carboplatin, and Oxaliplatin. Anal. Bioanal. Chem. 2016, 408, 2309–2318. [Google Scholar] [CrossRef]









| dGC Batch | Degradation Time (h) | MW (kDa) |
|---|---|---|
| P1 | 24 | 5.074 |
| P2 | 8 | 9.539 |
| P3 | 2 | 17.830 |
| Sample | Pt (IV) Precursor | dGC | Monomer Units * | Pt Loading [%] ** | MW [kDa] Unloaded | MW [kDa] Loaded |
|---|---|---|---|---|---|---|
| C1 | 2 | P1 | 24.3 | 10.3 | 5.1 | 6.6 |
| C2 | 2 | P2 | 45.8 | 27.5 | 9.5 | 15.7 |
| C3 | 4 | P1 | 24.3 | 5.4 | 5.1 | 6.2 |
| C4 | 4 | P1 | 24.3 | 11.9 | 5.1 | 7.0 |
| C5 | 4 | P2 | 45.8 | 34.3 | 9.5 | 18.3 |
| C6 | 6 | P1 | 24.3 | 15.2 | 5.1 | 7.5 |
| C7 | 6 | P1 | 24.3 | 27.6 | 5.1 | 9.2 |
| C8 | 6 | P2 | 45.8 | 9.8 | 9.5 | 12.5 |
| C9 | 6 | P2 | 45.8 | 18.6 | 9.5 | 14.7 |
| C10 | 6 | P2 | 45.8 | 28.2 | 9.5 | 17.1 |
| C11 | 6 | P2 | 45.8 | 49.8 | 9.5 | 22.6 |
| C12 | 6 | P3 | 83.8 | 15.9 | 17.8 | 25.6 |
| S1 | 2 | P3 | 83.8 | 12.3 | 17.8 | 22.9 |
| S2 | 2 | P3 | 83.8 | 17.8 | 17.8 | 25.1 |
| S3 | 4 | P3 | 83.8 | 13.4 | 17.8 | 24.2 |
| S4 | 4 | P3 | 83.8 | 16.9 | 17.8 | 25.8 |
| S5 | 6 | P3 | 83.8 | 13.0 | 17.8 | 24.3 |
| V1 | 6 | P1 | 24.3 | 5.8 | 5.1 | 6.3 |
| V2 | 6 | P2 | 45.8 | 8.5 | 9.5 | 12.1 |
| V3 | 6 | P3 | 83.8 | 9.1 | 17.8 | 22.5 |
| Sample | Pt(IV) | dGC | Pt(IV) Units per Polymer | IC50 [µM] A549 | IC50 [µM] CH1/PA-1 | IC50 [µM] SW480 |
|---|---|---|---|---|---|---|
| Cisplatin [38] | - | - | 3.8 ± 1.0 | 0.073 ± 0.001 | 2.3 ± 0.2 | |
| Carboplatin [38] | - | - | 38 ± 3 | 0.79 ± 0.11 | 42 ± 10 | |
| Oxaliplatin [38] | - | - | 0.98 ± 0.21 | 0.18 ± 0.01 | 0.29 ± 0.05 | |
| 2 | 2 | - | 99 ± 17 | 1.2 ± 0.5 | 47 ± 10 | |
| 4 | 4 | - | >200 | 16 ± 6 | >200 | |
| 6 | 6 | - | 70 ± 29 | 4.1 ± 0.6 | 22 ± 8 | |
| P1 | - | P1 | - | >190 | >100 | >190 |
| P2 | - | P2 | - | >180 | >180 | >180 |
| P3 | - | P3 | - | >230 | 77 ± 25 | 205 ± 16 |
| C1 | 2 | P1 | 2.5 | 9.6 ± 0.7 | 0.32 ± 0.09 | 5.5 ± 1.1 |
| C2 | 2 | P2 | 12.6 | 1.9 ± 0.5 | 0.036 ± 0.005 | 0.65 ± 0.07 |
| C3 | 4 | P1 | 1.3 | >90 | 4.0 ± 1.5 | 66 ± 21 |
| C4 | 4 | P1 | 2.9 | 35 ± 9 | 2.9 ± 0.4 | 35 ± 5 |
| C5 | 4 | P2 | 15.7 | 45 ± 9 | 1.5 ± 0.4 | 16 ± 5 |
| C6 | 6 | P1 | 3.7 | 7.1 ± 1.4 | 0.78 ± 0.11 | 1.9 ± 0.2 |
| C7 | 6 | P1 | 6.7 | 4.4 ± 0.5 | 0.54 ± 0.08 | 1.5 ± 0.1 |
| C8 | 6 | P2 | 4.5 | 4.4 ± 0.4 | 0.38 ± 0.08 | 1.7 ± 0.2 |
| C9 | 6 | P2 | 8.5 | 3.2 ± 0.5 | 0.33 ± 0.08 | 0.97 ± 0.06 |
| C10 | 6 | P2 | 12.9 | 2.6 ± 0.4 | 0.27 ± 0.02 | 0.80 ± 0.08 |
| C11 | 6 | P2 | 22.8 | 1.7 ± 0.4 | 0.18 ± 0.02 | 0.86 ± 0.11 |
| C12 | 6 | P3 | 13.3 | 2.1 ± 0.3 | 0.26 ± 0.02 | 0.64 ± 0.07 |
| Concentration of Pt(IV) Units at IC50 [µM] | |||||
|---|---|---|---|---|---|
| Sample | Pt(IV) | A549 | CH1/PA-1 | SW480 | 4T1 |
| 2 | 2 | 99 ± 17 | 1.2 ± 0.5 | 47 ± 10 | - |
| 4 | 4 | >200 | 16 ± 6 | >200 | - |
| 6 | 6 | 70 ± 29 | 4.1 ± 0.6 | 22 ± 8 | - |
| C1 | 2 | 24 | 0.80 | 14 | - |
| C2 | 2 | 24 | 0.45 | 8.2 | - |
| C3 | 4 | 117 | 5.2 | 86 | - |
| C4 | 4 | 102 | 8.4 | 102 | - |
| C5 | 4 | 707 | 24 | 251 | - |
| C6 | 6 | 26 | 2.9 | 7.0 | - |
| C7 | 6 | 29 | 3.6 | 10 | - |
| C8 | 6 | 20 | 1.7 | 7.7 | - |
| C9 | 6 | 27 | 2.8 | 8.2 | - |
| C10 | 6 | 34 | 3.5 | 10 | - |
| C11 | 6 | 39 | 4.1 | 20 | - |
| C12 | 6 | 28 | 3.5 | 8.5 | - |
| V1 | 6 | - | - | - | 25 |
| V2 | 6 | - | - | - | 41 |
| V3 | 6 | - | - | - | 28 |
| Sample | Pt(IV) | dGC | Pt(IV) Units per Polymer | IC50 [µM] 4T1 |
|---|---|---|---|---|
| V1 | 6 | P1 | 1.4 | 18.0 ± 6.4 |
| V2 | 6 | P2 | 3.9 | 10.4 ± 3.0 |
| V3 | 6 | P3 | 7.6 | 3.7 ± 1.3 |
Disclaimer/Publisher’s Note: The statements, opinions and data contained in all publications are solely those of the individual author(s) and contributor(s) and not of MDPI and/or the editor(s). MDPI and/or the editor(s) disclaim responsibility for any injury to people or property resulting from any ideas, methods, instructions or products referred to in the content. |
© 2023 by the authors. Licensee MDPI, Basel, Switzerland. This article is an open access article distributed under the terms and conditions of the Creative Commons Attribution (CC BY) license (https://creativecommons.org/licenses/by/4.0/).
Share and Cite
Lerchbammer-Kreith, Y.; Sommerfeld, N.S.; Cseh, K.; Weng-Jiang, X.; Odunze, U.; Schätzlein, A.G.; Uchegbu, I.F.; Galanski, M.S.; Jakupec, M.A.; Keppler, B.K. Platinum(IV)-Loaded Degraded Glycol Chitosan as Efficient Platinum(IV) Drug Delivery Platform. Pharmaceutics 2023, 15, 1050. https://doi.org/10.3390/pharmaceutics15041050
Lerchbammer-Kreith Y, Sommerfeld NS, Cseh K, Weng-Jiang X, Odunze U, Schätzlein AG, Uchegbu IF, Galanski MS, Jakupec MA, Keppler BK. Platinum(IV)-Loaded Degraded Glycol Chitosan as Efficient Platinum(IV) Drug Delivery Platform. Pharmaceutics. 2023; 15(4):1050. https://doi.org/10.3390/pharmaceutics15041050
Chicago/Turabian StyleLerchbammer-Kreith, Yvonne, Nadine S. Sommerfeld, Klaudia Cseh, Xian Weng-Jiang, Uchechukwu Odunze, Andreas G. Schätzlein, Ijeoma F. Uchegbu, Mathea S. Galanski, Michael A. Jakupec, and Bernhard K. Keppler. 2023. "Platinum(IV)-Loaded Degraded Glycol Chitosan as Efficient Platinum(IV) Drug Delivery Platform" Pharmaceutics 15, no. 4: 1050. https://doi.org/10.3390/pharmaceutics15041050
APA StyleLerchbammer-Kreith, Y., Sommerfeld, N. S., Cseh, K., Weng-Jiang, X., Odunze, U., Schätzlein, A. G., Uchegbu, I. F., Galanski, M. S., Jakupec, M. A., & Keppler, B. K. (2023). Platinum(IV)-Loaded Degraded Glycol Chitosan as Efficient Platinum(IV) Drug Delivery Platform. Pharmaceutics, 15(4), 1050. https://doi.org/10.3390/pharmaceutics15041050

