Auranofin Targeting the NDM-1 Beta-Lactamase: Computational Insights into the Electronic Configuration and Quasi-Tetrahedral Coordination of Gold Ions
Abstract
1. Introduction
2. Computational Details
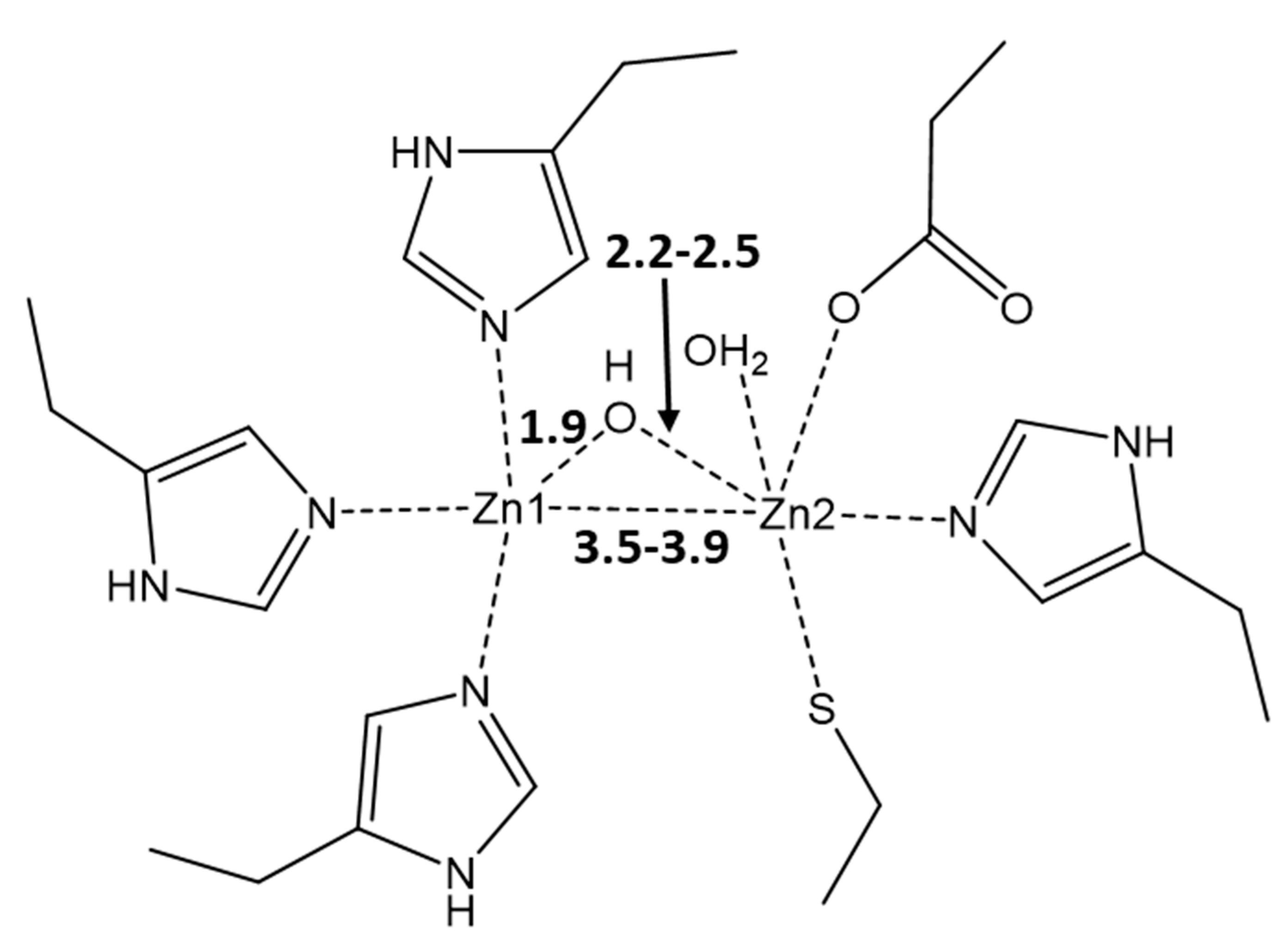
3. Results and Discussion
4. Summary
Supplementary Materials
Author Contributions
Funding
Institutional Review Board Statement
Informed Consent Statement
Data Availability Statement
Acknowledgments
Conflicts of Interest
References
- Kaul, G.; Shukla, M.; Dasgupta, A.; Chopra, S. Update on drug-repurposing: Is it useful for tackling antimicrobial resistance? Future Microbiol. 2019, 14, 829–831. [Google Scholar] [CrossRef]
- Gupta, N.; Limbago, B.M.; Patel, J.B.; Kallen, A.J. Carbapenem-resistant Enterobacteriaceae: Epidemiology and prevention. Clin. Infect. Dis. 2011, 53, 60–67. [Google Scholar] [CrossRef]
- Bahr, G.; Gonzalez, L.J.; Vila, A.J. Metallo-β-lactamases in the age of multidrug resistance: From structure and mechanism to evolution, dissemination, and inhibitor design. Chem. Rev. 2021, 121, 7957–8094. [Google Scholar] [CrossRef] [PubMed]
- Bahr, G.; González, L.J.; Vila, A.J. Metallo-β-lactamases and a tug-of-war for the available zinc at the host–pathogen interface. Curr. Opin. Chem. Biol. 2022, 66, 102103. [Google Scholar] [CrossRef]
- Li, H.; Sun, H. A hydroxide lock for metallo-β-lactamases. Nat. Chem. 2022, 14, 6–8. [Google Scholar] [CrossRef] [PubMed]
- Sun, Z.; Hu, L.; Sankaran, B.; Prasad, B.V.; Palzkill, T. Differential active site requirements for NDM-1 β-lactamase hydrolysis of carbapenem versus penicillin and cephalosporin antibiotics. Nat. Commun. 2018, 9, 4524. [Google Scholar] [CrossRef] [PubMed]
- De Seny, D.; Prosperi-Meys, C.; Bebrone, C.; Rossolini, G.M.; Page, M.I.; Noel, P.; Frere, J.M.; Galleni, M. Mutational analysis of the two zinc-binding sites of the Bacillus cereus 569/H/9 metallo-β-lactamase. Biochem. J. 2002, 363, 687–696. [Google Scholar] [CrossRef]
- Linciano, P.; Cendron, L.; Gianquinto, E.; Spyrakis, F.; Tondi, D. Ten years with New Delhi metallo-β-lactamase-1 (NDM-1): From structural insights to inhibitor design. ACS Infect. Dis. 2018, 5, 9–34. [Google Scholar] [CrossRef] [PubMed]
- Lisa, M.N.; Palacios, A.R.; Aitha, M.; González, M.M.; Moreno, D.M.; Crowder, M.W.; Bonomo, R.A.; Spencer, J.; Tierney, D.L.; Llarrull, L.I.; et al. A general reaction mechanism for carbapenem hydrolysis by mononuclear and binuclear metallo-β-lactamases. Nat. Commun. 2017, 8, 538. [Google Scholar] [CrossRef]
- Tioni, M.F.; Llarrull, L.I.; Poeylaut-Palena, A.A.; Martí, M.A.; Saggu, M.; Periyannan, G.R.; Mata, E.G.; Bennett, B.; Murgida, D.H.; Vila, A.J. Trapping and characterization of a reaction intermediate in carbapenem hydrolysis by B. cereus metallo-β-lactamase. J. Am. Chem. Soc. 2008, 130, 15852–15863. [Google Scholar] [CrossRef]
- Rasia, R.M.; Vila, A.J. Structural determinants of substrate binding to Bacillus cereus metallo-β-lactamase. J. Biol. Chem. 2004, 279, 26046–26051. [Google Scholar] [CrossRef] [PubMed]
- Zhang, H.; Ma, G.; Zhu, Y.; Zeng, L.; Ahmad, A.; Wang, C.; Pang, B.; Fang, H.; Zhao, L.; Hao, Q. Active-site conformational fluctuations promote the enzymatic activity of NDM-1. Antimicrob. Agents Chemother. 2018, 62, e01579-18. [Google Scholar] [CrossRef]
- King, A.M.; Reid-Yu, S.A.; Wang, W.; King, D.T.; De Pascale, G.; Strynadka, N.C.; Walsh, T.R.; Coombes, B.K.; Wright, G.D. Aspergillomarasmine A overcomes metallo-β-lactamase antibiotic resistance. Nature 2014, 510, 503–506. [Google Scholar] [CrossRef] [PubMed]
- Tolbatov, I.; Storchi, L.; Marrone, A. Structural reshaping of the zinc-finger domain of the SARS-CoV-2 nsp13 protein using bismuth (III) ions: A multilevel computational study. Inorg. Chem. 2022, 61, 15664–15677. [Google Scholar] [CrossRef]
- Sun, H.; Zhang, Q.; Wang, R.; Wang, H.; Wong, Y.T.; Wang, M.; Hao, Q.; Yan, A.; Kao, R.Y.; Ho, P.L.; et al. Resensitizing carbapenem-and colistin-resistant bacteria to antibiotics using auranofin. Nat. Commun. 2020, 11, 5263. [Google Scholar] [CrossRef] [PubMed]
- Roder, C.; Thomson, M.J. Auranofin: Repurposing an old drug for a golden new age. Drugs RD 2015, 15, 13–20. [Google Scholar] [CrossRef] [PubMed]
- Tolbatov, I.; Marrone, A.; Coletti, C.; Re, N. Computational studies of Au (I) and Au (III) anticancer metallodrugs: A survey. Molecules 2021, 26, 7600. [Google Scholar] [CrossRef]
- Paciotti, R.; Tolbatov, I.; Marrone, A.; Storchi, L.; Re, N.; Coletti, C. Computational investigations of bioinorganic complexes: The case of calcium, gold and platinum ions. In AIP Conference Proceedings; AIP Publishing LLC: Melville, NY, USA, 2019; Volume 2186, p. 030011. [Google Scholar] [CrossRef]
- Hathaway, B.J.; Wilkinson, G.; Gillard, R.D.; McCleverty, J.A. Comprehensive Coordination Chemistry. In The Synthesis, Reactions, Properties and Applications of Coordination Compounds; Pergamon Press: Oxford, UK, 1987; pp. 533–774. [Google Scholar]
- Gimeno, M.C.; Laguna, A. Three-and four-coordinate gold (I) complexes. Chem. Rev. 1997, 97, 511–522. [Google Scholar] [CrossRef] [PubMed]
- Khan, M.N.I.; King, C.; Heinrich, D.D.; Fackler, J.P., Jr.; Porter, L.C. Syntheses and crystal structures (No gold-hydrogen interactions) of gold phosphine luminescent complexes, [Au2(dppm)2][BH3CN]2 and [Au2(dppm)2(I)][Au(CN)2] and [Au2(dppm)2(S2CNEt2)][BH3CN]. Inorg. Chem. 1989, 28, 2150–2154. [Google Scholar] [CrossRef]
- Davila, R.M.; Elduque, A.; Grant, T.; Staples, R.J.; Fackler, J.P., Jr. Synthesis and characterization of dinuclear gold (I) ring and open-ring complexes containing saturated and unsaturated dithiol bridging ligands and phosphine or bis (diphosphine) donor ligands. Crystal structures of [Au2(µ-S(CH2)3S)(µ-dppm)], [Au2(µ-MNT)(PPh3)2], [Au2(µ-S2C6H4)(PPh3)2], and [Au4(µ-S2C6H3CH3)2(PEt3)2]. Inorg. Chem. 1993, 32, 1749–1755. [Google Scholar] [CrossRef]
- Yamashita, M. Auranofin: Past to present, and repurposing. Int. Immunopharmacol. 2021, 101, 108272. [Google Scholar] [CrossRef]
- Palermo, G.; Spinello, A.; Saha, A.; Magistrato, A. Frontiers of metal-coordinating drug design. Expert Opin. Drug Discov. 2021, 16, 497–511. [Google Scholar] [CrossRef] [PubMed]
- Pickering, I.J.; Cheng, Q.; Rengifo, E.M.; Nehzati, S.; Dolgova, N.V.; Kroll, T.; Sokaras, D.; George, G.N.; Arnér, E.S. Direct observation of methylmercury and auranofin binding to selenocysteine in thioredoxin reductase. Inorg. Chem. 2020, 59, 2711–2718. [Google Scholar] [CrossRef]
- Abhishek, S.; Sivadas, S.; Satish, M.; Deeksha, W.; Rajakumara, E. Dynamic basis for auranofin drug recognition by thiol-reductases of human pathogens and intermediate coordinated adduct formation with catalytic cysteine residues. ACS Omega 2019, 4, 9593–9602. [Google Scholar] [CrossRef] [PubMed]
- Dos Santos, H.F. Reactivity of auranofin with S-, Se-and N-containing amino acids. Comput. Theor. Chem. 2014, 1048, 95–101. [Google Scholar] [CrossRef]
- Scoditti, S.; Chiodo, F.; Mazzone, G.; Richeter, S.; Sicilia, E. Porphyrins and metalloporphyrins combined with N-heterocyclic carbene (NHC) gold (I) complexes for photodynamic therapy application: What is the weight of the heavy atom effect? Molecules 2022, 27, 4046. [Google Scholar] [CrossRef] [PubMed]
- Pessoa, J.C.; Santos, M.F.; Correia, I.; Sanna, D.; Sciortino, G.; Garribba, E. Binding of vanadium ions and complexes to proteins and enzymes in aqueous solution. Coord. Chem. Rev. 2021, 449, 214192. [Google Scholar] [CrossRef]
- Ugone, V.; Sanna, D.; Sciortino, G.; Crans, D.C.; Garribba, E. ESI-MS study of the interaction of potential oxidovanadium (IV) drugs and amavadin with model proteins. Inorg. Chem. 2020, 59, 9739–9755. [Google Scholar] [CrossRef]
- Frisch, M.J.; Trucks, G.W.; Schlegel, H.B.; Scuseria, G.E.; Robb, M.A.; Cheeseman, J.R.; Scalmani, G.; Barone, V.; Petersson, G.A.; Nakatsuji, H.; et al. Gaussian 16 Revision C. 01. 2016; Gaussian Inc.: Wallingford, CT, USA, 2016; p. 421. [Google Scholar]
- Chai, J.D.; Head-Gordon, M. Systematic optimization of long-range corrected hybrid density functionals. J. Chem. Phys. 2008, 128, 084106. [Google Scholar] [CrossRef] [PubMed]
- Andrae, D.; Haeussermann, U.; Dolg, M.; Stoll, H.; Preuss, H. Energy-adjusted ab initio pseudopotentials for the second and third row transition elements. Theor. Chim. Acta 1990, 77, 123–141. [Google Scholar] [CrossRef]
- Weigend, F.; Ahlrichs, R. Balanced basis sets of split valence, triple zeta valence and quadruple zeta valence quality for H to Rn: Design and assessment of accuracy. Phys. Chem. Chem. Phys. 2005, 7, 3297–3305. [Google Scholar] [CrossRef]
- Tolbatov, I.; Marrone, A. Reactivity of N-heterocyclic carbene half-sandwich Ru-, Os-, Rh-, and Ir-based complexes with cysteine and selenocysteine: A computational study. Inorg. Chem. 2021, 61, 746–754. [Google Scholar] [CrossRef] [PubMed]
- Tolbatov, I.; Marrone, A. Reaction of dirhodium and diruthenium paddlewheel tetraacetate complexes with nucleophilic protein sites: A computational study. Inorg. Chim. Acta 2022, 530, 120684. [Google Scholar] [CrossRef]
- Tolbatov, I.; Marrone, A.; Paciotti, R.; Re, N.; Coletti, C. Multilayered modelling of the metallation of biological targets. In Proceedings of the International Conference on Computational Science and Its Applications, Cagliari, Italy, 13 September 2021; Springer: Cham, Switzerland, 2021; pp. 398–412. [Google Scholar] [CrossRef]
- Tolbatov, I.; Marrone, A. Kinetics of reactions of dirhodium and diruthenium paddlewheel tetraacetate complexes with nucleophilic protein sites: Computational insights. Inorg. Chem. 2022, 61, 16421–16429. [Google Scholar] [CrossRef] [PubMed]
- Tolbatov, I.; Marrone, A. Computational strategies to model the interaction and the reactivity of biologically-relevant transition metal complexes. Inorg. Chim. Acta 2022, 530, 120686. [Google Scholar] [CrossRef]
- Glendening, E.D.; Reed, A.E.; Carpenter, J.E.; Weinhold, F. Gaussian NBO Version 3.1; Gaussian Inc.: Pittsburgh, PA, USA, 2001. [Google Scholar]
- Tomasi, J.; Mennucci, B.; Cancès, E. The IEF version of the PCM solvation method: An overview of a new method addressed to study molecular solutes at the QM ab initio level. J. Mol. Struct. THEOCHEM 1999, 464, 211–226. [Google Scholar] [CrossRef]
- Abraham, M.J.; Murtola, T.; Schulz, R.; Páll, S.; Smith, J.C.; Hess, B.; Lindahl, E. GROMACS: High performance molecular simulations through multi-level parallelism from laptops to supercomputers. SoftwareX 2015, 1, 19–25. [Google Scholar] [CrossRef]
- Raczynska, J.E.; Shabalin, I.G.; Minor, W.; Wlodawer, A.; Jaskolski, M. A close look onto structural models and primary ligands of metallo-β-lactamases. Drug Resist. Updates 2018, 40, 1–2. [Google Scholar] [CrossRef] [PubMed]
- Irwin, M.D.; Abdou, H.E.; Mohamed, A.A.; Fackler, J.P., Jr. Synthesis and X-ray structures of silver and gold guanidinate-like complexes. A Au (ii) complex with a 2.47 Å Au–Au distance. Chem. Commun. 2003, 13, 2882–2883. [Google Scholar] [CrossRef]
- Abdou, H.E.; Mohamed, A.A.; Fackler, J.P. Synthesis and X-ray structures of dinuclear and trinuclear gold (I) and dinuclear gold (II) amidinate complexes. Inorg. Chem. 2005, 44, 166–168. [Google Scholar] [CrossRef]
- Coker, N.L.; Krause Bauer, J.A.; Elder, R.C. Emission energy correlates with inverse of gold− gold distance for various [Au(SCN)2]-salts. J. Am. Chem. Soc. 2004, 126, 12–13. [Google Scholar] [CrossRef] [PubMed]
- Kumar, K.; Stefanczyk, O.; Chorazy, S.; Nakabayashi, K.; Ohkoshi, S.I. Ratiometric and colorimetric optical thermometers using emissive dimeric and trimeric {[Au(SCN)2]−}n moieties generated in d–f heterometallic assemblies. Angew. Chem. 2022, 134, e202201265. [Google Scholar] [CrossRef]
- Mazzei, L.; Massai, L.; Cianci, M.; Messori, L.; Ciurli, S. Medicinal Au (I) compounds targeting urease as prospective antimicrobial agents: Unveiling the structural basis for enzyme inhibition. Dalton Trans. 2021, 50, 14444–14452. [Google Scholar] [CrossRef]
- Johnson, A.; Marzo, I.; Gimeno, M.C. Heterobimetallic propargyl gold complexes with π-bound copper or silver with enhanced anticancer activity. Dalton Trans. 2020, 49, 11736–11742. [Google Scholar] [CrossRef] [PubMed]
- Yamada, S.; Rokusha, Y.; Kawano, R.; Fujisawa, K.; Tsutsumi, O. Mesogenic gold complexes showing aggregation-induced enhancement of phosphorescence in both crystalline and liquid-crystalline phases. Faraday Discuss. 2017, 196, 269–283. [Google Scholar] [CrossRef]
- Sathyanarayana, A.; Siddhant, K.; Yamane, M.; Hisano, K.; Prabusankar, G.; Tsutsumi, O. Tuning the Au–Au interactions by varying the degree of polymerisation in linear polymeric Au (I) N-heterocyclic carbene complexes. J. Mat. Chem. C 2022, 10, 6050–6060. [Google Scholar] [CrossRef]
- Pyykkö, P. Theoretical chemistry of gold. Angew. Chem. Int. Ed. 2004, 43, 4412–4456. [Google Scholar] [CrossRef] [PubMed]
- Herrera, R.P.; Gimeno, M.C. Main avenues in gold coordination chemistry. Chem. Rev. 2021, 121, 8311–8363. [Google Scholar] [CrossRef] [PubMed]




| Name of the Model | A | B | C | D | E | F | G | H |
|---|---|---|---|---|---|---|---|---|
| Charge_Multiplicity | -3_1 | -3_3 | -1_1 | -1_3 | -1_5 | 0_2 | 1_1 | 1_3 |
| Au-Au configuration | s2d10–d10 | s1d10–s1d10 | d10–d10 | s1d9–d10 | s1d9–s1d9 | d10–d9 s1d10–d8 | d10–d8 | d9–d9 |
| Au-Au oxidation state | Au(0)-Au(0) | Au(0)-Au(0) | Au(I)-Au(I) | Au(I)-Au(I) | Au(I)-Au(I) | Au(I)-Au(II) Au(0)-Au(III) | Au(I)-Au(III) | Au(II)-Au(II) |
| Distance | A | B | C | D | E | F | G | H | Exp * | |
|---|---|---|---|---|---|---|---|---|---|---|
| Au1 | Au2 | 4.11 | 2.84 | 4.61/3.55 | 2.78/2.62 | 3.83/5.96 | 7.02 | 7.38 | 5.03/4.30 | 3.76 |
| Au1 | N(His122) | 3.70 | 4.90 | 3.77/3.54 | 2.33/2.39 | 2.41/2.45 | 2.24 | 2.01 | 2.22/2.29 | 2.00 |
| N(His189) | 2.05 | 3.78 | 4.04/4.49 | 2.42/2.35 | 2.46/2.41 | 2.23 | 2.01 | 2.23/2.26 | 2.05 | |
| N(His120) | 4.15 | 6.42 | 2.06/2.04 | 4.15/3.96 | 3.82/3.70 | 2.19 | 2.04 | 2.19/2.16 | 2.50 | |
| O(OH) | 2.00 | 2.11 | 1.99/2.03 | 2.07/2.10 | 2.15/2.11 | 2.05 | 1.95 | 2.08/2.06 | 1.95 | |
| O(H2O) | 4.13 | 3.65 | 6.03/3.47 | 3.41/4.58 | 3.80/7.04 | 4.92 | 3.5 | 3.53/4.41 | 3.57 | |
| Au2 | S(Cys208) | 4.11 | 2.48 | 2.32/2.31 | 2.41/2.52 | 2.57/2.57 | 2.31 | 2.31 | 2.27/2.55 | 2.47 |
| N(His250) | 4.06 | 4.14 | 2.08/2.08 | 5.25/2.31 | 2.22/2.19 | 2.09 | 2.08 | 2.20/2.06 | 2.27 | |
| O(Asp124) | 3.99 | 3.67 | 3.92/3.66 | 2.32/3.61 | 3.89/3.55 | 3.63 | 3.75 | 2.19/2.09 | 2.23 | |
| O(OH) | 5.20 | 4.93 | 4.64/3.73 | 4.84/4.72 | 4.74/7.58 | 7.93 | 8.83 | 5.45/4.34 | 3.60 | |
| O(H2O) | 5.20 | 3.39 | 4.84/3.70 | 3.66/3.38 | 3.63/3.35 | 3.45 | 4.93 | 3.28/3.35 | 2.43 | |
| RMSD | 1.51 | 1.80 | 1.41/0.95 | 1.42/0.89 | 0.85/1.84 | 1.77 | 2.12 | 0.74/0.48 | ||
| Atom | B | D | E | F | H |
|---|---|---|---|---|---|
| Au1 | 0.41 | 0.86 | 1.32 | 0.57 | 0.60 |
| N(His122) | 0.00 | 0.14 | 0.14 | 0.12 | 0.13 |
| N(His189) | 0.00 | 0.13 | 0.15 | 0.12 | 0.12 |
| N(His120) | 0.00 | 0.00 | 0.00 | 0.06 | 0.08 |
| Au2 | 0.96 | 0.32 | 1.09 | 0.00 | 0.44 |
| S(Cys208) | 0.35 | 0.16 | 0.67 | 0.00 | 0.41 |
| N(His250) | 0.01 | 0.00 | 0.19 | 0.00 | 0.15 |
| O(Asp124) | 0.01 | 0.05 | 0.01 | 0.00 | 0.06 |
| O(OH) | 0.20 | 0.31 | 0.38 | 0.18 | 0.17 |
| O(water) | 0.03 | 0.03 | 0.02 | 0.00 | 0.00 |
| Residue | Gold-Bound | Zinc-Bound | |
|---|---|---|---|
| Chain A | Chain B | ||
| His120 | 172.0 | 157.0 | 169.1 |
| His122 | 140.8 | 136.9 | 162.3 |
| Asp124 | 149.2 | 134.2 | 141.7 |
| His189 | 169.7 | 155.0 | 173.5 |
| Cys208 | 127.5 | 131.9 | 117.7 |
| His250 | 225.0 | 214.4 | 243.5 |
| M1 | 0.0 | 0.0 | 0.0 |
| M2 | 0.0 | 0.0 | 0.0 |
| OH | 10.0 | - | 0.0 |
| H2O | 20.1 | 13.4 | 20.1 |
| total SAS | 1004.3 | 942.8 | 1027.9 |
| per atom SAS | 17.6 | 16.3 | 18.4 |
Disclaimer/Publisher’s Note: The statements, opinions and data contained in all publications are solely those of the individual author(s) and contributor(s) and not of MDPI and/or the editor(s). MDPI and/or the editor(s) disclaim responsibility for any injury to people or property resulting from any ideas, methods, instructions or products referred to in the content. |
© 2023 by the authors. Licensee MDPI, Basel, Switzerland. This article is an open access article distributed under the terms and conditions of the Creative Commons Attribution (CC BY) license (https://creativecommons.org/licenses/by/4.0/).
Share and Cite
Tolbatov, I.; Marrone, A. Auranofin Targeting the NDM-1 Beta-Lactamase: Computational Insights into the Electronic Configuration and Quasi-Tetrahedral Coordination of Gold Ions. Pharmaceutics 2023, 15, 985. https://doi.org/10.3390/pharmaceutics15030985
Tolbatov I, Marrone A. Auranofin Targeting the NDM-1 Beta-Lactamase: Computational Insights into the Electronic Configuration and Quasi-Tetrahedral Coordination of Gold Ions. Pharmaceutics. 2023; 15(3):985. https://doi.org/10.3390/pharmaceutics15030985
Chicago/Turabian StyleTolbatov, Iogann, and Alessandro Marrone. 2023. "Auranofin Targeting the NDM-1 Beta-Lactamase: Computational Insights into the Electronic Configuration and Quasi-Tetrahedral Coordination of Gold Ions" Pharmaceutics 15, no. 3: 985. https://doi.org/10.3390/pharmaceutics15030985
APA StyleTolbatov, I., & Marrone, A. (2023). Auranofin Targeting the NDM-1 Beta-Lactamase: Computational Insights into the Electronic Configuration and Quasi-Tetrahedral Coordination of Gold Ions. Pharmaceutics, 15(3), 985. https://doi.org/10.3390/pharmaceutics15030985

