Paliperidone–Cation Exchange Resin Complexes of Different Particle Sizes for Controlled Release
Abstract
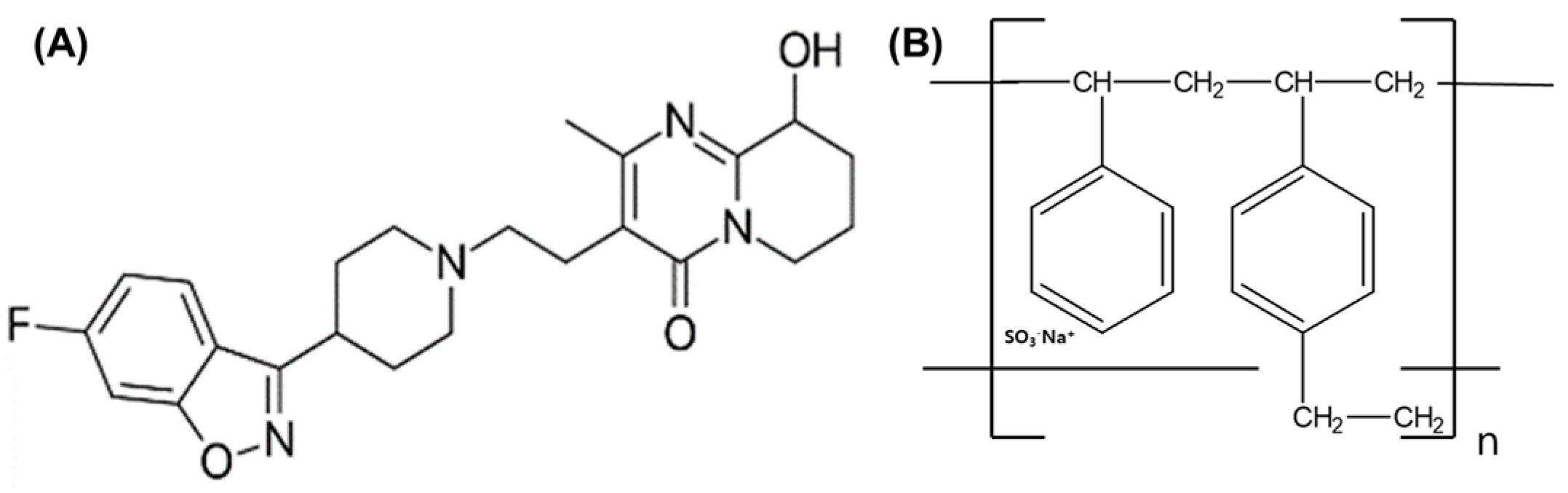
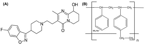
1. Introduction
2. Materials and Methods
2.1. Materials
2.2. HPLC Conditions
2.3. Preparation of PCC
2.4. Fourier Transform Infrared Spectroscopy (FT-IR) Characterization
2.5. Differential Scanning Calorimetry (DSC) Characterization
2.6. Powder X-ray Diffraction (PXRD) Characterization
2.7. Scanning Electron Microscope (SEM) Analysis
2.8. Particle Size Measurement
2.9. In Vitro Release Test of PCCs
2.10. Statistical Analysis
3. Results and Discussion
3.1. Physicochemical Characterization of the CER and PCC
3.2. In Vitro Release Test of PCCs
4. Conclusions
Author Contributions
Funding
Conflicts of Interest
References
- El Khoury, A.C.; Patel, C.; Mavros, P.; Huang, A.; Wang, L.; Bashyal, R. Transitioning from Once-Monthly to Once-Every-3-Months Paliperidone Palmitate Among Veterans with Schizophrenia. Neuropsychiatr. Dis. Treat. 2021, 17, 3159. [Google Scholar] [CrossRef]
- Chopko, T.; Lindsley, C. Classics in Chemical Neuroscience: Risperidone. ACS Chem. Neurosci. 2018, 9, 1520–1529. [Google Scholar] [CrossRef] [PubMed]
- Leon, J.; Wynn, G.; Sandson, N. The Pharmacokinetics of Paliperidone Versus Risperidone. Psychosomatics 2010, 51, 80–88. [Google Scholar] [CrossRef]
- Maryanoff, B.E.; Greco, M.N. 1.7 Stereochemical Lability in Drug Molecules: Cases Where Chirality May Not Be Critical for Drug Development. Compr. Chirality 2012, 1, 105–119. [Google Scholar]
- Lin, Y.-Y.; Yen, W.-J.; Hou, W.-L.; Liao, W.-C.; Lin, M.-L. Mental Health Nurses’ Tacit Knowledge of Strategies for Improving Medication Adherence for Schizophrenia: A Qualitative Study. Healthcare 2022, 10, 492. [Google Scholar] [CrossRef] [PubMed]
- Chue, P.; MacKenzie, E.; Chue, J.; Baker, G. The pharmacology and formulation of paliperidone extended release. Expert Rev. Neurother. 2012, 12, 1399–1410. [Google Scholar] [CrossRef] [PubMed]
- Rehman, S.; Nabi, B.; Baboota, S.; Ali, J. Tailoring lipid nanoconstructs for the oral delivery of paliperidone: Formulation, optimization and in vitro evaluation. Chem. Phys. Lipids 2021, 234, 105005. [Google Scholar] [CrossRef] [PubMed]
- Darville, N.; Van Heerden, M.; Mariën, D.; De Meulder, M.; Rossenu, S.; Vermeulen, A.; Vynckier, A.; Jonghe, S.D.; Sterkens, P.; Annaert, P.; et al. The effect of macrophage and angiogenesis inhibition on the drug release and absorption from an intramuscular sustained-release paliperidone palmitate suspension. J. Control. Release 2016, 230, 95–108. [Google Scholar] [CrossRef]
- Raval, S.; Jani, P.; Patil, P.; Thakkar, P.; Sawant, K. Enhancement of bioavailability through transdermal drug delivery of paliperidone palmitate-loaded nanostructured lipid carriers. Ther. Deliv. 2021, 12, 583–596. [Google Scholar] [CrossRef]
- Kim, K.S.; Jin, S.G.; Mustapha, O.; Yousaf, A.M.; Kim, D.W.; Kim, Y.H.; Kim, J.O.; Yong, C.S.; Woo, J.S.; Choi, H.G. Novel fenofibric acid-loaded controlled release pellet bioequivalent to choline fenofibrate-loaded commercial product in beagle dogs. Int. J. Pharm. 2015, 490, 273–280. [Google Scholar] [CrossRef]
- Zhang, J.; Yang, W.; Vo, A.Q.; Feng, X.; Ye, X.; Kim, D.W.; Repka, M.A. Hydroxypropyl methylcellulose-based controlled release dosage by melt extrusion and 3D printing: Structure and drug release correlation. Carbohydr. Polym. 2017, 177, 49–57. [Google Scholar] [CrossRef] [PubMed]
- Jin, S.G. Production and Application of Biomaterials Based on Polyvinyl alcohol (PVA) as Wound Dressing. Chem. Asian J. 2022, 17, e202200595. [Google Scholar] [CrossRef] [PubMed]
- Yu, H.; Kim, J.S.; Kim, D.W.; Park, E.S.; Youn, Y.S.; Ud Din, F.; Kim, J.O.; Ku, S.K.; Jin, S.G.; Choi, H.G. Novel composite double-layered dressing with improved mechanical properties and wound recovery for thermosensitive drug, Lactobacillus brevis. Compos. B Eng. 2021, 225, 109276. [Google Scholar] [CrossRef]
- Kim, J.S.; Choi, Y.J.; Woo, M.R.; Cheon, S.; Ji, S.H.; Im, D.; Un Din, F.; Kim, J.O.; Youn, Y.S.; Oh, K.T.; et al. New potential application of hydroxypropyl-β-cyclodextrin in solid self-nanoemulsifying drug delivery system and solid dispersion. Carbohydr. Polym. 2021, 271, 118433. [Google Scholar] [CrossRef] [PubMed]
- Park, H.R.; Seok, S.H.; Hwang, K.M.; Kim, J.Y.; Park, C.W.; Park, E.S. Formulation of sustained-release orodispersible film containing drug–resin complexes of donepezil hydrochloride. J. Pharm. Investig. 2022, 52, 259–272. [Google Scholar] [CrossRef]
- Kim, J.I.; Cho, S.M.; Cui, J.H.; Cao, Q.R.; Oh, E.; Lee, B.J. In vitro and in vivo correlation of disintegration and bitter taste masking using orally disintegrating tablet containing ion exchange resin-drug complex. Int. J. Pharm. 2013, 455, 31–39. [Google Scholar] [CrossRef]
- Li, C.; Han, X.; Hong, X.; Li, X.; Zhang, H.; Wang, Z.; Zheng, A. Study on the Complexation and Release Mechanism of Methylphenidate Hydrochloride Ion Exchange Resin Complex. Polymers 2021, 13, 4394. [Google Scholar] [CrossRef]
- Pismenskaya, N.; Sarapulova, V.; Klevtsova, A.; Mikhaylin, S.; Bazinet, L. Adsorption of anthocyanins by cation and anion exchange resins with aromatic and aliphatic polymer matrices. Int. J. Mol. Sci. 2020, 21, 7874. [Google Scholar] [CrossRef]
- Kaur, K.; Jindal, R.; Tanwar, R. Chitosan–gelatin @ tin (IV) tungstatophosphate nanocomposite ion exchanger: Synthesis, characterization and applications in environmental remediation. J. Polym. Environ. 2019, 27, 19–36. [Google Scholar] [CrossRef]
- Adelli, G.R.; Balguri, S.P.; Bhagav, P.; Raman, V.; Majumdar, S. Diclofenac sodium ion exchange resin complex loaded melt cast films for sustained release ocular delivery. Drug Deliv. 2017, 24, 370–379. [Google Scholar] [CrossRef]
- El-Said, I.A.; Aboelwafa, A.A.; ElGazayerly, O.N. Optimization of taste-masked dapoxetine oral thin films using factorial design: In vitro and in vivo evaluation. Pharm. Dev. Technol. 2021, 26, 522–538. [Google Scholar] [CrossRef] [PubMed]
- Zhang, T.Y.; Du, R.F.; Wang, Y.J.; Hu, J.L.; Wu, F.; Feng, Y. Research Progress of Preparation Technology of Ion-Exchange Resin Complexes. AAPS PharmSciTech 2022, 23, 105. [Google Scholar] [CrossRef] [PubMed]
- Kouchak, M.; Ramezani, Z.; Bagheri, F. Preparation and evaluation of taste masking iron suspension: Taking advantage of weak cationic exchange resin. AAPS Pharmscitech 2018, 19, 719–729. [Google Scholar] [CrossRef] [PubMed]
- Choi, S.A.; Park, E.J.; Lee, J.H.; Min, K.A.; Kim, S.T.; Jang, D.J.; Maeng, H.J.; Jin, S.G.; Cho, K.H. Preparation and Characterization of Pazopanib Hydrochloride-Loaded Four-Component Self-Nanoemulsifying Drug Delivery Systems Preconcentrate for Enhanced Solubility and Dissolution. Pharmaceutics 2022, 14, 1875. [Google Scholar] [CrossRef]
- Shang, R.; Liu, C.; Quan, P.; Zhao, H.; Fang, L. Effect of drug-ion exchange resin complex in betahistine hydrochloride orodispersible film on sustained release, taste masking and hygroscopicity reduction. Int. J. Pharm. 2018, 545, 163–169. [Google Scholar] [CrossRef]
- Daihom, B.A.; Bendas, E.R.; Mohamed, M.I.; Badawi, A.A. Domperidone resinate complex as new formulation for gastroretentive drug delivery. J. Drug Deliv. Sci. Technol. 2020, 58, 101868. [Google Scholar] [CrossRef]
- Kim, Y.H.; Kim, Y.C.; Kim, J.Y.; Byeon, J.; Maeng, H.J.; Kim, S.T.; Min, K.A.; Jang, D.J.; Cho, K.H. Preparation and Characterization of Tenofovir Disoproxil-Loaded Enteric Microparticle. J. Nanosci. Nanotechnol. 2020, 20, 5796–5799. [Google Scholar] [CrossRef]
- Kim, J.S.; Ud Din, F.; Lee, S.M.; Kim, D.S.; Woo, M.R.; Cheon, S.; Ji, S.H.; Kim, J.O.; Youn, Y.S.; Oh, K.T.; et al. Comparison of Three Different Aqueous Microenvironments for Enhancing Oral Bioavailability of Sildenafil: Solid Self-Nanoemulsifying Drug Delivery System, Amorphous Microspheres and Crystalline Microspheres. Int. J. Nanomed. 2021, 16, 5797–5810. [Google Scholar] [CrossRef]
- Kim, R.M.; Jang, D.J.; Kim, Y.C.; Yoon, J.H.; Min, K.A.; Maeng, H.J.; Cho, K.H. Flurbiprofen-Loaded Solid SNEDDS Preconcentrate for the Enhanced Solubility, In-Vitro Dissolution and Bioavailability in Rats. Pharmaceutics 2018, 10, 247. [Google Scholar] [CrossRef]
- Park, E.J.; Choi, S.A.; Min, K.A.; Jee, J.P.; Jin, S.G.; Cho, K.H. Development of Alectinib-Suspended SNEDDS for Enhanced Solubility and Dissolution. Pharmaceutics 2022, 14, 1694. [Google Scholar] [CrossRef]
- Choi, J.E.; Kim, J.S.; Choi, M.J.; Baek, K.; Woo, M.R.; Kim, J.O.; Choi, H.G.; Jin, S.G. Effects of different physicochemical characteristics and supersaturation principle of solidified SNEDDS and surface-modified microspheres on the bioavailability of carvedilol. Int. J. Pharm. 2021, 597, 120377. [Google Scholar] [CrossRef]
- Choi, S.A.; Park, E.J.; Kim, Y.H.; Jee, J.P.; Kim, S.T.; Jang, D.J.; Min, K.A.; Cho, K.H. Screening of Electrolyte Complexes Formed Between Dextran Sulfate and Amine Structures of Small-Molecule Drugs. J. Nanosci. Nanotechnol. 2021, 21, 3679–3682. [Google Scholar] [CrossRef] [PubMed]
- Khopade, A.J.; Halder, A.; Burade, V.; Pateliya, B.; Jani, K.; Patel, V.; Upadhyay, S. Ophthalmic suspension of Brimonidine for sustained delivery using nano-resin/drug complex technique. J. Drug Deliv. Sci. Technol. 2022, 75, 103594. [Google Scholar] [CrossRef]
- Lodi, G.; Storti, G.; Pellegrini, L.A.; Morbidelli, M. Ion exclusion chromatography: Model development and experimental evaluation. Ind. Eng. Chem. Res. 2017, 56, 1621–1632. [Google Scholar] [CrossRef]
- Thimmasetty, J.; Ghosh, T.; Nayak, N.S.; Raheem, A. Oral Bioavailability Enhancement of Paliperidone by the use of Cocrystalization and Precipitation Inhibition. J. Pharm. Innov. 2021, 16, 160–169. [Google Scholar] [CrossRef]
- Araucz, K.; Aurich, A.; Kołodyńska, D. Novel multifunctional ion exchangers for metal ions removal in the presence of citric acid. Chemosphere 2020, 251, 126331. [Google Scholar] [CrossRef] [PubMed]
- Elmowafy, M.; Alruwaili, N.K.; Shalaby, K.; Alharbi, K.S.; Altowayan, W.M.; Ahmad, N.; Zafar, A.; Elkomy, M. Long-acting paliperidone parenteral formulations based on polycaprolactone nanoparticles; the influence of stabilizer and chitosan on in vitro release, protein adsorption, and cytotoxicity. Pharmaceutics 2020, 12, 160. [Google Scholar] [CrossRef]
- Nasrazadani, S.; Eghtesad, R.; Sudoi, E.; Vupputuri, S.; Ramsey, J.D.; Ley, M.T. Application of Fourier transform infrared spectroscopy to study concrete degradation induced by biogenic sulfuric acid. Mater. Struct. 2016, 49, 2025–2034. [Google Scholar] [CrossRef]
- Han, X.; Zhang, S.; Chai, Z.; Dong, Y.; He, W.; Yin, L.; Yang, L.; Qin, C. In vitro and in vivo evaluation of the taste-masking efficiency of Amberlite IRP88 as drug carries in chewable tablets. J. Drug Deliv. Sci. Technol. 2019, 49, 547–555. [Google Scholar] [CrossRef]
- Siddiqui, F.; Shoaib, M.H.; Ahmed, F.R.; Qazi, F.; Yousuf, R.I.; Usmani, M.T.; Saleem, M.T.; Ahmed, K. Formulation development and optimization of taste-masked azithromycin oral suspension with ion exchange resins: Bioanalytical method development and validation, in vivo bioequivalence study, and in-silico PBPK modeling for the paediatric population. J. Drug Deliv. Sci. Technol. 2023, 79, 104048. [Google Scholar] [CrossRef]
- Kim, D.S.; Kim, J.S.; Lim, S.J.; Kim, J.O.; Yong, C.S.; Choi, H.G.; Jin, S.G. Comparison of 1-palmitoyl-2-linoleoyl-3-acetyl-rac-glycerol-loaded self-emulsifying granule and solid self-nanoemulsifying drug delivery system: Powder property, dissolution and oral bioavailability. Pharmaceutics 2019, 11, 415. [Google Scholar] [CrossRef] [PubMed]
- Kim, J.S.; ud Din, F.; Choi, Y.J.; Woo, M.R.; Cheon, S.; Ji, S.H.; Park, S.; Kim, J.O.; Youn, Y.S.; Lim, S.J.; et al. Hydroxypropyl-β-cyclodextrin-based solid dispersed granules: A prospective alternative to conventional solid dispersion. Int. J. Pharm. 2022, 628, 122286. [Google Scholar]
- Rehman, S.; Nabi, B.; Javed, A.; Khan, T.; Iqubal, A.; Ansari, M.J.; Baboota, S.; Ali, J. Unraveling enhanced brain delivery of paliperidone-loaded lipid nanoconstructs: Pharmacokinetic, behavioral, biochemical, and histological aspects. Drug Deliv. 2022, 29, 1409–1422. [Google Scholar] [CrossRef] [PubMed]









| CER | Shape | * Particle Size (μm) | CER Brand Name |
|---|---|---|---|
| C1 | Powder flake | 105.5 ± 7.6 | AmberiteTM IRP69 |
| C2 | Spherical bead | 153.7 ± 17.2 | DIAIONTM UBK530 |
| C3 | Spherical bead | 407.6 ± 20.1 | AmberiteTM IR69F |
| PCC | CER | PPD:CER Ratio | * Binding Efficiency of PPD (%) |
|---|---|---|---|
| PCC1 | C1 | 1:2 | 99.28 ± 0.02 ** |
| PCC2 | 1:4 | 98.86 ± 0.18 * | |
| PCC3 | C2 | 1:2 | 99.93 ± 0.02 ** |
| PCC4 | 1:4 | 99.93 ± 0.10 ** | |
| PCC5 | C3 | 1:2 | 62.10 ± 0.05 |
| PCC6 | 1:4 | 98.31 ± 0.13 ** |
Disclaimer/Publisher’s Note: The statements, opinions and data contained in all publications are solely those of the individual author(s) and contributor(s) and not of MDPI and/or the editor(s). MDPI and/or the editor(s) disclaim responsibility for any injury to people or property resulting from any ideas, methods, instructions or products referred to in the content. |
© 2023 by the authors. Licensee MDPI, Basel, Switzerland. This article is an open access article distributed under the terms and conditions of the Creative Commons Attribution (CC BY) license (https://creativecommons.org/licenses/by/4.0/).
Share and Cite
Jee, J.-P.; Kim, Y.H.; Lee, J.H.; Min, K.A.; Jang, D.-J.; Jin, S.G.; Cho, K.H. Paliperidone–Cation Exchange Resin Complexes of Different Particle Sizes for Controlled Release. Pharmaceutics 2023, 15, 932. https://doi.org/10.3390/pharmaceutics15030932
Jee J-P, Kim YH, Lee JH, Min KA, Jang D-J, Jin SG, Cho KH. Paliperidone–Cation Exchange Resin Complexes of Different Particle Sizes for Controlled Release. Pharmaceutics. 2023; 15(3):932. https://doi.org/10.3390/pharmaceutics15030932
Chicago/Turabian StyleJee, Jun-Pil, Young Hoon Kim, Jun Hak Lee, Kyoung Ah Min, Dong-Jin Jang, Sung Giu Jin, and Kwan Hyung Cho. 2023. "Paliperidone–Cation Exchange Resin Complexes of Different Particle Sizes for Controlled Release" Pharmaceutics 15, no. 3: 932. https://doi.org/10.3390/pharmaceutics15030932
APA StyleJee, J.-P., Kim, Y. H., Lee, J. H., Min, K. A., Jang, D.-J., Jin, S. G., & Cho, K. H. (2023). Paliperidone–Cation Exchange Resin Complexes of Different Particle Sizes for Controlled Release. Pharmaceutics, 15(3), 932. https://doi.org/10.3390/pharmaceutics15030932

