In Vitro Assessment of SWEEPS and Antimicrobial Photodynamic Therapy Alone or in Combination for Eradicating Enterococcus faecalis Biofilm in Root Canals
Abstract
:1. Introduction
2. Materials and Methods
2.1. Sample Preparation
2.2. Bacterial Culture
2.3. Scanning Electron Microscope (SEM) Measurements
2.4. Study Groups
2.5. Plate Count Method
2.6. Statistical Analysis
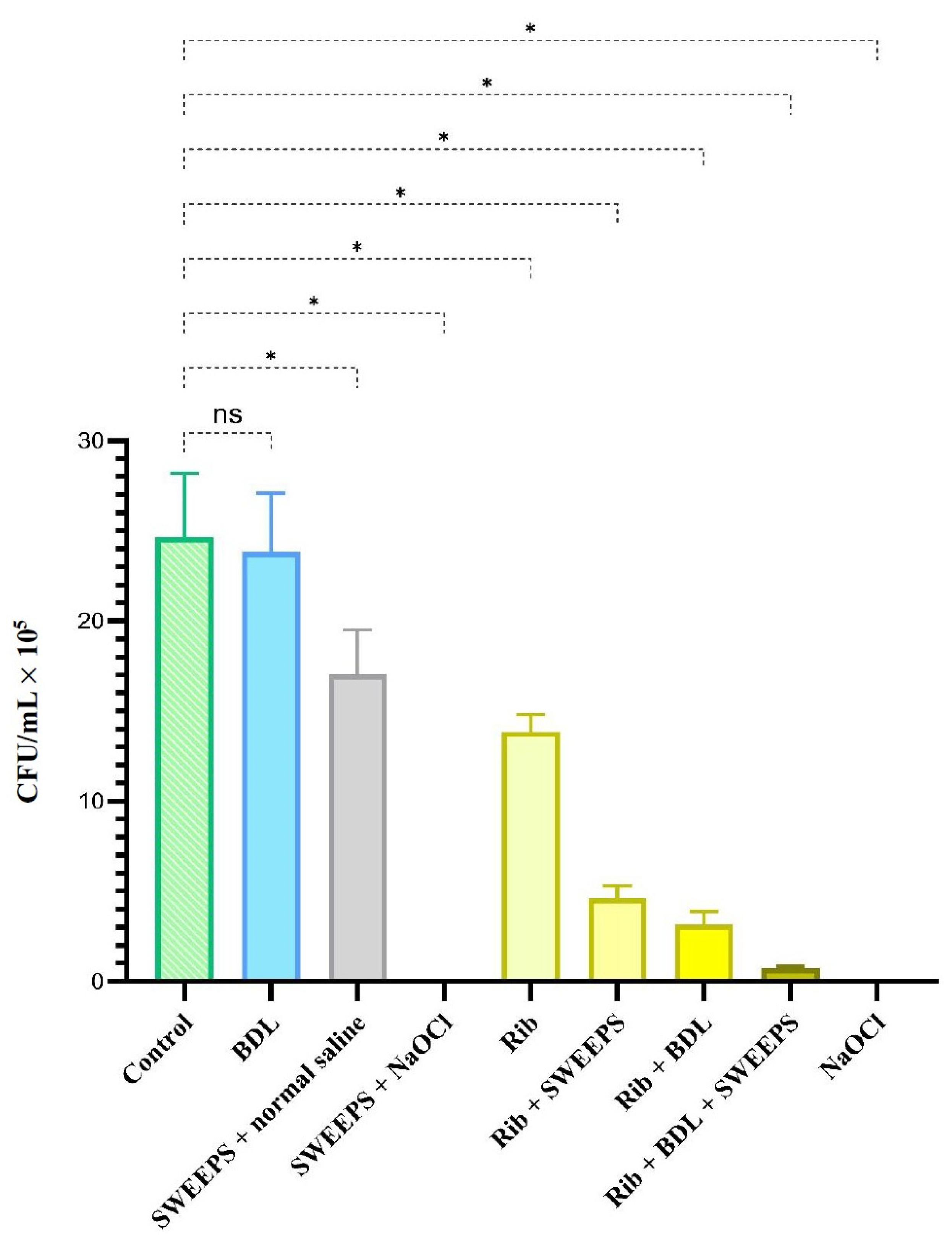
3. Results
4. Discussion
5. Conclusions
Author Contributions
Funding
Institutional Review Board Statement
Informed Consent Statement
Data Availability Statement
Acknowledgments
Conflicts of Interest
References
- Kakehashi, S.; Stanley, H.R.; Fitzgerald, R.J. The Effects of Surgical Exposures of Dental Pulps in Germ-Free and Conventional Laboratory Rats. Oral Surg. Oral Med. Oral Pathol. 1965, 20, 340–349. [Google Scholar] [CrossRef]
- Fabricius, L.; Dahlen, G.; Ohman, A.E.; Moller, A.J. Predominant indigenous oral bacteria isolated from infected root canals after varied times of closure. Scand. J. Dent. Res. 1982, 90, 134–144. [Google Scholar] [CrossRef] [PubMed]
- Nair, P.N.; Henry, S.; Cano, V.; Vera, J. Microbial status of apical root canal system of human mandibular first molars with primary apical periodontitis after “one-visit” endodontic treatment. Oral Surg. Oral Med. Oral Pathol. Oral Radiol. Endod. 2005, 99, 231–252. [Google Scholar] [CrossRef] [PubMed]
- Orstavik, D.; Haapasalo, M. Disinfection by endodontic irrigants and dressings of experimentally infected dentinal tubules. Endod. Dent. Traumatol. 1990, 6, 142–149. [Google Scholar] [CrossRef] [PubMed]
- Kayaoglu, G.; Orstavik, D. Virulence factors of Enterococcus faecalis: Relationship to endodontic disease. Crit. Rev. Oral Biol. Med. 2004, 15, 308–320. [Google Scholar] [CrossRef]
- Haapasalo, M.; Shen, Y.; Wang, Z.; Gao, Y. Irrigation in endodontics. Br. Dent. J. 2014, 216, 299–303. [Google Scholar] [CrossRef]
- Siqueira, J.F., Jr.; Rocas, I.N.; Favieri, A.; Lima, K.C. Chemomechanical reduction of the bacterial population in the root canal after instrumentation and irrigation with 1%, 2.5%, and 5.25% sodium hypochlorite. J. Endod. 2000, 26, 331–334. [Google Scholar] [CrossRef]
- Mozo, S.; Llena, C.; Forner, L. Review of ultrasonic irrigation in endodontics: Increasing action of irrigating solutions. Med. Oral Patol. Oral Cir. Bucal 2012, 17, e512–e516. [Google Scholar] [CrossRef]
- de Groot, S.D.; Verhaagen, B.; Versluis, M.; Wu, M.K.; Wesselink, P.R.; van der Sluis, L.W. Laser-activated irrigation within root canals: Cleaning efficacy and flow visualization. Int. Endod. J. 2009, 42, 1077–1083. [Google Scholar] [CrossRef]
- Sahar-Helft, S.; Stabholtz, A.; Moshonov, J.; Gutkin, V.; Redenski, I.; Steinberg, D. Effect of Er:YAG laser-activated irrigation solution on Enterococcus Faecalis biofilm in an ex-vivo root canal model. Photomed. Laser Surg. 2013, 31, 334–341. [Google Scholar] [CrossRef]
- Garcez, A.S.; Ribeiro, M.S.; Tegos, G.P.; Nunez, S.C.; Jorge, A.O.; Hamblin, M.R. Antimicrobial photodynamic therapy combined with conventional endodontic treatment to eliminate root canal biofilm infection. Lasers Surg. Med. 2007, 39, 59–66. [Google Scholar] [CrossRef] [PubMed]
- Polat, E.; Kang, K. Natural Photosensitizers in Antimicrobial Photodynamic Therapy. Biomedicines 2021, 9, 584. [Google Scholar] [CrossRef] [PubMed]
- Cardoso, D.R.; Libardi, S.H.; Skibsted, L.H. Riboflavin as a photosensitizer. Effects on human health and food quality. Food Funct. 2012, 3, 487–502. [Google Scholar] [CrossRef] [PubMed]
- Ahgilan, A.S.V.; Periasamy, V. Antimicrobial Properties of Vitamin B2. Int. J. Food Prop. 2016, 19, 1173–1181. [Google Scholar] [CrossRef]
- Farah, N.; Chin, V.K.; Chong, P.P.; Lim, W.F.; Lim, C.W.; Basir, R.; Chang, S.K.; Lee, T.Y. Riboflavin as a promising anti-microbial agent? A multi-perspective review. Curr. Res. Microb. Sci. 2022, 3, 100111. [Google Scholar] [CrossRef]
- Fawzy, A.S.; Nitisusanta, L.I.; Iqbal, K.; Daood, U.; Neo, J. Riboflavin as a dentin crosslinking agent: Ultraviolet A versus blue light. Dent. Mater. 2012, 28, 1284–1291. [Google Scholar] [CrossRef]
- Avianti, R.S.; Kunarti, S.; Subiyanto, A. A comparative study of the E. faecalis antibiofilm efficacy of photoactivated curcumin, chlorophyll and riboflavin. Dent. J. 2020, 53, 62–66. [Google Scholar] [CrossRef]
- Nielsen, H.K.; Garcia, J.; Vaeth, M.; Schlafer, S. Comparison of Riboflavin and Toluidine Blue O as Photosensitizers for Photoactivated Disinfection on Endodontic and Periodontal Pathogens In Vitro. PLoS ONE 2015, 10, e0140720. [Google Scholar] [CrossRef] [PubMed]
- Afrasiabi, S.; Chiniforush, N. Antibacterial potential of riboflavin mediated blue diode laser photodynamic inactivation against Enterococcus faecalis: A laboratory investigation. Photodiagn. Photodyn. Ther. 2023, 41, 103291. [Google Scholar] [CrossRef]
- Administration USFaD, Listing of Specific Substances Affirmed as GRAS. Available online: http://www.accessdata.fda.gov/scripts/cdrh/cfdocs/cfcfr/CFRSearch.cfm?fr=184.1695 (accessed on 7 June 2023).
- Fornaini, C.; Fekrazad, R.; Rocca, J.P.; Zhang, S.; Merigo, E. Use of Blue and Blue-Violet Lasers in Dentistry: A Narrative Review. J. Lasers Med. Sci. 2021, 12, e31. [Google Scholar] [CrossRef]
- Wilson, S. Medical and aesthetic lasers: Semiconductor diode laser advances enable medical applications. BioOptics World 2014, 7, 21–25. [Google Scholar]
- Braun, A.; Kettner, M.; Berthold, M.; Wenzler, J.S.; Heymann, P.G.B.; Frankenberger, R. Efficiency of soft tissue incision with a novel 445-nm semiconductor laser. Lasers Med. Sci. 2018, 33, 27–33. [Google Scholar] [CrossRef] [PubMed]
- Kushibiki, T.; Awazu, K. Blue laser irradiation enhances extracellular calcification of primary mesenchymal stem cells. Photomed. Laser Surg. 2009, 27, 493–498. [Google Scholar] [CrossRef] [PubMed]
- Bocher, S.; Wenzler, J.S.; Falk, W.; Braun, A. Comparison of different laser-based photochemical systems for periodontal treatment. Photodiagn. Photodyn. Ther. 2019, 27, 433–439. [Google Scholar] [CrossRef]
- Matys, J.; Flieger, R.; Dominiak, M. Effect of diode lasers with wavelength of 445 and 980 nm on a temperature rise when uncovering implants for second stage surgery: An ex-vivo study in pigs. Adv. Clin. Exp. Med. 2017, 26, 687–693. [Google Scholar] [CrossRef]
- Fornaini, C.; Lagori, G.; Merigo, E.; Rocca, J.P.; Chiusano, M.; Cucinotta, A. 405 nm diode laser, halogen lamp and LED device comparison in dental composites cure: An “in vitro” experimental trial. Laser Ther. 2015, 24, 265–274. [Google Scholar] [CrossRef]
- Tano, E.; Otsuki, M.; Kato, J.; Sadr, A.; Ikeda, M.; Tagami, J. Effects of 405 nm diode laser on titanium oxide bleaching activation. Photomed. Laser Surg. 2012, 30, 648–654. [Google Scholar] [CrossRef]
- De Moor, R.J.; Meire, M.; Goharkhay, K.; Moritz, A.; Vanobbergen, J. Efficacy of ultrasonic versus laser-activated irrigation to remove artificially placed dentin debris plugs. J. Endod. 2010, 36, 1580–1583. [Google Scholar] [CrossRef]
- Gregorčič, P.; Lukač, N.; Možina, J.; Jezeršek, M. Synchronized delivery of Er:YAG-laser pulses into water studied by a laser beam transmission probe for enhanced endodontic treatment. Appl. Phys. A Mater. Sci. Process. 2016, 122, 459. [Google Scholar] [CrossRef]
- Lukac, M.; Lukac, N.; Jezersek, M. Characteristics of Bubble Oscillations During Laser-Activated Irrigation of Root Canals and Method of Improvement. Lasers Surg. Med. 2020, 52, 907–915. [Google Scholar] [CrossRef]
- Lukac, N.; Jezersek, M. Amplification of pressure waves in laser-assisted endodontics with synchronized delivery of Er:YAG laser pulses. Lasers Med. Sci. 2018, 33, 823–833. [Google Scholar] [CrossRef] [PubMed]
- Sen, B.H.; Piskin, B.; Demirci, T. Observation of bacteria and fungi in infected root canals and dentinal tubules by SEM. Endod. Dent. Traumatol. 1995, 11, 6–9. [Google Scholar] [CrossRef] [PubMed]
- Distel, J.W.; Hatton, J.F.; Gillespie, M.J. Biofilm formation in medicated root canals. J. Endod. 2002, 28, 689–693. [Google Scholar] [CrossRef] [PubMed]
- Rostami, G.; Afrasiabi, S.; Benedicenti, S.; Signore, A.; Chiniforush, N. The Evaluation of SWEEPS Plus Antimicrobial Photodynamic Therapy with Indocyanine Green in Eliminating Enterococcus faecalis Biofilm from Infected Root Canals: An In Vitro Study. Biomedicines 2023, 11, 1850. [Google Scholar] [CrossRef] [PubMed]
- Miles, A.A.; Misra, S.S.; Irwin, J.O. The estimation of the bactericidal power of the blood. Epidemiol. Infect. 1938, 38, 732–749. [Google Scholar] [CrossRef]
- Al Yahya, R.S.; Al Attas, M.H.; Javed, M.Q.; Khan, K.I.; Atique, S.; Abulhamael, A.M.; Bahammam, H.A. Root Canal Con-figuration and Its Relationship with Endodontic Technical Errors and Periapical Status in Premolar Teeth of a Saudi Sub-Population: A Cross-Sectional Observational CBCT Study. Int. J. Environ. Res. Public Health 2023, 20, 1142. [Google Scholar] [CrossRef]
- Tennert, C.; Fuhrmann, M.; Wittmer, A.; Karygianni, L.; Altenburger, M.J.; Pelz, K.; Hellwig, E.; Al-Ahmad, A. New bacterial composition in primary and persistent/secondary endodontic infections with respect to clinical and radiographic findings. J. Endod. 2014, 40, 670–677. [Google Scholar] [CrossRef]
- Ensafi, F.; Fazlyab, M.; Chiniforush, N.; Akhavan, H. Comparative effects of SWEEPS technique and antimicrobial photodynamic therapy by using curcumin and nano-curcumin on Enterococcus faecalis biofilm in root canal treatment. Photodiagn. Photodyn. Ther. 2022, 40, 103130. [Google Scholar] [CrossRef]
- Lukac, N.; Muc, B.T.; Jezersek, M.; Lukac, M. Photoacoustic endodontics using the novel SWEEPS Er:YAG laser modality. J. Lasers Med. Sci. 2017, 1, 1–7. [Google Scholar]
- Darcey, J.; Jawad, S.; Taylor, C.; Roudsari, R.V.; Hunter, M. Modern Endodontic Principles Part 4: Irrigation. Dent. Update 2016, 43, 20–33. [Google Scholar] [CrossRef]
- Jezersek, M.; Lukac, N.; Lukac, M. Measurement of Simulated Debris Removal Rates in an Artificial Root Canal to Optimize Laser-Activated Irrigation Parameters. Lasers Surg. Med. 2021, 53, 411–417. [Google Scholar] [CrossRef] [PubMed]
- Baraba, A.; Rajda, M.; Barsic, G.; Jukic Krmek, S.; Snjaric, D.; Miletic, I. Efficacy of Shock Wave-Enhanced Emission Photoacoustic Streaming (SWEEPS) in the Removal of Different Combinations of Sealers Used with Two Obturation Techniques: A Micro-CT Study. Materials 2023, 16, 3273. [Google Scholar] [CrossRef]
- Angerame, D.; De Biasi, M.; Porrelli, D.; Bevilacqua, L.; Zanin, R.; Olivi, M.; Kaitsas, V.; Olivi, G. Retreatability of calcium silicate-based root canal sealer using reciprocating instrumentation with different irrigation activation techniques in single-rooted canals. Aust. Endod. J. 2022, 48, 415–422. [Google Scholar] [CrossRef] [PubMed]
- Kirmizi, D.; Aksoy, U.; Orhan, K. Efficacy of Laser-Activated Irrigation and Conventional Techniques in Calcium Hydroxide Removal from Simulated Internal Resorption Cavities: Micro-CT Study. Photobiomodul. Photomed. Laser Surg. 2021, 39, 674–681. [Google Scholar] [CrossRef] [PubMed]
- Petricevic, G.K.; Katic, M.; Anic, I.; Salaric, I.; Vrazic, D.; Bago, I. Efficacy of different Er:YAG laser-activated photoacoustic streaming modes compared to passive ultrasonic irrigation in the retreatment of curved root canals. Clin. Oral Investig. 2022, 26, 6773–6781. [Google Scholar] [CrossRef] [PubMed]
- Yang, Q.; Liu, M.W.; Zhu, L.X.; Peng, B. Micro-CT study on the removal of accumulated hard-tissue debris from the root canal system of mandibular molars when using a novel laser-activated irrigation approach. Int. Endod. J. 2020, 53, 529–538. [Google Scholar] [CrossRef]
- Bago, I.; Plotino, G.; Katic, M.; Ferenac, A.; Petricevic, G.K.; Gabric, D.; Anic, I. Effect of a novel laser-initiated photoacoustic activation of a solvent or sodium hypochlorite in the removal of filling remnants after retreatment of curved root canals. Photodiagn. Photodyn. Ther. 2021, 36, 102535. [Google Scholar] [CrossRef]
- Vatanpour, M.; Toursavadkouhi, S.; Sajjad, S. Comparison of three irrigation methods: SWEEPS, ultrasonic, and traditional irrigation, in smear layer and debris removal abilities in the root canal, beyond the fractured instrument. Photodiagn. Photodyn. Ther. 2022, 37, 102707. [Google Scholar] [CrossRef]
- Tong, J.; Liu, L.; Du, J.; Gao, Y.; Song, D.; Huang, D. Effect of photon-induced photoacoustic streaming and shock-wave enhanced emission photoacoustic streaming technique on the removal of the smear layer after root canal preparation in curved root canals. J. Dent. Sci. 2023, 18, 157–164. [Google Scholar] [CrossRef]
- Coskun Basoglu, E.; Kocak, S.; Ozdemir, O.; Kocak, M.M.; Saglam, B.C. Efficacy of various activation techniques on tubule penetration of resin-based and bioceramic root canal sealers: An in vitro confocal microscopy study. Aust. Endod. J. 2023, 49, 381–389. [Google Scholar] [CrossRef]
- Su, Z.; Li, Z.; Shen, Y.; Bai, Y.; Zheng, Y.; Pan, C.; Hou, B. Characteristics of the Irrigant Flow in a Simulated Lateral Canal Under Two Typical Laser-Activated Irrigation Regimens. Lasers Surg. Med. 2020, 53, 587–594. [Google Scholar] [CrossRef] [PubMed]
- Erkan, E.; Gundogar, M.; Uslu, G.; Ozyurek, T. Postoperative pain after SWEEPS, PIPS, sonic and ultrasonic-assisted irrigation activation techniques: A randomized clinical trial. Odontology 2022, 110, 786–794. [Google Scholar] [CrossRef] [PubMed]
- Wang, X.-N.; Shi, J. Shock wave-enhanced emission photoacoustic streaming versus photon-induced photoacoustic streaming modes for clearing root canal bacteria using erbium-doped yttrium aluminum garnet lasers: An in vitro study. Res. Sq. 2020. [Google Scholar] [CrossRef]
- Mohammadi, Z. Sodium hypochlorite in endodontics: An update review. Int. Dent. J. 2008, 58, 329–341. [Google Scholar] [CrossRef]
- Berutti, E.; Marini, R.; Angeretti, A. Penetration ability of different irrigants into dentinal tubules. J. Endod. 1997, 23, 725–727. [Google Scholar] [CrossRef]
- Kouchi, Y.; Ninomiya, J.; Yasuda, H.; Fukui, K.; Moriyama, T.; Okamoto, H. Location of Streptococcus mutans in the dentinal tubules of open infected root canals. J. Dent. Res. 1980, 59, 2038–2046. [Google Scholar] [CrossRef]
- Rath, P.P.; Yiu, C.K.Y.; Matinlinna, J.P.; Kishen, A.; Neelakantan, P. The effect of root canal irrigants on dentin: A focused review. Restor. Dent. Endod. 2020, 45, e39. [Google Scholar] [CrossRef]
- Beck, F.; Ilie, N. Riboflavin and Its Effect on Dentin Bond Strength: Considerations for Clinical Applicability-An In Vitro Study. Bioengineering 2022, 9, 34. [Google Scholar] [CrossRef]
- Eusufzai, S.Z.; Barman, A.; Jamayet, N.B.; Ahmad, W.; Mahdi, S.S.; Sheikh, Z.; Daood, U. Effects of Riboflavin Collagen Crosslinker on Dentin Adhesive Bonding Efficiency: A Systematic Review and Meta-Analysis. Materials 2023, 16, 1701. [Google Scholar] [CrossRef]
- Cabral, J.; Ag, R. Blue Light Disinfection in Hospital Infection Control: Advantages, Drawbacks, and Pitfalls. Antibiotics 2019, 8, 58. [Google Scholar] [CrossRef]
- Ivanusic, T.; Lukač, M.; Lukač, N.; Jezeršek, M. SSP/SWEEPS Endodontics with the SkyPulse Er:YAG Dental Laser. J. LAHA 2019, 2019, 1–10. [Google Scholar]
- Hendi, S.S.; Ahmadyani, E.; Alikhani, M.Y.; Farhadian, M.; Mirzaei, A. Antibacterial Effects of the Novel Blue Laser and Erbium Chromium Laser on Enterococcus Faecalis in Root Canal Dentin with Different Thicknesses. Int. J. Dent. 2022, 2022, 6119464. [Google Scholar] [CrossRef] [PubMed]



| BDL | SWEEPS + Normal Saline | SWEEPS + NaOCl | Rib |
|---|---|---|---|
| 3.24 | 30.85 | 100 | 43.76 |
| Rib + SWEEPS | Rib + BDL | Rib + BDL + SWEEPS | NaOCL |
| 81.27 | 87.18 | 97.05 | 100 |
| Group 1 | Group 2 | p Value |
|---|---|---|
| Rib | Control | <0.001 |
| Rib + SWEEPS | <0.001 | |
| Rib + BDL | <0.001 | |
| Rib + BDL + SWEEPS | <0.001 | |
| SWEEPS + NaOCl | <0.001 | |
| BDL | <0.001 | |
| SWEEPS + normal saline | 0.183 | |
| NaOCl | <0.001 | |
| Rib + SWEEPS | Control | <0.001 |
| Rib + BDL | 0.893 | |
| Rib + BDL + SWEEPS | 0.029 | |
| SWEEPS + NaOCl | 0.006 | |
| BDL | <0.001 | |
| SWEEPS + normal saline | <0.001 | |
| NaOCl | 0.006 | |
| Rib + BDL | Control | <0.001 |
| Rib + BDL + SWEEPS | 0.397 | |
| SWEEPS + NaOCl | 0.127 | |
| BDL | <0.001 | |
| SWEEPS + normal saline | <0.001 | |
| NaOCl | 0.127 | |
| Rib + BDL + SWEEPS | Control | <0.001 |
| SWEEPS + NaOCl | 0.998 | |
| BDL | <0.001 | |
| SWEEPS + normal saline | <0.001 | |
| NaOCl | 0.990 | |
| SWEEPS + NaOCl | Control | <0.001 |
| BDL | <0.001 | |
| SWEEPS + normal saline | <0.001 | |
| NaOCl | 0.999 | |
| BDL | Control | 0.996 |
| SWEEPS + normal saline | <0.001 | |
| NaOCl | <0.001 | |
| SWEEPS + normal saline | Control | <0.001 |
| NaOCl | <0.001 | |
| NaOCl | Control | <0.001 |
Disclaimer/Publisher’s Note: The statements, opinions and data contained in all publications are solely those of the individual author(s) and contributor(s) and not of MDPI and/or the editor(s). MDPI and/or the editor(s) disclaim responsibility for any injury to people or property resulting from any ideas, methods, instructions or products referred to in the content. |
© 2023 by the authors. Licensee MDPI, Basel, Switzerland. This article is an open access article distributed under the terms and conditions of the Creative Commons Attribution (CC BY) license (https://creativecommons.org/licenses/by/4.0/).
Share and Cite
Shahi Ardakani, A.; Afrasiabi, S.; Sarraf, P.; Benedicenti, S.; Solimei, L.; Chiniforush, N. In Vitro Assessment of SWEEPS and Antimicrobial Photodynamic Therapy Alone or in Combination for Eradicating Enterococcus faecalis Biofilm in Root Canals. Pharmaceutics 2023, 15, 2628. https://doi.org/10.3390/pharmaceutics15112628
Shahi Ardakani A, Afrasiabi S, Sarraf P, Benedicenti S, Solimei L, Chiniforush N. In Vitro Assessment of SWEEPS and Antimicrobial Photodynamic Therapy Alone or in Combination for Eradicating Enterococcus faecalis Biofilm in Root Canals. Pharmaceutics. 2023; 15(11):2628. https://doi.org/10.3390/pharmaceutics15112628
Chicago/Turabian StyleShahi Ardakani, Ali, Shima Afrasiabi, Pegah Sarraf, Stefano Benedicenti, Luca Solimei, and Nasim Chiniforush. 2023. "In Vitro Assessment of SWEEPS and Antimicrobial Photodynamic Therapy Alone or in Combination for Eradicating Enterococcus faecalis Biofilm in Root Canals" Pharmaceutics 15, no. 11: 2628. https://doi.org/10.3390/pharmaceutics15112628
APA StyleShahi Ardakani, A., Afrasiabi, S., Sarraf, P., Benedicenti, S., Solimei, L., & Chiniforush, N. (2023). In Vitro Assessment of SWEEPS and Antimicrobial Photodynamic Therapy Alone or in Combination for Eradicating Enterococcus faecalis Biofilm in Root Canals. Pharmaceutics, 15(11), 2628. https://doi.org/10.3390/pharmaceutics15112628

