Alginate-Based Hydrogels Enriched with Lavender Essential Oil: Evaluation of Physicochemical Properties, Antimicrobial Activity, and In Vivo Biocompatibility
Abstract
1. Introduction
2. Materials and Methods
2.1. Chemicals
2.2. Hybrid Hydrogels Preparation
2.3. Extraction and Analysis of the Essential Oil from Lavender Flowers
2.4. Bioactive Compound Preparation
2.5. Structural Characterization
2.6. Morphological Analysis
2.7. Swelling Studies
2.8. LVO Loading and Release Assays
2.8.1. LVO Loading
2.8.2. Release Study
2.9. Antioxidant Capacity of the Hybrid Hydrogels
2.10. Antimicrobial Activity
2.11. In Vivo Biocompatibility Assay
2.12. Statistical Analysis
2.13. Research Ethics
3. Results and Discussions
3.1. FTIR Analysis
3.2. Morphological Analysis
3.3. Swelling Capacity Evaluation
3.4. Phytochemical Characterization of LVO from Lavender Flowers
3.5. LVD Loading/Release Studies
3.6. Antioxidant Activity
3.7. Antimicrobial Evaluation of Prepared Hybrid Hydrogels
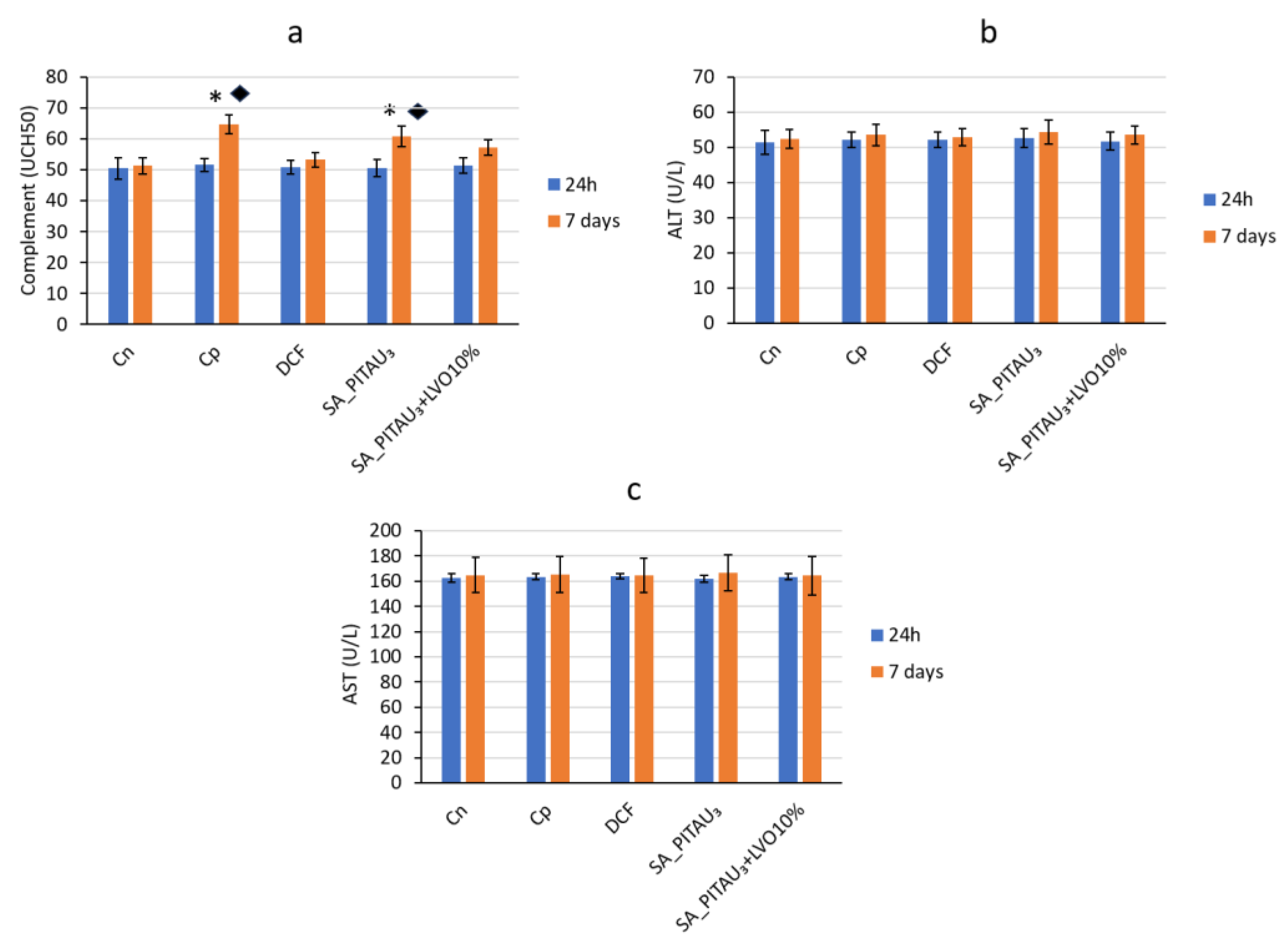
3.8. In Vivo Biocompatibility Testing
4. Conclusions
Supplementary Materials
Author Contributions
Funding
Institutional Review Board Statement
Informed Consent Statement
Data Availability Statement
Conflicts of Interest
References
- Suflet, D.M.; Popescu, I.; Pelin, I.M.; David, G.; Serbezeanu, D.; Rîmbu, C.M.; Daraba, O.M.; Enache, A.A.; Bercea, M. Phosphorylated Curdlan Gel/Polyvinyl Alcohol Electrospun Nanofibres Loaded with Clove Oil with Antibacterial Activity. Gels 2022, 8, 439. [Google Scholar] [CrossRef] [PubMed]
- Monfared-Hajishirkiaee, R.; Ehtesabi, H.; Rezaei, A.; Najafinobar, S. Development of carboxymethyl cellulose/chitosan double-layer hydrogel combining myrtle essential oil and thyme honey to enhance antibacterial and mechanical properties. J. Ind. Eng. Chem. 2023, 126, 382–397. [Google Scholar] [CrossRef]
- Chiriac, A.P.; Stoleru, E.; Rosca, I.; Serban, A.; Nita, L.E.; Rusu, A.G.; Ghilan, A.; Macsim, A.-M.; Mititelu-Tartau, L. Development of a new polymer network system carrier of essential oils. Biomed. Pharmacother. 2022, 149, 112919. [Google Scholar] [CrossRef]
- Mostaghimi, M.; Majdinasab, M.; Golmakani, M.-T.; Hadian, M.; Hosseini, S.M.H. Development and characterization of antimicrobial alginate hydrogel beads filled with cinnamon essential oil nanoemulsion. J. Biomater. Sci. Polym. Ed. 2023, 34, 1–17. [Google Scholar] [CrossRef]
- Jia, B.; Li, G.; Cao, E.; Luo, J.; Zhao, X.; Huang, H. Recent progress of antibacterial hydrogels in wound dressings. Mater. Today Bio 2023, 19, 100582. [Google Scholar] [CrossRef]
- Herman, A.; Herman, A.P. Essential oils and their constituents as skin penetration enhancer for transdermal drug delivery: A review. J. Pharm. Pharmacol. 2015, 67, 473–485. [Google Scholar] [CrossRef] [PubMed]
- Garcia, C.R.; Malik, M.H.; Biswas, S.; Tam, V.H.; Rumbaugh, K.P.; Li, W.; Liu, X. Nanoemulsion delivery systems for enhanced efficacy of antimicrobials and essential oils. Biomater. Sci. 2021, 10, 633–653. [Google Scholar] [CrossRef] [PubMed]
- Yu, S.; Long, Y.; Li, D.; Shi, A.; Deng, J.; Ma, Y.; Wen, J.; Li, X.; Zhang, Y.; Liu, S.; et al. Natural essential oils efficacious in internal organs fibrosis treatment: Mechanisms of action and application perspectives. Pharmacol. Res. 2022, 182, 106339. [Google Scholar] [CrossRef]
- Pinto, E.P.; Menezes, R.P.; Tavares, W.d.S.; Ferreira, A.M.; de Sousa, F.F.O.; da Silva, G.A.; Zamora, R.R.; Araújo, R.S.; de Souza, T.M. Copaiba essential oil loaded-nanocapsules film as a potential candidate for treating skin disorders: Preparation, characterization, and antibacterial properties. Int. J. Pharm. 2023, 633, 122608. [Google Scholar] [CrossRef]
- Altay, Ö.; Köprüalan, Ö.; Ilter, I.; Koç, M.; Ertekin, F.K.; Jafari, S.M. Spray drying encapsulation of essential oils; process efficiency, formulation strategies, and applications. Crit. Rev. Food Sci. Nutr. 2022, 1–20. [Google Scholar] [CrossRef]
- Koushik, Y.; Umashankar, M.S. Nanoformulation Loaded with Essential Oils via Ultrasonication Technique: Overview, Challenges, and Prospects. Int. J. Pharm. Sci. Nanotechnol. 2022, 15, 2394. [Google Scholar] [CrossRef]
- Das, S.; Chaudhari, A.K.; Singh, V.K.; Dwivedy, A.K.; Dubey, N.K. Chitosan based encapsulation of Valeriana officinalis essential oil as edible coating for inhibition of fungi and aflatoxin B1 contamination, nutritional quality improvement, and shelf life extension of Citrus sinensis fruits. Int. J. Biol. Macromol. 2023, 233, 123565. [Google Scholar] [CrossRef]
- Chiriac, A.P.; Rusu, A.G.; Nita, L.E.; Chiriac, V.M.; Neamtu, I.; Sandu, A. Polymeric Carriers Designed for Encapsulation of Essential Oils with Biological Activity. Pharmaceutics 2021, 13, 631. [Google Scholar] [CrossRef]
- Hugar, S.M.; Gokhale, N.; Uppin, C.; Kajjari, S.; Meharwade, P.; Joshi, R.S. The Effects of Lavender Essential Oil and its Clinical Implications in Dentistry: A Review. Int. J. Clin. Pediatr. Dent. 2022, 15, 385–388. [Google Scholar] [CrossRef]
- Cavanagh, H.M.A.; Wilkinson, J.M. Biological activities of Lavender essential oil. Phytother. Res. 2002, 16, 301–308. [Google Scholar] [CrossRef]
- de Groot, A.; Schmidt, E. Essential Oils, Part V: Peppermint Oil, Lavender Oil, and Lemongrass Oil. Dermatitis® 2016, 27, 325–332. [Google Scholar] [CrossRef]
- Hui, L.; He, L.; Huan, L.; Xiaolan, L.; Aiguo, Z. Chemical composition of lavender essential oil and its antioxidant activity and inhibition against rhinitis-related bacteria. Afr. J. Microbiol. Res. 2010, 4, 309–313. [Google Scholar]
- de Rapper, S.; Viljoen, A.; van Vuuren, S. The In Vitro Antimicrobial Effects of Lavandula angustifolia Essential Oil in Combination with Conventional Antimicrobial Agents. Evid.-Based Complement. Altern. Med. 2016, 2016, 2752739. [Google Scholar] [CrossRef]
- Jaramillo, V.; Díaz, E.; Muñoz, L.N.; González-Barrios, A.F.; Rodríguez-Cortina, J.; Cruz, J.C.; Muñoz-Camargo, C. Enhancing Wound Healing: A Novel Topical Emulsion Combining CW49 Peptide and Lavender Essential Oil for Accelerated Regeneration and Antibacterial Protection. Pharmaceutics 2023, 15, 1739. [Google Scholar] [CrossRef]
- Cavanagh, H.M.A.; Wilkinson, J.M. Lavender essential oil: A review. Aust. Infect. Control 2005, 10, 35–37. [Google Scholar] [CrossRef]
- Government of India, M.o.H. Pharmacopoeia of India: (The Indian Pharmacopoeia), 1st ed.; Manager of Publications: Delhi, India, 1955. [Google Scholar]
- Peana, A.T.; D’Aquila, P.S.; Panin, F.; Serra, G.; Pippia, P.; Moretti, M.D.L. Anti-inflammatory activity of linalool and linalyl acetate constituents of essential oils. Phytomedicine 2002, 9, 721–726. [Google Scholar] [CrossRef]
- Tajik, F.; Eslahi, N.; Rashidi, A.; Rad, M.M. Hybrid antibacterial hydrogels based on PVP and keratin incorporated with lavender extract. J. Polym. Res. 2021, 28, 316. [Google Scholar] [CrossRef]
- Mori, H.-M.; Kawanami, H.; Kawahata, H.; Aoki, M. Wound healing potential of lavender oil by acceleration of granulation and wound contraction through induction of TGF-β in a rat model. BMC Complement. Altern. Med. 2016, 16, 144. [Google Scholar] [CrossRef]
- Ailincai, D.; Morariu, S.; Rosca, I.; Sandu, A.I.; Marin, L. Drug delivery based on a supramolecular chemistry approach by using chitosan hydrogels. Int. J. Biol. Macromol. 2023, 248, 125800. [Google Scholar] [CrossRef]
- Iftime, M.-M.; Rosca, I.; Sandu, A.-I.; Marin, L. Chitosan crosslinking with a vanillin isomer toward self-healing hydrogels with antifungal activity. Int. J. Biol. Macromol. 2022, 205, 574–586. [Google Scholar] [CrossRef]
- Biddeci, G.; Cavallaro, G.; Di Blasi, F.; Lazzara, G.; Massaro, M.; Milioto, S.; Parisi, F.; Riela, S.; Spinelli, G. Halloysite nanotubes loaded with peppermint essential oil as filler for functional biopolymer film. Carbohydr. Polym. 2016, 152, 548–557. [Google Scholar] [CrossRef]
- Azzazy, H.M.E.-S.; Abdelnaser, A.; Al Mulla, H.; Sawy, A.M.; Shamma, S.N.; Elhusseiny, M.; Alwahibi, S.; Mahdy, N.K.; Fahmy, S.A. Essential Oils Extracted from Boswellia sacra Oleo Gum Resin Loaded into PLGA–PCL Nanoparticles: Enhanced Cytotoxic and Apoptotic Effects against Breast Cancer Cells. ACS Omega 2023, 8, 1017–1025. [Google Scholar] [CrossRef]
- Diaconu, A.; Chiriac, A.P.; Nita, L.E.; Tudorachi, N.; Neamtu, I.; Vasile, C.; Pinteala, M. Design and synthesis of a new polymer network containing pendant spiroacetal moieties. Des. Monomers Polym. 2015, 18, 780–788. [Google Scholar] [CrossRef]
- Diaconu, A.; Rusu, A.; Nita, L.; Chiriac, A.; Neamtu, I. Using riboflavin as low molecular mass gelator for the preparation of a new network structure having spiroacetal moieties. J. Res. Updat. Polym. Sci. 2017, 6, 134–141. [Google Scholar] [CrossRef]
- Chiriac, A.P.; Nita, L.E.; Diaconu, A.; Neamtu, I.; Tudorachi, N.; Balan, V. Matrix Copolymer Synthesis Process for Bio-Medical Applications. RO131478A2, 29 November 2016. [Google Scholar]
- Farshidfar, N.; Iravani, S.; Varma, R.S. Alginate-Based Biomaterials in Tissue Engineering and Regenerative Medicine. Mar. Drugs 2023, 21, 189. [Google Scholar] [CrossRef]
- Xie, Y.; Gao, P.; He, F.; Zhang, C. Application of Alginate-Based Hydrogels in Hemostasis. Gels 2022, 8, 109. [Google Scholar] [CrossRef]
- Tavassoli-Kafrani, E.; Shekarchizadeh, H.; Masoudpour-Behabadi, M. Development of edible films and coatings from alginates and carrageenans. Carbohydr. Polym. 2016, 137, 360–374. [Google Scholar] [CrossRef]
- Kothale, D.; Verma, U.; Dewangan, N.; Jana, P.; Jain, A.; Jain, D. Alginate as Promising Natural Polymer for Pharmaceutical, Food, and Biomedical Applications. Curr. Drug Deliv. 2020, 17, 755–775. [Google Scholar] [CrossRef]
- Nair, M.S.; Tomar, M.; Punia, S.; Kukula-Koch, W.; Kumar, M. Enhancing the functionality of chitosan- and alginate-based active edible coatings/films for the preservation of fruits and vegetables: A review. Int. J. Biol. Macromol. 2020, 164, 304–320. [Google Scholar] [CrossRef]
- Malektaj, H.; Drozdov, A.D.; Christiansen, J.D. Mechanical Properties of Alginate Hydrogels Cross-Linked with Multivalent Cations. Polymers 2023, 15, 3012. [Google Scholar] [CrossRef]
- Kumar, A.; Dash, G.K.; Sahoo, S.K.; Lal, M.K.; Sahoo, U.; Sah, R.P.; Ngangkham, U.; Kumar, S.; Baig, M.J.; Sharma, S.; et al. Phytic acid: A reservoir of phosphorus in seeds plays a dynamic role in plant and animal metabolism. Phytochem. Rev. 2023, 22, 1281–1304. [Google Scholar] [CrossRef]
- Ghilan, A.; Nita, L.E.; Pamfil, D.; Simionescu, N.; Tudorachi, N.; Rusu, D.; Rusu, A.G.; Bercea, M.; Rosca, I.; Ciolacu, D.E.; et al. One-Step Preparation of Carboxymethyl Cellulose—Phytic Acid Hydrogels with Potential for Biomedical Applications. Gels 2022, 8, 647. [Google Scholar] [CrossRef]
- Nita, L.E.; Chiriac, A.P.; Ghilan, A.; Rusu, A.G.; Tudorachi, N.; Timpu, D. Alginate enriched with phytic acid for hydrogels preparation. Int. J. Biol. Macromol. 2021, 181, 561–571. [Google Scholar] [CrossRef]
- Han, D.; Zhao, H.; Gao, L.; Qin, Z.; Ma, J.; Han, Y.; Jiao, T. Preparation of carboxymethyl chitosan/phytic acid composite hydrogels for rapid dye adsorption in wastewater treatment. Colloids Surf. A Physicochem. Eng. Asp. 2021, 628, 127355. [Google Scholar] [CrossRef]
- Tashi, Z.; Zare, M.; Parvin, N. Application of phytic-acid as an in-situ crosslinking agent in electrospun gelatin-based scaffolds for skin tissue engineering. Mater. Lett. 2020, 264, 127275. [Google Scholar] [CrossRef]
- Sandu, A.E.; Nita, L.E.; Chiriac, A.P.; Tudorachi, N.; Rusu, A.G.; Pamfil, D. New Hydrogel Network Based on Alginate and a Spiroacetal Copolymer. Gels 2021, 7, 241. [Google Scholar] [CrossRef]
- Urbanova, M.; Pavelkova, M.; Czernek, J.; Kubova, K.; Vyslouzil, J.; Pechova, A.; Molinkova, D.; Vyslouzil, J.; Vetchy, D.; Brus, J. Interaction Pathways and Structure–Chemical Transformations of Alginate Gels in Physiological Environments. Biomacromolecules 2019, 20, 4158–4170. [Google Scholar] [CrossRef] [PubMed]
- Davis, T.A.; Llanes, F.; Volesky, B.; Diaz-Pulido, G.; McCook, L.; Mucci, A. 1H-NMR study of Na alginates extracted from Sargassum spp. in relation to metal biosorption. Appl. Biochem. Biotechnol. 2003, 110, 75–90. [Google Scholar] [CrossRef]
- European Directorate for the Quality of Medicine and Health Care, Lavender Oil European Pharmacopoeia (Ph. Eur. 10.0); European Directorate for the Quality of Medicines & HealthCare: Strasbourg, France, 2019; pp. 1499–1500.
- Yoon, S.-W.; Chung, D.J.; Kim, J.-H. Preparation and swelling behavior of biodegradable hydrogels based on α,β-poly(N-2-hydroxyethyl-DL-aspartamide). J. Appl. Polym. Sci. 2003, 90, 3741–3746. [Google Scholar] [CrossRef]
- Purcea Lopes, P.M.; Moldovan, D.; Moldovan, M.; Carpa, R.; Saroşi, C.; Păşcuţă, P.; Mazilu Moldovan, A.; Fechete, R.; Popescu, V. New Composite Hydrogel Based on Whey and Gelatin Crosslinked with Copper Sulphate. Materials 2022, 15, 2611. [Google Scholar] [CrossRef] [PubMed]
- Burhan, A.M.; Abdel-Hamid, S.M.; Soliman, M.E.; Sammour, O.A. Optimisation of the microencapsulation of lavender oil by spray drying. J. Microencapsul. 2019, 36, 250–266. [Google Scholar] [CrossRef]
- Mahmood, H.; Khan, I.U.; Khan, R.U.; Asghar, S.; Khalid, I.; Khalid, S.H.; Irfan, M.; Rehman, F.; Shahzad, Y.; Yousaf, A.M.; et al. In vitro and in vivo evaluation of gellan gum hydrogel films: Assessing the co impact of therapeutic oils and ofloxacin on wound healing. Int. J. Biol. Macromol. 2020, 166, 483–495. [Google Scholar] [CrossRef]
- Blois, M.S. Antioxidant Determinations by the Use of a Stable Free Radical. Nature 1958, 181, 1199–1200. [Google Scholar] [CrossRef]
- Bauer, A.W.; Perry, D.M.; Kirby, W.M.M. Single-disk antibiotic-sensitivity testing of staphylococci; an analysis of technique and results. A.M.A. Arch. Intern. Med. 1959, 104, 208–216. [Google Scholar] [CrossRef]
- Clinical and Laboratory Standards Institute (CLSI). Performance Standards for Antimicrobial Susceptibility Testing, 32th ed.; Clinical and Laboratory Standards Institute: Wayne, PA, USA, 2022. [Google Scholar]
- XLSTAT. Statistical Software for Excel. Available online: https://www.xlstat.com/en (accessed on 16 June 2023).
- Carbone, L. Chapter 11-Euthanasia and Laboratory Animal Welfare. In Laboratory Animal Welfare; Bayne, K., Turner, P.V., Eds.; Academic Press: Boston, MA, USA, 2014; pp. 157–169. [Google Scholar]
- Leary, S.L.; Underwood, W.J.; Anthony, R.; Cartner, S.C.; Corey, D.; Grandin, T.; Greenacre, C.B.; Gwaltney-Bran, S.; Mccrackin, M.A.; Meyer, R.E.; et al. AVMA Guidelines for the Euthanasia of Animals, 2013th ed.; American Veterinary Medical Association: Schaumburg, IL, USA, 2013. [Google Scholar]
- Zou, W.; Yang, Y.; Gu, Y.; Zhu, P.; Zhang, M.; Cheng, Z.; Liu, X.; Yu, Y.; Peng, X. Repeated Blood Collection from Tail Vein of Non-Anesthetized Rats with a Vacuum Blood Collection System. J. Vis. Exp. 2017, 130, e55852. [Google Scholar] [CrossRef]
- Marques-Garcia, F. Methods for Hemolysis Interference Study in Laboratory Medicine-A Critical Review. eJIFCC 2020, 31, 85–97. [Google Scholar] [PubMed]
- Peskin, A.V.; Winterbourn, C.C. Assay of superoxide dismutase activity in a plate assay using WST-1. Free Radic. Biol. Med. 2017, 103, 188–191. [Google Scholar] [CrossRef] [PubMed]
- de Lima, M.C.; Marks, G.; Silva, I.S.; da Silva, B.A.K.; Cônsolo, L.Z.Z.; Nogueira, G.B. Evaluation of oxidative stress in mice subjected to aerobic exercise. Acta Cir. Bras. 2012, 27, 544–551. [Google Scholar] [CrossRef]
- Truzzi, E.; Durante, C.; Bertelli, D.; Catellani, B.; Pellacani, S.; Benvenuti, S. Rapid Classification and Recognition Method of the Species and Chemotypes of Essential Oils by ATR-FTIR Spectroscopy Coupled with Chemometrics. Molecules 2022, 27, 5618. [Google Scholar] [CrossRef] [PubMed]
- Sequeira, R.S.; Miguel, S.P.; Cabral, C.S.; Moreira, A.F.; Ferreira, P.; Correia, I.J. Development of a poly(vinyl alcohol)/lysine electrospun membrane-based drug delivery system for improved skin regeneration. Int. J. Pharm. 2019, 570, 118640. [Google Scholar] [CrossRef]
- Sánchez, E.C.; García, M.T.; Pereira, J.; Oliveira, F.; Craveiro, R.; Paiva, A.; Gracia, I.; García-Vargas, J.M.; Duarte, A.R.C. Alginate–Chitosan Membranes for the Encapsulation of Lavender Essential Oil and Development of Biomedical Applications Related to Wound Healing. Molecules 2023, 28, 3689. [Google Scholar] [CrossRef]
- Norahan, M.H.; Pedroza-González, S.C.; Sánchez-Salazar, M.G.; Álvarez, M.M.; de Santiago, G.T. Structural and biological engineering of 3D hydrogels for wound healing. Bioact. Mater. 2023, 24, 197–235. [Google Scholar] [CrossRef]
- Nassar, M.; Nassar, R.; Maki, H.; Al-Yagoob, A.; Hachim, M.; Senok, A.; Williams, D.; Hiraishi, N. Phytic Acid: Properties and Potential Applications in Dentistry. Front. Mater. 2021, 8, 638909. [Google Scholar] [CrossRef]
- Sun, X.; Ma, C.; Gong, W.; Ma, Y.; Ding, Y.; Liu, L. Biological properties of sulfanilamide-loaded alginate hydrogel fibers based on ionic and chemical crosslinking for wound dressings. Int. J. Biol. Macromol. 2020, 157, 522–529. [Google Scholar] [CrossRef]
- Yousefi, M.; Khanniri, E.; Sohrabvandi, S.; Khorshidian, N.; Mortazavian, A.M. Encapsulation of Heracleum persicum essential oil in chitosan nanoparticles and its application in yogurt. Front. Nutr. 2023, 10, 1130425. [Google Scholar] [CrossRef]
- Balasubramanian, K.; Kodam, K.M. Encapsulation of therapeutic lavender oil in an electrolyte assisted polyacrylonitrile nanofibres for antibacterial applications. RSC Adv. 2014, 4, 54892–54901. [Google Scholar] [CrossRef]
- Fadilah, N.I.M.; Phang, S.J.; Kamaruzaman, N.; Salleh, A.; Zawani, M.; Sanyal, A.; Maarof, M.; Fauzi, M.B. Antioxidant Biomaterials in Cutaneous Wound Healing and Tissue Regeneration: A Critical Review. Antioxidants 2023, 12, 787. [Google Scholar] [CrossRef]
- Danh, L.T.; Han, L.N.; Triet, N.D.A.; Zhao, J.; Mammucari, R.; Foster, N. Comparison of Chemical Composition, Antioxidant and Antimicrobial Activity of Lavender (Lavandula angustifolia L.) Essential Oils Extracted by Supercritical CO2, Hexane and Hydrodistillation. Food Bioprocess Technol. 2013, 6, 3481–3489. [Google Scholar] [CrossRef]
- Marín, I.; Sayas-Barberá, E.; Viuda-Martos, M.; Navarro, C.; Sendra, E. Chemical Composition, Antioxidant and Antimicrobial Activity of Essential Oils from Organic Fennel, Parsley, and Lavender from Spain. Foods 2016, 5, 18. [Google Scholar] [CrossRef]
- Nassar, R.; Nassar, M.; Vianna, M.E.; Naidoo, N.; Alqutami, F.; Kaklamanos, E.G.; Senok, A.; Williams, D. Antimicrobial Activity of Phytic Acid: An Emerging Agent in Endodontics. Front. Cell. Infect. Microbiol. 2021, 11, 753649. [Google Scholar] [CrossRef]
- Asadpoor, M.; Ithakisiou, G.-N.; van Putten, J.P.M.; Pieters, R.J.; Folkerts, G.; Braber, S. Antimicrobial Activities of Alginate and Chitosan Oligosaccharides against Staphylococcus aureus and Group B Streptococcus. Front. Microbiol. 2021, 12, 700605. [Google Scholar] [CrossRef] [PubMed]
- Nordgård, C.T.; Draget, K.I. Oligosaccharides As Modulators of Rheology in Complex Mucous Systems. Biomacromolecules 2011, 12, 3084–3090. [Google Scholar] [CrossRef] [PubMed]
- Kavanaugh, N.L.; Ribbeck, K. Selected Antimicrobial Essential Oils Eradicate Pseudomonas spp. and Staphylococcus aureus Biofilms. Appl. Environ. Microbiol. 2012, 78, 4057–4061. [Google Scholar] [CrossRef] [PubMed]
- Arzi, A.; Ahamehe, M.; Sarahroodi, S. Effect of hydroalcoholic extract of Lavandula officinalis on nicotine-induced convulsion in mice. Pak. J. Biol. Sci. 2011, 14, 634–640. [Google Scholar] [CrossRef][Green Version]
- Bardhan, M.; Kaushik, R. Physiology, Complement Cascade. In StatPearls; StatPearls Publishing: Treasure Island, FL, USA, 2023. [Google Scholar]
- West, E.E.; Kemper, C. Complosome—The intracellular complement system. Nat. Rev. Nephrol. 2023, 19, 426–439. [Google Scholar] [CrossRef] [PubMed]
- Warwick, C.A.; Keyes, A.L.; Woodruff, T.M.; Usachev, Y.M. The complement cascade in the regulation of neuroinflammation, nociceptive sensitization, and pain. J. Biol. Chem. 2021, 297, 101085. [Google Scholar] [CrossRef] [PubMed]
- Xu, Z.; Hou, X.-F.; Feng, C.-M.; Zheng, L.; Xu, D.-X.; Zhao, H.; Fu, L. The association between serum complement C3a and severity in patients with community-acquired pneumonia. Front. Immunol. 2023, 14, 1034233. [Google Scholar] [CrossRef] [PubMed]
- Chaudhary, P.; Janmeda, P.; Docea, A.O.; Yeskaliyeva, B.; Razis, A.F.A.; Modu, B.; Calina, D.; Sharifi-Rad, J. Oxidative stress, free radicals and antioxidants: Potential crosstalk in the pathophysiology of human diseases. Front. Chem. 2023, 11, 1158198. [Google Scholar] [CrossRef]
- Girón, S.H.; Sanz, J.M.; Ortega, M.A.; Garcia-Montero, C.; Fraile-Martínez, O.; Gómez-Lahoz, A.M.; Boaru, D.L.; de Leon-Oliva, D.; Guijarro, L.G.; Atienza-Perez, M.; et al. Prognostic Value of Malondialdehyde (MDA) in the Temporal Progression of Chronic Spinal Cord Injury. J. Pers. Med. 2023, 13, 626. [Google Scholar] [CrossRef]
- Husain, S.; Hillmann, K.; Hengst, K.; Englert, H. Effects of a lifestyle intervention on the biomarkers of oxidative stress in non-communicable diseases: A systematic review. Front. Aging 2023, 4, 1085511. [Google Scholar] [CrossRef]
- Lu, J.; Guan, S.; Luo, J.; Yuan, J.; Yan, J.; Yang, C.; Tong, Q. Levels of oxidative stress in patients with neoadjuvant chemotherapy for gastric cancer: Correlation with treatment response. Front. Oncol. 2023, 13, 1192192. [Google Scholar] [CrossRef] [PubMed]
- van Loo, G.; Bertrand, M.J.M. Death by TNF: A road to inflammation. Nat. Rev. Immunol. 2023, 23, 289–303. [Google Scholar] [CrossRef]
- Montero-Blay, A.; Blanco, J.D.; Rodriguez-Arce, I.; Lastrucci, C.; Piñero-Lambea, C.; Lluch-Senar, M.; Serrano, L. Bacterial expression of a designed single-chain IL-10 prevents severe lung inflammation. Mol. Syst. Biol. 2023, 19, e11037. [Google Scholar] [CrossRef] [PubMed]
- York, A.G.; Skadow, M.H.; Qu, R.; Oh, J.; Mowel, W.K.; Brewer, J.R.; Kaffe, E.; Williams, K.J.; Kluger, Y.; Crawford, J.M.; et al. IL-10 constrains sphingolipid metabolism via fatty acid desaturation to limit inflammation. bioRxiv 2023. [Google Scholar] [CrossRef]








| Sample Code | SA/PITAU (wt/wt) | SA/PA (wt/wt) |
|---|---|---|
| SA_PITAU1 | 0.3:1 | 6:1 |
| SA_PITAU2 | 0.45:1 | 6:1 |
| SA_PITAU3 | 0.6:1 | 6:1 |
| Sample Code | SA/PITAU (wt/wt) | LVO (wt%) | EE% | LC% | Radical Scavenging Capacity (%) |
|---|---|---|---|---|---|
| SA_PITAU3+LVO5% | 0.6:1 | 5 | 83.74 | 33.33 | 3.5 ± 0.02 |
| SA_PITAU3+LVO10% | 0.6:1 | 10 | 88.11 | 50.44 | 3.9 ± 0.012 |
| SA_PITAU3+LVO15% | 0.6:1 | 15 | 87.06 | 58.11 | 6.6 ± 0.015 |
| TR (min) | Compounds | Area % | TR (min) | Compounds | Area % |
|---|---|---|---|---|---|
| 8.103 | α-pinene | 0.74 | 12.523 | 4-terpineol | 4.89 |
| 8.436 | Camphene | 1.20 | 12.621 | Crypton | 0.52 |
| 8.965 | β-pinene | 0.60 | 12.774 | α-terpineol | 7.31 |
| 9.091 | 3-octanone | 3.06 | 13.161 | Nerol | 2.59 |
| 9.162 | β-myrcene | 2.94 | 13.472 | Linalyl acetate | 6.77 |
| 9.549 | Hexyl acetate | 1.07 | 13.614 | Geraniol | 3.17 |
| 9.822 | p-cymene | 0.61 | 13.985 | Lavandulyl acetate | 4.74 |
| 9.909 | Limonene | 1.95 | 14.061 | Bornyl acetate | 0.64 |
| 9.980 | 1,8-Cineole | 5.75 | 15.136 | Neryl acetate | 6.58 |
| 10.182 | Trans-β-ocimene | 2.23 | 16.162 | β-caryophyllene | 5.55 |
| 10.406 | γ-terpinene | 0.55 | 16.686 | β-farnesene | 0.91 |
| 10.635 | Linalool oxide | 1.69 | 17.101 | germacren-D | 1.11 |
| 10.875 | Linalool | 17.71 | 18.814 | Caryophyllene oxide | 1.57 |
| 11.999 | Camphor | 1.11 | Other compounds (area < 0.5%) | 8.36 | |
| 12.184 | Lavandulol | 0.95 | |||
| 12.408 | Borneol | 3.13 | |||
| Samples | Antimicrobial Activity (mm) | ||
|---|---|---|---|
| S. aureus | E. coli | C. albicans | |
| Control (SA_PITAU3) | 11.65 ± 0.21 | 9.00 ± 1.13 | 10.20 ± 0.42 |
| SA_PITAU3+LVO5% | 13.30 ± 1.69 | 12.60 ± 0.70 | 14.65 ± 1.62 |
| SA_PITAU3+LVO10% | 18.90 ± 1.69 | 15.10 ± 1.55 | 20.25 ± 2.47 |
| SA_PITAU3+LVO15% | 14.10 ± 2.26 | - | 11.00 ± 0.70 |
Disclaimer/Publisher’s Note: The statements, opinions and data contained in all publications are solely those of the individual author(s) and contributor(s) and not of MDPI and/or the editor(s). MDPI and/or the editor(s) disclaim responsibility for any injury to people or property resulting from any ideas, methods, instructions or products referred to in the content. |
© 2023 by the authors. Licensee MDPI, Basel, Switzerland. This article is an open access article distributed under the terms and conditions of the Creative Commons Attribution (CC BY) license (https://creativecommons.org/licenses/by/4.0/).
Share and Cite
Rusu, A.G.; Niță, L.E.; Roșca, I.; Croitoriu, A.; Ghilan, A.; Mititelu-Tarțău, L.; Grigoraș, A.V.; Crețu, B.-E.-B.; Chiriac, A.P. Alginate-Based Hydrogels Enriched with Lavender Essential Oil: Evaluation of Physicochemical Properties, Antimicrobial Activity, and In Vivo Biocompatibility. Pharmaceutics 2023, 15, 2608. https://doi.org/10.3390/pharmaceutics15112608
Rusu AG, Niță LE, Roșca I, Croitoriu A, Ghilan A, Mititelu-Tarțău L, Grigoraș AV, Crețu B-E-B, Chiriac AP. Alginate-Based Hydrogels Enriched with Lavender Essential Oil: Evaluation of Physicochemical Properties, Antimicrobial Activity, and In Vivo Biocompatibility. Pharmaceutics. 2023; 15(11):2608. https://doi.org/10.3390/pharmaceutics15112608
Chicago/Turabian StyleRusu, Alina Gabriela, Loredana Elena Niță, Irina Roșca, Alexandra Croitoriu, Alina Ghilan, Liliana Mititelu-Tarțău, Aurica Valentin Grigoraș, Bianca-Elena-Beatrice Crețu, and Aurica P. Chiriac. 2023. "Alginate-Based Hydrogels Enriched with Lavender Essential Oil: Evaluation of Physicochemical Properties, Antimicrobial Activity, and In Vivo Biocompatibility" Pharmaceutics 15, no. 11: 2608. https://doi.org/10.3390/pharmaceutics15112608
APA StyleRusu, A. G., Niță, L. E., Roșca, I., Croitoriu, A., Ghilan, A., Mititelu-Tarțău, L., Grigoraș, A. V., Crețu, B.-E.-B., & Chiriac, A. P. (2023). Alginate-Based Hydrogels Enriched with Lavender Essential Oil: Evaluation of Physicochemical Properties, Antimicrobial Activity, and In Vivo Biocompatibility. Pharmaceutics, 15(11), 2608. https://doi.org/10.3390/pharmaceutics15112608

