Stability Study of Alpinia galanga Constituents and Investigation of Their Membrane Permeability by ChemGPS-NP and the Parallel Artificial Membrane Permeability Assay
Abstract
:1. Introduction
2. Materials and Methods
2.1. Plant Material
2.2. Solvents and Chemicals
2.3. Ultra High Performance Liquid Chromatography with Diode-Array Detection
2.4. Ultra High Performance Liquid Chromatography High-Resolution Mass Spectrometry Analyses
2.5. Stability Analyses
2.6. Nuclear Magnetic Resonance Spectroscopy
2.7. Parallel Artificial Membrane Permeability Assay
2.8. Cheminformatics
3. Results
3.1. PAMPA-GI and Stability Analyses of the Extract
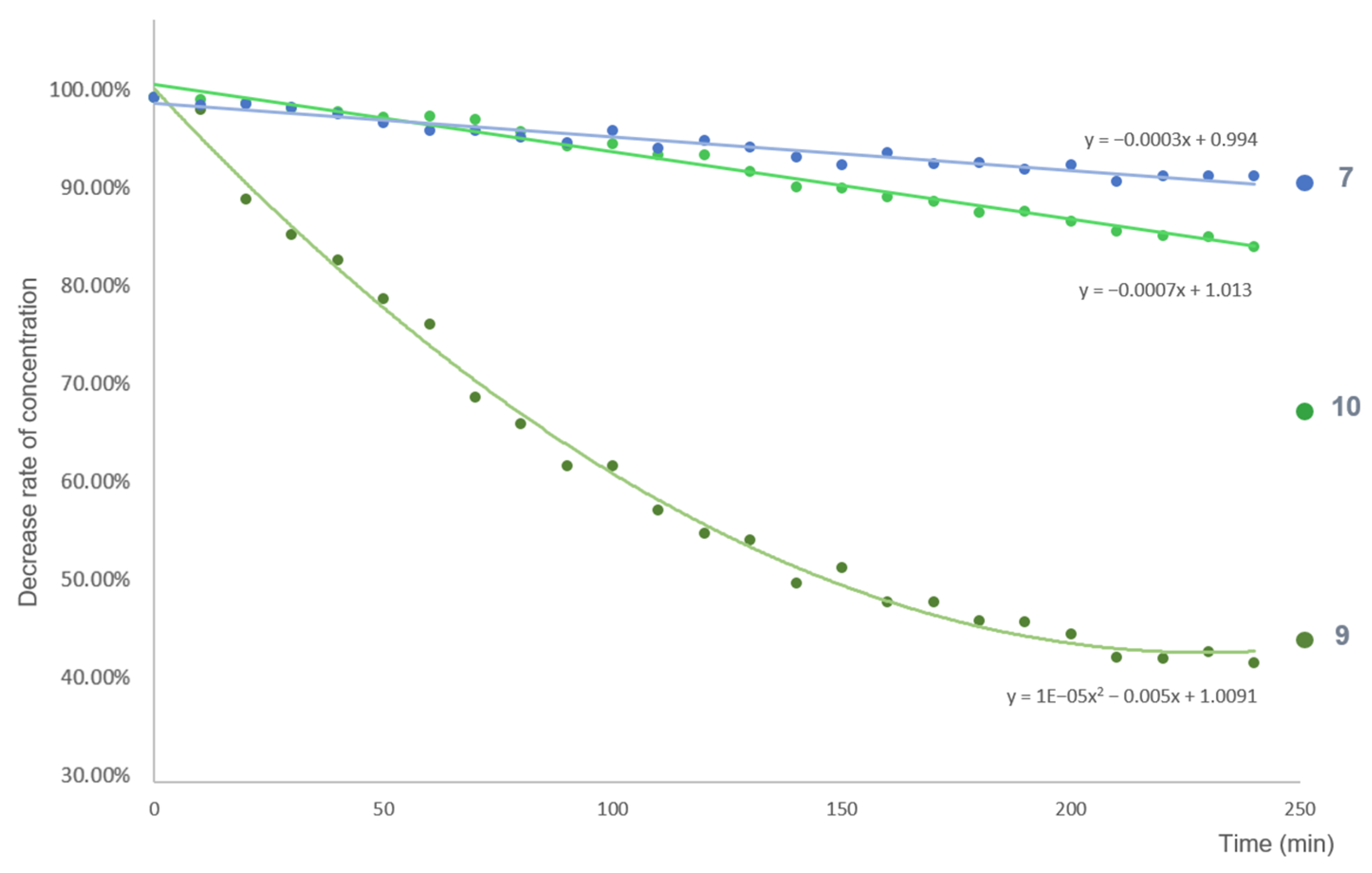
3.2. Stability Analyses
3.3. PAMPA-BBB
3.4. ChemGPS-NP Framework
4. Discussion
4.1. Molecular Structures and Stability Analyses
4.2. PAMPA-BBB
4.3. ChemGPS-NP Framework
5. Conclusions
Supplementary Materials
Author Contributions
Funding
Institutional Review Board Statement
Informed Consent Statement
Data Availability Statement
Acknowledgments
Conflicts of Interest
References
- Chouni, A.; Paul, S. A Review on Phytochemical and Pharmacological Potential of Alpinia galanga. Pharmacogn. J. 2017, 10, 09–15. [Google Scholar] [CrossRef]
- Kaushik, D.; Yadav, J.; Kaushik, P.; Sacher, D.; Rani, R. Current Pharmacological and Phytochemical Studies of the Plant Alpinia galanga. Zhong Xi Yi Jie He Xue Bao = J. Chin. Integr. Med. 2011, 9, 1061–1065. [Google Scholar] [CrossRef] [PubMed]
- Rao, K.; Ch, B.; Narasu, L.M.; Giri, A. Antibacterial Activity of Alpinia galanga (L) Willd Crude Extracts. Appl. Biochem. Biotechnol. 2010, 162, 871–884. [Google Scholar] [CrossRef] [PubMed]
- Zhang, D.; Zou, L.; Wu, D.-T.; Zhuang, Q.-G.; Li, H.-B.; Mavumengwana, V.; Corke, H.; Gan, R.-Y. Discovery of 1’-acetoxychavicol acetate (ACA) as a Promising Antibacterial Compound from Galangal (Alpinia galanga (Linn.) Willd). Ind. Crops Prod. 2021, 171, 113883. [Google Scholar] [CrossRef]
- Yasuhara, T.; Manse, Y.; Morimoto, T.; Qilong, W.; Matsuda, H.; Yoshikawa, M.; Muraoka, O. Acetoxybenzhydrols as Highly Active and Stable Analogues of 1′S-1′-acetoxychavicol, a Potent Antiallergic Principal from Alpinia galanga. Bioorg. Med. Chem. Lett. 2009, 19, 2944–2946. [Google Scholar] [CrossRef] [PubMed]
- Akhtar, M.S.; Khan, M.A.; Malik, M.T. Hypoglycaemic Activity of Alpinia galanga Rhizome and its Extracts in Rabbits. Fitoterapia 2002, 73, 623–628. [Google Scholar] [CrossRef]
- Ghosh, A.; Banerjee, M.; Bhattacharyya, N. Anti-inflammatory Activity of Root of Alpinia galanga willd. Chron. Young Sci. 2011, 2, 139. [Google Scholar] [CrossRef]
- Matsuda, H.; Pongpiriyadacha, Y.; Morikawa, T.; Ochi, M.; Yoshikawa, M. Gastroprotective Effects of Phenylpropanoids from the Rhizomes of Alpinia galanga in Rats: Structural Requirements and Mode of Action. Eur. J. Pharmacol. 2003, 471, 59–67. [Google Scholar] [CrossRef]
- Chan, E.W.C.; Ng, V.P.; Tan, V.V.; Low, Y.Y. Antioxidant and Antibacterial Properties of Alpinia galanga, Curcuma longa, and Etlingera elatior (Zingiberaceae). Pharmacogn. J. 2011, 3, 54–61. [Google Scholar] [CrossRef]
- Jayasingh Chellammal, H.S.; Veerachamy, A.; Ramachandran, D.; Gummadi, S.B.; Manan, M.M.; Yellu, N.R. Neuroprotective Effects of 1′δ-1′-acetoxyeugenol-acetate on Aβ(25–35) Induced Cognitive Dysfunction in Mice. Biomed. Pharmacother. 2019, 109, 1454–1461. [Google Scholar] [CrossRef]
- Morikawa, T.; Ando, S.; Matsuda, H.; Kataoka, S.; Muraoka, O.; Yoshikawa, M. Inhibitors of Nitric Oxide Production from the Rhizomes of Alpinia galanga: Structures of New 8-9′ Linked Neolignans and Sesquineolignan. Chem. Pharm. Bull. 2005, 53, 625–630. [Google Scholar] [CrossRef] [PubMed]
- Hanish Singh, J.C.; Alagarsamy, V.; Sathesh Kumar, S.; Narsimha Reddy, Y. Neurotransmitter Metabolic Enzymes and Antioxidant Status on Alzheimer’s Disease Induced Mice Treated with Alpinia galanga (L.) Willd. Phytother. Res. 2011, 25, 1061–1067. [Google Scholar] [CrossRef] [PubMed]
- Kojima-Yuasa, A.; Tomiyama, T.; Umeda, T.; Sakai, A.; Matsui-Yuasa, I. Preventive Effect of Dementia on the Extract of Alpinia Galanga (P14-016-19). Curr. Dev. Nutr. 2019, 3, nzz052.P14-016-19. [Google Scholar] [CrossRef]
- Saha, S.; Banerjee, S. Central Nervous System Stimulant Actions of Alpinia galanga (L.) Rhizome: A Preliminary Study. Indian J. Exp. Biol. 2013, 51, 828–832. [Google Scholar] [PubMed]
- Srivastava, S. Selective Enhancement of Focused Attention by Alpinia galanga in Subjects with Moderate Caffeine Consumption. Open Access J. Clin. Trials 2018, 10, 43–49. [Google Scholar] [CrossRef]
- Könczöl, Á.; Müller, J.; Földes, E.; Béni, Z.; Végh, K.; Kéry, Á.; Balogh, G.T. Applicability of a Blood–Brain Barrier Specific Artificial Membrane Permeability Assay at the Early Stage of Natural Product-Based CNS Drug Discovery. J. Nat. Prod. 2013, 76, 655–663. [Google Scholar] [CrossRef]
- Simon, A.; Darcsi, A.; Kéry, Á.; Riethmüller, E. Blood-brain Barrier Permeability Study of Ginger Constituents. J. Pharm. Biomed. Anal. 2020, 177, 112820. [Google Scholar] [CrossRef] [PubMed]
- Könczöl, Á.; Rendes, K.; Dékány, M.; Müller, J.; Riethmüller, E.; Balogh, G.T. Blood-brain barrier specific permeability assay reveals N-methylated tyramine derivatives in standardised leaf extracts and herbal products of Ginkgo biloba. J. Pharm. Biomed. Anal. 2016, 131, 167–174. [Google Scholar] [CrossRef]
- Ayanlowo, A.G.; Garádi, Z.; Boldizsár, I.; Darcsi, A.; Nedves, A.N.; Varjas, B.; Simon, A.; Alberti, Á.; Riethmüller, E. UHPLC-DPPH Method Reveals Antioxidant Tyramine and Octopamine Derivatives in Celtis occidentalis. J. Pharm. Biomed. Anal. 2020, 191, 113612. [Google Scholar] [CrossRef]
- Végh, K.; Riethmüller, E.; Hosszú, L.; Darcsi, A.; Müller, J.; Alberti, Á.; Tóth, A.; Béni, S.; Könczöl, Á.; Balogh, G.T.; et al. Three Newly Identified Lipophilic Flavonoids in Tanacetum parthenium Supercritical Fluid Extract Penetrating the Blood-Brain Barrier. J. Pharm. Biomed. Anal. 2018, 149, 488–493. [Google Scholar] [CrossRef] [PubMed]
- Avdeef, A. Permeability-PAMPA. In Absorption and Drug Development; John Wiley & Sons, Inc.: Hoboken, NJ, USA, 2012; pp. 319–498. [Google Scholar]
- Larsson, J.; Gottfries, J.; Muresan, S.; Backlund, A. ChemGPS-NP: Tuned for Navigation in Biologically Relevant Chemical Space. J. Nat. Prod. 2007, 70, 789–794. [Google Scholar] [CrossRef] [PubMed]
- Larsson, J.; Gottfries, J.; Bohlin, L.; Backlund, A. Expanding the ChemGPS Chemical Space with Natural Products. J. Nat. Prod. 2005, 68, 985–991. [Google Scholar] [CrossRef] [PubMed]
- Rosén, J.; Lövgren, A.; Kogej, T.; Muresan, S.; Gottfries, J.; Backlund, A. ChemGPS-NP(Web): Chemical Space Navigation Online. J. Comput. Aided Mol. Des. 2009, 23, 253–259. [Google Scholar] [CrossRef]
- ChemGPS-NP. Available online: https://chemgps.bmc.uu.se/batchelor/ (accessed on 10 May 2022).
- Viklund, L. ChemGPS-NP as a Tool for Predicting Drug Distribution across the Blood-Brain Barrier. Master’s Thesis, Uppsala University, Uppsala, Sweden, 2010. [Google Scholar]
- Buonfiglio, R.; Engkvist, O.; Várkonyi, P.; Henz, A.; Vikeved, E.; Backlund, A.; Kogej, T. Investigating Pharmacological Similarity by Charting Chemical Space. J. Chem. Inf. Model. 2015, 55, 2375–2390. [Google Scholar] [CrossRef] [PubMed]
- Shataer, D.; Abdulla, R.; Ma, Q.L.; Liu, G.Y.; Aisa, H.A. Chemical Composition of Extract of Corylus avellana Shells. Chem. Nat. Compd. 2020, 56, 338–340. [Google Scholar] [CrossRef]
- Ly, T.N.; Shimoyamada, M.; Kato, K.; Yamauchi, R. Isolation and Characterization of Some Antioxidative Compounds from the Rhizomes of Smaller Galanga (Alpinia officinarum Hance). J. Agric. Food Chem. 2003, 51, 4924–4929. [Google Scholar] [CrossRef] [PubMed]
- Yang, X.; Eilerman, R.G. Pungent Principal of Alpinia galanga (L.) swartz and its Applications. J. Agric. Food Chem. 1999, 47, 1657–1662. [Google Scholar] [CrossRef] [PubMed]
- San, T.T.; Wang, Y.-H.; Hu, D.-B.; Yang, J.; Zhang, D.-D.; Xia, M.-Y.; Yang, X.-F.; Yang, Y.-P. A New Sesquineolignan and Four New Neolignans Isolated from the Leaves of Piper Betle, a Traditional Medicinal Plant in Myanmar. Bioorg. Med. Chem. Lett. 2021, 31, 127682. [Google Scholar] [CrossRef]
- Pengsook, A.; Puangsomchit, A.; Yooboon, T.; Bullangpoti, V.; Pluempanupat, W. Insecticidal Activity of Isolated Phenylpropanoids from Alpinia galanga Rhizomes against Spodoptera litura. Nat. Prod. Res. 2021, 35, 5261–5265. [Google Scholar] [CrossRef] [PubMed]
- Liu, M.; Veryser, C.; Lu, J.-G.; Wenseleers, T.; De Borggraeve, W.M.; Jiang, Z.-H.; Luyten, W. Bioassay-guided Isolation of Active Substances from Semen Torreyae Identifies Two New Anthelmintic Compounds with Novel Mechanism of Action. J. Ethnopharmacol. 2018, 224, 421–428. [Google Scholar] [CrossRef]
- Hanish Singh, J.C.; Alagarsamy, V.; Diwan, P.V.; Sathesh Kumar, S.; Nisha, J.C.; Narsimha Reddy, Y. Neuroprotective Effect of Alpinia galanga (L.) Fractions on Aβ(25–35) Induced Amnesia in Mice. J. Ethnopharmacol. 2011, 138, 85–91. [Google Scholar] [CrossRef] [PubMed]










| Compound | PAMPA-BBB | ChemGPS-NP |
|---|---|---|
| p-OH-benzaldehyde (1) | + | + |
| trans-p-coumaryl-alcohol (2) | + | + |
| cis-p-coumaryl-alcohol (3a) | n.i. | + |
| and (S)-4-(1-hydroxyallyl)phenol (3b) | n.i. | + |
| p-coumaryl-aldehyde (4) | + | + |
| galanganol A (5) | − | − |
| galanganol B (6) | − | − |
| trans-p-acetoxycinnamyl alcohol (7) | (+) * | + |
| cis-p-acetoxycinnamyl alcohol (8a) | n.i. | + |
| 1′S-1′-hydroxychavicol acetate (8b) | n.i. | + |
| 1′S-1′-acetoxychavicol acetate (9) | (+) * | + |
| trans-p-coumaryl diacetate (9a) | n.i. | + |
| 1′S-1′-acetoxyeugenol acetate (10) | (+) * | + |
| p-coniferyl-alcohol (11) | n.i. | + |
| cis-p-coniferyl-alcohol (12a) | n.i. | + |
| (S)-4-(1-Hydroxybut-3-enyl)-2-methoxyphenol (12b) | n.i. | + |
| 3-(4-acetoxy-3-methoxyphenyl)-2-propen-1-ol (13) | n.i. | + |
| cis-3-(4-acetoxy-3-methoxyphenyl)-2-propen-1-ol (14a) | n.i. | + |
| 1′S-1′-hydroxyeugenol acetate (14b) | n.i. | + |
| Compounds | Closest Reference Compounds (ED) |
|---|---|
| p-coumaryl-alcohol (2/3a) | 4-fluoroamphetamine (0.94) 3,4-methylenedioxyamphetamine (0.83) methcathinone (0.99) |
| 3-(4-acetoxy-3-methoxyphenyl)-2-propen-1-ol (13) | pentylone (0.91) |
| p-coniferyl-alcohol (11) | 3,4-methylenedioxyamphetamine (0.99) |
| 4-(1-Hydroxybut-3-enyl)-2-methoxyphenol (12b) | pentylone (1.00) |
| 1′-hydroxyeugenol acetate (14b) | 3,4-methylenedioxyamphetamine (0.83) |
| 4-(1-hydroxyallyl)phenol (3b) | methcathinone (0.9) |
Publisher’s Note: MDPI stays neutral with regard to jurisdictional claims in published maps and institutional affiliations. |
© 2022 by the authors. Licensee MDPI, Basel, Switzerland. This article is an open access article distributed under the terms and conditions of the Creative Commons Attribution (CC BY) license (https://creativecommons.org/licenses/by/4.0/).
Share and Cite
Simon, A.; Nghiem, K.S.; Gampe, N.; Garádi, Z.; Boldizsár, I.; Backlund, A.; Darcsi, A.; Nedves, A.N.; Riethmüller, E. Stability Study of Alpinia galanga Constituents and Investigation of Their Membrane Permeability by ChemGPS-NP and the Parallel Artificial Membrane Permeability Assay. Pharmaceutics 2022, 14, 1967. https://doi.org/10.3390/pharmaceutics14091967
Simon A, Nghiem KS, Gampe N, Garádi Z, Boldizsár I, Backlund A, Darcsi A, Nedves AN, Riethmüller E. Stability Study of Alpinia galanga Constituents and Investigation of Their Membrane Permeability by ChemGPS-NP and the Parallel Artificial Membrane Permeability Assay. Pharmaceutics. 2022; 14(9):1967. https://doi.org/10.3390/pharmaceutics14091967
Chicago/Turabian StyleSimon, Alexandra, Kim Szofi Nghiem, Nóra Gampe, Zsófia Garádi, Imre Boldizsár, Anders Backlund, András Darcsi, Andrea Nagyné Nedves, and Eszter Riethmüller. 2022. "Stability Study of Alpinia galanga Constituents and Investigation of Their Membrane Permeability by ChemGPS-NP and the Parallel Artificial Membrane Permeability Assay" Pharmaceutics 14, no. 9: 1967. https://doi.org/10.3390/pharmaceutics14091967
APA StyleSimon, A., Nghiem, K. S., Gampe, N., Garádi, Z., Boldizsár, I., Backlund, A., Darcsi, A., Nedves, A. N., & Riethmüller, E. (2022). Stability Study of Alpinia galanga Constituents and Investigation of Their Membrane Permeability by ChemGPS-NP and the Parallel Artificial Membrane Permeability Assay. Pharmaceutics, 14(9), 1967. https://doi.org/10.3390/pharmaceutics14091967

