Folate-Modified Chitosan 5-Flourouraci Nanoparticles-Embedded Calcium Alginate Beads for Colon Targeted Delivery
Abstract
:1. Introduction
2. Materials and Methods
2.1. Materials
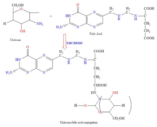
2.2. Conjugation of Folate–Chitosan (FA-CS)
2.3. Characterization of CS-FA Conjugate
2.3.1. Fourier Transform Infrared Spectroscopy
2.3.2. Determination of Folic Acid (FA) Content
2.4. Preparation of Nanoparticles (NPs)
2.5. Characterization of Nanoparticles
Size and Zeta Potential
2.6. Preparation of Nanoparticles Embedded in Calcium Alginate Beads
2.7. Characterization of Beads
2.7.1. ATR-FTIR Analysis of Beads
2.7.2. Bead Size and Shape
2.7.3. Surface Morphology
2.7.4. Determination of Drug Content, Yield, and % Entrapment Efficiency
2.7.5. Bead Swelling, Erosion, and Water Uptake
2.7.6. In Vitro Release of Beads
2.8. Pharmacokinetic Analysis
Blood Collection and HPLC Analysis
2.9. Biodistribution Studies
2.10. Data Analysis and Statistics
3. Results and Discussion
3.1. Conjugation of Folic Acid with Chitosan
3.2. Preparation of FA-CS-5FU-NPs
3.3. Beads Encapsulation of FA-CS-5FU-NPs
3.4. Characterization of Prepared Beads
3.4.1. FT-IR Study
3.4.2. Size, Shape and Surface Morphology
3.4.3. Entrapment Efficiency, Drug Content, and % Yield
3.4.4. Bead Swelling, Erosion, and Water Uptake
3.4.5. In Vitro Drug Release Study
3.5. In Vivo Pharmacokinetic (PK) Study
3.6. Biodistribution Studies
4. Conclusions
Author Contributions
Funding
Institutional Review Board Statement
Informed Consent Statement
Data Availability Statement
Acknowledgments
Conflicts of Interest
References
- Nivethaa, E.A.K.; Dhanavel, S.; Narayanan, V.; Vasu, C.A.; Stephen, A. An in vitro cytotoxicity study of 5-fluorouracil encapsulated chitosan/gold nanocomposites towards MCF-7 cells. RSC Adv. 2015, 5, 1024–1032. [Google Scholar] [CrossRef]
- Gabizon, A.; Horowitz, A.T.; Goren, D.; Tzemach, D.; Shmeeda, H.; Zalipsky, S. In vivo fate of folate-targeted polyethylene-glycol liposomes in tumor-bearing mice. Clin. Cancer Res. 2003, 9, 6551–6559. [Google Scholar] [PubMed]
- Wang, Y.; Li, P.; Chen, L.; Gao, W.; Zeng, F.; Kong, L. Targeted delivery of 5-fluorouracil to HT-29 cells using high efficient folic acid-conjugated nanoparticles. Drug Deliv. 2015, 22, 191–198. [Google Scholar] [CrossRef] [PubMed]
- Jurczyk, M.; Jelonek, K.; Musiał-Kulik, M.; Beberok, A.; Wrześniok, D.; Kasperczyk, J. Single-versus dual-targeted nanoparticles with folic acid and biotin for anticancer drug delivery. Pharmaceutics 2021, 13, 326. [Google Scholar] [CrossRef]
- Moghimipour, E.; Rezaei, M.; Ramezani, Z.; Kouchak, M.; Amini, M.; Angali, K.A.; Dorkoosh, F.A.; Handali, S. Folic acid-modified liposomal drug delivery strategy for tumor targeting of 5-fluorouracil. Eur. J. Pharm. Sci. 2018, 114, 166–174. [Google Scholar] [CrossRef]
- Zhang, Y.; Li, J.; Lang, M.; Tang, X.; Li, L.; Shen, X. Folate-functionalized nanoparticles for controlled 5-Fluorouracil delivery. J. Colloid Interface Sci. 2011, 354, 202–209. [Google Scholar] [CrossRef]
- Kanamala, M.; Wilson, W.R.; Yang, M.; Palmer, B.D.; Wu, Z. Mechanisms and biomaterials in pH-responsive tumour targeted drug delivery: A review. Biomaterials 2016, 85, 152–167. [Google Scholar] [CrossRef]
- Yu, C.-Y.; Yin, B.-C.; Zhang, W.; Cheng, S.-X.; Zhang, X.-Z.; Zhuo, R.-X. Composite microparticle drug delivery systems based on chitosan, alginate and pectin with improved pH-sensitive drug release property. Colloids Surf. B Biointerfaces 2009, 68, 245–249. [Google Scholar] [CrossRef]
- Manivasagan, P.; Bharathiraja, S.; Bui, N.Q.; Jang, B.; Oh, Y.-O.; Lim, I.G.; Oh, J. Doxorubicin-loaded fucoidan capped gold nanoparticles for drug delivery and photoacoustic imaging. Int. J. Biol. Macromol. 2016, 91, 578–588. [Google Scholar] [CrossRef]
- Bhunchu, S.; Rojsitthisak, P. Biopolymeric alginate-chitosan nanoparticles as drug delivery carriers for cancer therapy. Die Pharm. 2014, 69, 563–570. [Google Scholar]
- López-Hortas, L.; Domínguez, H.; Torres, M.D. Valorisation of edible brown seaweeds by the recovery of bioactive compounds from aqueous phase using MHG to develop innovative hydrogels. Process Biochem. 2019, 78, 100–107. [Google Scholar] [CrossRef]
- Li, J.; Kim, S.Y.; Chen, X.; Park, H.J. Calcium-alginate beads loaded with gallic acid: Preparation and characterization. LWT 2016, 68, 667–673. [Google Scholar] [CrossRef]
- Silva, C.M.; Ribeiro, A.; Figueiredo, I.V.; Gonçalves, A.R.; Veiga, F. Alginate microspheres prepared by internal gelation: Development and effect on insulin stability. Int. J. Pharm. 2006, 311, 1–10. [Google Scholar] [CrossRef] [Green Version]
- Alfatama, M.; Lim, L.Y.; Wong, T.W. Alginate–C18 Conjugate Nanoparticles Loaded in Tripolyphosphate-Cross-Linked Chitosan–Oleic Acid Conjugate-Coated Calcium Alginate Beads as Oral Insulin Carrier. Mol. Pharm. 2018, 15, 3369–3382. [Google Scholar] [CrossRef]
- Ishak, R.A.H.; Awad, G.A.S.; Mortada, N.D.; Nour, S.A.K. Preparation, in vitro and in vivo evaluation of stomach-specific metronidazole-loaded alginate beads as local anti-Helicobacter pylori therapy. J. Control. Release 2007, 119, 207–214. [Google Scholar] [CrossRef]
- Arora, S.; Gupta, S.; Narang, R.K.; Budhiraja, R.D. Amoxicillin Loaded Chitosan–Alginate Polyelectrolyte Complex Nanoparticles as Mucopenetrating Delivery System for H. Pylori. Sci. Pharm. 2011, 79, 673–694. [Google Scholar] [CrossRef] [Green Version]
- Zhang, J.; Wang, Q.; Wang, A. In situ generation of sodium alginate/hydroxyapatite nanocomposite beads as drug-controlled release matrices. Acta Biomater. 2010, 6, 445–454. [Google Scholar] [CrossRef]
- Zewail, M. Folic acid decorated chitosan-coated solid lipid nanoparticles for the oral treatment of rheumatoid arthritis. Ther. Deliv. 2021, 12, 297–310. [Google Scholar] [CrossRef]
- Salar, R.K.; Kumar, N. Chitosan Nanoparticles as Carrier for Anticancer Drugs: An Overview. In Advances in Animal Biotechnology and Its Applications; Springer: Cham, Switzerland, 2018; pp. 119–142. [Google Scholar] [CrossRef]
- Chachuli, S.H.M.; Nawaz, A.; Shah, K.; Naharudin, I.; Wong, T.W. In Vitro Investigation of Influences of Chitosan Nanoparticles on Fluorescein Permeation into Alveolar Macrophages. Pharm. Res. 2016, 33, 1497–1508. [Google Scholar] [CrossRef]
- Mandal, S.; Kumar, S.S.; Krishnamoorthy, B.; Basu, S.K. Development and evaluation of calcium alginate beads prepared by sequential and simultaneous methods. Braz. J. Pharm. Sci. 2010, 46, 785–793. [Google Scholar] [CrossRef]
- Zhang, Q.; Hou, B.; Li, Y.; Zhu, G.; Liu, H.; Zhang, G. Two novel chitosan derivatives as high efficient eco-friendly inhibitors for the corrosion of mild steel in acidic solution. Corros. Sci. 2020, 164, 108346. [Google Scholar] [CrossRef]
- Ravi, P.R.; Ganga, S.; Saha, R.N. Design and study of lamivudine oral controlled release tablets. AAPS PharmSciTech 2007, 8, 167–175. [Google Scholar] [CrossRef]
- De Mattos, A.C.; Altmeyer, C.; Tominaga, T.T.; Khalil, N.M.; Mainardes, R.M. Polymeric nanoparticles for oral delivery of 5-fluorouracil: Formulation optimization, cytotoxicity assay and pre-clinical pharmacokinetics study. Eur. J. Pharm. Sci. 2016, 84, 83–91. [Google Scholar] [CrossRef]
- Huang, Y.; Wei, Y.; Yang, H.; Pi, C.; Liu, H.; Ye, Y.; Zhao, L. A 5-fluorouracil-loaded floating gastroretentive hollow microsphere: Development, pharmacokinetic in rabbits, and biodistribution in tumor-bearing mice. Drug Des. Dev. Ther. 2016, 10, 997. [Google Scholar]
- Akinyelu, J.; Singh, M. Folate-tagged chitosan-functionalized gold nanoparticles for enhanced delivery of 5-fluorouracil to cancer cells. Appl. Nanosci. 2019, 9, 7–17. [Google Scholar] [CrossRef]
- Gandhi, A.; Jana, S.; Sen, K.K. In-vitro release of acyclovir loaded Eudragit RLPO® nanoparticles for sustained drug delivery. Int. J. Biol. Macromol. 2014, 67, 478–482. [Google Scholar] [CrossRef]
- Mauricio-Sánchez, R.A.; Salazar, R.; Luna-Bárcenas, J.G.; Mendoza-Galván, A. FTIR spectroscopy studies on the spontaneous neutralization of chitosan acetate films by moisture conditioning. Vib. Spectrosc. 2018, 94, 1–6. [Google Scholar] [CrossRef]
- Panigrahy, R.N.; Panda, S.K.; Veerareddy, P.R. Formulation and evaluation of stomach-specific novel gastro-retentive formulations of 5-fluorouracil for targeting gastric cancer. Int. J. Pharm. Sci. Rev. Res. 2018, 9, 3795–3803. [Google Scholar]
- Ullah, S.; Azad, A.K.; Nawaz, A.; Shah, K.U.; Iqbal, M.; Albadrani, G.M.; Al-Joufi, F.A.; Sayed, A.A.; Abdel-Daim, M.M. 5-Fluorouracil-Loaded Folic-Acid-Fabricated Chitosan Nanoparticles for Site-Targeted Drug Delivery Cargo. Polymers 2022, 14, 2010. [Google Scholar] [CrossRef]
- Li, J.; Jiang, C.; Lang, X.; Kong, M.; Cheng, X.; Liu, Y.; Feng, C.; Chen, X. Multilayer sodium alginate beads with porous core containing chitosan based nanoparticles for oral delivery of anticancer drug. Int. J. Biol. Macromol. 2016, 85, 1–8. [Google Scholar] [CrossRef]
- Martins, A.F.; Facchi, S.P.; Monteiro, J.P.; Nocchi, S.R.; da Silva, C.T.P.; Nakamura, C.V.; Girotto, E.M.; Rubira, A.F.; Muniz, E.C. Preparation and cytotoxicity of N,N,N-trimethyl chitosan/alginate beads containing gold nanoparticles. Int. J. Biol. Macromol. 2015, 72, 466–471. [Google Scholar] [CrossRef] [PubMed] [Green Version]
- Balaxi, M.; Nikolakakis, I.; Kachrimanis, K.; Malamataris, S. Combined Effects of Wetting, Drying, and Microcrystalline Cellulose Type on the Mechanical Strength and Disintegration of Pellets. J. Pharm. Sci. 2009, 98, 676–689. [Google Scholar] [CrossRef] [PubMed]
- Hamoudi, M.C.; Saunier, J.; Gueutin, C.; Fattal, E.; Bochot, A. Beads made of α-cyclodextrin and soybean oil: The drying method influences bead properties and drug release. Drug Dev. Ind. Pharm. 2013, 39, 1306–1314. [Google Scholar] [CrossRef] [PubMed]
- Kumari, K.; Kundu, P.P. Effect of drying processes and curing time of chitosan-lysine semi-IPN beads on chlorpheniramine maleate delivery. J. Microencapsul. 2009, 26, 54–62. [Google Scholar] [CrossRef] [PubMed]
- Flamminii, F.; Di Mattia, C.D.; Nardella, M.; Chiarini, M.; Valbonetti, L.; Neri, L.; Difonzo, G.; Pittia, P. Structuring alginate beads with different biopolymers for the development of functional ingredients loaded with olive leaves phenolic extract. Food Hydrocoll. 2020, 108, 105849. [Google Scholar] [CrossRef]
- Ling, H.W.; Lin, N.K. In Vitro Release Study of Freeze-Dried and Oven-Dried Microencapsulated Kenaf Seed Oil. Malays. J. Nutr. 2017, 23, 139–149. [Google Scholar]
- Seeli, D.S.; Prabaharan, M. Guar gum oleate-graft-poly(methacrylic acid) hydrogel as a colon-specific controlled drug delivery carrier. Carbohydr. Polym. 2017, 158, 51–57. [Google Scholar] [CrossRef]









| Beads | Size (mm) | Shape | |
|---|---|---|---|
| SF | AR | ||
| FA-CS-5FU-NP-Bf | 2.1 ± 0.07 | 0.16 ± 0.03 | 1.4 ± 1.01 |
| FA-CS-5FU-NP-Bo | 1.12 ± 0.2 | 0.17 ± 0.07 | 1.5 ± 1.2 |
| Types of Beads | Entrapment Efficiency (%) | Drug Content (%) | Yield (%) |
|---|---|---|---|
| FA-CS-5FU-NP-Bf | 96.2 ± 2.21 | 43 ± 2.03 | 86.5 |
| FA-CS-5FU-NP-Bo | 92 ± 2.43 | 38.5 ± 2.14 | 86.5 |
| PK Parameters | 5FU Solution | FA-CS-5FU-NPs | FA-CS-5FU-NP-B |
|---|---|---|---|
| Cmax (µg) | 14.03 ± 1.52 | 6.9 h ± 1.21 | 5.7 ± 0.71 |
| Tmax (h) | 1 h ± 0.17 | 9 h ± 0.94 | 12 ± 0.32 |
| T1/2 (h) | 0.27 ± 0.32 | 6.3 ± 0.12 | 7.7 ± 0.20 |
| Ke (1/h) | 2.5 ± 0.91 | 0.11 ± 0.31 | 0.09 ± 0.05 |
| Vd (L) | 0.9 ± 0.05 | 1.9 ± 0.02 | 2.1 ±0.01 |
| AUC 0–t (µg·h/mL) | 18.7 ± 0.65 | 64.1 ± 1.93 | 47 ± 1.11 |
Publisher’s Note: MDPI stays neutral with regard to jurisdictional claims in published maps and institutional affiliations. |
© 2022 by the authors. Licensee MDPI, Basel, Switzerland. This article is an open access article distributed under the terms and conditions of the Creative Commons Attribution (CC BY) license (https://creativecommons.org/licenses/by/4.0/).
Share and Cite
Ullah, S.; Nawaz, A.; Farid, A.; Latif, M.S.; Fareed, M.; Ghazanfar, S.; Galanakis, C.M.; Alamri, A.S.; Alhomrani, M.; Asdaq, S.M.B. Folate-Modified Chitosan 5-Flourouraci Nanoparticles-Embedded Calcium Alginate Beads for Colon Targeted Delivery. Pharmaceutics 2022, 14, 1366. https://doi.org/10.3390/pharmaceutics14071366
Ullah S, Nawaz A, Farid A, Latif MS, Fareed M, Ghazanfar S, Galanakis CM, Alamri AS, Alhomrani M, Asdaq SMB. Folate-Modified Chitosan 5-Flourouraci Nanoparticles-Embedded Calcium Alginate Beads for Colon Targeted Delivery. Pharmaceutics. 2022; 14(7):1366. https://doi.org/10.3390/pharmaceutics14071366
Chicago/Turabian StyleUllah, Shafi, Asif Nawaz, Arshad Farid, Muhammad Shahid Latif, Muhammad Fareed, Shakira Ghazanfar, Charis M. Galanakis, Abdulhakeem S. Alamri, Majid Alhomrani, and Syed Mohammed Basheeruddin Asdaq. 2022. "Folate-Modified Chitosan 5-Flourouraci Nanoparticles-Embedded Calcium Alginate Beads for Colon Targeted Delivery" Pharmaceutics 14, no. 7: 1366. https://doi.org/10.3390/pharmaceutics14071366
APA StyleUllah, S., Nawaz, A., Farid, A., Latif, M. S., Fareed, M., Ghazanfar, S., Galanakis, C. M., Alamri, A. S., Alhomrani, M., & Asdaq, S. M. B. (2022). Folate-Modified Chitosan 5-Flourouraci Nanoparticles-Embedded Calcium Alginate Beads for Colon Targeted Delivery. Pharmaceutics, 14(7), 1366. https://doi.org/10.3390/pharmaceutics14071366

