Fabrication and In Vitro/Vivo Evaluation of Drug Nanocrystals Self-Stabilized Pickering Emulsion for Oral Delivery of Quercetin
Abstract
:1. Introduction
2. Materials and Methods
2.1. Materials
2.2. Animals
2.3. Preparation and Characterization of Quercetin Nanocrystal
2.4. Preparation of QT–NSSPE
2.5. Experimental Design
2.6. Droplets Shape, Droplets Size and QT Content in QT–NSSPE Determination
2.7. Zeta Potential and Creaming Index
2.8. Characteristic of QT–NSSPE
2.8.1. Fluorescence Microscope (FM)
2.8.2. Scanning Electron Microscope (SEM)
2.8.3. Differential Scanning Calorimetry (DSC) and X-ray Powder Diffraction (XRD)
2.9. Stability of QT–NSSPE
2.10. In Vitro Release Study
2.11. Pharmacokinetic Study in Rats
2.12. Data and Statistical Analyses
3. Results and Discussions
3.1. Characterization of QT–NC
3.2. Optimization of QT–NSSPE Formulation
3.2.1. Fitting the Model to the Data
3.2.2. Response Surface Analysis through Polynomial Models
3.2.3. Optimization and Validation
3.3. The Morphologies of QT–NSSPE
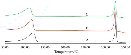
3.4. DSC
3.5. XRD
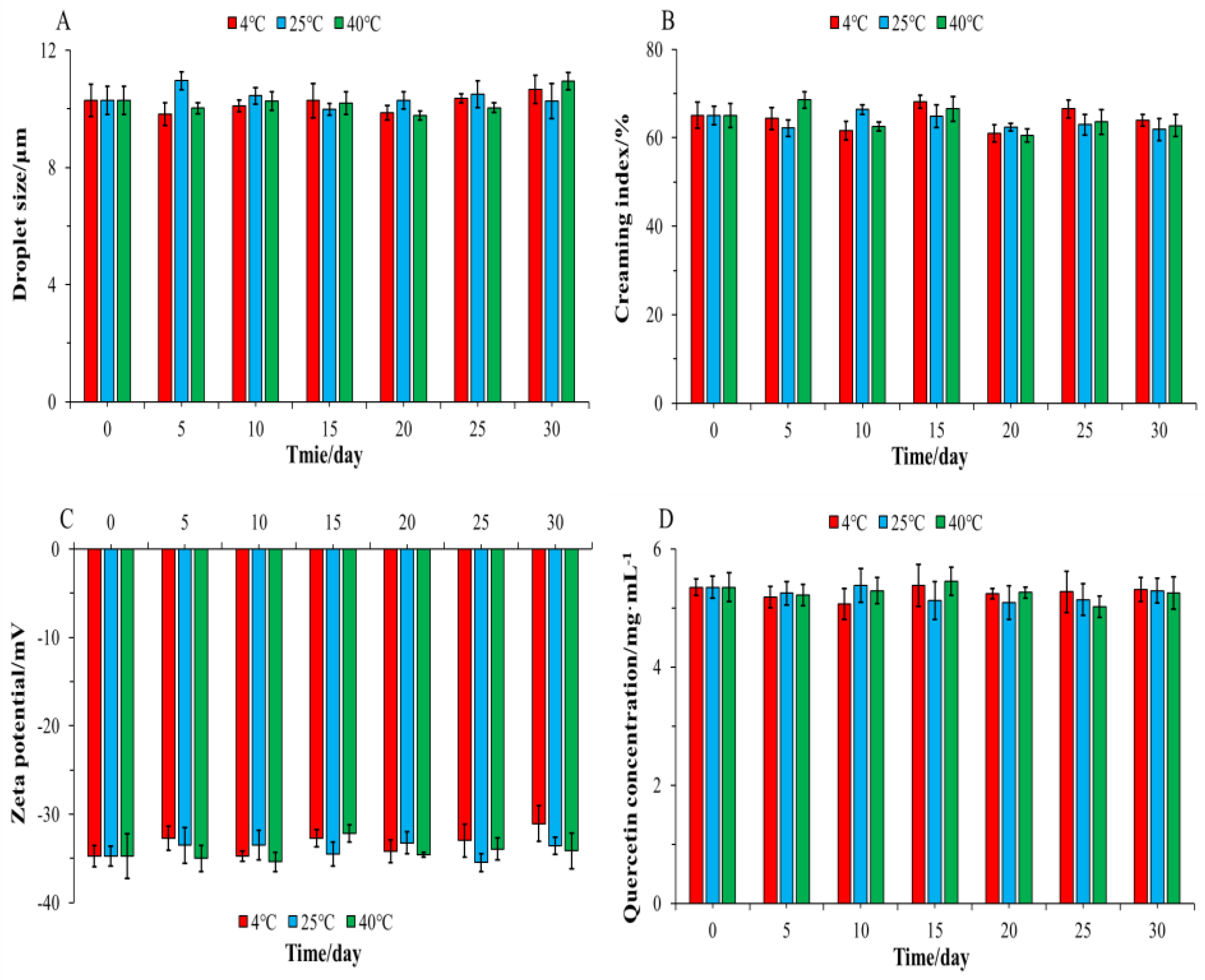
3.6. Physical Stability
3.7. In Vitro Drug Release
3.8. Pharmacokinetic Study in Rats
4. Conclusions
Author Contributions
Funding
Institutional Review Board Statement
Informed Consent Statement
Data Availability Statement
Acknowledgments
Conflicts of Interest
Abbreviations
References
- Sun, M.; Gao, Y.; Pei, Y.; Guo, C.; Li, H.; Cao, F.; Yu, A.; Zhai, G. Development of nanosuspension formulation for oral delivery of quercetin. J. Biomed. Nanotechnol. 2010, 6, 325–332. [Google Scholar] [CrossRef] [PubMed]
- Bagheri, A.; Ebrahimpour, S.; Nourbakhsh, N.; Talebi, S.; Esmaeili, A. Protective effect of quercetin on alteration of antioxidant genes expression and histological changes in the dental pulp of the streptozotocin-diabetic rats. Arch. Oral Biol. 2021, 125, 105088. [Google Scholar] [CrossRef]
- Costa, L.G.; Garrick, J.M.; Roquè, P.J.; Pellacani, C. Mechanisms of Neuroprotection by Quercetin: Counteracting Oxidative Stress and More. Oxid. Med. Cell Longev. 2016, 2016, 2986796. [Google Scholar] [CrossRef] [PubMed] [Green Version]
- Marefati, N.; Ghorani, V.; Shakeri, F.; Boskabady, M.; Kianian, F.; Rezaee, R.; Boskabady, M.H. A review of anti-inflammatory, antioxidant, and immunomodulatory effects of Allium cepa and its main constituents. Pharm. Biol. 2021, 59, 287–302. [Google Scholar] [CrossRef] [PubMed]
- Marunaka, Y.; Marunaka, R.; Sun, H.; Yamamoto, T.; Kanamura, N.; Inui, T.; Taruno, A. Actions of Quercetin, a Polyphenol, on Blood Pressure. Molecules 2017, 22, 209. [Google Scholar] [CrossRef] [PubMed]
- Arredondo, F.; Echeverry, C.; Abin-Carriquiry, J.A.; Blasina, F.; Antúnez, K.; Jones, D.P.; Go, Y.M.; Liang, L.Y.; Dajas, F. After cellular internalization, quercetin causes Nrf2 nuclear translocation, increases glutathione levels, and prevents neuronal death against an oxidative insult. Free Radic. Biol. Med. 2010, 49, 738–747. [Google Scholar] [CrossRef]
- Echeverry, C.; Arredondo, F.; Abin-Carriquiry, J.A.; Midiwo, J.O.; Ochieng, C.; Kerubo, L.; Dajas, F. Pretreatment with natural flavones and neuronal cell survival after oxidative stress: A structure-activity relationship study. J. Agric. Food Chem. 2010, 58, 2111–2115. [Google Scholar] [CrossRef]
- Qi, Y.; Guo, L.; Jiang, Y.; Shi, Y.; Sui, H.; Zhao, L. Brain delivery of quercetin -loaded exosomes improved cognitive function in AD mice by inhibiting phosphorylated tau-mediated neurofibrillary tangles. Drug Deliv. 2020, 27, 745–755. [Google Scholar] [CrossRef]
- Suganthy, N.; Devi, K.P.; Nabavi, S.F.; Braidy, N.; Nabavi, S.M. Bioactive effects of quercetin in the central nervous system: Focusing on the mechanisms of actions. Biomed. Pharmacother. 2016, 84, 892–908. [Google Scholar] [CrossRef]
- Gao, L.; Liu, G.; Wang, X.; Liu, F.; Xu, Y.; Ma, J. Preparation of a chemically stable quercetin formulation using nanosuspension technology. Int. J. Pharm. 2011, 404, 231–237. [Google Scholar] [CrossRef]
- Toopkanloo, S.P.; Tan, T.B.; Abas, F.; Alharthi, F.A.; Nehdi, I.A.; Tan, C.P. Impact of Quercetin Encapsulation with Added Phytosterols on Bilayer Membrane and Photothermal-Alteration of Novel Mixed Soy Lecithin-Based Liposome. Nanomaterials 2020, 10, 2432. [Google Scholar] [CrossRef] [PubMed]
- Jaisamut, P.; Wanna, S.; Limsuwan, S.; Chusri, S.; Wiwattanawongsa, K.; Wiwattanapatapee, R. Enhanced Oral Bioavailability and Improved Biological Activities of a Quercetin /Resveratrol Combination Using a Liquid Self-Microemulsifying Drug Delivery System. Planta Med. 2020, 87, 336–346. [Google Scholar] [CrossRef] [PubMed]
- Ghaffari, F.; Hajizadeh Moghaddam, A.; Zare, M. Neuroprotective Effect of Quercetin Nanocrystal in a 6-Hydroxydopamine Model of Parkinson Disease: Biochemical and Behavioral Evidence. Basic Clin. Neurosci. 2018, 9, 317–324. [Google Scholar] [CrossRef] [PubMed]
- Shen, C.; Yang, Y.; Shen, B.; Xie, Y.; Qi, J.; Dong, X.; Zhao, W.; Zhu, W.; Wu, W.; Yuan, H.; et al. Self-discriminating fluorescent hybrid nanocrystals: Efficient and accurate tracking of translocation via oral delivery. Nanoscale 2017, 10, 436–450. [Google Scholar] [CrossRef] [PubMed]
- Shen, B.; Shen, C.; Zhu, W.; Yuan, H. The contribution of absorption of integral nanocrystals to enhancement of oral bioavailability of quercetin. Acta Pharm. Sin. B 2021, 11, 978–988. [Google Scholar] [CrossRef] [PubMed]
- Heydenreich, A.V.; Westmeier, R.; Pedersen, N.; Poulsen, H.S.; Kristensen, H.G. Preparation and purification of cationic solid lipid nanospheres--effects on particle size, physical stability and cell toxicity. Int. J. Pharm. 2003, 254, 83–87. [Google Scholar] [CrossRef]
- Muller, R.H.; Keck, C.M. Challenges and solutions for the delivery of biotech drugs—A review of drug nanocrystal technology and lipid nanoparticles. J. Biotechnol. 2004, 113, 151–170. [Google Scholar] [CrossRef]
- Tot, A.; Maksimović, I.; Putnik-Delić, M.; Daničić, M.; Gadžurić, S.; Bešter-Rogač, M.; Vraneš, M. The effect of polar head group of dodecyl surfactants on the growth of wheat and cucumber. Chemosphere 2020, 254, 126918. [Google Scholar] [CrossRef]
- Wang, X.Y.; Heuzey, M.C. Chitosan-Based Conventional and Pickering Emulsions with Long-Term Stability. Langmuir 2016, 32, 929–936. [Google Scholar] [CrossRef]
- Chuang, C.C.; Ye, A.; Anema, S.G.; Loveday, S.M. Concentrated Pickering emulsions stabilised by hemp globulin-caseinate nanoparticles: Tuning the rheological properties by adjusting the hemp globulin: caseinate ratio. Food Funct. 2020, 11, 10193–10204. [Google Scholar] [CrossRef]
- Tang, X.Y.; Wang, Z.M.; Meng, H.C.; Lin, J.W.; Guo, X.M.; Zhang, T.; Chen, H.L.; Lei, C.Y.; Yu, S.J. Robust W/O/W Emulsion Stabilized by Genipin-Cross-Linked Sugar Beet Pectin-Bovine Serum Albumin Nanoparticles: Co-encapsulation of Betanin and Curcumin. J. Agric. Food Chem. 2021, 69, 1318–1328. [Google Scholar] [CrossRef] [PubMed]
- Bhutto, R.A.; Wang, M.; Qi, Z.; Hira, N.; Jiang, J.; Zhang, H.; Lqbal, S.; Wang, J.; Stuart, M.; Guo, X. Pickering Emulsions Based on the pH-Responsive Assembly of Food-Grade Chitosan. ACS Omega 2021, 6, 17915–17922. [Google Scholar] [CrossRef] [PubMed]
- Marto, J.; Ascenso, A.; Gonçalves, L.M.; Gouveia, L.F.; Manteigas, P.; Pinto, P.; Oliveira, E.; Almeida, A.J.; Ribeiro, H.M. Melatonin-based pickering emulsion for skin’s photoprotection. Drug Deliv. 2016, 23, 1594–1607. [Google Scholar] [CrossRef] [PubMed] [Green Version]
- Zhang, J.; Zhang, J.; Wang, S.; Yi, T. Development of an Oral Compound Pickering Emulsion Composed of Nanocrystals of Poorly Soluble Ingredient and Volatile Oils from Traditional Chinese Medicine. Pharmaceutics 2018, 10, 170. [Google Scholar] [CrossRef] [Green Version]
- Elmotasem, H.; Farag, H.K.; Salama, A. In vitro and in vivo evaluation of an oral sustained release hepatoprotective caffeine loaded w/o Pickering emulsion formula-Containing wheat germ oil and stabilized by magnesium oxide nanoparticles. Int. J. Pharm. 2018, 547, 83–96. [Google Scholar] [CrossRef]
- Marku, D.; Wahlgren, M.; Rayner, M.; Sjöö, M.; Timgren, A. Characterization of starch Pickering emulsions for potential applications in topical formulations. Int. J. Pharm. 2012, 428, 1–7. [Google Scholar] [CrossRef]
- Sharkawy, A.; Casimiro, F.M.; Barreiro, M.F.; Rodrigues, A.E. Enhancing trans-resveratrol topical delivery and photostability through entrapment in chitosan/gum Arabic Pickering emulsions. Int. J. Biol. Macromol. 2020, 147, 150–159. [Google Scholar] [CrossRef]
- Tan, H.; Zhao, L.; Tian, S.; Wen, H.; Gou, X.; Ngai, T. Gelatin Particle-Stabilized High-Internal Phase Emulsions for Use in Oral Delivery Systems: Protection Effect and in Vitro Digestion Study. J. Agric. Food Chem. 2017, 65, 900–907. [Google Scholar] [CrossRef]
- Björkegren, S.; Nordstierna, L.; Törncrona, A.; Palmqvist, A. Hydrophilic and hydrophobic modifications of colloidal silica particles for Pickering emulsions. J. Colloid Interface Sci. 2017, 487, 250–257. [Google Scholar] [CrossRef]
- Matos, M.; Marefati, A.; Barrero, P.; Rayner, M.; Gutiérrez, G. Resveratrol loaded Pickering emulsions stabilized by OSA modified rice starch granules. Food Res. Int. 2021, 139, 109837. [Google Scholar] [CrossRef]
- Sy, P.M.; Anton, N.; Idoux-Gillet, Y.; Dieng, S.M.; Messaddeq, N.; Ennahar, S.; Diarra, M.; Vandamme, T.F. Pickering nano-emulsion as a nanocarrier for pH-triggered drug release. Int. J. Pharm. 2018, 549, 299–305. [Google Scholar] [CrossRef] [PubMed]
- Shahbazi, M.; Jäger, H.; Ettelaie, R. A Promising Therapeutic Soy-Based Pickering Emulsion Gel Stabilized by a Multifunctional Microcrystalline Cellulose: Application in 3D Food Printing. J. Agric. Food Chem. 2022, 70, 2374–2388. [Google Scholar] [CrossRef] [PubMed]
- Jiang, H.; Sheng, Y.; Ngai, T. Pickering emulsions: Versatility of colloidal particles and recent applications. Curr. Opin. Colloid Interface Sci. 2020, 49, 1–15. [Google Scholar] [CrossRef] [PubMed]
- Gambardella, C.; Morgana, S.; Bari, G.D.; Ramoino, P.; Bramini, M.; Diaspro, A.; Falugi, C.; Faimali, M. Multidisciplinary screening of toxicity induced by silica nanoparticles during sea urchin development. Chemosphere 2015, 139, 486–495. [Google Scholar] [CrossRef] [PubMed]
- Li, L.; Liu, T.; Fu, C.; Tan, L.; Meng, X.; Liu, H. Biodistribution, excretion, and toxicity of mesoporous silica nanoparticles after oral administration depend on their shape. Nanomedicine 2015, 11, 1915–1924. [Google Scholar] [CrossRef]
- Zhang, Y.; Lu, H.; Wang, B.; Wang, N.; Liu, D. pH-Responsive Non-Pickering Emulsion Stabilized by Dynamic Covalent Bond Surfactants and Nano-SiO Particles. Langmuir 2020, 36, 15230–15239. [Google Scholar] [CrossRef]
- Yi, T.; Liu, C.; Zhang, J.; Wang, F.; Wang, J.; Zhang, J. A new drug nanocrystal self-stabilized Pickering emulsion for oral delivery of silybin. Eur. J. Pharm. Sci. 2017, 96, 420–427. [Google Scholar] [CrossRef]
- Wang, Z.; Hu, F.; Che, Z.; Song, Q.; Shen, B.D.; Yuan, H.L. Preparation and in vitro release study of quercetin nanocrystals self-stabilized Pickering emulsion. China J. Chin. Mater. Med. 2021, 47, 1230–1236. [Google Scholar] [CrossRef]
- Nifli, A.P.; Theodoropoulos, P.A.; Munier, S.; Castagnino, C.; Roussakis, E.; Katerinopoulos, H.E.; Vercauteren, J.; Castanas, E. Quercetin Exhibits a Specific Fluorescence in Cellular Milieu: A Valuable Tool for the Study of Its Intracellular Distribution. J. Agric. Food Chem. 2007, 55, 2873–2878. [Google Scholar] [CrossRef]
- Xu, Q.; Zhou, A.; Wu, H.; Bi, Y. Development and in vivo evaluation of baicalin-loaded W/O nanoemulsion for lymphatic absorption. Pharm. Dev. Technol. 2019, 24, 1155–1163. [Google Scholar] [CrossRef]
- Shen, B.; Wu, N.; Shen, C.; Zhang, F.; Wu, Y.; Xu, P.; Zhang, L.; Wu, W.; Lu, Y.; Han, J.; et al. Hyperoside nanocrystals for HBV treatment: Process optimization, in vitro and in vivo evaluation. Drug Dev. Ind. Pharm. 2016, 42, 1772–1781. [Google Scholar] [CrossRef]
- Lim, H.; Jo, M.; Ban, C.; Choi, Y.J. Interfacial and colloidal characterization of oil-in-water emulsions stabilized by interface-tunable solid lipid nanoparticles. Food Chem. 2020, 306, 125619. [Google Scholar] [CrossRef] [PubMed]
- He, Y.; Wu, F.; Sun, X.; Li, R.; Guo, Y.; Li, C.; Zhang, L.; Xing, F.; Wang, W.; Gao, J. Factors that affect Pickering emulsions stabilized by graphene oxide. ACS Appl. Mater. Interfaces 2013, 5, 4843–4855. [Google Scholar] [CrossRef] [PubMed]
- Luo, Z.; Murray, B.S.; Ross, A.L.; Povey, M.J.; Morgan, M.R.; Day, A.J. Effects of pH on the ability of flavonoids to act as Pickering emulsion stabilizers. Colloids Surf. B Biointerfaces 2012, 92, 84–90. [Google Scholar] [CrossRef] [PubMed]
- Wiącek, A.E.; Chibowski, E. Zeta Potential and Droplet Size of N-tetradecane/ethanol (protein) Emulsions. Colloids Surf. B Biointerfaces 2002, 25, 55–67. [Google Scholar] [CrossRef]
- Chaudhari, V.S.; Malakar, T.K.; Murty, U.S.; Banerjee, S. Extruded filaments derived 3D printed medicated skin patch to mitigate destructive pulmonary tuberculosis: Design to delivery. Expert Opin. Drug Deliv. 2021, 18, 301–313. [Google Scholar] [CrossRef]
- Stoyanova, N.; Spasova, M.; Manolova, N.; Rashkov, I.; Georgieva, A.; Toshkova, R. Antioxidant and Antitumor Activities of Novel Quercetin -Loaded Electrospun Cellulose Acetate/Polyethylene Glycol Fibrous Materials. Antioxidants 2020, 9, 232. [Google Scholar] [CrossRef] [Green Version]
- Ao, F.; Shen, W.; Ge, X.; Wang, L.; Ning, Y.; Ren, H.; Fan, G.; Huang, M. Effects of the crystallinity on quercetin loaded the Eudragit L-100 electrospun nanofibers. Colloids Surf. B Biointerfaces 2020, 195, 111264. [Google Scholar] [CrossRef]
- Zhang, Q.; Mei, X.F. Polymorph transformation of solid drugs. Acta Pharm. Sin. 2015, 50, 521–527. [Google Scholar]
- Lu, X.; Zhang, H.; Zheng, T.; Liu, Q.; Zhu, J.; Huang, Q. Evaluation of Oral Bioaccessibility of Aged Citrus Peel Extracts Encapsulated in Different Lipid-Based Systems: A Comparison Study Using Different in Vitro Digestion Models. J. Agric. Food Chem. 2020, 68, 97–105. [Google Scholar] [CrossRef]
- Möschwitzer, J.P. Drug nanocrystals in the commercial pharmaceutical development process. Int. J. Pharm. 2013, 453, 142–156. [Google Scholar] [CrossRef] [PubMed]
- Gao, X.; Jasti, B.R.; Huang, M.; Wang, X.; Mahalingam, R.; Li, X. Design and preparation of nanostructures based on Krafft point of nonionic amphiphiles for delivery of poorly water-soluble compounds. Int. J. Pharm. 2020, 588, 119789. [Google Scholar] [CrossRef] [PubMed]
- Obinu, A.; Porcu, E.P.; Piras, S.; Ibba, R.; Carta, A.; Molicotti, P.; Migheli, R.; Dalpiaz, A.; Ferraro, L.; Rassu, G.; et al. Solid Lipid Nanoparticles as Formulative Strategy to Increase Oral Permeation of a Molecule Active in Multidrug-Resistant Tuberculosis Management. Pharmaceutics 2020, 12, 1132. [Google Scholar] [CrossRef] [PubMed]
- Pouton, C.W. Formulation of poorly water-soluble drugs for oral administration: Physicochemical and physiological issues and the lipid formulation classification system. Eur. J. Pharm. Sci. 2006, 29, 278–287. [Google Scholar] [CrossRef] [PubMed]
- Liu, Y.; Yi, T.; Huan, D.; He, J.K. Use of an in vitro lipolysis model to evaluate type I lipid formulations. Acta Pharm. Sin. 2010, 45, 1307–1311. [Google Scholar]
- Xu, H.; Gao, Y.X.; Wang, X.T. Preparation, characterization, and anti-4T1-tumor efficacy of quercetin nanoparticles. Chin. Herbal Med. 2019, 50, 42–51. [Google Scholar]
- Colombo, M.; Orthmann, S.; Bellini, M.; Staufenbiel, S.; Bodmeier, R. Influence of Drug Brittleness, Nanomilling Time, and Freeze-Drying on the Crystallinity of Poorly Water-Soluble Drugs and Its Implications for Solubility Enhancement. AAPS PharmSciTech 2017, 18, 2437–2445. [Google Scholar] [CrossRef]











| Level | |||
|---|---|---|---|
| Low (−1) | Medium (0) | High (+1) | |
| Independent variables | |||
| X1 = oil volume fractions | 0.3 | 0.4 | 0.5 |
| X2 = QT concentration (%, w/v) | 0.4 | 0.5 | 0.6 |
| X3 = pH | 5.0 | 7.0 | 9.0 |
| Dependent variables | Constraints | ||
| Y1 = droplets size (μm) | Minimize | ||
| Y2 = drug loading (mg·mL−1) | Maximize | ||
| Run | Independent Variables | Response Value | |||
|---|---|---|---|---|---|
| X1 | X2 (%, w/v) | X3 | Y1 (μm) | Y2 (mg·mL−1) | |
| 1 | 0.40 | 0.60 | 9.00 | 10.59 | 5.47 |
| 2 | 0.30 | 0.40 | 7.00 | 18.49 | 4.15 |
| 3 | 0.30 | 0.50 | 5.00 | 22.82 | 3.96 |
| 4 | 0.40 | 0.50 | 7.00 | 15.09 | 4.73 |
| 5 | 0.40 | 0.60 | 5.00 | 16.85 | 4.67 |
| 6 | 0.40 | 0.40 | 9.00 | 16.93 | 4.03 |
| 7 | 0.40 | 0.40 | 5.00 | 15.07 | 4.06 |
| 8 | 0.40 | 0.50 | 7.00 | 18.03 | 4.53 |
| 9 | 0.30 | 0.50 | 7.00 | 16.89 | 4.27 |
| 10 | 0.50 | 0.50 | 5.00 | 22.22 | 3.98 |
| 11 | 0.40 | 0.50 | 7.00 | 15.36 | 4.99 |
| 12 | 0.50 | 0.40 | 7.00 | 29.88 | 4.03 |
| 13 | 0.50 | 0.60 | 7.00 | 20.27 | 4.83 |
| 14 | 0.30 | 0.50 | 9.00 | 13.25 | 4.68 |
| 15 | 0.40 | 0.50 | 7.00 | 14.89 | 4.72 |
| 16 | 0.40 | 0.50 | 9.00 | 12.25 | 4.91 |
| 17 | 0.50 | 0.60 | 9.00 | 21.29 | 5.28 |
| Variables | Y1 | Y2 | ||||
|---|---|---|---|---|---|---|
| F-Value | p-Value | Remark | F-Value | p-Value | Remark | |
| Model | 18.630 | 0.0004 | significant | 11.520 | 0.0020 | significant |
| X1 | 32.150 | 0.0008 | ** | 0.053 | 0.8252 | |
| X2 | 6.620 | 0.0368 | * | 35.670 | 0.0006 | ** |
| X3 | 6.980 | 0.0333 | * | 18.300 | 0.0037 | ** |
| X1X2 | 8.570 | 0.0221 | * | 0.057 | 0.8183 | |
| X1X3 | 21.700 | 0.0023 | * | 0.160 | 0.7020 | |
| X2X3 | 8.080 | 0.0249 | * | 6.600 | 0.0371 | * |
| X12 | 76.510 | <0.0001 | ** | 10.310 | 0.0148 | * |
| X22 | 0.170 | 0.6900 | 0.073 | 0.7943 | ||
| X32 | 1.320 | 0.2880 | 2.770 | 0.1402 | ||
| Lack of Fit | 0.850 | 0.5764 | not significant | 0.830 | 0.5847 | not significant |
| Model | Equation | R2 |
|---|---|---|
| zero-order | Mt/M∞ = 2.6662t + 20.3551 | 0.6328 |
| first-order | Mt = 71.7454 (1 − e−0.1904t) | 0.9905 |
| Higuchi | Mt/M∞ = 16.9639t1/2 − 0.2666 | 0.8539 |
| Korsmeyer-Peppas | Mt/M∞ = 19.0519t0.5347 | 0.8632 |
| Parameter | QT–CPS | QT–NC | QT–NSSPE |
|---|---|---|---|
| AUC0–t/μg·mL−1·h | 35.92 ± 2.42 | 72.19 ± 6.80 ** | 99.31 ± 8.39 **, ## |
| MRT0–t/h | 9.29 ± 0.45 | 9.78 ± 0.19 | 9.54 ± 0.13 |
| Tmax/h | 3.33 ± 1.63 | 2.92 ± 0.17 | 1.75 ± 1.26 **, # |
| Cmax/μg·mL−1 | 2.51 ± 0.23 | 4.43 ± 0.18 ** | 6.06 ± 0.38 **, ## |
| t1/2/h | 12.57 ± 3.72 | 15.43 ± 3.26 | 12.97 ± 1.91 |
Publisher’s Note: MDPI stays neutral with regard to jurisdictional claims in published maps and institutional affiliations. |
© 2022 by the authors. Licensee MDPI, Basel, Switzerland. This article is an open access article distributed under the terms and conditions of the Creative Commons Attribution (CC BY) license (https://creativecommons.org/licenses/by/4.0/).
Share and Cite
Wang, Z.; Dai, B.; Tang, X.; Che, Z.; Hu, F.; Shen, C.; Wu, W.; Shen, B.; Yuan, H. Fabrication and In Vitro/Vivo Evaluation of Drug Nanocrystals Self-Stabilized Pickering Emulsion for Oral Delivery of Quercetin. Pharmaceutics 2022, 14, 897. https://doi.org/10.3390/pharmaceutics14050897
Wang Z, Dai B, Tang X, Che Z, Hu F, Shen C, Wu W, Shen B, Yuan H. Fabrication and In Vitro/Vivo Evaluation of Drug Nanocrystals Self-Stabilized Pickering Emulsion for Oral Delivery of Quercetin. Pharmaceutics. 2022; 14(5):897. https://doi.org/10.3390/pharmaceutics14050897
Chicago/Turabian StyleWang, Zhe, Bo Dai, Xiaohan Tang, Zhihui Che, Fei Hu, Chengying Shen, Wei Wu, Baode Shen, and Hailong Yuan. 2022. "Fabrication and In Vitro/Vivo Evaluation of Drug Nanocrystals Self-Stabilized Pickering Emulsion for Oral Delivery of Quercetin" Pharmaceutics 14, no. 5: 897. https://doi.org/10.3390/pharmaceutics14050897
APA StyleWang, Z., Dai, B., Tang, X., Che, Z., Hu, F., Shen, C., Wu, W., Shen, B., & Yuan, H. (2022). Fabrication and In Vitro/Vivo Evaluation of Drug Nanocrystals Self-Stabilized Pickering Emulsion for Oral Delivery of Quercetin. Pharmaceutics, 14(5), 897. https://doi.org/10.3390/pharmaceutics14050897

