Development of Self-Administered Formulation to Improve the Bioavailability of Leuprorelin Acetate
Abstract
:1. Introduction
2. Materials and Methods
2.1. Materials
2.2. Methods
2.2.1. Preparation of Lipid Particles
2.2.2. Apparent Entrapment Efficacy
2.2.3. Physicochemical Characteristics of Prepared Formulations
2.2.4. Small-Angle X-ray Analysis
2.2.5. Observation with a Cryo-Transmission Electron Microscope
2.2.6. H-1H Nuclear Overhauser Effect Spectroscopy (NOESY) Nuclear Magnetic Resonance Spectroscopy
2.2.7. Measurement of Viscosity
2.2.8. In Vitro LA Release from the Prepared Formulations
2.2.9. In Vivo Experiment
2.2.10. Liquid Chromatography-Tandem Mass Spectrometry Condition to Detect LA
2.2.11. Statistical Analysis
3. Results
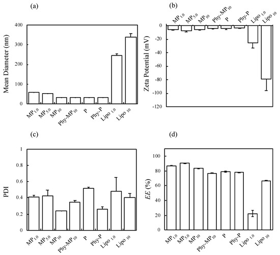
3.1. Characteristics of the Prepared Formulations
3.2. Cryo-TEM Observation
3.3. SAXS Analysis
3.4. Nuclear Magnetic Resonance
3.5. In Vitro Release Results
3.6. In Vivo Experiment
4. Discussion
5. Conclusions
Supplementary Materials
Author Contributions
Funding
Institutional Review Board Statement
Informed Consent Statement
Acknowledgments
Conflicts of Interest
References
- Roberts, T.C.; Langer, R.; Wood, M.J.A. Advances in oligonucleotide drug delivery. Nat. Rev. Drug Discov. 2020, 19, 673–694. [Google Scholar] [CrossRef]
- Brayden, D.J.; Hill, T.A.; Fairlie, D.P.; Maher, S.; Mrsny, R.J. Systemic delivery of peptides by the oral route: Formulation and medicinal chemistry approaches. Adv. Drug Deliv. Rev. 2020, 157, 2–36. [Google Scholar] [CrossRef] [PubMed]
- Danhof, M.; Klein, K.; Stolk, P.; Aitken, M.; Leufkens, H. The future of drug development: The paradigm shift towards systems therapeutics. Drug Discov. Today 2018, 23, 1990–1995. [Google Scholar] [CrossRef] [PubMed]
- Dimitrov, D.S. Challenges and opportunities for the subcutaneous delivery of therapeutic proteins. J. Pharm. Sci. 2012, 899, 1–26. [Google Scholar]
- Collins, D.S.; Sánchez-Félix, M.; Badkar, A.V.; Mrsny, R. Accelerating the development of novel technologies and tools for the subcutaneous delivery of biotherapeutics. J. Control. Release 2020, 321, 475–482. [Google Scholar] [CrossRef]
- Bittner, B.; Richter, W.; Schmidt, J. Subcutaneous Administration of Biotherapeutics: An Overview of Current Challenges and Opportunities. BioDrugs 2018, 32, 425–440. [Google Scholar] [CrossRef] [Green Version]
- Sequeira, J.A.D.; Santos, A.C.; Serra, J.; Estevens, C.; Seiça, R.; Veiga, F.; Ribeiro, A.J. Subcutaneous delivery of biotherapeutics: Challenges at the injection site. Expert Opin. Drug Deliv. 2019, 16, 143–151. [Google Scholar] [CrossRef]
- Rombouts, M.D.; Swart, E.L.; Van Den Eertwegh, A.J.M.; Crul, M. Systematic review on infusion reactions to and infusion rate of monoclonal antibodies used in cancer treatment. Anticancer Res. 2020, 40, 1201–1218. [Google Scholar] [CrossRef] [PubMed] [Green Version]
- Sachdeva, V.; Zhou, Y.; Banga, A.K. In vivo transdermal delivery of leuprolide using microneedles and iontophoresis. Curr. Pharm. Biotechnol. 2013, 14, 180–193. [Google Scholar]
- Ito, Y.; Murano, H.; Hamasaki, N.; Fukushima, K.; Takada, K. Incidence of low bioavailability of leuprolide acetate after percutaneous administration to rats by dissolving microneedles. Int. J. Pharm. 2011, 407, 126–131. [Google Scholar] [CrossRef]
- Rahimi, M.; Mobedi, H.; Behnamghader, A. Aqueous stability of leuprolide acetate: Effect of temperature, dissolved oxygen, pH and complexation with β-cyclodextrin. Pharm. Develop. Tech. 2016, 21, 108–115. [Google Scholar] [CrossRef] [PubMed]
- Richter, W.F.; Bhansali, S.G.; Morris, M.E. Mechanistic determinants of biotherapeutics absorption following SC administration. AAPS J. 2012, 14, 559–570. [Google Scholar] [CrossRef] [PubMed] [Green Version]
- Rahnfeld, L.; Luciani, P. Injectable lipid-based depot formulations: Where do we stand? Pharmaceutics 2020, 12, 567. [Google Scholar] [CrossRef] [PubMed]
- Bodratti, A.M.; Alexandridis, P. Formulation of poloxamers for drug delivery. J. Func. Biomater. 2018, 9, 11. [Google Scholar] [CrossRef] [Green Version]
- Li, Z.; Huang, Y.; Peng, S.; Chen, X.; Zou, L.; Liu, W.; Liu, C. Liposomes consisting of pluronic F127 and phospholipid: Effect of matrix on morphology, stability and curcumin delivery. J. Dispers. Sci. Technol. 2020, 41, 207–213. [Google Scholar] [CrossRef]
- Managa, M.; Britton, J.; Prinsloo, E.; Nyokong, T. Effects of Pluronic F127 micelles as delivering agents on the vitro dark toxicity and photodynamic therapy activity of carboxy and pyrene substituted porphyrins. Polyhedron 2018, 152, 102–107. [Google Scholar] [CrossRef]
- Cabral, H.; Miyata, K.; Osada, K.; Kataoka, K. Block Copolymer Micelles in Nanomedicine Applications. Chem. Rev. 2018, 118, 6844–6892. [Google Scholar] [CrossRef] [Green Version]
- Libster, D.; Aserin, A.; Garti, N. Interactions of biomacromolecules with reverse hexagonal liquid crystals: Drug delivery and crystallization applications. J. Colloid Interface Sci. 2011, 356, 375–386. [Google Scholar] [CrossRef]
- Shriky, B.; Kelly, A.; Isreb, M.; Babenko, M.; Mahmoudi, N.; Rogers, S.; Shebanova, O.; Snow, T.; Gough, T. Pluronic F127 thermosensitive injectable smart hydrogels for controlled drug delivery system development. J. Colloid Interface Sci. 2020, 565, 119–130. [Google Scholar] [CrossRef]
- See, G.L.; Arce, F.; Dahlizar, S.; Okada, A.; Fadli, M.F.B.M.; Hijikuro, I.; Itakura, S.; Katakura, M.; Todo, H.; Sugibayashi, K. Enhanced nose-to-brain delivery of tranilast using liquid crystal formulations. J. Control. Release 2020, 325, 1–9. [Google Scholar] [CrossRef]
- Suzuki, T.; Aoki, T.; Saito, M.; Hijikuro, I.; Itakura, S.; Todo, H.; Sugibayashi, K. Enhancement of Skin Permeation of a Hydrophilic Drug from Acryl-Based Pressure-Sensitive Adhesive Tape. Pharm. Res. 2021, 38, 289–299. [Google Scholar] [CrossRef] [PubMed]
- Shimokawa, Y.; Matsuura, Y.; Hirano, T.; Sakai, K. Gas viscosity measurement with diamagnetic-levitation viscometer based on electromagnetically spinning system. Rev. Sci. Instrum. 2016, 87, 125105. [Google Scholar] [CrossRef] [PubMed]
- Sakai, K.; Hirano, T.; Hosoda, M. Electromagnetically spinning sphere viscometer. Appl. Phys. Express 2010, 3, 016602. [Google Scholar] [CrossRef]
- Hosoda, M.; Hirano, T.; Sakai, K. Accurate viscosity measurement of ethanol solution for determination of ultrasonic relaxation parameters. Jpn. J. Appl. Phys. 2012, 51, 8–10. [Google Scholar] [CrossRef]
- Okada, A.; Todo, H.; Itakura, S.; Hijikuro, I.; Sugibayashi, K. A Lipid-Based Depot Formulation with a Novel Non-lamellar Liquid Crystal Forming Lipid. Pharm. Res. 2021, 38, 503–513. [Google Scholar] [CrossRef]
- Zhang, Y.; Lam, Y.M. Controlled synthesis and association behavior of graft Pluronic in aqueous solutions. J. Colloid Interface Sci. 2007, 306, 398–404. [Google Scholar] [CrossRef]
- Gyulai, G.; Magyar, A.; Rohonczy, J.; Orosz, J.; Yamasaki, M.; Bősze, S. Preparation and characterization of cationic pluronic for surface modification and functionalization of polymeric drug delivery nanoparticles. Express Polym. Lett. 2016, 10, 216–226. [Google Scholar] [CrossRef] [Green Version]
- Ding, Y.; Wang, Y.; Guo, R. Diffusion coefficients and structure properties in the pluronic F127/n-C4H9OH/H2O system. J. Dispers. Sci. Technol. 2003, 24, 673–681. [Google Scholar] [CrossRef]
- da Silva, L.C.E.; Borges, A.C.; de Oliveira, M.G.; de Farias, M.A. Visualization of supramolecular structure of Pluronic F127 micellar hydrogels using cryo-TEM. MethodsX 2020, 7, 101084. [Google Scholar] [CrossRef]
- Huang, Y.Y.; Hsu, J.Y.; Chen, H.L.; Hashimoto, T. Existence of fcc-packed spherical micelles in diblock copolymer melt. Macromolecules 2007, 40, 406–409. [Google Scholar] [CrossRef]
- Ojha, J.; Nanda, R.; Dorai, K. NMR investigation of the thermogelling properties, anomalous diffusion, and structural changes in a Pluronic F127 triblock copolymer in the presence of gold nanoparticles. Colloid Polym. Sci. 2020, 298, 1571–1585. [Google Scholar] [CrossRef]
- Rösler, A.; Vandermeulen, G.W.M.; Klok, H.A. Advanced drug delivery devices via self-assembly of amphiphilic block copolymers. Adv. Drug Deliv. Rev. 2012, 64, 270–279. [Google Scholar] [CrossRef]
- Cervin, C.; Vandoolaeghe, P.; Nistor, C.; Tiberg, F.; Johnsson, M. A combined in vitro and in vivo study on the interactions between somatostatin and lipid-based liquid crystalline drug carriers and bilayers. Eur. J. Pharm. Sci. 2009, 36, 377–385. [Google Scholar] [CrossRef] [PubMed]
- Sorensen, M.; Steenberg, B.; Knipp, G.T.; Wang, W.; Steffansen, B.; Frokjaer, S.; Borchardt, R.T. The effect of beta-turn structure on the permeation of peptides across monolayers of bovine brain microvessel endothelial cells. Pharm. Res. 1997, 14, 1341–1348. [Google Scholar] [CrossRef] [PubMed]









| Structure | M.W. | XLogP3 | PI | |
|---|---|---|---|---|
| Leuprolide acetate (LA) | ![]() | 1269.5 | - | 9.1 |
| mono-O-(5,9,13-trimethyl-4-tetradecenyl) glycerol ester (MGE) | ![]() | 470.7 | - | - |
| Pluronic® F-127 | ![]() | ~12,600 | - | - |
| 1,2-Dioleoyl-sn-glycero-3-phosphocholine (DOPC) | ![]() | 786.1 | 12.8 | - |
| 1,2-Dioleoyl-sn-glycero-3-phosphoglycerol, sodium salt (DOPG · Na) | ![]() | 797.0 | 12.5 | - |
| mM | LA sol. | MP1.0 | MP5.0 | MP10 | P | Lipo1.0 | Lipo10 |
|---|---|---|---|---|---|---|---|
| MGE | - | 1 | 5 | 10 | - | - | - |
| Pluronic® F-127 | - | 1 | 5 | 10 | 10 | - | - |
| DOPG | - | 1.75 | 5.75 | 10.75 | 10.75 | 0.75 | 7.5 |
| DOPC | - | 0.25 | 0.25 | 0.25 | 0.25 | 0.25 | 2.5 |
| Formulation | Route | AUC0–24 h (ng · h/mL) |
|---|---|---|
| LA sol. # | i.v. | 3816 ± 458 |
| LA sol. | s.c. | 59.7 ± 6.49 |
| MP1.0 | s.c. | 61.1 ± 16.0 |
| MP5.0 | s.c. | 193 ± 23.0 |
| MP10 | s.c. | 683 ± 41.1 |
Publisher’s Note: MDPI stays neutral with regard to jurisdictional claims in published maps and institutional affiliations. |
© 2022 by the authors. Licensee MDPI, Basel, Switzerland. This article is an open access article distributed under the terms and conditions of the Creative Commons Attribution (CC BY) license (https://creativecommons.org/licenses/by/4.0/).
Share and Cite
Okada, A.; Niki, R.; Inoue, Y.; Tomita, J.; Todo, H.; Itakura, S.; Sugibayashi, K. Development of Self-Administered Formulation to Improve the Bioavailability of Leuprorelin Acetate. Pharmaceutics 2022, 14, 785. https://doi.org/10.3390/pharmaceutics14040785
Okada A, Niki R, Inoue Y, Tomita J, Todo H, Itakura S, Sugibayashi K. Development of Self-Administered Formulation to Improve the Bioavailability of Leuprorelin Acetate. Pharmaceutics. 2022; 14(4):785. https://doi.org/10.3390/pharmaceutics14040785
Chicago/Turabian StyleOkada, Akie, Rina Niki, Yutaka Inoue, Junki Tomita, Hiroaki Todo, Shoko Itakura, and Kenji Sugibayashi. 2022. "Development of Self-Administered Formulation to Improve the Bioavailability of Leuprorelin Acetate" Pharmaceutics 14, no. 4: 785. https://doi.org/10.3390/pharmaceutics14040785
APA StyleOkada, A., Niki, R., Inoue, Y., Tomita, J., Todo, H., Itakura, S., & Sugibayashi, K. (2022). Development of Self-Administered Formulation to Improve the Bioavailability of Leuprorelin Acetate. Pharmaceutics, 14(4), 785. https://doi.org/10.3390/pharmaceutics14040785






