Formulation and Evaluation of Novel Film Wound Dressing Based on Collagen/Microfibrillated Carboxymethylcellulose Blend
Abstract
:1. Introduction
2. Materials and Methods
2.1. Composite Film Preparation
2.2. Organoleptic and Microscopic Evaluation
2.3. Film Thickness
2.4. Film Weight and Uniformity of Mass
2.5. Surface pH
2.6. Swelling Properties of Films
2.7. Mechanical Properties
2.8. Data Analysis
3. Results and Discussion
3.1. Organoleptic and Microscopic Evaluation
3.2. Film Thickness
3.3. Film Weight and Uniformity of Mass
3.4. Surface pH
3.5. Swelling Properties of Films
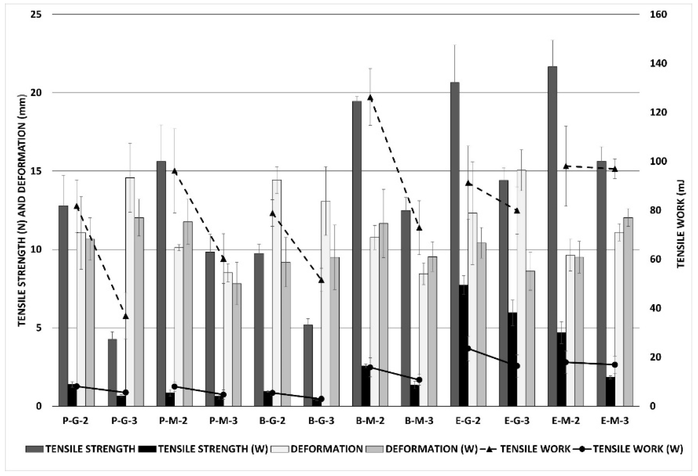
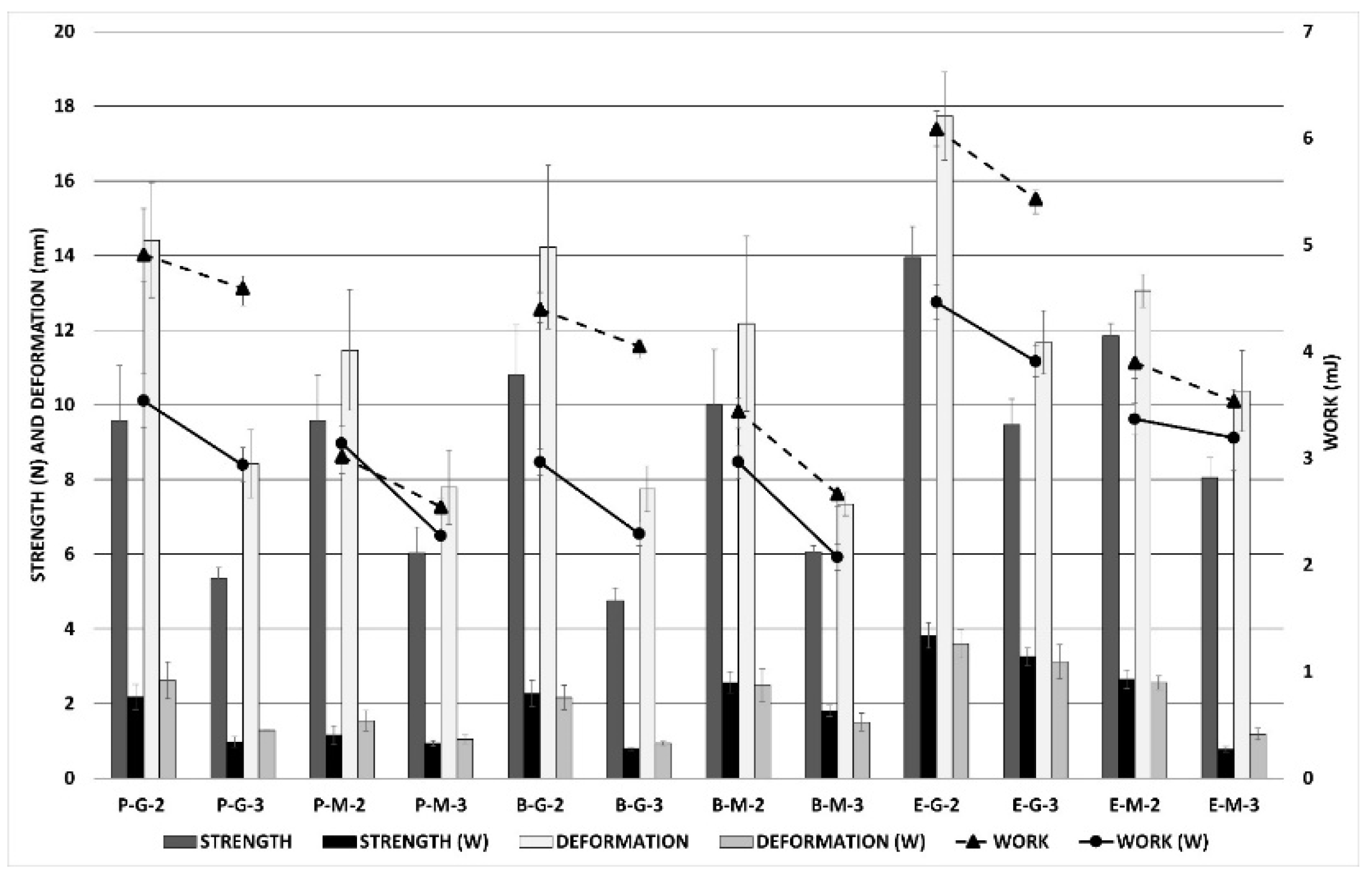
3.6. Mechanical Properties
3.7. Principal Component Analysis
4. Conclusions
Author Contributions
Funding
Institutional Review Board Statement
Informed Consent Statement
Data Availability Statement
Conflicts of Interest
References
- Sharma, S.; Rai, V.K.; Narang, R.K.; Markandeywar, T.S. Collagen-based formulations for wound healing: A literature review. Life Sci. 2022, 290, 120096. [Google Scholar] [CrossRef] [PubMed]
- León-Lopéz, A.; Morales-Peñaloza, A.; Martinéz-Juaréz, V.M.; Vargas-Torres, A.; Zeugolis, D.I.; Aguirre-Álvarez, G. Hydrolyzed collagen—Sources and applications. Molecules 2019, 24, 4031. [Google Scholar] [CrossRef] [PubMed] [Green Version]
- Zhang, M.; Ding, C.; Yang, J.; Lin, S.; Chen, L.; Huang, L. Study of interaction between water-soluble collagen and carboxymethyl cellulose in neutral aqueous solution. Carbohydr. Polym. 2016, 137, 410–441. [Google Scholar] [CrossRef] [PubMed]
- Wang, H. A Review of the Effects of Collagen Treatment in Clinical Studies. Polymers 2021, 13, 3868. [Google Scholar] [CrossRef] [PubMed]
- Yang, Y.; Li, C.; Song, W.; Wang, W.; Qian, G. Purification, optimization and physicochemical properties of collagen from soft-shelled turtle calipash. Int. J. Biol. Macromol. 2016, 89, 344–352. [Google Scholar] [CrossRef] [PubMed]
- Ding, C.; Zhang, C.; Li, G. Preparation and characterization of collagen/hydroxypropyl methylcellulose (HPMC) blend film. Carbohydr. Polym. 2015, 119, 194–201. [Google Scholar] [CrossRef] [PubMed]
- Harding, K.G. Role of collagen in wound management. Wounds UK 2011, 7, 54–63. [Google Scholar]
- Hochstain, A.O.; Bhatia, A. Collagen: Its role in wound healing. Wound Manag. 2014, 4, 104–109. [Google Scholar]
- Fleck, C.A.; Simman, R. Modern collagen wound dressings: Function and purpose. J. Am. Col. Certif. Wound Spec. 2010, 2, 50–54. [Google Scholar] [CrossRef] [Green Version]
- Gould, L.J. Topical collagen-based biomaterials for chronic wounds: Rationale and clinical application. Adv. Wound Care 2016, 5, 19–31. [Google Scholar] [CrossRef] [Green Version]
- Bohn, G.; Liden, B.; Schultz, G.; Yang, Q.; Gibson, D.J. Ovine-based collagen matrix dressing: Next-generation collagen dressing for wound care. Adv. Wound Care 2016, 5, 1–10. [Google Scholar] [CrossRef] [PubMed] [Green Version]
- Turner, N.J.; Badylak, S.F. The use of biologic scaffolds in the treatment of chronic nonhealing wounds. Adv. Wound Care 2015, 4, 490–500. [Google Scholar] [CrossRef] [PubMed] [Green Version]
- Ramanathan, G.; Muthukumar, T.; Tirichurapalli Sivagnanam, U. In vivo efficiency of the collagen coated nanofibrous scaffold and their effect on growth factors and pro-inflammatory cytokines in wound healing. Eur. J. Pharmacol. 2017, 814, 45–55. [Google Scholar] [CrossRef] [PubMed]
- Sussman, G. Technology update: Understanding film dressings. Int. Wound J. 2010, 1, 23–25. [Google Scholar]
- Gultekin, G.; Atalay-Oral, C.; Erkal, S.; Sahin, F.; Karastova, D.; Tantekin-Ersolmaz, S.B.; Guner, F.S. Fatty acid-based polyurethane films for wound dressing applications. J. Mater. Sci. Mater. Med. 2009, 20, 421–431. [Google Scholar] [CrossRef] [PubMed] [Green Version]
- Vinklárková, L.; Masteiková, R.; Vetchý, D.; Doležel, P.; Bernatoniené, J. Formulation of novel layered sodium carboxymethylcellulose film wound dressings with ibuprofen for alleviating wound pain. Biomed Res. Int. 2015, 2015, 892671. [Google Scholar] [CrossRef] [Green Version]
- Wu, X.; Luo, Y.; Liu, Q.; Jiang, S.; Mu, G. Improved structure-stability and packaging characters of crosslinked collagen fiber-based film with casein, keratin and SPI. J. Sci. Food Agric. 2019, 99, 4942–4951. [Google Scholar] [CrossRef]
- Wang, W.; Wang, Y.; Wang, Y.; Zhang, X.; Wang, X.; Gao, G. Fabrication and characterization of microfibrillated cellulose and collagen composite films. J. Bioresour. Bioprod. 2016, 1, 162–168. [Google Scholar]
- Rýglová, Š.; Braun, M.; Suchý, T. Collagen and its modifications—Crucial aspects with concern to its processing and analysis. Macromol. Mater. Eng. 2017, 302, 1600460. [Google Scholar] [CrossRef]
- Gu, L.; Shan, T.; Ma, Y.; Tay, F.R.; Niu, L. Novel biomedical applications of crosslinked collagen. Trends Biotechnol. 2019, 37, 464–491. [Google Scholar] [CrossRef]
- Wang, W.; Liu, Y.; Liu, A.; Xiao, J.; Wang, K.; Zhao, Y.; Zhang, S.; Zhang, L. Fabrication of acid-swollen collagen fiber-based composite films: Effect of nano-hydroxyapatite on packaging related properties. Int. J. Food Prop. 2016, 20, 968–978. [Google Scholar] [CrossRef]
- Juncu, G.; Stoica-Guzun, A.; Stroescu, M.; Isopencu, G.; Jinga, S.I. Drug release kinetics from carboxymethylcellulose-bacterial cellulose composite films. Int. J. Pharm. 2016, 510, 485–492. [Google Scholar] [CrossRef] [PubMed]
- Vinklárková, L.; Masteiková, R.; Foltýnová, G.; Muselík, J.; Pavloková, S.; Bernatonienė, J.; Vetchý, D. Film wound dressing with local anesthetic based on insoluble carboxymethycellulose matrix. J. Appl. Biomed. 2017, 15, 313–320. [Google Scholar] [CrossRef]
- Kanikireddy, V.; Varaprasad, K.; Jayaramudu, T.; Karthiekeyan, C.; Sadiku, R. Carboxymethyl cellulose-based materials for infection control and wound healing: A review. Int. J. Biol. Macromol. 2020, 164, 963–975. [Google Scholar] [CrossRef]
- Tenorová, K.; Masteiková, R.; Kovárová, N.; Kostelanská, K.; Přikryl, J.; Vetchý, D.; Bernatonienė, J. Preparation and evaluation of bilayer films based on collagen and carboxymethylcellulose for wound therapy. Ceska Slov. Farm. 2019, 68, 229–236. [Google Scholar]
- Tenorová, K.; Masteiková, R.; Jarábková, J.; Vetchý, D.; Bernatonienė, J. Collagen in combination with the acid form of carboxymethylcellulose in the form of a non-woven textile as a modern wound dressing—Formulation, preparation and evaluation. Ceska Slov. Farm. 2020, 69, 163–171. [Google Scholar]
- Priya, B.; Gupta, V.K.; Pathania, D.; Singha, A.S. Synthesis, characterization, and antibacterial activity of biodegradable starch/PVA composite films reinforced with cellulosic fibre. Carbohydr. Polym. 2014, 109, 171–179. [Google Scholar] [CrossRef]
- Telis, V.; Wolf, K.; Sobral, P. Characterizations of Collagen Fibers for Biodegradable Films Production. In Proceedings of the 13th World Congress of Food Science & Technology, Nantes, France, 17–21 September 2006. [Google Scholar]
- European Pharmacopoeia Commision. European Pharmacopoeia, 9th ed.; Deutscher Apotheker Verlag: Stuttgart, Germany, 2017. [Google Scholar]
- Core, R. Team. R: A Language and Environment for Statistical Computing; R Foundation for Statistical Computing: Vienna, Austria, 2021. [Google Scholar]
- Savencu, I.; Iurian, S.; Porfire, A.; Bogdan, C.; Tomuta, I. Review of advances in polymeric wound dressing films. React. Funct. Polym. 2021, 168, 105059. [Google Scholar] [CrossRef]
- Saghazadeh, S.; Rinoldi, C.; Schot, M.; Kashaf, S.S.; Sharifi, F.; Jalilian, E.; Nuutila, K.; Giatsidis, G.; Mostafalu, P.; Derakhshandeh, H. Drug delivery systems and materials for wound healing applications. Adv. Drug Deliv. Rev. 2018, 127, 138–166. [Google Scholar] [CrossRef]
- Waring, M.; Butcher, M. An investigation into the conformability of wound dressings. Wounds UK 2011, 7, 14–24. [Google Scholar]
- Liu, X.; Xu, H.; Zhang, M.; Yu, D. Electrospun Medicated Nanofibers for Wound Healing: Review. Membranes 2021, 11, 770. [Google Scholar] [CrossRef] [PubMed]
- Contardi, M.; Lenzuni, M.; Fiorentini, F.; Summa, M.; Bertorelli, R.; Suarato, G.; Athanassiou, A. Hydroxycinnamic Acids and Derivatives Formulations for Skin Damages and Disorders: A Review. Pharmaceutics 2021, 13, 999. [Google Scholar] [CrossRef] [PubMed]
- Oluwatosin Abegunde, O.; Titilayo Akinlabi, E.; Philip Oladijo, O.; Akinlabi, S.; Uchenna Ude, A. Overview of thin film deposition techniques. AIMS Mater. Sci. 2019, 6, 174–199. [Google Scholar] [CrossRef]
- Elbl, J.; Gajdziok, J.; Kolarczyk, J. 3D printing of multilayered orodispersible films with in-process drying. Int. J. Pharm. 2020, 575, 118883. [Google Scholar] [CrossRef] [PubMed]
- Derwin, R.; Patton, D.; Avsar, P.; Strapp, H.; Moore, Z. The impact of topical agents and dressing on pH and temperature on wound healing: A systematic, narrative review. Int. Wound J. 2021, 1–12. [Google Scholar] [CrossRef] [PubMed]
- Jones, E.M.; Cochrane, C.A.; Percival, S.L. The Effect of pH on the Extracellular Matrix and Biofilms. Adv. Wound Care 2015, 4, 431–439. [Google Scholar] [CrossRef] [PubMed]
- Nagoba, B.S.; Suryawanshi, N.M.; Wadher, B.; Selkar, S. Acidic environment and wound healing: A review. Wounds 2015, 27, 5–11. [Google Scholar]
- Metcalf, D.G.; Haalboom, M.; Bowler, P.G.; Gamerith, C.; Sigl, E.; Heinzle, A.; Burnet, M.W.M. Elevated wound fluid pH correlates with increased risk of wound infection. Wound Med. 2019, 26, 100166. [Google Scholar] [CrossRef]
- Pišlová, M.; Kolárová, K.; Vosmanská, V.; Kvítek, O.; Švorcík, V. Preparation of 9 polysaccharide films based on chitosan and cellulose. Chem. Listy. 2015, 109, 942–945. [Google Scholar]
- Tenorová, K.; Masteiková, R.; Kostelanská, K.; Vetchý, D. Film wound dressing containing dexpanthenol—Preparation and evaluation. Ceska Slov. Farm. 2019, 68, 27–33. [Google Scholar]
- Power, G.; Moore, Z.; O’Connor, T. Measurement of pH, exudate composition and temperature in wound healing: A systematic review. J Wound Care 2017, 26, 381–397. [Google Scholar] [CrossRef] [PubMed]
- Azarea, A.I.; Alruwaili, N.K.; Ahmad, M.M.; Munir, M.U.; Butt, A.M.; Alrowaili, Z.A.; Bin Shahari, M.S.; Almalki, Z.S.; Alqahtani, S.S.; Dolzhenko, A.V. Development and Characterization of Gentamicin-Loaded Arabinoxylan-Sodium Alginate Films as Antibacterial Wound Dressing. Int. J. Mol. Sci. 2022, 23, 2899. [Google Scholar] [CrossRef] [PubMed]
- Paunonen, S. Strength and barrier enhancements of cellophane and cellulose derivative films: A review. BioResources 2013, 8, 3098–3121. [Google Scholar] [CrossRef]
- Schmitz, M.; Mustafi, N.; Rogmans, S.; Kasparek, S. Pilot-study switchable film dressing & elderly skin/patients with chronic wounds: A non-interventional, non-placebo-controlled, national pilot study. Wound Med. 2020, 30, 100189. [Google Scholar] [CrossRef]
- Simi, C.K.; Abraham, T.E. Biodegradable biocompatible xyloglucan films for various applications. Colloid Polym. Sci. 2010, 288, 297–306. [Google Scholar] [CrossRef]
- Hoffmann, E.M.; Breitenbach, A.; Breitkreutz, J. Advances in orodispersible films for drug delivery. Expert Opin. Drug Deliv. 2011, 8, 299–316. [Google Scholar] [CrossRef]






| Sample | Collagen Source | Amount of Collagen (g) | Amount of CMC (g) | Plasticiser | Amount of Plasticiser (g) (CMC Dispersion + Added Extra) | Collagen–Plasticiser Ratio |
|---|---|---|---|---|---|---|
| P-G-2 | porcine | 1.0 | 1.0 | glycerine | 1.0 + 1.0 | 1:2 |
| P-G-3 | porcine | 1.0 | 1.0 | glycerine | 1.0 + 2.0 | 1:3 |
| P-M-2 | porcine | 1.0 | 1.0 | macrogol 300 | 1.0 + 1.0 | 1:2 |
| P-M-3 | porcine | 1.0 | 1.0 | macrogol 300 | 1.0 + 2.0 | 1:3 |
| B-G-2 | bovine | 1.0 | 1.0 | glycerine | 1.0 + 1.0 | 1:2 |
| B-G-3 | bovine | 1.0 | 1.0 | glycerine | 1.0 + 2.0 | 1:3 |
| B-M-2 | bovine | 1.0 | 1.0 | macrogol 300 | 1.0 + 1.0 | 1:2 |
| B-M-3 | bovine | 1.0 | 1.0 | macrogol 300 | 1.0 + 2.0 | 1:3 |
| E-G-2 | equine | 1.0 | 1.0 | glycerine | 1.0 + 1.0 | 1:2 |
| E-G-3 | equine | 1.0 | 1.0 | glycerine | 1.0 + 2.0 | 1:3 |
| E-M-2 | equine | 1.0 | 1.0 | macrogol 300 | 1.0 + 1.0 | 1:2 |
| E-M-3 | equine | 1.0 | 1.0 | macrogol 300 | 1.0 + 2.0 | 1:3 |
| Sample | Thickness (µm) | |||||
|---|---|---|---|---|---|---|
| Dry State | 15 min | 1 h | 3 h | 8 h | 24 h | |
| P-G-2 | 84.7 ± 8.3 | 146.8 ± 22.1 | 148.7 ± 22.4 | 199.7 ± 18.8 | 231.2 ±27.7 | 331.5 ± 66.5 |
| P-G-3 | 91.6 ± 8.6 | 153.0 ± 19.3 | 171.0 ± 16.5 | 233.7 ± 23.3 | 247.8 ± 31.3 | 382.5 ± 61.9 |
| P-M-2 | 97.4 ± 7.9 | 185.5 ± 12.3 | 191.2 ± 23.8 | 192.3 ± 20.0 | 280.9 ± 36.3 | 332.0 ± 47.0 |
| P-M-3 | 120.2 ± 11.2 | 257.1 ± 37.8 | 272.8 ± 29.0 | 278.1 ± 20.4 | 311.6 ± 71.7 | 386.5 ± 108.3 |
| B-G-2 | 85.1 ± 9.2 | 229.6 ± 38.5 | 233.3 ± 33.3 | 262.8 ± 26.5 | 291.8 ± 31.9 | 362.3 ± 76.7 |
| B-G-3 | 96.7 ± 7.6 | 199.1 ± 35.6 | 249.6 ± 32.5 | 284.8 ± 35.1 | 300.0 ± 47.6 | 468.3 ± 72.3 |
| B-M-2 | 91.1 ± 6.6 | 234.6 ± 15.6 | 236.4 ± 39.3 | 250.3 ± 18.9 | 254.5 ± 20.9 | 402.2 ± 61.9 |
| B-M-3 | 117.2 ± 10.1 | 279.7 ± 70.1 | 299.1 ± 37.4 | 307.3 ± 28.0 | 332.2 ± 28.3 | 421.1 ± 76.7 |
| E-G-2 | 60.8 ± 6.6 | 98.6 ± 18.0 | 106.2 ± 14.7 | 124.7 ± 8.6 | 135.3 ± 13.8 | 135.6 ± 14.8 |
| E-G-3 | 69.5 ± 7.6 | 154.2 ± 16.7 | 161.7 ± 16.8 | 178.0 ± 16.6 | 179.1 ± 17.6 | 191.2 ± 27.1 |
| E-M-2 | 82.3 ± 6.9 | 118.4 ± 11.6 | 121.6 ± 10.7 | 127.6 ± 10.6 | 136.3 ± 16.1 | 139.9 ± 19.5 |
| E-M-3 | 100.2 ± 9.4 | 154.7 ± 22.3 | 175.1 ± 26.1 | 194.9 ± 14.8 | 211.9 ± 22.5 | 220.7 ± 19.2 |
| Sample | Average Weight (mg) | Min. Weight | Max. Weight | Compliance with European Pharmacopoeia Limit | ||
|---|---|---|---|---|---|---|
| mg | % a | mg | % a | |||
| P-G-2 | 71.4 ± 2.0 | 67.5 | −5.4 | 73.9 | +3.5 | Yes |
| P-G-3 | 98.1 ± 4.3 | 91.4 | −6.8 | 106.1 | +8.1 b | Yes |
| P-M-2 | 79.5 ± 3.3 | 75.6 | −4.9 | 86.6 | +8.9 b | Yes |
| P-M-3 | 93.6 ± 1.9 | 89.5 | −4.4 | 96.8 | +3.4 | Yes |
| B-G-2 | 83.2 ± 4.1 | 77.5 | −6.8 | 89.6 | +7.7 b | Yes |
| B-G-3 | 95.2 ± 5.3 | 89.4 | −6.1 | 107.1 | +12.5 b | Yes |
| B-M-2 | 70.4 ± 3.5 | 65.2 | −7.4 | 76.4 | +8.5 b | Yes |
| B-M-3 | 94.6 ± 5.7 | 82.7 | −12.6b | 101.6 | +7.3 | Yes |
| E-G-2 | 66.3 ± 3.3 | 61.4 | −7.5 | 73.0 | +10.0 b | Yes |
| E-G-3 | 91.7 ± 3.6 | 87.2 | −4.9 | 98.8 | +7.7 b | Yes |
| E-M-2 | 75.2 ± 4.1 | 68.3 | −9.1b | 80.3 | +6.8 | Yes |
| E-M-3 | 94.5 ± 2.3 | 89.6 | −5.2 | 98.8 | +4.5 | Yes |
| Sample | pH | |||||
|---|---|---|---|---|---|---|
| After Wetting | pH Alterations in Determined Time Intervals | |||||
| 15 min | 1 h | 3 h | 8 h | 24 h | ||
| P-G-2 | 3.15 ± 0.02 | 3.73 ± 0.01 | 3.81 ± 0.03 | 3.78 ± 0.03 | 3.82 ± 0.04 | 4.46 ± 0.24 |
| P-G-3 | 3.22 ± 0.01 | 3.72 ± 0.05 | 3.86 ± 0.06 | 3.71 ± 0.09 | 4.27 ±0.07 | 4.58 ± 0.18 |
| P-M-2 | 3.05 ± 0.03 | 3.60 ± 0.11 | 3.78 ± 0.03 | 3.90 ± 0.06 | 3.83 ± 0.08 | 4.44 ± 0.12 |
| P-M-3 | 3.04 ± 0.04 | 3.55 ± 0.04 | 3.76 ± 0.03 | 3.99 ± 0.06 | 3.78 ± 0.08 | 4.31 ± 0.07 |
| B-G-2 | 2.45 ± 0.08 | 3.60 ± 0.03 | 3.49 ± 0.19 | 3.64 ± 0.04 | 3.87 ± 0.06 | 4.51 ± 0.17 |
| B-G-3 | 2.62 ± 0.02 | 3.73 ± 0.17 | 3.46 ± 0.11 | 3.69 ± 0.18 | 3.80 ± 0.06 | 4.39 ± 0.08 |
| B-M-2 | 2.50 ± 0.03 | 3.54 ± 0.07 | 3.38 ± 0.01 | 3.67 ± 0.06 | 3.65 ± 0.03 | 4.24 ± 0.13 |
| B-M-3 | 2.63 ± 0.06 | 3.32 ± 0.03 | 3.36 ± 0.04 | 3.46 ± 0.06 | 3.75 ± 0.02 | 4.38 ± 0.18 |
| E-G-2 | 2.18 ± 0.05 | 4.05 ± 0.03 | 4.07 ± 0.08 | 4.63 ± 0.19 | 5.94 ± 0.11 | 6.21 ± 0.17 |
| E-G-3 | 2.19 ± 0.11 | 3.96 ± 0.14 | 4.01 ± 0.05 | 4.23 ±0.04 | 5.93 ± 0.18 | 6.27 ± 0.17 |
| E-M-2 | 2.10 ± 0.07 | 3.80 ± 0.24 | 4.14 ± 0.06 | 4.24 ± 0.05 | 4.61± 0.36 | 6.02 ± 0.15 |
| E-M-3 | 2.20 ± 0.07 | 3.75 ± 0.07 | 3.93 ± 0.04 | 3.97 ± 0.24 | 4.11± 0.27 | 5.99 ± 0.05 |
Publisher’s Note: MDPI stays neutral with regard to jurisdictional claims in published maps and institutional affiliations. |
© 2022 by the authors. Licensee MDPI, Basel, Switzerland. This article is an open access article distributed under the terms and conditions of the Creative Commons Attribution (CC BY) license (https://creativecommons.org/licenses/by/4.0/).
Share and Cite
Tenorová, K.; Masteiková, R.; Pavloková, S.; Kostelanská, K.; Bernatonienė, J.; Vetchý, D. Formulation and Evaluation of Novel Film Wound Dressing Based on Collagen/Microfibrillated Carboxymethylcellulose Blend. Pharmaceutics 2022, 14, 782. https://doi.org/10.3390/pharmaceutics14040782
Tenorová K, Masteiková R, Pavloková S, Kostelanská K, Bernatonienė J, Vetchý D. Formulation and Evaluation of Novel Film Wound Dressing Based on Collagen/Microfibrillated Carboxymethylcellulose Blend. Pharmaceutics. 2022; 14(4):782. https://doi.org/10.3390/pharmaceutics14040782
Chicago/Turabian StyleTenorová, Kateřina, Ruta Masteiková, Sylvie Pavloková, Klára Kostelanská, Jurga Bernatonienė, and David Vetchý. 2022. "Formulation and Evaluation of Novel Film Wound Dressing Based on Collagen/Microfibrillated Carboxymethylcellulose Blend" Pharmaceutics 14, no. 4: 782. https://doi.org/10.3390/pharmaceutics14040782
APA StyleTenorová, K., Masteiková, R., Pavloková, S., Kostelanská, K., Bernatonienė, J., & Vetchý, D. (2022). Formulation and Evaluation of Novel Film Wound Dressing Based on Collagen/Microfibrillated Carboxymethylcellulose Blend. Pharmaceutics, 14(4), 782. https://doi.org/10.3390/pharmaceutics14040782

