Model-Informed Precision Dosing of Linezolid in Patients with Drug-Resistant Tuberculosis
Abstract
:1. Introduction
2. Materials and Methods
2.1. Patients and Pharmacokinetic Data
2.2. Population Pharmacokinetic Model
2.2.1. Structural Model Building
2.2.2. Stochastic Model Building
2.2.3. Covariate Model Building
2.2.4. Model Evaluation
2.3. Model-Informed Precision Dosing Algorithm
2.4. Software
3. Results
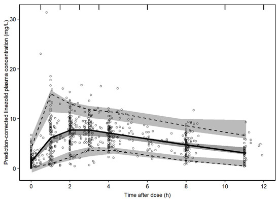
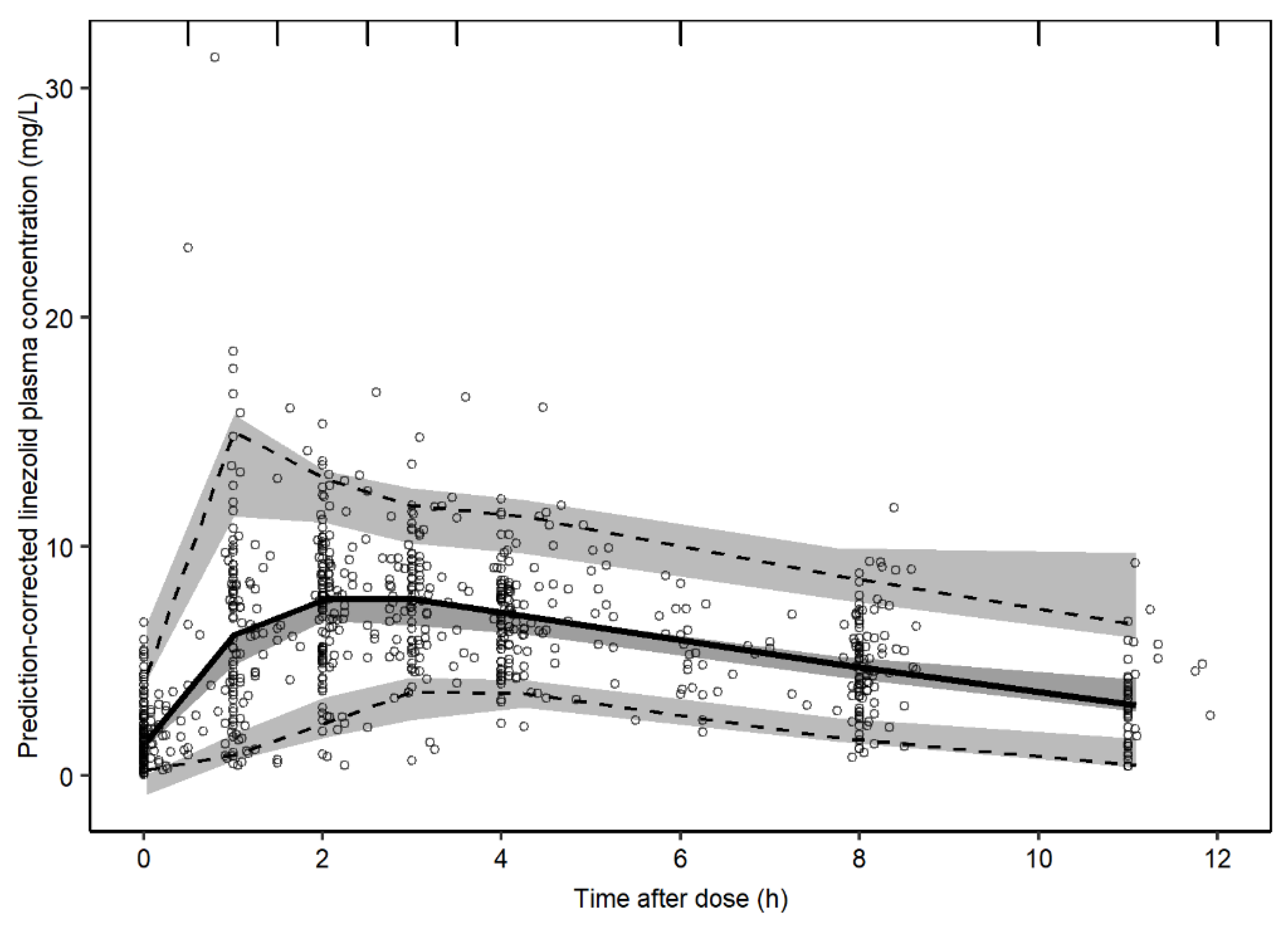
3.1. Population Pharmacokinetic Model
3.2. MIPD Algorithm
4. Discussion
5. Conclusions
Supplementary Materials
Author Contributions
Funding
Institutional Review Board Statement
Informed Consent Statement
Data Availability Statement
Acknowledgments
Conflicts of Interest
References
- Global Tuberculosis Report 2019; Licence: CC BY-NC-SA 3.0 IGO; World Health Organization: Geneva, Switzerland, 2019.
- Meeting Report of the WHO Expert Consultation on the Definition of Extensively Drug-Resistant Tuberculosis, 27–29 October 2020; CC BY-NC-SA 3.0 IGO; World Health Organization: Geneva, Switzerland, 2021.
- Global Tuberculosis Report 2021; Licence: CC BY-NC-SA 3.0 IGO; World Health Organization: Geneva, Switzerland, 2021.
- Hashemian, S.M.; Farhadi, T.; Ganjparvar, M. Linezolid: A review of its properties, function, and use in critical care. Drug Des. Dev. Ther. 2018, 12, 1759–1767. [Google Scholar] [CrossRef]
- Srivastava, S.; Magombedze, G.; Koeuth, T.; Sherman, C.; Pasipanodya, J.G.; Raj, P.; Wakeland, E.; Deshpande, D.; Gumbo, T. Linezolid Dose That Maximizes Sterilizing Effect While Minimizing Toxicity and Resistance Emergence for Tuberculosis. Antimicrob. Agents Chemother. 2017, 61, e00751-17. [Google Scholar] [CrossRef] [Green Version]
- Millard, J.; Pertinez, H.; Bonnett, L.; Hodel, E.M.; Dartois, V.; Johnson, J.L.; Caws, M.; Tiberi, S.; Bolhuis, M.; Alffenaar, J.-W.C.; et al. Linezolid pharmacokinetics in MDR-TB: A systematic review, meta-analysis and Monte Carlo simulation. J. Antimicrob. Chemother. 2018, 73, 1755–1762. [Google Scholar] [CrossRef] [PubMed] [Green Version]
- Song, T.; Lee, M.; Jeon, H.-S.; Park, Y.; Dodd, L.E.; Dartois, V.; Follman, D.; Wang, J.; Cai, Y.; Goldfeder, L.C.; et al. Linezolid Trough Concentrations Correlate with Mitochondrial Toxicity-Related Adverse Events in the Treatment of Chronic Extensively Drug-Resistant Tuberculosis. EBioMedicine 2015, 2, 1627–1633. [Google Scholar] [CrossRef] [Green Version]
- Conradie, F.; Diacon, A.H.; Ngubane, N.; Howell, P.; Everitt, D.; Crook, A.M.; Mendel, C.M.; Egizi, E.; Moreira, J.; Timm, J.; et al. Treatment of Highly Drug-Resistant Pulmonary Tuberculosis. N. Engl. J. Med. 2020, 382, 893–902. [Google Scholar] [CrossRef] [PubMed]
- Maartens, G.; Benson, C.A. Linezolid for Treating Tuberculosis: A Delicate Balancing Act. EBioMedicine 2015, 2, 1568–1569. [Google Scholar] [CrossRef] [Green Version]
- WHO Consolidated Guidelines on Drug-Resistant Tuberculosis Treatment; Licence: CC BY-NC-SA 3.0 IGO; World Health Organization: Geneva, Switzerland, 2019.
- Rao, G.G.; Konicki, R.; Cattaneo, D.; Alffenaar, J.-W.; Marriott, D.J.E.; Neely, M. Therapeutic Drug Monitoring Can Improve Linezolid Dosing Regimens in Current Clinical Practice: A Review of Linezolid Pharmacokinetics and Pharmacodynamics. Ther. Drug Monit. 2020, 42, 83–92. [Google Scholar] [CrossRef] [PubMed]
- Singh, B.; Cocker, D.; Ryan, H.; Sloan, D.J. Linezolid for drug-resistant pulmonary tuberculosis. Cochrane Database Syst. Rev. 2019, 3, CD012836. [Google Scholar] [CrossRef]
- Keizer, R.J.; ter Heine, R.; Frymoyer, A.; Lesko, L.J.; Mangat, R.; Goswami, S. Model-Informed Precision Dosing at the Bedside: Scientific Challenges and Opportunities. CPT Pharmacomet. Syst. Pharmacol. 2018, 7, 785–787. [Google Scholar] [CrossRef]
- van Beek, S.W.; ter Heine, R.; Keizer, R.J.; Magis-Escurra, C.; Aarnoutse, R.E.; Svensson, E.M. Personalized Tuberculosis Treatment Through Model-Informed Dosing of Rifampicin. Clin. Pharmacokinet. 2019, 58, 815–826. [Google Scholar] [CrossRef] [Green Version]
- Svensson, R.J.; Niward, K.; Davies Forsman, L.; Bruchfeld, J.; Paues, J.; Eliasson, E.; Schön, T.; Simonsson, U.S. Individualised dosing algorithm and personalised treatment of high-dose rifampicin for tuberculosis. Br. J. Clin. Pharmacol. 2019, 85, 2341–2350. [Google Scholar] [CrossRef]
- Keutzer, L.; Simonsson, U.S.H. Individualized Dosing With High Inter-Occasion Variability Is Correctly Handled With Model-Informed Precision Dosing-Using Rifampicin as an Example. Front. Pharmacol. 2020, 11, 794. [Google Scholar] [CrossRef]
- Harmelink, I.M.; Alffenaar, J.-W.; Wessels, A.M.A. A rapid and simple liquid chromatography-tandem mass spectrometry method for the determination of linezolid in human serum. Eur. J. Hosp. Pharm. 2008, 14, 3–7. [Google Scholar]
- Cockcroft, D.W.; Gault, M.H. Prediction of creatinine clearance from serum creatinine. Nephron 1976, 16, 31–41. [Google Scholar] [CrossRef] [PubMed]
- Beal, S.L. Ways to fit a PK model with some data below the quantification limit. J. Pharmacokinet. Pharmacodyn. 2001, 8, 481–504. [Google Scholar] [CrossRef] [PubMed]
- Rousseau, A.; Léger, F.; Le Meur, Y.; Saint-Marcoux, F.; Paintaud, G.; Buchler, M.; Marquet, P. Population Pharmacokinetic Modeling of Oral Cyclosporin Using NONMEM: Comparison of Absorption Pharmacokinetic Models and Design of a Bayesian Estimator. Ther. Drug Monit. 2004, 26, 23–30. [Google Scholar] [CrossRef]
- Savic, R.M.; Jonker, D.M.; Kerbusch, T. Evaluation of a Transit Compartment Model Versus a Lag Time Model for Describing Drug Absorption Delay; Abstr 513; Population Approach Group Europe: Uppsala, Sweden, 2004. [Google Scholar]
- Plock, N.; Buerger, C.; Joukhadar, C.; Kljucar, S.; Kloft, C. Does linezolid inhibit its own metabolism? Population pharmacokinetics as a tool to explain the observed nonlinearity in both healthy volunteers and septic patients. Drug Metab. Dispos. 2007, 35, 1816–1823. [Google Scholar] [CrossRef] [PubMed] [Green Version]
- Abuhelwa, A.Y.; Foster, D.J.R.; Mudge, S.; Hayes, D.; Upton, R.N. Population pharmacokinetic modeling of itraconazole and hydroxyitraconazole for oral SUBA-itraconazole and sporanox capsule formulations in healthy subjects in fed and fasted states. Antimicrob. Agents Chemother. 2015, 59, 5681–5696. [Google Scholar] [CrossRef] [PubMed] [Green Version]
- Smythe, W.; Khandelwal, A.; Merle, C.; Rustomjee, R.; Gninafon, M.; Bocar Lo, M.; Sow, O.B.; Olliaro, P.L.; Lienhardt, C.; Horton, J.; et al. A semimechanistic pharmacokinetic-enzyme turnover model for rifampin autoinduction in adult tuberculosis patients. Antimicrob. Agents Chemother. 2012, 56, 2091–2098. [Google Scholar] [CrossRef] [PubMed] [Green Version]
- Keel, R.A.; Schaeftlein, A.; Kloft, C.; Pope, J.S.; Knauft, R.F.; Muhlebach, M.; Nicolau, D.P.; Kuti, J.L. Pharmacokinetics of Intravenous and Oral Linezolid in Adults with Cystic Fibrosis. Antimicrob. Agents Chemother. 2011, 55, 3393–3398. [Google Scholar] [CrossRef] [PubMed] [Green Version]
- Minichmayr, I.K.; Schaeftlein, A.; Kuti, J.L.; Zeitlinger, M.; Kloft, C. Clinical Determinants of Target Non-Attainment of Linezolid in Plasma and Interstitial Space Fluid: A Pooled Population Pharmacokinetic Analysis with Focus on Critically Ill Patients. Clin. Pharmacokinet. 2017, 56, 617–633. [Google Scholar] [CrossRef]
- West, G.B.; Brown, J.H.; Enquist, B.J. A General Model for the Origin of Allometric Scaling Laws in Biology. Science 1997, 276, 122–126. [Google Scholar] [CrossRef]
- West, G.; Brown, J.; Enquist, B. The Fourth Dimension of Life: Fractal Geometry and Allometric Scaling of Organisms. Science 1999, 284, 1677–1679. [Google Scholar] [CrossRef] [PubMed] [Green Version]
- Holford, N.H. A size standard for pharmacokinetics. Clin. Pharmacokinet. 1996, 30, 329–332. [Google Scholar] [CrossRef] [PubMed]
- Holford, N.H.G.; Anderson, B.J. Allometric size: The scientific theory and extension to normal fat mass. Eur. J. Pharm. Sci. 2017, 109, S59–S64. [Google Scholar] [CrossRef] [PubMed]
- Keizer, R.J.; Karlsson, M.O.; Hooker, A. Modeling and Simulation Workbench for NONMEM: Tutorial on Pirana, PsN, and Xpose. CPT Pharmacomet. Syst. Pharmacol. 2013, 2, e50. [Google Scholar] [CrossRef] [PubMed]
- Kamp, J.; Bolhuis, M.S.; Tiberi, S.; Akkerman, O.W.; Centis, R.; de Lange, W.C.; Kosterink, J.G.; van der Werf, T.; Migliori, G.B.; Alffenaar, J.-W.C. Simple strategy to assess linezolid exposure in patients with multi-drug-resistant and extensively-drug-resistant tuberculosis. Int. J. Antimicrob. Agents 2017, 49, 688–694. [Google Scholar] [CrossRef]
- Pawsey, S.D.; Daley-Yates, P.T.R.; Wajszczuk, C.P. U-1007666 safety, toleration and pharmacokinetics after oral and intravenous administration. In Abstracts of the First European Congress of Chemotherapy, Glasgow UK; Abstract F151; Federation for the Societies for European Chemotherapy and Infection: London, UK, 1996. [Google Scholar]
- Beal, S.; Sheiner, L.; Boeckmann, A.; Bauer, R. NONMEM 7.4 Users Guides; ICON plc.: Gaithersburg, MD, USA, 1989. [Google Scholar]
- R Core Team. R: A Language and Environment for Statistical Computing; R Foundation for Statistical Computing: Vienna, Austria, 2015. [Google Scholar]
- Cojutti, P.; Pai, M.P.; Pea, F. Population Pharmacokinetics and Dosing Considerations for the Use of Linezolid in Overweight and Obese Adult Patients. Clin. Pharmacokinet. 2018, 57, 989–1000. [Google Scholar] [CrossRef]
- Beringer, P.; Nguyen, M.; Hoem, N.; Louie, S.; Gill, M.; Gurevitch, M.; Wong-Beringer, A. Absolute bioavailability and pharmacokinetics of linezolid in hospitalized patients given enteral feedings. Antimicrob. Agents Chemother. 2005, 49, 3676–3681. [Google Scholar] [CrossRef] [Green Version]
- De Vriese, A.S.; Van Coster, R.; Smet, J.; Seneca, S.; Lovering, A.; Van Haute, L.L.; Vanopdenbosch, L.J.; Martin, J.-J.; Groote, C.C.-D.; Vandecasteele, S.; et al. Linezolid-Induced Inhibition of Mitochondrial Protein Synthesis. Clin. Infect. Dis. 2006, 42, 1111–1117. [Google Scholar] [CrossRef]
- Soldin, O.P.; Mattison, D.R. Sex differences in pharmacokinetics and pharmacodynamics. Clin. Pharmacokinet. 2009, 48, 143–157. [Google Scholar] [CrossRef] [Green Version]
- Guidelines for Treatment of Drug-Susceptible Tuberculosis and Patient Care; Licence: CC BY-NC-SA 3.0 IGO; 2017 Update; World Health Organization: Geneva, Switzerland, 2017.
- Alghamdi, W.A.; Al-Shaer, M.H.; An, G.; Alsultan, A.; Kipiani, M.; Barbakadze, K.; Mikiashvili, L.; Ashkin, D.; Griffith, D.E.; Cegielski, J.P.; et al. Population Pharmacokinetics of Linezolid in Tuberculosis Patients: Dosing Regimens Simulation and Target Attainment Analysis. Antimicrob. Agents Chemother. 2020, 64, e01174-20. [Google Scholar] [CrossRef]
- Tietjen, A.K.; Kroemer, N.; Cattaneo, D.; Baldelli, S.; Wicha, S.G. Population pharmacokinetics and target attainment analysis of linezolid in multidrug-resistant tuberculosis patients. Br. J. Clin. Pharmacol. 2021, 88, 1835–1844. [Google Scholar] [CrossRef]
- New Trial Results Show Effectiveness of BPaL Regimen for Highly Drug-Resistant TB Can Be Maintained with Reduced Dosing of Linezolid. TB Alliance n.d. Available online: https://www.tballiance.org.za/news/zenix-press-release-english (accessed on 19 November 2021).
- Kristoffersson, A.N.; David-Pierson, P.; Parrott, N.J.; Kuhlmann, O.; Lave, T.; Friberg, L.E.; Nielsen, E.I. Simulation-Based Evaluation of PK/PD Indices for Meropenem Across Patient Groups and Experimental Designs. Pharm. Res. 2016, 33, 1115–1125. [Google Scholar] [CrossRef]
- Mouton, J.W.; Meletiadis, J.; Voss, A.; Turnidge, J. Variation of MIC measurements: The contribution of strain and laboratory variability to measurement precision. J. Antimicrob. Chemother. 2018, 73, 2374–2379. [Google Scholar] [CrossRef] [Green Version]
- Mouton, J.W.; Muller, A.E.; Canton, R.; Giske, C.G.; Kahlmeter, G.; Turnidge, J. MIC-based dose adjustment: Facts and fables. J. Antimicrob. Chemother. 2018, 73, 564–568. [Google Scholar] [CrossRef] [Green Version]





| Parameter | Unit | All Patients |
|---|---|---|
| N | 70 | |
| Mean weight (range) | kg | 61.2 (35.3–88.9) |
| Mean height (range) | m | 1.70 (1.50–1.93) |
| Mean creatinine clearance (range) | mL/min | 116.1 (40.7–150.0) a |
| Mean age (range) | years | 32 (15–70) |
| Mean body mass index (range) | kg/m2 | 21.2 (15.5–32.6) |
| No. of male sex | n (%) | 38 (54.5) |
| No. with HIV | n (%) | 5 (7.1) |
| No. with diabetes | n (%) | 9 (12.9) |
| No. smoking | n (%) | 26 (37.1) |
| No. alcohol abuse | n (%) | 6 (8.6) |
| No. pregnancy | n (%) | 3 (4.3) |
| No. from indicated WHO region | n (%) | |
| African region | 10 (14.3) | |
| Region of the Americas | 2 (2.9) | |
| Southeast Asia region | 6 (8.6) | |
| European region Eastern | 27 (38.6) | |
| Mediterranean region | 15 (21.4) | |
| Western Pacific region | 10 (14.3) |
| Parameter | Description | Estimate | 90% CI c | RSE% d |
|---|---|---|---|---|
| CL/F (L/h/70 kg) | Apparent clearance (uninhibited) | 6.3 | 5.6–7.0 | 6.4 |
| Vd/F (L/70 kg) | Apparent volume of distribution | 50.6 | 48.5–53.1 | 3.1 |
| ka (h−1) | Absorption rate constant | 1.8 | 1.5–2.1 | 13.8 |
| MTT (h) | Mean transit time | 0.53 | 0.44–0.61 | 10.6 |
| kIC (h−1) | Rate constant into the inhibition compartment | 0.0005 FIX e | - | - |
| IC50 (mg/L) | Concentration in the inhibition compartment yielding half of clearance inhibition | 0.38 FIX e | - | - |
| RCLF | Remaining clearance fraction uninhibited | 0.798 | 0.69–0.92 | 11.3 |
| Covariates | ||||
| HIV co-infection on CL/F | Effect of HIV co-infection on CL/F | 0.43 | 0.07–0.90 | 122.0 |
| Sex on ka | Effect of sex on ka | 0.95 | 0.78–1.10 | 14.0 |
| P-gp inhibitor on MTT | Effect of P-gp inhibitor on MTT | 0.96 | 0.84–1.09 | 9.0 |
| Inter-individual variability | ||||
| IIVCL/F (%CV) a | Inter-individual variability in apparent clearance (uninhibited) | 0.26 | 0.21–0.31 | 13.0 |
| IIVMTT (%CV) a | Inter-individual variability in mean transit time | 0.62 | 0.40–0.80 | 19.9 |
| Inter-occasion variability | ||||
| IOVCL/F (%CV) b | Inter-occasion variability in apparent clearance (uninhibited) | 0.27 | 0.23–0.30 | 9.0 |
| IOVV/F (%CV) b | Inter-occasion variability in apparent volume of distribution | 0.26 | 0.23–0.30 | 8.5 |
| IOVka (%CV) b | Inter-occasion variability in absorption rate constant | 0.93 | 0.71–1.16 | 15.2 |
| IOVMTT (%CV) b | Inter-occasion variability in mean transit time | 0.69 | 0.53–0.85 | 13.4 |
| Residual variability | ||||
| Proportional error (%) | Proportional residual error | 0.054 | 0.045–0.065 | 12.5 |
| Additive error (mg/L) | Additive residual error | 0.53 | 0.483–0.570 | 7.0 |
Publisher’s Note: MDPI stays neutral with regard to jurisdictional claims in published maps and institutional affiliations. |
© 2022 by the authors. Licensee MDPI, Basel, Switzerland. This article is an open access article distributed under the terms and conditions of the Creative Commons Attribution (CC BY) license (https://creativecommons.org/licenses/by/4.0/).
Share and Cite
Mockeliunas, L.; Keutzer, L.; Sturkenboom, M.G.G.; Bolhuis, M.S.; Hulskotte, L.M.G.; Akkerman, O.W.; Simonsson, U.S.H. Model-Informed Precision Dosing of Linezolid in Patients with Drug-Resistant Tuberculosis. Pharmaceutics 2022, 14, 753. https://doi.org/10.3390/pharmaceutics14040753
Mockeliunas L, Keutzer L, Sturkenboom MGG, Bolhuis MS, Hulskotte LMG, Akkerman OW, Simonsson USH. Model-Informed Precision Dosing of Linezolid in Patients with Drug-Resistant Tuberculosis. Pharmaceutics. 2022; 14(4):753. https://doi.org/10.3390/pharmaceutics14040753
Chicago/Turabian StyleMockeliunas, Laurynas, Lina Keutzer, Marieke G. G. Sturkenboom, Mathieu S. Bolhuis, Lotte M. G. Hulskotte, Onno W. Akkerman, and Ulrika S. H. Simonsson. 2022. "Model-Informed Precision Dosing of Linezolid in Patients with Drug-Resistant Tuberculosis" Pharmaceutics 14, no. 4: 753. https://doi.org/10.3390/pharmaceutics14040753
APA StyleMockeliunas, L., Keutzer, L., Sturkenboom, M. G. G., Bolhuis, M. S., Hulskotte, L. M. G., Akkerman, O. W., & Simonsson, U. S. H. (2022). Model-Informed Precision Dosing of Linezolid in Patients with Drug-Resistant Tuberculosis. Pharmaceutics, 14(4), 753. https://doi.org/10.3390/pharmaceutics14040753

